Precision-Aided Partial Ambiguity Resolution Scheme for Instantaneous RTK Positioning
Abstract
1. Introduction

- 1.
- Increasing the observation time span and/or applying recursive estimation, particularly when the atmospheric residuals become part of the state estimate.
- 2.
- Applying Partial Ambiguity Resolution (PAR), which relaxes the integer estimation over the complete set of ambiguities to a subset instead.
2. RTK and the Mixed Model
Mixed Model Estimation
- Float solution:
- during the first step of Equation (6a), the integer nature of the carrier ambiguities is neglected and, instead, a conventional WLS for real-valued parameters is employed. The result of this estimation is denoted as float solution, whose distribution is described bywith the covariance matrix gathering the uncertainty on the estimates and their correlation;
- Integer Ambiguity Resolution:
- the second minimization problem Equation (6b) constitutes the Integer Least Squares (ILS) adjustment, a real-to-integer mapping such thatwith a many-to-one mapping operator (i.e., different real values lead to the very same integer value). In this context, an integer estimator is described by its pull-in regions, which describe a subset of real numbers which “pull” to the same integer vector [25]. Pull-in regions result extremely useful to understand the success rate , i.e., the probability that an estimated integer vector match the true one . The ILS success rate is upper bounded by the bootstrapped (BS) success rate [23], for which an exact close-form expression existswith the cumulative normal distribution, and the ith conditional variance (i.e., the ith diagonal value of the diagonal matrix from an LDL decomposition on , ). Hereinafter, ILS is considered as integer estimator (i.e., ), due to its optimality properties [25].After the float estimation, the ambiguities’ covariance matrix presents a high correlation among ambiguities which hinders the IAR process (i.e., integer rounding (IR) and IB performance is jeopardized, while ILS increases its computational load). To overcome this limitation, integer reparametrizations, also known as Z-transformations, are typically applied. The general class of Z-transformations issuch that all the elements of and its inverse are integer numbers. Due to the integer constraints on , the complete decorrelation of the ambiguities is not possible, although it can be considerably reduced through a sequence of integer approximated Gauss transformations and permutations [34]. Thus, the minimization of Equation (6a) is instead expressed and resolved in the Z-space, asand, afterwards, the original ambiguity space can be reconstructed from .IAR also includes a validation step to determine the reliability of the integer estimate. Thus, an integer solution is accepted only if the success rate is sufficiently high or the validity test is passed. Thus, the integer mapping Equation (8) can be described in a more flexible way aswith and being a generic testing function and threshold value, respectively. The criteria for testing function leads to model- and data-driven rules. Model-driven rules are solely dependent on the strength of the model, i.e., the ambiguities’ covariance matrix , with the operator expressed aswith the failure rate (i.e., ) and the target probability of estimating the wrong integer solution. Thus, model-driven implies accepting a solution whenever the success rate is sufficiently high or, in other words, only if the BS upper bound success rate is high enough. Alternatively, data-driven rules take into consideration the real-valued estimate and express the operator aswhere one can distinguish, for instance, the ratio and difference tests (RT and DT), whose test functions are given bywith the best counter-hypothesis to , and , the threshold values for RT and DT, respectively. The underlying challenge relates to choosing a threshold value adequate for different geometries or number of frequencies used. The fixed failure rate test (FF-RT) is a well-known solution to that challenge [35,36], for which the RT threshold value is chosen upon a target failure rate and the strength of the model. Hereinafter, this work considers FF-RT as validation test, for which the integer estimate is accepted if it guarantees a sufficiently low failure rate and, otherwise, the real-valued ambiguity solution is kept.
- Fixed solution:
- the last minimization (6c) improves the vector of real-valued parameters upon the knowledge of the integer ambiguities , driving to high accuracy positioning, denoted as fixed solution. The mean and covariance for the fixed solution, , are based on the projection of the integer ambiguities into the position domain, aswith the fixed solution inheriting its high precision from the carrier phase observables. Notice that the precision gain occurs only when estimated integer ambiguities coincide with the true ones, but this information is unknown in a real system. Alternatively, a fixed solution is considered only when the probability of a correct ambiguities fixing is sufficiently high (i.e., when the validity test is passed). Otherwise, the complete set of integer estimates is disregarded, i.e., , and the fixed solution does not adjust the original float solution. PAR is a distinct alternative for finding the integer solution for only a subset of ambiguities, explained in the sequel.
