Integration of L-Band Derived Soil Roughness into a Bare Soil Moisture Retrieval Approach from C-Band SAR Data
Abstract
1. Introduction
2. Dataset Description
2.1. Real Data
2.1.1. Study Site
2.1.2. Real SAR Data
2.1.3. In Situ Measurements
2.2. Synthetic SAR Data
3. Methodology
- Generate the synthetic database of SAR backscattering coefficients (σ0): C-VV, C-VH and L-HH.
- Add noise to simulated SAR σ0 in order to make the simulated data approximately closer to real SAR data and to account for the error in the SAR observations.
- Divide the noisy synthetic database into two equal sub-databases: one for neural network training (noisy training database) and the other for neural network validation (noisy validation database).
- Train and test the NNs using the noisy training and validation databases, respectively.
- Finally, apply the trained NNs to the real SAR database to estimate SSM and Hrms.
- Category 1: Estimation of SSM from C-band SAR data with no Hrms as the input vector.
- Category 2: Estimation of Hrms from C- and L-bands SAR data separately.
- Category 3: Estimation of SSM from C-band data with Hrms in the input vector.
4. Results
4.1. Inversion Results on the Synthetic Database
4.1.1. SSM Estimation Using C-Band Data rms
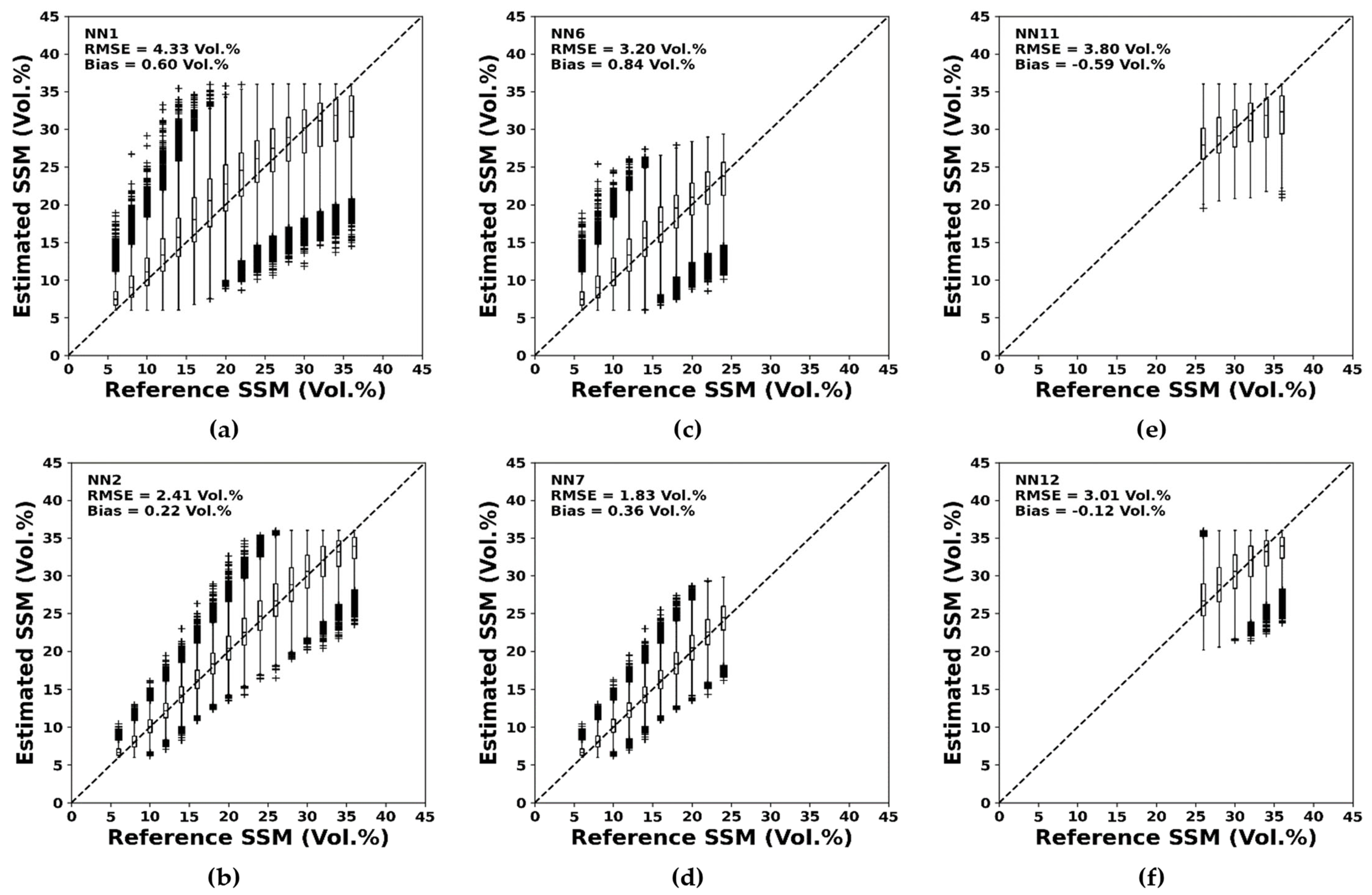
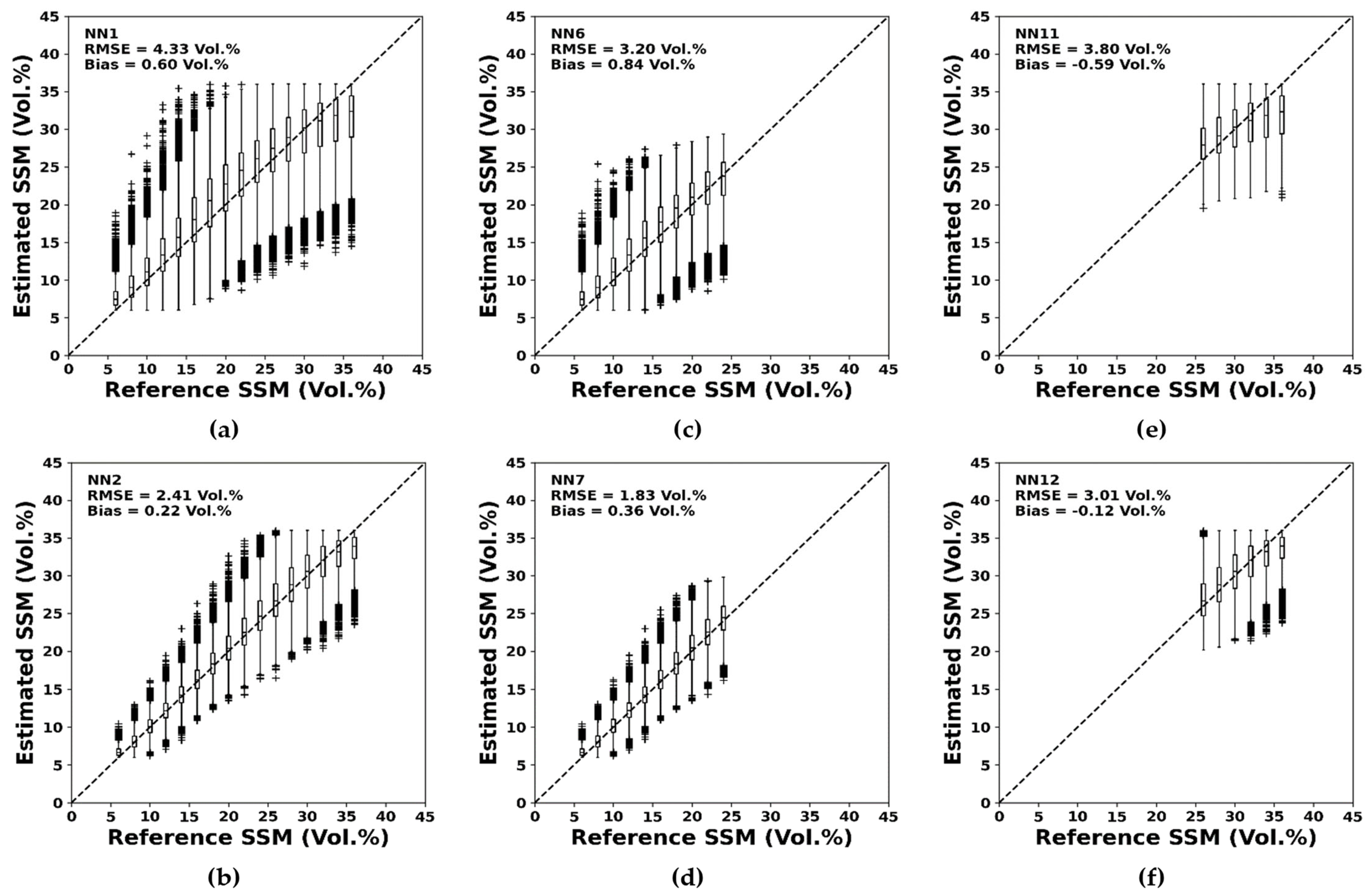
- In the case of no a priori information on SSM (NN1), the bias varies from −4.1 vol.% to 4.0 vol.% (Figure 4a).
- In the case of a priori information on SSM in dry to slightly wet soil conditions (NN6, SSM <25 vol.%), the bias varies from −2.5 vol.% to 3.2 vol.% (Figure 4a).
- In the case of a priori information on SSM in very wet soil conditions (NN11, SSM >25 vol.%), the bias varies from −3.6 vol.% to 2.4 vol.% (Figure 4a).
