Large Uncertainty on Forest Area Change in the Early 21st Century among Widely Used Global Land Cover Datasets
Abstract
1. Introduction
2. Materials and Methods
2.1. Materials
2.1.1. VCF
2.1.2. Hansen
2.1.3. MCD12C1
2.1.4. CCI-LC
2.1.5. LUH2
2.1.6. FRA Reports
2.1.7. USGS Global Land Cover Validation Data
2.2. Data Processing
2.3. Statistical Indicators
3. Results
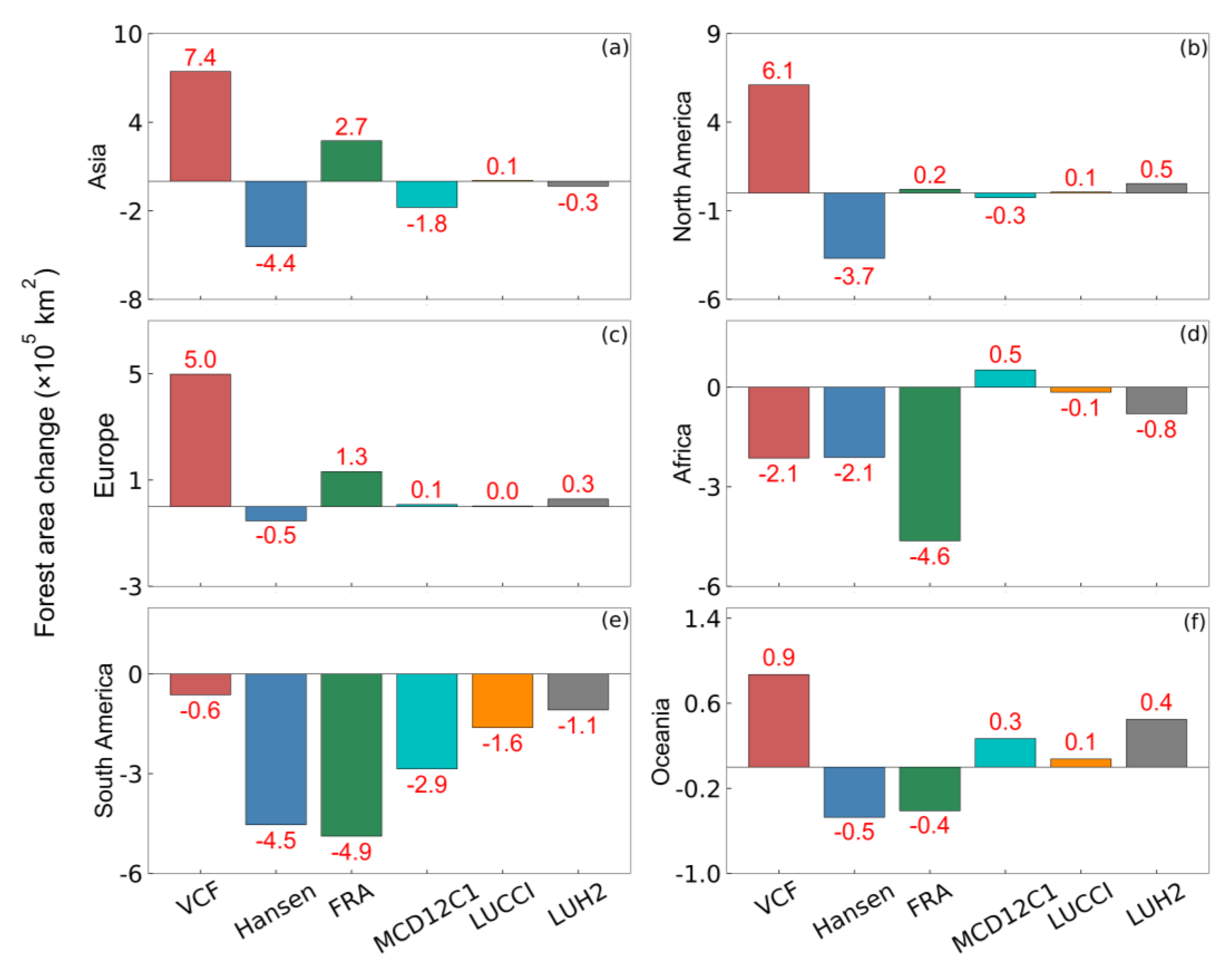
3.1. Total Forest Area Change from 2001 to 2012
3.2. Spatial Distribution of Forest Change from 2001 to 2012
3.3. Annual Forest Area Change in Five Datasets from 2001 to 2012
3.4. Comparison of Forest Area Change at Country Level
4. Discussion
4.1. Accuracy Assessment Using Global Land Cover Validation
4.2. Possible issues in VCF
4.3. Impacts of Tree Cover Definition and Land Cover Classification System
5. Conclusions
Author Contributions
Funding
Acknowledgments
Conflicts of Interest
References
- FAO. Global Forest Resources Assessments 2020: Main Report; The Food and Agricultural Organization of the United Nations: Rome, Italy, 2020.