3. Partial Ambiguity Resolution Strategies
| Algorithm 1: Data-Driven PAR |
![]() |
Precision-Driven PAR Scheme
| Algorithm 2: Precision-Driven PAR |
![]() |
4. CRB for the PAR Mixed Model
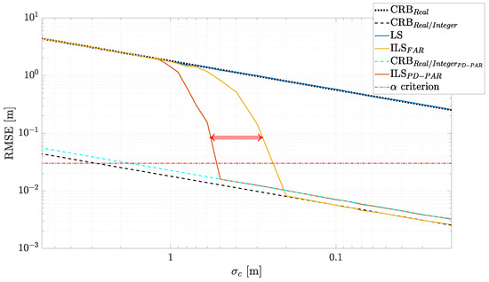
New Insights from the CRB for the PAR Mixed Model
- Methods: (i) LS refers to the float solution estimate, (ii) ILS is the estimator that tries to fix all ambiguities, and (iii) ILS is the new PAR scheme proposed in this article. Notice that the horizontal line 5 cm is the specific precision constraint considered in this experiment.
- (1)
- For low code-noise levels ( for the FAR and for the PD-PAR), the so-called asymptotic regime, the ILS performance for both FAR and PD-PAR schemes coincides with CRB. This confirms that a correct ILS which considers only a successful IAR is asymptotically efficient. Obviously, there is a slight performance degradation when not fixing all the ambiguities, that is, the asymptotic performance of PD-PAR is slightly larger than with a correct FAR.
- (2)
- At high code-noise levels (), the RMSE performance of both ILS coincides with the float solution LS. In other words, after a certain level of noise, trying to fix the ambiguities is useless, and a correct IAR is never achieved.
- (3)