4.1.2. Hrms Estimation Using C-Band Data
4.1.3. Hrms Estimation Using L-Band Data
4.1.4. SSM Estimation Using C-Band Data and Noisy Hrms values
4.2. Inversion Results on the Real Database
5. Discussion
6. Conclusions
Author Contributions
Funding
Acknowledgments
Conflicts of Interest
References
- El Hajj, M.; Baghdadi, N.; Zribi, M. Comparative analysis of the accuracy of surface soil moisture estimation from the C- and L-bands. Int. J. Appl. Earth Obs. Geoinf. 2019, 82, 101888. [Google Scholar] [CrossRef]
- François, C. The potential of directional radiometric temperatures for monitoring soil and leaf temperature and soil moisture status. Remote. Sens. Environ. 2002, 80, 122–133. [Google Scholar] [CrossRef]
- Baghdadi, N.; Zribi, M. Microwave Remote Sensing of Land Surfaces. In Techniques and Methods; Elsevier: Amsterdam, The Netherlands, 2016. [Google Scholar]
- Ulaby, F.T.; Moore, R.K.; Fung, A.K. Microwave Remote Sensing: Active and Passive. Volume I: Microwave Remote Sensing Fundamentals and Radiometry. In Microwave Remote Sensing Fundamentals and Radiometry; Artech House: Norwood, MA, USA, 1981. [Google Scholar]
- El Hajj, M.; Baghdadi, N.; Zribi, M.; Bazzi, H. Synergic Use of Sentinel-1 and Sentinel-2 Images for Operational Soil Moisture Mapping at High Spatial Resolution over Agricultural Areas. Remote. Sens. 2017, 9, 1292. [Google Scholar] [CrossRef]
- Piles, M.; Sanchez, N.; Vall-Llossera, M.; Camps, A.; Martinez-Fernandez, J.; Martinez, J.; Gonzalez-Gambau, V. A Downscaling Approach for SMOS Land Observations: Evaluation of High-Resolution Soil Moisture Maps Over the Iberian Peninsula. IEEE J. Sel. Top. Appl. Earth Obs. Remote. Sens. 2014, 7, 3845–3857. [Google Scholar] [CrossRef]
- Knipper, K.R.; Hogue, T.S.; Franz, K.J.; Scott, R.L. Downscaling SMAP and SMOS soil moisture with moderate-resolution imaging spectroradiometer visible and infrared products over southern Arizona. J. Appl. Remote. Sens. 2017, 11, 026021. [Google Scholar] [CrossRef]
- Wagner, W.; Pathe, C.; Doubkova, M.; Sabel, D.; Bartsch, A.; Hasenauer, S.; Blöschl, G.; Scipal, K.; Martínez-Fernández, J.; Löw, A. Temporal Stability of Soil Moisture and Radar Backscatter Observed by the Advanced Synthetic Aperture Radar (ASAR). Sensors 2008, 8, 1174–1197. [Google Scholar] [CrossRef]
- Balenzano, A.; Mattia, F.; Satalino, G.; Davidson, M.W.J. Dense Temporal Series of C- and L-band SAR Data for Soil Moisture Retrieval Over Agricultural Crops. IEEE J. Sel. Top. Appl. Earth Obs. Remote. Sens. 2011, 4, 439–450. [Google Scholar] [CrossRef]
- Anguela, T.P.; Zribi, M.; Hasenauer, S.; Habets, F.; Loumagne, C. Analysis of surface and root-zone soil moisture dynamics with ERS scatterometer and the hydrometeorological model SAFRAN-ISBA-MODCOU at Grand Morin watershed (France). Hydrol. Earth Syst. Sci. 2008, 12, 1415–1424. [Google Scholar] [CrossRef]
- Alvarez-Mozos, J.; Casali, J.; Gonzalez-Audicana, M.; Verhoest, N. Assessment of the operational applicability of RADARSAT-1 data for surface soil moisture estimation. IEEE Trans. Geosci. Remote Sens. 2006, 44, 913–924. [Google Scholar] [CrossRef]
- Şekertekin, A.; Marangoz, A.M.; Abdikan, S. Soil Moisture Mapping Using Sentinel-1A Synthetic Aperture Radar Data. Int. J. Env. Geoinform. 2018, 5, 178–188. [Google Scholar] [CrossRef]
- Gao, Q.; Zribi, M.; Escorihuela, M.J.; Baghdadi, N. Synergetic Use of Sentinel-1 and Sentinel-2 Data for Soil Moisture Mapping at 100 m Resolution. Sensors 2017, 17, 1966. [Google Scholar] [CrossRef] [PubMed]
- Aubert, M.; Baghdadi, N.N.; Zribi, M.; Ose, K.; El Hajj, M.; Vaudour, E.; Gonzalez-Sosa, E. Toward an Operational Bare Soil Moisture Mapping Using TerraSAR-X Data Acquired Over Agricultural Areas. IEEE J. Sel. Top. Appl. Earth Obs. Remote. Sens. 2012, 6, 900–916. [Google Scholar] [CrossRef]
