Rainfall Monitoring Based on Next-Generation Millimeter-Wave Backhaul Technologies in a Dense Urban Environment
Abstract
1. Introduction
2. Materials and Methods
2.1. Millimeter-Wave Propagation
2.2. LOS-MIMO-Based mmWave Backhaul System
2.3. Atmospheric Attenuation
2.3.1. Water Vapor Attenuation
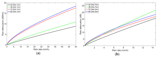
2.3.2. Rainfall Effects on Radio Signals
2.3.3. Rain Rate Estimation Using the Receive Signal Levels from Millimeter-Wave Links
2.4. Outdoor Measurement
3. Measurement Results
3.1. Rainfall Effects
3.2. Water Vapor Attenuation
3.3. Data Post-Processing and Uncertainties
3.4. Rain Rate Estimation
4. Discussion
5. Conclusions
Author Contributions
Funding
Acknowledgments
Conflicts of Interest
References
- McCabe, M.F.; Rodell, M.; Alsdorf, D.E.; Miralles, D.G.; Uijlenhoet, R.; Wagner, W.; Lucieer, A.; Houborg, R.; Verhoest, N.E.; Franz, T.E.; et al. The future of earth observation in hydrology. Hydrol. Earth Syst. Sci. 2017, 21, 3879. [Google Scholar] [CrossRef] [PubMed]
- Tauro, F.; Selker, J.; Van De Giesen, N.; Abrate, T.; Uijlenhoet, R.; Porfiri, M.; Manfreda, S.; Caylor, K.; Moramarco, T.; Benveniste, J.; et al. Measurements and observations in the XXI century (MOXXI): Innovation and multi-disciplinarity to sense the hydrological cycle. Hydrol. Sci. J. 2018, 63, 169–196. [Google Scholar] [CrossRef]
- Gazit, L.; Messer, H. Advancements in the statistical study, modeling, and simulation of microwave-links in cellular backhaul networks. Environments 2018, 5, 75. [Google Scholar] [CrossRef]
- Muller, C.L.; Chapman, L.; Johnston, S.; Kidd, C.; Illingworth, S.; Foody, G.; Overeem, A.; Leigh, R.R. Crowdsourcing for climate and atmospheric sciences: Current status and future potential. Int. J. Climatol. 2015, 35, 3185–3203. [Google Scholar] [CrossRef]
- Ericsson Mobility Report. December 2018. Available online: https://www.ericsson.com/assets/local/microwave-outlook/documents/ericsson-microwave-outlook-report-2018.pdf (accessed on 31 January 2020).
- Ji, B.; Li, Y.; Chen, S.; Han, C.; Li, C.; Hong, W. Secrecy Outage Analysis of UAV Assisted Relay and Antenna Selection for Cognitive Network under Nakagami-m Channel. IEEE Trans. Cogn. Commun. Netw. Spec. Issue AI-based Licens./Unlicensed Spectr. Interoperability Future Mob. Wirel. Syst. 2020, 1–11. [Google Scholar] [CrossRef]
- Dehos, C.; González, J.; Domenico, A.; Kténas, D.; Dussopt, L. Millimeter-wave access and backhauling: The solution to the exponential data traffic increase in 5G mobile communications systems. IEEE Commun. Mag. 2014, 52, 88–95. [Google Scholar] [CrossRef]
- Studies on Frequency-Related Matters for International Mobile Telecommunications Identification Including Possible Additional Allocations to the Mobile Services on a Primary Basis in Portion(s) of the Frequency Range Between 24.25 and 86 GHz for the Future Development of International Mobile Telecommunications for 2020 and Beyond. Resolution 238 (WRC-15). Available online: https://www.itu.int/dms_pub/itu-r/oth/0c/0a/R0C0A00000C0014PDFE.pdf (accessed on 31 January 2020).
- Agenda and Reference (Resolutions and Recommendations), ITU. August 2017. Available online: https://www.itu.int/dms_pub/itu-r/oth/14/02/R14020000010001PDFE.pdf (accessed on 31 January 2020).