- The region between the asymptotic convergence to the mixed real/integer bound and the unconstrained float region is the so-called threshold region. Such a threshold provides information on the optimal receiver operation conditions. It is remarkable to see that the PD-PAR threshold appears for larger noise levels when compared to the FAR scheme, which implies that the PD-PAR provides a more reliable single-epoch IAR solution.
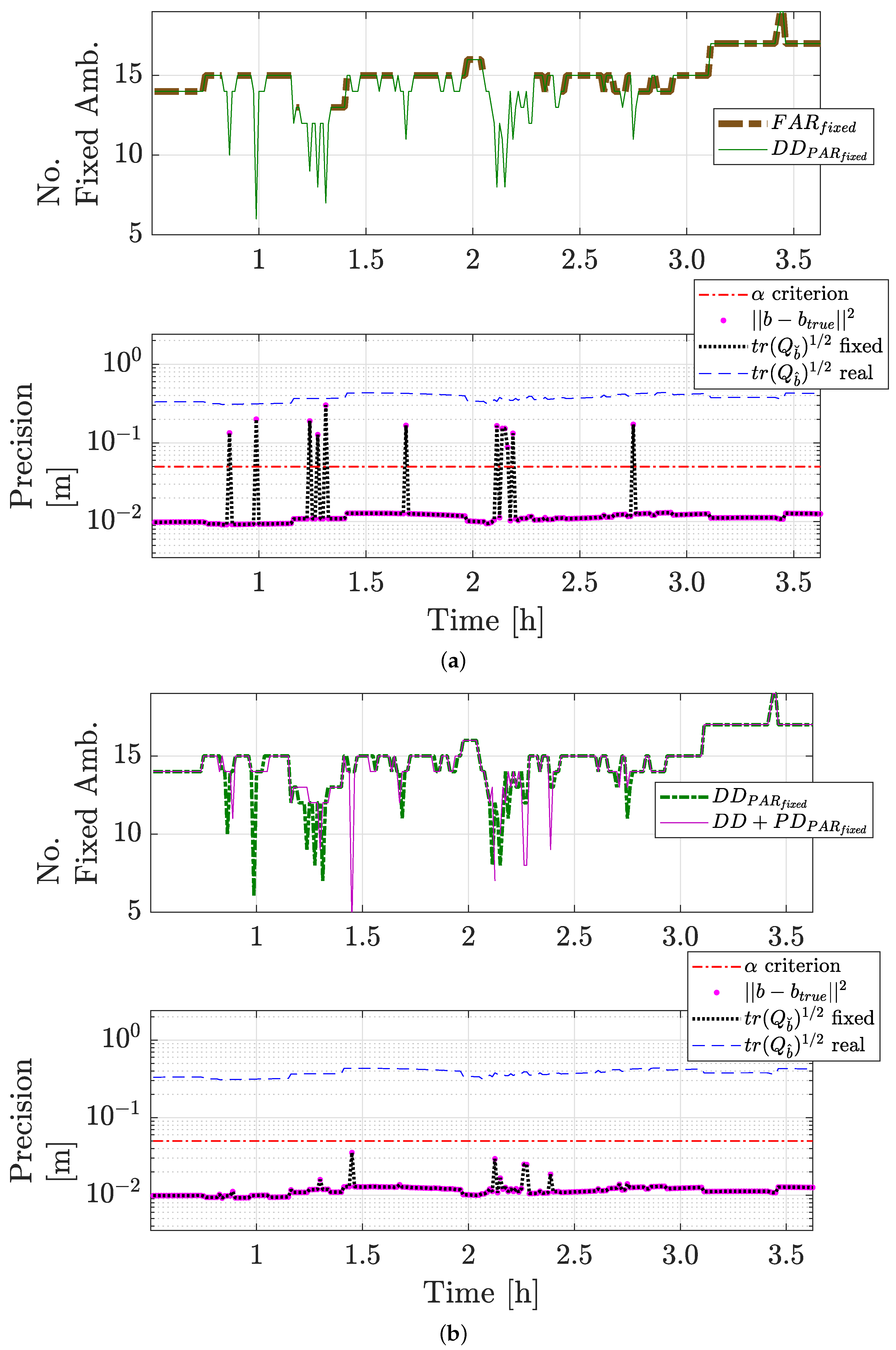
5. Evaluation Results
5.1. Simulation Results
5.2. Validation with Real Data
6. Conclusions
Author Contributions
Funding
Institutional Review Board Statement
Informed Consent Statement
Data Availability Statement
Conflicts of Interest
References
- Morton, Y.J.; van Diggelen, F.; Spilker, J.J., Jr.; Parkinson, B.W.; Lo, S.; Gao, G. Position, Navigation, and Timing Technologies in the 21st Century: Integrated Satellite Navigation, Sensor Systems, and Civil Applications; Wiley-IEEE Press: Hoboken, NJ, USA, 2021. [Google Scholar]
- Teunissen, P.J.G. A new class of GNSS ambiguity estimators Artif. Satell. 2002, 37, 111–119. [Google Scholar]
- Langley, R.B.; RTK GPS. GPS World 1998, 70–75. Available online: http://www2.unb.ca/gge/Resources/gpsworld.september98.pdf (accessed on 20 January 2020).