- El Hajj, M.; Baghdadi, N.; Belaud, G.; Zribi, M.; Cheviron, B.; Courault, D.; Hagolle, O.; Charron, F. Irrigated Grassland Monitoring Using a Time Series of TerraSAR-X and COSMO-SkyMed X-Band SAR Data. Remote. Sens. 2014, 6, 10002–10032. [Google Scholar] [CrossRef]
- Baghdadi, N.; Cerdan, O.; Zribi, M.; Auzet, V.; Darboux, F.; El Hajj, M.; Kheir, R.B. Operational performance of current synthetic aperture radar sensors in mapping soil surface characteristics in agricultural environments: Application to hydrological and erosion modelling. Hydrol. Process. 2007, 22, 9–20. [Google Scholar] [CrossRef]
- Baghdadi, N.; Cresson, R.; El Hajj, M.; Ludwig, R.; La Jeunesse, I. Estimation of soil parameters over bare agriculture areas from C-band polarimetric SAR data using neural networks. Hydrol. Earth Syst. Sci. 2012, 16, 1607–1621. [Google Scholar] [CrossRef]
- Mirsoleimani, H.R.; Sahebi, M.R.; Baghdadi, N.; El Hajj, M. Bare Soil Surface Moisture Retrieval from Sentinel-1 SAR Data Based on the Calibrated IEM and Dubois Models Using Neural Networks. Sensors 2019, 19, 3209. [Google Scholar] [CrossRef] [PubMed]
- Baghdadi, N.; King, C.; Bourguignon, A.; Remond, A. Potential of ERS and Radarsat data for surface roughness monitoring over bare agricultural fields: Application to catchments in Northern France. Int. J. Remote. Sens. 2002, 23, 3427–3442. [Google Scholar] [CrossRef]
- Ulaby, F.T.; Batlivala, P.P.; Dobson, M.C. Microwave Backscatter Dependence on Surface Roughness, Soil Moisture, and Soil Texture: Part I-Bare Soil. IEEE Trans. Geosci. Electron. 1978, 16, 286–295. [Google Scholar] [CrossRef]
- le Toan, T. Active microwave signatures of soil and crops. significant results of three years of experiments. In Proceedings of the Digest—International Geoscience and Remote Sensing Symposium (IGARSS), Munich, Germany, 1–4 June 1982. [Google Scholar]
- Zribi, M.; Gorrab, A.; Baghdadi, N.; Lili-Chabaane, Z.; Mougenot, B. Influence of Radar Frequency on the Relationship Between Bare Surface Soil Moisture Vertical Profile and Radar Backscatter. IEEE Geosci. Remote. Sens. Lett. 2014, 11, 848–852. [Google Scholar] [CrossRef]
- Beaudoin, A.; Le Toan, T.; Gwyn, Q. SAR observations and modeling of the C-band backscatter variability due to multiscale geometry and soil moisture. IEEE Trans. Geosci. Remote. Sens. 1990, 28, 886–895. [Google Scholar] [CrossRef]
- Baghdadi, N.; Saba, E.; Aubert, M.; Zribi, M.; Baup, F. Comparison between Backscattered TerraSAR Signals and Simulations from the Radar Backscattering Models IEM, Oh, and Dubois. IEEE Geosci. Remote Sens. Lett. 2011, 6, 1160–1164. [Google Scholar] [CrossRef]
- Aubert, M.; Baghdadi, N.; Zribi, M.; Douaoui, A.; Loumagne, C.; Baup, F.; El Hajj, M.; Garrigues, S. Analysis of TerraSAR-X data sensitivity to bare soil moisture, roughness, composition and soil crust. Remote. Sens. Env. 2011, 115, 1801–1810. [Google Scholar] [CrossRef]
- Narvekar, P.S.; Entekhabi, D.; Kim, S.-B.; Njoku, E.G. Soil Moisture Retrieval Using L-Band Radar Observations. IEEE Trans. Geosci. Remote. Sens. 2015, 53, 3492–3506. [Google Scholar] [CrossRef]
- Fung, A.K. Microwave Scattering and Emission Models and Their Applications; Artech House Publishers: Norwood, MA, USA, 1994. [Google Scholar]
- Chen, K.; Wu, T.-D.; Tsang, L.; Li, Q.; Shi, J.; Fung, A. Emission of rough surfaces calculated by the integral equation method with comparison to three-dimensional moment method simulations. IEEE Trans. Geosci. Remote. Sens. 2003, 41, 90–101. [Google Scholar] [CrossRef]
- Baghdadi, N.; Choker, M.; Zribi, M.; El Hajj, M.; Paloscia, S.; Verhoest, N.E.C.; Lievens, H.; Baup, F.; Mattia, F. A New Empirical Model for Radar Scattering from Bare Soil Surfaces. Remote. Sens. 2016, 8, 920. [Google Scholar] [CrossRef]
- Dubois, P.; Van Zyl, J.; Engman, T. Measuring soil moisture with imaging radars. IEEE Trans. Geosci. Remote. Sens. 1995, 33, 915–926. [Google Scholar] [CrossRef]