- Kurz, W.A.; Dymond, C.C.; Stinson, G.; Rampley, G.J.; Neilson, E.T.; Carroll, A.L.; Ebata, T.; Safranyik, L. Mountain pine beetle and forest carbon feedback to climate change. Nature 2008, 452, 987–990. [Google Scholar] [CrossRef] [PubMed]
- Seidl, R.; Thom, D.; Kautz, M.; Martin-Benito, D.; Peltoniemi, M.; Vacchiano, G.; Wild, J.; Ascoli, D.; Petr, M.; Honkaniemi, M.P.J.; et al. Forest disturbances under climate change. Nat. Clim. Chang. 2017, 7, 395–402. [Google Scholar] [CrossRef] [PubMed]
- Keenan, T.F.; Hollinger, D.Y.; Bohrer, G.; Dragoni, D.; Munger, J.W.; Schmid, H.P.; Richardson, A.D. Increase in forest water-use efficiency as atmospheric carbon dioxide concentrations rise. Nat. Cell Biol. 2013, 499, 324–327. [Google Scholar] [CrossRef] [PubMed]
- Williams, S.E.; Marsh, H.; Winter, J. Spatial scale, species diversity, and habitat structure: Small mammals in Australian tropical rain forest. Ecology 2002, 83, 1317–1329. [Google Scholar] [CrossRef]
- McDonnell, M.J.; Pickett, S.T.A. Ecosystem Structure and Function along Urban-Rural Gradients: An Unexploited Opportunity for Ecology. Ecology 1990, 71, 1232–1237. [Google Scholar] [CrossRef]
- Bonan, G.B. Forests and Climate Change: Forcings, Feedbacks, and the Climate Benefits of Forests. Science 2008, 320, 1444–1449. [Google Scholar] [CrossRef]
- Brack, C. Pollution mitigation and carbon sequestration by an urban forest. Environ. Pollut. 2002, 116, S195–S200. [Google Scholar] [CrossRef]
- Nowak, D.J.; Hirabayashi, S.; Bodine, A.; Greenfield, E. Tree and forest effects on air quality and human health in the United States. Environ. Pollut. 2014, 193, 119–129. [Google Scholar] [CrossRef]
- North, M.; Stephens, S.L.; Collins, B.M.; Agee, J.K.; Aplet, G.; Franklin, J.F.; Fule, P.Z. Reform forest fire management. Science 2015, 349, 1280–1281. [Google Scholar] [CrossRef]
- Pureswaran, D.S.; Roques, A.; Battisti, A. Forest Insects and Climate Change. Curr. For. Rep. 2018, 4, 35–50. [Google Scholar] [CrossRef]
- Bethel, J.S.; Schreuder, G.F. Forest Resources: An Overview. Science 1976, 191, 747–752. [Google Scholar]
- Zhu, Z.; Piao, S.; Myneni, R.B.; Huang, M.; Zeng, Z.; Canadell, J.G.; Ciais, P.; Sitch, S.; Friedlingstein, P.; Arneth, A.; et al. Greening of the Earth and its drivers. Nat. Clim. Chang. 2016, 6, 791–795. [Google Scholar] [CrossRef]
- Kovacic, Z.; Salazar, O.V. The lose-lose predicament of deforestation through subsistence farming: Unpacking agricultural expansion in the Ecuadorian Amazon. J. Rural Stud. 2017, 51, 105–114. [Google Scholar] [CrossRef]
- Feldpausch, T.R.; Phillips, O.L.; Brienen, R.J.W.; Gloor, E.; Lloyd, J.; Lopez-Gonzalez, G.; Monteagudo-Mendoza, A.; Malhi, Y.; Alarcón, A.; Dávila, E.Á.; et al. Amazon forest response to repeated droughts. Glob. Biogeochem. Cycles 2016, 30, 964–982. [Google Scholar] [CrossRef]
- McPherson, E.G.; Nowak, D.; Heisler, G.; Grimmond, C.; Souch, C.; Grant, R.; Rowntree, R. Quantifying urban forest structure, function, and value: The Chicago Urban Forest Climate Project. Urban Ecosyst. 1997, 1, 49–61. [Google Scholar] [CrossRef]