- Odolinski, R.; Teunissen, P.J.G.; Odijk, D. Combined BDS, Galileo, QZSS and GPS single-frequency RTK. GPS Solut. 2014. [Google Scholar] [CrossRef]
- Teunissen, P.J.G.; de Jonge, P.J.; Tiberius, C.C.C.J.M. The LAMBDA-Method for Fast GPS Surveying. In Proceedings of the International Symposium “GPS Technology Applications”, Bucharest, Romania, 26–29 September 1995; pp. 203–210. [Google Scholar]
- Verhagen, S. Integer ambiguity validation: An open problem? GPS Solut. 2004, 8, 36–43. [Google Scholar] [CrossRef]
- Williams, N.; Wu, G.; Closas, P. Impact of positioning uncertainty on eco-approach and departure of connected and automated vehicles. In Proceedings of the 2018 IEEE/ION Position, Location and Navigation Symposium (PLANS), Monterey, CA, USA, 23–26 April 2018; pp. 1081–1087. [Google Scholar]
- Kassas, Z.M.; Closas, P.; Gross, J. Navigation systems panel report navigation systems for autonomous and semi-autonomous vehicles: Current trends and future challenges. IEEE Aerosp. Electron. Syst. Mag. 2019, 34, 82–84. [Google Scholar] [CrossRef]
- Liu, X.; Ribot, M.Á.; Gusi-Amigó, A.; Closas, P.; Garcia, A.R.; Subirana, J.S. RTK Feasibility Analysis for GNSS Snapshot Positioning. In Proceedings of the 33rd International Technical Meeting of the Satellite Division of The Institute of Navigation (ION GNSS+ 2020), Online, 22–25 September 2020; pp. 2911–2921. [Google Scholar]
- Liu, X.; Ribot, M.Á.; Gusi-Amigó, A.; Rovira-Garcia, A.; Subirana, J.S.; Closas, P. Cloud-Based Single-Frequency Snapshot RTK Positioning. Sensors 2021, 21, 3688. [Google Scholar] [CrossRef]
- Parkins, A. Increasing GNSS RTK availability with a new single-epoch batch partial ambiguity resolution algorithm. GPS Solut. 2011, 15, 391–402. [Google Scholar] [CrossRef]
- Takasu, T.; Yasuda, A. Kalman-filter-based integer ambiguity resolution strategy for long-baseline RTK with ionosphere and troposphere estimation. In Proceedings of the 23rd International Technical Meeting of the Satellite Division of the Institute of Navigation 2010, Portland, OR, USA, 21–24 September 2010. [Google Scholar]
- Teunissen, P.J.G.; Odijk, D. Ambiguity dilution of precision: Definition, properties and application. Proc. ION GPS 1997, 1, 891–899. [Google Scholar]
- Henkel, P.; Günther, C. Partial integer decorrelation: Optimum trade-off between variance reduction and bias amplification. J. Geod. 2010, 84, 51–63. [Google Scholar] [CrossRef]
- Brack, A.; Günther, C. Generalized integer aperture estimation for partial GNSS ambiguity fixing. J. Geod. 2014, 88, 479–490. [Google Scholar] [CrossRef]
- Brack, A. On reliable data-driven partial GNSS ambiguity resolution. GPS Solut. 2015, 19, 411–422. [Google Scholar] [CrossRef]
- Brack, A. Partial ambiguity resolution for reliable GNSS positioning—A useful tool? IEEE Aerosp. Conf. Proc. 2016, 1–7. [Google Scholar] [CrossRef]
- Brack, A. Partial Carrier-Phase Integer Ambiguity Resolution for High Accuracy GNSS Positioning. Ph.D. Thesis, Technische Universität München (TUM), München, Germany, 2019. [Google Scholar]
- Closas, P.; Fernández-Prades, C.; Fernández-Rubio, J.A. Cramér-Rao bound analysis of positioning approaches in GNSS receivers. IEEE Trans. Signal Process. 2009, 57, 3775–3786. [Google Scholar] [CrossRef]
- Das, P.; Ortega, L.; Vilà-Valls, J.; Vincent, F.; Chaumette, E.; Davain, L. Performance limits of GNSS code-based precise positioning: GPS, galileo & meta-signals. Sensors 2020, 20, 2196. [Google Scholar] [CrossRef]