- Oh, Y. Quantitative Retrieval of Soil Moisture Content and Surface Roughness from Multipolarized Radar Observations of Bare Soil Surfaces. IEEE Trans. Geosci. Remote. Sens. 2004, 42, 596–601. [Google Scholar] [CrossRef]
- Gorrab, A.; Zribi, M.; Baghdadi, N.; Mougenot, B.; Fanise, P.; Chabaane, Z.L. Retrieval of Both Soil Moisture and Texture Using TerraSAR-X Images. Remote. Sens. 2015, 7, 10098–10116. [Google Scholar] [CrossRef]
- Panciera, R.; Tanase, M.A.; Lowell, K.; Walker, J.P. Evaluation of IEM, Dubois, and Oh Radar Backscatter Models Using Airborne L-Band SAR. IEEE Trans. Geosci. Remote. Sens. 2014, 52, 4966–4979. [Google Scholar] [CrossRef]
- Baghdadi, N.; Gaultier, S.; King, C. Retrieving surface roughness and soil moisture from synthetic aperture radar (SAR) data using neural networks. Can. J. Remote. Sens. 2002, 28, 701–711. [Google Scholar] [CrossRef]
- Zribi, M.; Taconet, O.; Le Hégarat-Mascle, S.; Vidal-Madjar, D.; Emblanch, C.; Loumagne, C.; Normand, M. Backscattering behavior and simulation comparison over bare soils using SIR-C/X-SAR and ERASME 1994 data over Orgeval. Remote. Sens. Environ. 1997, 59, 256–266. [Google Scholar] [CrossRef]
- Baghdadi, N.; Chaaya, J.A.; Zribi, M. Semiempirical Calibration of the Integral Equation Model for SAR Data in C-Band and Cross Polarization Using Radar Images and Field Measurements. IEEE Geosci. Remote. Sens. Lett. 2010, 8, 14–18. [Google Scholar] [CrossRef]
- Baghdadi, N.; Holah, N.; Zribi, M. Calibration of the Integral Equation Model for SAR data in C-band and HH and VV polarizations. Int. J. Remote. Sens. 2006, 27, 805–816. [Google Scholar] [CrossRef]
- Baghdadi, N.; Gherboudj, I.; Zribi, M.; Sahebi, M.; King, C.; Bonn, F. Semi-empirical calibration of the IEM backscattering model using radar images and moisture and roughness field measurements. Int. J. Remote. Sens. 2004, 25, 3593–3623. [Google Scholar] [CrossRef]
- Baghdadi, N.; Zribi, M.; Paloscia, S.; Verhoest, N.E.C.; Lievens, H.; Baup, F.; Mattia, F. Semi-Empirical Calibration of the Integral Equation Model for Co-Polarized L-Band Backscattering. Remote. Sens. 2015, 7, 13626–13640. [Google Scholar] [CrossRef]
- Paloscia, S.; Pettinato, S.; Santi, E.; Notarnicola, C.; Pasolli, L.; Reppucci, A. Soil moisture mapping using Sentinel-1 images: Algorithm and preliminary validation. Remote. Sens. Environ. 2013, 134, 234–248. [Google Scholar] [CrossRef]
- Srivastava, H.S.; Patel, P.; Sharma, Y.; Navalgund, R.R. Large-Area Soil Moisture Estimation Using Multi-Incidence-Angle RADARSAT-1 SAR Data. IEEE Trans. Geosci. Remote. Sens. 2009, 47, 2528–2535. [Google Scholar] [CrossRef]
- Baghdadi, N.; Cresson, R.; Pottier, E.; Aubert, M.; Mehrez, M.; Jacome, A.; Benabdallah, S. A Potential Use for the C-Band Polarimetric SAR Parameters to Characterize the Soil Surface Over Bare Agriculture Fields. IEEE Trans. Geosci. Remote. Sens. 2012, 50, 3844–3858. [Google Scholar] [CrossRef]
- Zribi, M.; Baghdadi, N.; Holah, N.; Fafin, O. New methodology for soil surface moisture estimation and its application to ENVISAT-ASAR multi-incidence data inversion. Remote. Sens. Environ. 2005, 96, 485–496. [Google Scholar] [CrossRef]
- Altese, E.; Bolognani, O.; Troch, P.A.; Mancini, M. Retrieving Soil Moisture Over Bare Soil from ERS 1 Synthetic Aperture Radar Data: Sensitivity Analysis Based on a Theoretical Surface Scattering Model and Field Data. Water Resour. Res. 1996, 32, 653–661. [Google Scholar] [CrossRef]
- Mattia, F.; Davidson, M.W.J.; le Toan, T.; D’Haese, C.M.F.; Verhoest, N.E.C.; Gatti, A.M.; Borgeaud, M. A Comparison between Soil Roughness Statistics Used in Surface Scattering Models Derived from Mechanical and Laser Profilers. IEEE Trans. Geosci. Remote. Sens. 2003, 41, 1659–1671. [Google Scholar] [CrossRef]