- Zak, M.; Cabido, M.; Cáceres, D.; Díaz, S. What Drives Accelerated Land Cover Change in Central Argentina? Synergistic Consequences of Climatic, Socioeconomic, and Technological Factors. Environ. Manag. 2008, 42, 181–189. [Google Scholar] [CrossRef]
- Yang, J.; Gong, P.; Fu, R.; Zhang, M.; Chen, J.; Liang, S.; Xu, B.; Shi, J.; Dickinson, R.E. The role of satellite remote sensing in climate change studies. Nat. Clim. Chang. 2013, 3, 875–883. [Google Scholar] [CrossRef]
- Pérez-Hoyos, A.; Rembold, F.; Kerdiles, H.; Gallego, J. Comparison of Global Land Cover Datasets for Cropland Monitoring. Remote Sens. 2017, 9, 1118. [Google Scholar] [CrossRef]
- Fermi, V.E. Identifying and quantifying uncertainty and spatial disagreement in the comparison of Global Land Cover for different applications. Glob. Chang. Biol. 2008, 14, 1057–1075. [Google Scholar] [CrossRef]
- Townshend, J.R.; Masek, J.G.; Huang, C.; Vermote, E.F.; Gao, F.; Channan, S.; Sexton, J.O.; Feng, M.; Narasimhan, R.; Kim, D.; et al. Global characterization and monitoring of forest cover using Landsat data: Opportunities and challenges. Int. J. Digit. Earth 2012, 5, 373–397. [Google Scholar] [CrossRef]
- Qiu, B.; Chen, G.; Tang, Z.; Lu, D.; Wang, Z.; Chen, C. Assessing the Three-North Shelter Forest Program in China by a novel framework for characterizing vegetation changes. ISPRS J. Photogramm. Remote Sens. 2017, 133, 75–88. [Google Scholar] [CrossRef]
- Keenan, R.J.; Reams, G.A.; Achard, F.; De Freitas, J.V.; Grainger, A.; Lindquist, E. Dynamics of global forest area: Results from the FAO Global Forest Resources Assessment 2015. For. Ecol. Manag. 2015, 352, 9–20. [Google Scholar] [CrossRef]
- Zeng, Z.; Estes, L.; Ziegler, A.D.; Chen, A.; Searchinger, T.; Hua, F.; Guan, K.; Jintrawet, A.; Wood, E.F. Highland cropland expansion and forest loss in Southeast Asia in the twenty-first century. Nat. Geosci. 2018, 11, 556–562. [Google Scholar] [CrossRef]
- Gardner, T.A.; Barlow, J.; Chazdon, R.; Ewers, R.M.; Harvey, C.A.; Peres, C.A.; Sodhi, N.S. Prospects for tropicalal forest biodiversity in a human-modified world. Ecol. Lett. 2009, 12, 561–582. [Google Scholar] [CrossRef]
- Hansen, M.; DeFries, R.S. Detecting Long-term Global Forest Change Using Continuous Fields of Tree-Cover Maps from 8-km Advanced Very High Resolution Radiometer (AVHRR) Data for the Years 1982–99. Ecosystems 2004, 7, 695–716. [Google Scholar] [CrossRef]
- Song, X.-P.; Hansen, M.C.; Stehman, S.V.; Potapov, P.V.; Tyukavina, A.; Vermote, E.F.; Townshend, J.R. Global land change from 1982 to 2016. Nat. Cell Biol. 2018, 560, 639–643. [Google Scholar] [CrossRef]
- Hansen, M.C.; Potapov, P.V.; Moore, R.; Hancher, M.; Turubanova, S.A.; Tyukavina, A.; Thau, D.; Stehman, S.V.; Goetz, S.J.; Kommareddy, A.; et al. High-Resolution Global Maps of 21st-Century Forest Cover Change. Science 2013, 342, 850–853. [Google Scholar] [CrossRef]
- FAO. Global Forest Resources Assessments 2000; FAO Forestry Paper 140; The Food and Agricultural Organization of the United Nations: Rome, Italy, 2001.