- Bar-Shalom, Y.; Li, X. Estimation and Tracking-Principles, techniques, and Software; Artech House, Inc.: Norwood, MA, USA, 1993. [Google Scholar]
- Bar-Shalom, Y.; Li, X.R.; Kirubarajan, T. Estimation with Applications to Tracking and Navigation; John Wiley & Sons, Inc.: Hoboken, NJ, USA, 2001. [Google Scholar] [CrossRef]
- Teunissen, P.J.G. Success probability of integer GPS ambiguity rounding and bootstrapping. J. Geod. 1998, 72, 606–612. [Google Scholar] [CrossRef]
- Hassibi, A.; Boyd, S. Integer parameter estimation in linear models with applications to GPS. In Proceedings of the 35th IEEE Conference on Decision and Control, Kobe, Japan, 13 December 1996. [Google Scholar] [CrossRef]
- Teunissen, P.J.G. An optimality property of the integer least-squares estimator. J. Geod. 1999. [Google Scholar] [CrossRef]
- Medina, D.; Ortega, L.; Vilà-Valls, J.; Closas, P.; Vincent, F.; Chaumette, E. Compact crb for delay, doppler, and phase estimation—A pplication to gnss spp and rtk performance characterization. IET Radar Sonar Navig. 2020, 14, 1537–1549. [Google Scholar] [CrossRef]
- Medina, D.; Vilà-Valls, J.; Chaumette, E.; Vincent, F.; Closas, P. Cramér-Rao bound for a mixture of real- and integer-valued parameter vectors and its application to the linear regression model. Signal Process. 2021, 179. [Google Scholar] [CrossRef]
- Teunissen, P.J.G.; Montenbruck, O.E. Springer Handbook of Global Navigation Satellite Systems; Springer: Berlin/Heidelberg, Germany, 2017. [Google Scholar] [CrossRef]
- Eueler, H.J.; Goad, C.C. On optimal filtering of GPS dual frequency observations without using orbit information. Bull. Géodésique 1991, 65, 130–143. [Google Scholar] [CrossRef]
- Medina, D.; Gibson, K.; Ziebold, R.; Closas, P. Determination of Pseudorange Error Models and Multipath Characterization under Signal-Degraded Scenarios. In Proceedings of the 31st International Technical Meeting of The Satellite Division of the Institute of Navigation (ION GNSS 2018), Miami, FL, USA, 24–28 September 2018. [Google Scholar] [CrossRef]
- Wielgosz, P. Quality assessment of GPS rapid static positioning with weighted ionospheric parameters in generalized least squares. GPS Solut. 2011, 15, 89–99. [Google Scholar] [CrossRef]
- Paziewski, J.; Wielgosz, P. Investigation of some selected strategies for multi-GNSS instantaneous RTK positioning. Adv. Space Res. 2017, 59, 12–23. [Google Scholar] [CrossRef]
- Odijk, D. Weighting Ionospheric Corrections to Improve Fast GPS Positioning Over Medium Distances. In Proceedings of the 13th International Technical Meeting of the Satellite Division of The Institute of Navigation (ION GPS 2000), Salt Lake City, UT, USA, 19–22 September 2000. [Google Scholar]
- de Jonge, P.; Tiberius, C. Integer Ambiguity Estimation with the Lambda Method. In GPS Trends in Precise Terrestrial, Airborne, and Spaceborne Applications; Springer: Berlin/Heidelberg, Germany, 1996; pp. 280–284. [Google Scholar] [CrossRef]
- Verhagen, S.; Teunissen, P.J.G. The ratio test for future GNSS ambiguity resolution. GPS Solut. 2013, 17, 535–548. [Google Scholar] [CrossRef]
- Wang, L.; Verhagen, S. A new ambiguity acceptance test threshold determination method with controllable failure rate. J. Geod. 2015, 89, 361–375. [Google Scholar] [CrossRef]
- Verhagen, A.A.; Teunissen, P.J.G.; van der Marel, H.; Li, B. GNSS ambiguity resolution: Which subset to fix? In Proceedings of the International Global Navigation Satellite Systems Society, Sydney, Australia, 15–17 November 2011.