- Frequency Band Review for Fixed Wireless Services. Final Report Prepared for Ofcom, Document 2315/FLBR/FRP/3. 2011. Available online: http://stakeholders.ofcom.org.uk/binaries/consultations/spectrum-review/annexes/report.pdf (accessed on 31 January 2020).
- Chen, X. OFDM based multi-node transmission in the presence of phase noises for small cell backhaul. IEEE Commun. Lett. 2017, 21, 1207–1210. [Google Scholar] [CrossRef]
- Daniels, G. Deutsche Telekom Achieves Fiber-like Results with MmWave Wireless Backhaul for 5G. 11 January 2019. Available online: https://www.telecomtv.com/content/news/deutsche-telekom-achieves-fiber-like-results-with-mmwave-wireless-backhaul-for-5g-33773/ (accessed on 31 January 2020).
- Sen, R.; Singh, M.P. Effect of rain on millimeter-wave propagation—A review. AIP Conf. Proc. 2007, 923, 45–76. [Google Scholar]
- Han, C.; Duan, S.; Bao, L.; Zhang, G.; Ji, B.; Ran, L. E-Band Link for Next Generation Small-Cell Backhaul in Dense Urban Environment. In Proceedings of the IEEE VTC 2019 Fall, Honolulu, HI, USA, 22–25 September 2019; pp. 1–2. [Google Scholar]
- Han, C.; Harrold, T.; Armour, S.; Krikidis, I.; Videv, S.; Grant, P.M.; Haas, H.; Thompson, J.S.; Ku, I.; Wang, C.-X.; et al. Green radio: Radio techniques to enable energy efficient wireless networks. IEEE Commun. Mag. Spec. Issue Green Commun. 2011, 49, 46–52. [Google Scholar] [CrossRef]
- Nicolaou, M.; Han, C.; Beh, K.C.; Armour, S.; Doufexi, A. MIMO techniques for green radio guranteeing QoS. IEEE J. Commun. Netw. Spec. Issue Green Radio Energy Effic. Wirel. Netw. 2010, 12, 130–139. [Google Scholar]
- Sacchi, C.; Rahman, T.F.; Hemadeh, I.A.; El-Hajjar, M. Millimeter-wave transmission for small-cell backhaul in dense urban environment: A solution based on MIMO-OFDM and space-time shift keying (STSK). IEEE Access 2017, 5, 4000–4017. [Google Scholar] [CrossRef]
- Hansryd, J.; Edstam, J. Microwave capacity evolution. Ericsson Rev. 2011, 88, 22–27. [Google Scholar]
- Rundstedt, K.; Bao, L.; Krishnan, R.; Olsson, B.-E.; Eriksson, T. On Field Measurements and Modelling of 2 × 2 Microwave LOS-MIMO Systems. In Proceedings of the IEEE Global Communications Conference (GLOBECOM), San Diego, CA, USA, 6–10 December 2015; pp. 1–6. [Google Scholar]
- Bøhagen, F.; Orten, P.; Øien, G. optimal design of uniform rectangular antenna arrays for strong line-of-sight MIMO channels. J. Wirel. Commun. Netw. 2007, 2007, 045084. [Google Scholar] [CrossRef]
- Zhao, Q.; Li, J. Rain attenuation in millimeter wave ranges. In Proceedings of the International Symposium on Antennas, Propagation, & EM Theory, Guilin, China, 26–29 October 2006. [Google Scholar]
- Coldrey, M.; Allasia, A.; Bao, L.; Boch, E.; Ferrari, G.; Gentina, D.; Putkonen, J.; Sutton, A.; Yigal, L.; Zein, N. Maturity and Field Proven Experience of Millimeter Wave Transmission; ETSI White Paper: Sophia Antipolis, France, 2015. [Google Scholar]
- Forknall, N.; Cole, R.; Webb, D. Cumulative Fading and Rainfall Distributions for a 2.1 km, 38 GHz, Vertically Polarized, Line-of-Sight Link. IEEE Trans. Antennas Propag. 2008, 56, 1085–1093. [Google Scholar] [CrossRef]
- Han, C.; Duan, S. Impact of atmospheric parameters on the propagated signal power of millimeter-wave bands based on real measurement data. IEEE Access 2019, 7, 113626–113641. [Google Scholar] [CrossRef]