- FAO. Global Forest Resources Assessments 2010; FAO Forestry Paper 163; The Food and Agricultural Organization of the United Nations: Rome, Italy, 2010.
- FAO. Global Forest Resources Assessments 2015; FAO Forestry Paper 1; The Food and Agricultural Organization of the United Nations: Rome, Italy, 2015.
- Ordway, E.M.; Asner, G.P.; Lambin, E.F. Deforestation risk due to commodity crop expansion in sub-Saharan Africa Deforestation risk due to commodity crop expansion in sub-Saharan Africa. Environ. Res. Lett. 2017, 12, 044015. [Google Scholar] [CrossRef]
- Qin, Y.; Xiao, X.; Dong, J.; Zhang, Y.; Wu, X.; Shimabukuro, Y.; Arai, E.; Biradar, C.; Wang, J.; Zou, Z.; et al. Improved estimates of forest cover and loss in the Brazilian Amazon in 2000–2017. Nat. Sustain. 2019, 2, 764–772. [Google Scholar] [CrossRef]
- Gibbs, H.K.; Ruesch, A.S.; Achard, F.; Clayton, M.K.; Holmgren, P.; Ramankutty, N.; Foley, J.A. Tropical forests were the primary sources of new agricultural land in the 1980s and 1990s. Proc. Natl. Acad. Sci. USA 2010, 107, 16732–16737. [Google Scholar] [CrossRef]
- Song, X.; Hansen, M.C.; Stephen, V.; Peter, V.; Tyukavina, A.; Vermote, E.F.; Townshend, J.R. The Vegetation Continuous Fields. 2018. Available online: https://glad.umd.edu/dataset/long-term-global-land-change (accessed on 28 June 2019).
- Hansen, M.C.; Potapov, P.V.; Moore, R.; Hancher, M.; Turubanova, S.A.; Tyukavina, A.; Thau, D.; Stehman, S.V.; Goetz, S.J.; Loveland, T.R.; et al. Global Forest Change 2000–2017 Data, Version 1.5. 2013. Available online: https://earthenginepartners.appspot.com/science-2013-global-forest/download_v1.5.html (accessed on 28 June 2019).
- Terra and Aqua combined Moderate Resolution Imaging Spectroradiometer Land Cover Climate Modeling Grid (MCD12C1). Available online: https://lpdaac.usgs.gov/products/mcd12c1v006/ (accessed on 3 July 2019).
- Sulla-menashe, D.; Friedl, M.A. User Guide to Collection 6 MODIS Land Cover (MCD12Q1 and MCD12C1) Product; USGS: Reston, VA, USA, 2018; pp. 1–18.
- The Europe Space Agency (ESA). Land Cover Project of the Climate Change Initiative (CCI-LC) Data. Available online: https://www.esa-landcover-cci.org/?q=node/1 (accessed on 3 July 2019).
- Bontemps, S.; Herold, M.; Kooistra, L.; Van Groenestijn, A.; Hartley, A.; Arino, O.; Moreau, I.; Defourny, P. Revisiting land cover observation to address the needs of the climate modeling community. Biogeosciences 2012, 9, 2145–2157. [Google Scholar] [CrossRef]
- Hurtt, G.C.; Chini, L.; Sahajpal, R.; Frolking, S.; Bodirsky, B.L.; Calvin, K.; Doelman, J.C.; Fisk, J.; Fujimori, S.; Goldewijk, K.K.; et al. Harmonization of Global Land-Use Change and Management for the Period 850–2100 (LUH2) for CMIP6. Geosci. Model Dev. Discuss. 2020, 2020, 1–65. [Google Scholar] [CrossRef]
- Global Ecology Laboratory, University of Maryland. The New Generation of Land-Use Harmonization (LUH2). Available online: https://www.wcrp-climate.org/wgcm-cmip/wgcm-LUH2 (accessed on 28 June 2019).