- Odijk, D.; Arora, B.S.; Teunissen, P.J. Predicting the success rate of long-baseline GPS+Galileo (Partial) ambiguity resolution. J. Navig. 2014, 67, 385–401. [Google Scholar] [CrossRef]
- Brack, A. Optimal Estimation of a Subset of Integers with Application to GNSS. Artif. Satell. 2016, 51, 123–134. [Google Scholar] [CrossRef][Green Version]
- Fernandez-Hernandez, I.; Senni, T.; Calle, D.; Cancela, S.; Vecchione, G.A.; Seco-Granados, G. Analysis of High-Accuracy Satellite Messages for Road Applications. IEEE Intell. Transp. Syst. Mag. 2020, 12, 92–108. [Google Scholar] [CrossRef]
- Heßelbarth, A.; Medina, D.; Ziebold, R.; Sandler, M.; Hoppe, M.; Uhlemann, M. Enabling Assistance Functions for the Safe Navigation of Inland Waterways. IEEE Intell. Transp. Syst. Mag. 2020, 12, 123–135. [Google Scholar] [CrossRef]
- Blanco-Delgado, N.; Nunes, F.D. Satellite selection method for multi-constellation GNSS using convex geometry. IEEE Trans. Veh. Technol. 2010, 59, 4289–4297. [Google Scholar] [CrossRef]
- Pany, T.; Dampf, J.; Bär, W.; Winkel, J.; Stöber, C.; Fürlinger, K.; Closas, P.; Garcia-Molina, J. Benchmarking CPUs and GPUs on embedded platforms for software receiver usage. In Proceedings of the 28th International Technical Meeting of the Satellite Division of The Institute of Navigation (ION GNSS+ 2015), Tampa, FL, USA, 14–18 September 2015; pp. 3188–3197. [Google Scholar]
- Dampf, J.; Pany, T.; Bär, W.; Winkel, J.; Stöber, C.; Fürlinger, K.; Closas, P.; Garcia-Molina, J. More than we ever dreamed possible: Processor technology for GNSS software receivers in the year 2015. Inside GNSS 2015, 10, 62–72. [Google Scholar]
- Brack, A. Reliable GPS + BDS RTK positioning with partial ambiguity resolution. GPS Solut. 2017, 21, 1083–1092. [Google Scholar] [CrossRef]











| GPS | Galileo | |||
|---|---|---|---|---|
| L1 | L2 | E1 | E5a | |
| (cm) | 19.03 | 24.42 | 19.03 | 25.48 |
| (cm) | 37 | 28 | 35 | 28 |
| (mm) | 2 | 2 | 2 | 2 |
| Ambiguity Resolution Method | Fix Ratio (%) |
|---|---|
| FAR | 88.33 |
| 98.60 | |
| 100 |
Publisher’s Note: MDPI stays neutral with regard to jurisdictional claims in published maps and institutional affiliations. |
© 2021 by the authors. Licensee MDPI, Basel, Switzerland. This article is an open access article distributed under the terms and conditions of the Creative Commons Attribution (CC BY) license (https://creativecommons.org/licenses/by/4.0/).
Share and Cite
Castro-Arvizu, J.M.; Medina, D.; Ziebold, R.; Vilà-Valls, J.; Chaumette, E.; Closas, P. Precision-Aided Partial Ambiguity Resolution Scheme for Instantaneous RTK Positioning. Remote Sens. 2021, 13, 2904. https://doi.org/10.3390/rs13152904
Castro-Arvizu JM, Medina D, Ziebold R, Vilà-Valls J, Chaumette E, Closas P. Precision-Aided Partial Ambiguity Resolution Scheme for Instantaneous RTK Positioning. Remote Sensing. 2021; 13(15):2904. https://doi.org/10.3390/rs13152904
Chicago/Turabian StyleCastro-Arvizu, Juan Manuel, Daniel Medina, Ralf Ziebold, Jordi Vilà-Valls, Eric Chaumette, and Pau Closas. 2021. "Precision-Aided Partial Ambiguity Resolution Scheme for Instantaneous RTK Positioning" Remote Sensing 13, no. 15: 2904. https://doi.org/10.3390/rs13152904
APA StyleCastro-Arvizu, J. M., Medina, D., Ziebold, R., Vilà-Valls, J., Chaumette, E., & Closas, P. (2021). Precision-Aided Partial Ambiguity Resolution Scheme for Instantaneous RTK Positioning. Remote Sensing, 13(15), 2904. https://doi.org/10.3390/rs13152904