- Niu, Y.; Li, Y.; Jin, D.; Su, L.; Vasilakos, A.V. A survey of millimeter wave (mmWave) communications for 5G: Opportunities and challenges. Wirel. Netw. 2015, 21, 2657–2676. [Google Scholar] [CrossRef]
- Han, C.; Duan, S. The study on characteristics of rain attenuation along 28 ghz and 38 ghz line-of-sight millimeter-wave links. In Proceedings of the 2019 URSI Asia-Pacific Radio Science Conference (AP-RASC), New Delhi, India, 9–15 March 2019; pp. 1–3. [Google Scholar]
- Liebe, H.J.; Hufford, G.A.; Cotton, M.G. Propagation modeling of moist air and suspended water/ice particles at frequencies below 1000GHz. In Proceedings of the Electromagnetic Wave Propagation Panel Symposium, AGARD Conference Proceedings, Palma, Spain, 17–20 May 1993. [Google Scholar]
- ITU-R P. 838–3 (International Telecommunication Union Radio Communication Bureau Propagation Recommendation). Specific Attenuation Model for Rain for Use in Prediction Methods; ITU-R: Geneva, Switzerland, 2005. [Google Scholar]
- Medhurst, R.G. Rainfall attenuation of centimeter waves: Comparison of theory and measurement. IEEE Trans. Antennas Propag. 1965, 13, 550–564. [Google Scholar] [CrossRef]
- Messer, H. Capitalizing on cellular technology—Opportunities and challenges for near ground weather monitoring. Environ. Sci. Technol. 2018, 5, 73. [Google Scholar] [CrossRef]
- Uijlenhoet, R.; Overeem, A.; Leijnse, H. Opportunistic remote sensing of rainfall using microwave links from cellular communication networks. Wiley Interdiscip. Rev. Water 2018, 5, e1289. [Google Scholar] [CrossRef]
- Chwala, C.; Kunstmann, H. Commercial microwave link networks for rainfall observation: Assessment of the current status and future challenges. Wiley Interdiscip. Rev. Water 2018, 6, e1337. [Google Scholar] [CrossRef]
- Zhang, G.; Han, C.; Ji, B.; Shi, C.; Xie, P.; Yang, L. A new multiple-symbol differential detection strategy for error-floor elimination of IEEE 802.15.4 BPSK receivers impaired by carrier frequency offset. Wirel. Commun. Mob. Comput. 2019, 2019, 5409612. [Google Scholar] [CrossRef]
- Rappaport, T.S.; Xing, Y.; MacCarney, G.R.; Molisch, A.F.; Mellios, E.; Zhang, J. Overview of millimeter wave communications for fifth-generation (5G) wireless networks-with a focus on propagation models. IEEE Trans. Antennas Propag. 2017, 65, 6213–6230. [Google Scholar] [CrossRef]
- ITU-R P. 676–10 (International Telecommunication Union Radio communication Bureau Propagation Recommendation). Attenuation by Atmospheric Gases; ITU-R: Geneva, Switzerland, 2013. [Google Scholar]
- Overeem, A.; Leijnse, H.; Uijlenhoet, R. Retrieval algorithm for rainfall mapping from microwave links in a cellular communication network. Atmos. Meas. Tech. 2016, 9, 2425. [Google Scholar] [CrossRef]
- Han, C.; Bi, Y.; Duan, S.; Lu, G. Rain rate retrieval test from 25 GHz, 28 GHz, and 38 GHz millimeter-wave link measurement in Beijing. IEEE J. Sel. Top. Appl. Earth Obs. Remote Sens. 2019, 12, 2835–2847. [Google Scholar] [CrossRef]
- Bao, L.; Olsson, B.-E.; Hansryd, J. On measurements of availability penalty due to antenna separation in a 2 × 2 LOS-MIMO Link. In Proceedings of the EuCAP, London, UK, 9–13 April 2018. [Google Scholar]
- Davis Wireless Vantage Pro2 Weather Station 6322. Available online: https://www.davisnet.com/weather-monitoring/ (accessed on 31 January 2020).