- Davidson, M.; Mattia, F.; Satalino, G.; Verhoest, N.; Le Toan, T.; Borgeaud, M.; Louis, J.; Attema, E. Joint statistical properties of rms height and correlation length derived from multisite 1-m roughness measurements. IEEE Trans. Geosci. Remote. Sens. 2003, 41, 1651–1658. [Google Scholar] [CrossRef]
- Remond, A.; Beaudoin, A.; King, C. SAR imagery to estimate roughness parameters when modelling runoff risk. Int. J. Remote. Sens. 1999, 20, 2613–2625. [Google Scholar] [CrossRef]
- Michelson, D.B. ERS-I SAR backscattering coefficients from bare fields with different tillage row directions. Int. J. Remote. Sens. 1994, 15, 2679–2685. [Google Scholar] [CrossRef]
- Oh, Y.; Sarabandi, K.; Ulaby, F.T. An empirical model and an inversion technique for radar scattering from bare soil surfaces. IEEE Trans. Geosci. Remote Sens. 1992, 30, 370–381. [Google Scholar] [CrossRef]
- Dobson, M.C.; Ulaby, F.T. Active Microwave Soil Moisture Research. IEEE Trans. Geosci. Remote. Sens. 1986, GE-24, 23–26. [Google Scholar] [CrossRef]
- Ulaby, F.T.; Bare, J.E. Look Direction Modulation Function of the Radar Backscattering Coefficient of Agricultural Fields. Photogrammetric Engineering and Remote Sensing. 1979. Available online: https://www.asprs.org/wp-content/uploads/pers/1979journal/nov/1979_nov_1495-1506.pdf (accessed on 6 April 2021).
- Mattia, F.; Le Toan, T. Backscattering Properties of Multi-Scale Rough Surfaces. J. Electromagn. Waves Appl. 1999, 13, 493–527. [Google Scholar] [CrossRef]
- Davidson, M.; Le Toan, T.; Mattia, F.; Satalino, G.; Manninen, T.; Borgeaud, M. On the characterization of agricultural soil roughness for radar remote sensing studies. IEEE Trans. Geosci. Remote. Sens. 2000, 38, 630–640. [Google Scholar] [CrossRef]
- Wagner, W.; Bloschl, G.; Pampaloni, P.; Calvet, J.-C.; Bizzarri, B.; Wigneron, J.-P.; Kerr, Y. Operational readiness of microwave remote sensing of soil moisture for hydrologic applications. Hydrol. Res. 2007, 38, 1–20. [Google Scholar] [CrossRef]
- Shi, J.; Wang, J.; Hsu, A.; O’Neill, P.; Engman, E. Estimation of bare surface soil moisture and surface roughness parameter using L-band SAR image data. IEEE Trans. Geosci. Remote. Sens. 1997, 35, 1254–1266. [Google Scholar] [CrossRef]
- Shi, J.; Wang, J.; Hsu, A.; O’Neili, P.; Engman, E. Estimation of soil moisture and surface roughness parameters using L-band SAR measurements. IEEE Trans. Geosci. Remote. Sens. 2002, 1, 507–509. [Google Scholar]
- Tomer, S.K.; Al Bitar, A.; Sekhar, M.; Zribi, M.; Bandyopadhyay, S.; Sreelash, K.; Sharma, A.; Corgne, S.; Kerr, Y. Retrieval and Multi-scale Validation of Soil Moisture from Multi-temporal SAR Data in a Semi-Arid Tropical Region. Remote. Sens. 2015, 7, 8128–8153. [Google Scholar] [CrossRef]
- Van Doninck, J.; Peters, J.; Lievens, H.; De Baets, B.; Verhoest, N.E.C. Accounting for seasonality in a soil moisture change detection algorithm for ASAR Wide Swath time series. Hydrol. Earth Syst. Sci. 2012, 16, 773–786. [Google Scholar] [CrossRef]
- Baghdadi, N.N.; El Hajj, M.; Zribi, M.; Fayad, I. Coupling SAR C-Band and Optical Data for Soil Moisture and Leaf Area Index Retrieval Over Irrigated Grasslands. IEEE J. Sel. Top. Appl. Earth Obs. Remote. Sens. 2015, 9, 1229–1243. [Google Scholar] [CrossRef]
- Mattia, F.; Le Toan, T.; Souyris, J.-C.; De Carolis, C.; Floury, N.; Posa, F.; Pasquariello, N. The effect of surface roughness on multifrequency polarimetric SAR data. IEEE Trans. Geosci. Remote. Sens. 1997, 35, 954–966. [Google Scholar] [CrossRef]
- Antoni, V.; Arrouays, D.; Bispo, A.; Brossard, M.; le Bas, C.; Stengel, P.; Villanneau, E.; Baize, D.; Barriuso, E.; Blanca, Y.; et al. Synthèse Sur l’état Des Sols de France. 2011. Available online: https://www.inrae.fr/sites/default/files/synthese_etat_sol_0.pdf (accessed on 6 April 2021).