- Ostrmetzky, J.; Raich, R.; Bao, L.; Hansryd, J.; Messer, H. The wet-antenna effect—A factor to be considered in future communication networks. IEEE Trans. Antennas Propag. 2018, 66, 315–322. [Google Scholar] [CrossRef]
- Leijnse, H.; Uijlenhoet, R.; Berne, A. Errors and uncertainties in microwave link rainfall estimation explored using drop size measurements and high resolution radar data. J. Hydrometeorol. 2010, 11, 1330–1344. [Google Scholar] [CrossRef]
- Zinevich, A.; Messer, H.; Alpert, P. Prediction of rainfall intensity measurement errors using commercial microwave communication links. Atmos. Meas. Tech. 2010, 3, 1385–1402. [Google Scholar] [CrossRef]
- Raich, R.; Alpert, P.; Messer, H. Vertical prediction estimation using microwave links in conjunction with weather radar. Environments 2018, 5, 74. [Google Scholar] [CrossRef]
- Eshel, A.; Messer, H.; Osttrometzky, J.; Raich, R.; Alpert, P.; Laronne, J.B. On the use of measurements from a commercial microwave link for evaluation of flash floods in arid regions. Atmos. Chem. Phys. Discuss. 2017. [Google Scholar] [CrossRef]
- Hoedjes, J.C.B.; Kooiman, A.; Maathuis, B.H.P.; Said, M.Y.; Becht, R.; Limo, A.; Mumo, M.; Nduhiu-Mathenge, J.; Shaka, A.; Su, B. A conceptual flash flood early warning system for Africa, based on terrestrial microwave links and flash flood guidance. ISPRT Int. J. Geo-Inf. 2014, 3, 584–598. [Google Scholar] [CrossRef]
- Liberman, Y.; Samuels, R.; Alpert, P.; Messer, H. New algorithm for integration between wireless microwave sensor network and radar for improved rainfall measurement and mapping. Atmos. Meas. Tech. 2014, 7, 3549–3563. [Google Scholar] [CrossRef]










| Frequency | aH | aV | bH | bV | a | b |
|---|---|---|---|---|---|---|
| 32 GHz | 0.2778 | 0.2646 | 0.9302 | 0.8981 | 0.2646 | 0.8981 |
| 38 GHz | 0.4001 | 0.3844 | 0.8816 | 0.8552 | 0.3844 | 0.8552 |
| 72 GHz | 1.0618 | 1.0561 | 0.7293 | 0.7171 | 1.0561 | 0.7171 |
| 82 GHz | 1.1946 | 1.1915 | 0.7077 | 0.6988 | 1.1915 | 0.6988 |
| Description | Rain Rate (mm/h) | Signal Loss (dB) Per Kilometer | |||
|---|---|---|---|---|---|
| 32 GHz | 38 GHz | 72 GHz | 82 GHz | ||
| Very light rain | R < 1 | < 0.3 | < 0.4 | < 1.1 | <1.2 |
| Light rain | 1 ≤ R < 2 | < 0.5 | < 0.7 | < 1.7 | <1.9 |
| Moderate rain | 2 ≤ R < 5 | < 1.1 | < 1.5 | < 3.3 | <3.7 |
| Heavy rain | 5 ≤ R < 10 | < 2.1 | < 2.75 | < 5.5 | <6.0 |
| Very heavy rain | 10 ≤ R < 20 | < 3.9 | < 5.0 | < 9.1 | <9.7 |
| Extreme rain | R ≥ 20 (e.g., 50) | ≥ 3.8 (8.9) | ≥ 5.0 (10.9) | ≥ 9.1 (17.5) | ≥9.7 (18.3) |