- Chai, S.-S.; Walker, J.P.; Makarynskyy, O.; Kuhn, M.; Veenendaal, B.; West, G. Use of Soil Moisture Variability in Artificial Neural Network Retrieval of Soil Moisture. Remote. Sens. 2009, 2, 166–190. [Google Scholar] [CrossRef]
- Schwerdt, M.; Schmidt, K.; Ramon, N.T.; Klenk, P.; Yague-Martinez, N.; Prats-Iraola, P.; Zink, M.; Geudtner, D. Independent System Calibration of Sentinel-1B. Remote. Sens. 2017, 9, 511. [Google Scholar] [CrossRef]
- Motohka, T.; Isoguchi, O.; Sakashita, M.; Shimada, M. Results of ALOS-2 PALSAR-2 Calibration and Validation After 3 Years of Operation. In Proceedings of the IGARSS 2018—2018 IEEE International Geoscience and Remote Sensing Symposium, Valencia, Spain, 22–27 July 2018; pp. 4169–4170. [Google Scholar]
- Marquardt, D.W. An Algorithm for Least-Squares Estimation of Nonlinear Parameters. J. Soc. Ind. Appl. Math. 1963, 11, 431–441. [Google Scholar] [CrossRef]
- Satalino, G.; Mattia, F.; Davidson, M.; Le Toan, T.; Pasquariello, G.; Borgeaud, M. On current limits of soil moisture retrieval from ERS-SAR data. IEEE Trans. Geosci. Remote. Sens. 2002, 40, 2438–2447. [Google Scholar] [CrossRef]
- Boisvert, J.B.; Gwyn, Q.H.J.; Chanzy, A.; Major, D.J.; Brisco, B.; Brown, R.J. Effect of surface soil moisture gradients on modelling radar backscattering from bare fields. Int. J. Remote. Sens. 1997, 18, 153–170. [Google Scholar] [CrossRef]
- Bindlish, R. Multifrequency Soil Moisture Inversion from SAR Measurements with the Use of IEM. Remote. Sens. Env. 2000, 71, 67–88. [Google Scholar] [CrossRef]
- Rakotoarivony, L.; Taconet, O.; Vidal-Madjar, D.; Bellemain, P.; Benallegue, M. Radar backscattering over agricultural bare soils. J. Electromagn. Waves Appl. 1996, 10, 187–209. [Google Scholar] [CrossRef]
- Leconte, R.; Brissette, F.; Galarneau, M.; Rousselle, J. Mapping near-surface soil moisture with RADARSAT-1 synthetic aperture radar data. Water Resour. Res. 2004, 40, 40. [Google Scholar] [CrossRef]
- Baghdadi, N.; King, C.; Chanzy, A.; Wigneron, J.P. An empirical calibration of the integral equation model based on SAR data, soil moisture and surface roughness measurement over bare soils. Int. J. Remote. Sens. 2002, 23, 4325–4340. [Google Scholar] [CrossRef]
- Ulaby, F.T.; Dubois, P.C.; van Zyl, J. Radar mapping of surface soil moisture. J. Hydrol. 1996, 184, 57–84. [Google Scholar] [CrossRef]












| Date dd/mm/yyyy | Sensor | Polarizations | Incidence Angle | Pixel Size m × m |
|---|---|---|---|---|
| 18/02/2017 | Sentinel-1 | VV + VH | 38.4 | 10 × 10 |
| 19/02/2017 | ALOS-2 | HH + HV | 37.3 | 6 × 6 |
| 24/02/2017 | Sentinel-1 | VV + VH | 38.6 | 10 × 10 |
| 02/03/2017 | Sentinel-1 | VV + VH | 38.6 | 10 × 10 |
| 08/03/2017 | Sentinel-1 | VV + VH | 38.6 | 10 × 10 |
| 14/03/2017 | Sentinel-1 | VV + VH | 38.6 | 10 × 10 |
| 20/03/2017 | Sentinel-1 | VV + VH | 38.5 | 10 × 10 |
| 27/03/2017 | Sentinel-1 | VV + VH | 39.0 | 10 × 10 |
| 02/04/2017 | ALOS-2 | HH + HV + VH + VV | 37.4 | 3 × 3 |
| 08/04/2017 | Sentinel-1 | VV + VH | 39.1 | 10 × 10 |
| 20/04/2017 | Sentinel-1 | VV + VH | 39.1 | 10 × 10 |
| 26/04/2017 | Sentinel-1 | VV + VH | 39.3 | 10 × 10 |
| 02/05/2017 | Sentinel-1 | VV + VH | 39.3 | 10 × 10 |
| 09/05/2017 | ALOS-2 | HH + HV + VH + VV | 27.4 | 3 × 3 |
| 14/05/2017 | Sentinel-1 | VV + VH | 39.1 | 10 × 10 |
| 19/05/2017 | Sentinel-1 | VV + VH | 38.4 | 10 × 10 |
| 01/06/2017 | Sentinel-1 | VV + VH | 39.1 | 10 × 10 |
| 02/06/2018 | Sentinel-1 | VV + VH | 39.3 | 10 × 10 |
| 08/06/2018 | Sentinel-1 | VV + VH | 39.3 | 10 × 10 |
| 14/06/2018 | Sentinel-1 | VV + VH | 39.3 | 10 × 10 |
| 22/06/2018 | ALOS-2 | HH + HV | 30.9 | 6 × 6 |
| 26/06/2018 | Sentinel-1 | VV + VH | 39.0 | 10 × 10 |
| 01/07/2018 | ALOS-2 | HH + HV | 40.5 | 6 × 6 |
| 02/07/2018 | Sentinel-1 | VV + VH | 39.1 | 10 × 10 |
| Parameter | Min Value | Max Value | Step | Element Numbers |
|---|---|---|---|---|
| SSM (Vol.%) | 6 | 36 | 2 | 16 |
| Hrms (cm) | 0.5 | 3.8 | 0.2 | 18 |
| θ (°) | 20 | 45 | 1 | 26 |
| Total number of elements | 7488 |
| Case | Polarization | Training Database | Validation Database | Inputs | Outputs |
|---|---|---|---|---|---|
| No a priori | CVV+CVH: NN1 | θ, σ0 | SSM | ||
| CVV+CVH: NN2 | θ, σ0, Reference Hrms | SSM | |||
| CVV+CVH: NN3 | 6 ≤ SSM ≤ 36 | 6 ≤ SSM ≤ 36 | θ, σ0 | SSM, Hrms | |
| LHH: NN4 | θ, σ0 | Hrms | |||
| CVV+CVH: NN5 | θ, σ0, Noisy Hrms | SSM | |||
| A priori dry to slightly wet | CVV+CVH: NN6 | θ, σ0 | SSM | ||
| CVV+CVH: NN7 | θ, Sigma, Reference Hrms | SSM | |||
| CVV+CVH: NN8 | 6 ≤ SSM ≤ 30 | 6 ≤ SSM ≤ 25 | θ, σ0 | SSM, Hrms | |
| LHH: NN9 | θ, σ0 | Hrms | |||
| CVV+CVH: NN10 | θ, σ0, Noisy Hrms | SSM | |||
| A priori very wet | CVV+CVH: NN11 | θ, σ0 | SSM | ||
| CVV+CVH: NN12 | θ, σ0, Reference Hrms | SSM | |||
| CVV+CVH: NN13 | 20 ≤ SSM ≤ 36 | 25 ≤ SSM ≤ 36 | θ, σ0 | SSM, Hrms | |
| LHH: NN14 | θ, σ0 | Hrms | |||
| CVV+CVH: NN15 | θ, σ0, Noisy Hrms | SSM |
Publisher’s Note: MDPI stays neutral with regard to jurisdictional claims in published maps and institutional affiliations. |
© 2021 by the authors. Licensee MDPI, Basel, Switzerland. This article is an open access article distributed under the terms and conditions of the Creative Commons Attribution (CC BY) license (https://creativecommons.org/licenses/by/4.0/).
Share and Cite
Hamze, M.; Baghdadi, N.; El Hajj, M.M.; Zribi, M.; Bazzi, H.; Cheviron, B.; Faour, G. Integration of L-Band Derived Soil Roughness into a Bare Soil Moisture Retrieval Approach from C-Band SAR Data. Remote Sens. 2021, 13, 2102. https://doi.org/10.3390/rs13112102
Hamze M, Baghdadi N, El Hajj MM, Zribi M, Bazzi H, Cheviron B, Faour G. Integration of L-Band Derived Soil Roughness into a Bare Soil Moisture Retrieval Approach from C-Band SAR Data. Remote Sensing. 2021; 13(11):2102. https://doi.org/10.3390/rs13112102
Chicago/Turabian StyleHamze, Mohamad, Nicolas Baghdadi, Marcel M. El Hajj, Mehrez Zribi, Hassan Bazzi, Bruno Cheviron, and Ghaleb Faour. 2021. "Integration of L-Band Derived Soil Roughness into a Bare Soil Moisture Retrieval Approach from C-Band SAR Data" Remote Sensing 13, no. 11: 2102. https://doi.org/10.3390/rs13112102
APA StyleHamze, M., Baghdadi, N., El Hajj, M. M., Zribi, M., Bazzi, H., Cheviron, B., & Faour, G. (2021). Integration of L-Band Derived Soil Roughness into a Bare Soil Moisture Retrieval Approach from C-Band SAR Data. Remote Sensing, 13(11), 2102. https://doi.org/10.3390/rs13112102