| Parameter | 32 GHz | 38 GHz | 72.625 GHz | 82.625 GHz |
|---|---|---|---|---|
| Sampling interval | 30 s | |||
| Antenna type | Cassegrain antenna | |||
| Location | 57°42′18.97″ N, 11°56′29.67″ E; 57°44′52.8″ N, 12°1′26.4″ E | 57°42′18.97″ N, 11°56′29.67″ E; 57°41′20.04″ N, 11°54′10.76″ E | ||
| Link length | 6.87 km | 3 km | ||
| Setup | MIMO | SISO | SISO | SISO |
| Antenna no. | 2 × 2 | 1 × 1 | 1 × 1 | 1 × 1 |
| Antenna Separation | 5 m; 7.93 m | N/A | N/A | N/A |
| Tx power | 5 dBm | 15 dBm | 7 dBm | 7 dBm |
| Tx antenna gain | 43.6 dBi | 40.3 dBi | 50.5 dBi | 50.5 dBi |
| Tx half power beam width | 0.5° | 0.5° | 0.5° | 0.5° |
| Tx polarization | V | V | V | V |
| Rx antenna gain | 43.6 dBi | 40.3 dBi | 50.5 dBi | 50.5 dBi |
| Rx half power beam width | 0.5° | 0.5° | 0.5° | 0.5° |
| Rx polarization | V | V | V | V |
| Frequency | Data Stream | Correction | Correlation | RMSD | BIAS |
|---|---|---|---|---|---|
| 32 GHz | 1 (link 1) | 1.5 dB | 0.87 | 0.95 | 0.60 |
| 2 (link 1) | 1.5 dB | 0.88 | 0.84 | 0.56 | |
| 1 (link 2) | 1.5 dB | 0.84 | 1.00 | 0.55 | |
| 2 (link 2) | 1.5 dB | 0.85 | 0.94 | 0.49 | |
| 38 GHz | 1 (link 1) | 1.0 dB | 0.90 | 0.36 | 0.06 |
| 1 (link 2) | 1.0 dB | 0.88 | 0.48 | 0.25 | |
| 73 GHz | 1 (link 1) | 1.5 dB | 0.83 | 0.48 | 0.12 |
| 83 GHz | 1 (link 2) | 1.75 dB | 0.80 | 0.61 | 0.26 |
© 2020 by the authors. Licensee MDPI, Basel, Switzerland. This article is an open access article distributed under the terms and conditions of the Creative Commons Attribution (CC BY) license (http://creativecommons.org/licenses/by/4.0/).
Share and Cite
Han, C.; Huo, J.; Gao, Q.; Su, G.; Wang, H. Rainfall Monitoring Based on Next-Generation Millimeter-Wave Backhaul Technologies in a Dense Urban Environment. Remote Sens. 2020, 12, 1045. https://doi.org/10.3390/rs12061045
Han C, Huo J, Gao Q, Su G, Wang H. Rainfall Monitoring Based on Next-Generation Millimeter-Wave Backhaul Technologies in a Dense Urban Environment. Remote Sensing. 2020; 12(6):1045. https://doi.org/10.3390/rs12061045
Chicago/Turabian StyleHan, Congzheng, Juan Huo, Qingquan Gao, Guiyang Su, and Hao Wang. 2020. "Rainfall Monitoring Based on Next-Generation Millimeter-Wave Backhaul Technologies in a Dense Urban Environment" Remote Sensing 12, no. 6: 1045. https://doi.org/10.3390/rs12061045
APA StyleHan, C., Huo, J., Gao, Q., Su, G., & Wang, H. (2020). Rainfall Monitoring Based on Next-Generation Millimeter-Wave Backhaul Technologies in a Dense Urban Environment. Remote Sensing, 12(6), 1045. https://doi.org/10.3390/rs12061045