- Olofsson, P.; Stehman, S.V.; Woodcock, C.E.; Sulla-Menashe, D.; Sibley, A.M.; Newell, J.D.; Friedl, M.A.; Herold, M. A global land-cover validation data set, part I: Fundamental design principles. Int. J. Remote Sens. 2012, 33, 5768–5788. [Google Scholar] [CrossRef]
- Pengra, B.; Long, J.; Dahal, D.; Stehman, S.V.; Loveland, T.R. A global reference database from very high resolution commercial satellite data and methodology for application to Landsat derived 30 m continuous field tree cover data. Remote Sens. Environ. 2015, 165, 234–248. [Google Scholar] [CrossRef]
- Hansen, M.C.; Stehman, S.V.; Potapov, P.V. Quantification of global gross forest cover loss. Proc. Natl. Acad. Sci. USA 2010, 107, 8650–8655. [Google Scholar] [CrossRef]
- Chazdon, R.L.; Brancalion, P.H.S.; Laestadius, L.; Bennett-Curry, A.; Buckingham, K.; Kumar, C.; Moll-Rocek, J.; Vieira, I.C.G.; Wilson, S.J. When is a forest a forest? Forest concepts and definitions in the era of forest and landscape restoration. Ambio 2016, 45, 538–550. [Google Scholar] [CrossRef] [PubMed]
- Lesiv, M.; Moltchanova, E.; Schepaschenko, D.; See, L.; Shvidenko, A.; Comber, A.; Fritz, S. Comparison of data fusion methods using crowd sourced data in creating a hybrid forest cover map. Remote Sens. 2016, 8, 261. [Google Scholar] [CrossRef]
- Schepaschenko, D.; See, L.; Lesiv, M.; McCallum, I.; Fritz, S.; Salk, C.; Moltchanova, E.; Perger, C.; Shchepashchenko, M.; Shvidenko, A.; et al. Development of a global hybrid forest mask through the synergy of remote sensing, crowdsourcing and FAO statistics. Remote Sens. Environ. 2015, 162, 208–220. [Google Scholar] [CrossRef]










| Dataset | Temporal Coverage | Temporal Resolution | Spatial Resolution | Spatial Coverage | Reference |
|---|---|---|---|---|---|
| VCF | 1982–2016 | Yearly | 0.05° | Global | Song et al., 2018 [27] |
| Hansen | 2001–2017 | Yearly | 30 m | Global | Hansen et al., 2013 [28] |
| MCD12C1 | 2001–2017 | Yearly | 0.05° | Global | Sulla-Menashe and Friedl, 2018 [38] |
| CCI-LC | 1992–2015 | Yearly | 300 m | Global | Bontemps et al., 2013 [40] |
| LUH2 | 850–2100 | Yearly | 0.25° | Global | Hurtt et al., 2020 [41] |
| VCF | Hansen | FRA | MCD12C1 | CCI-LC | LUH2 | ||
|---|---|---|---|---|---|---|---|
| Country | Forest Area (×104 km2) | Forest Area Change (×104 km2) | |||||
| Russia | 814.93 | 65.44 | −21.89 | 5.66 | 0.24 | 2.54 | 4.64 |
| Canada | 347.07 | 30.10 | −19.13 | −0.73 | 5.07 | 2.45 | 0.64 |
| USA | 310.10 | 26.88 | −13.24 | 6.56 | −5.19 | −0.97 | 4.67 |
| China | 208.32 | 24.03 | −4.14 | 31.32 | 7.44 | −0.49 | 2.30 |
| Brazil | 493.54 | −11.61 | −29.60 | −27.74 | −19.26 | −9.81 | −8.41 |
| Australia | 124.75 | 6.48 | −4.57 | −4.09 | 2.68 | 0.48 | 1.08 |
| Kazakhstan | 3.31 | −0.43 | −0.06 | −0.06 | −0.29 | 2.08 | −0.03 |
| India | 70.68 | 2.24 | −0.69 | 5.29 | 2.98 | 0.23 | 0.06 |
| Argentina | 27.11 | −4.42 | −4.28 | −4.75 | −0.63 | −3.12 | −0.14 |
Publisher’s Note: MDPI stays neutral with regard to jurisdictional claims in published maps and institutional affiliations. |
© 2020 by the authors. Licensee MDPI, Basel, Switzerland. This article is an open access article distributed under the terms and conditions of the Creative Commons Attribution (CC BY) license (http://creativecommons.org/licenses/by/4.0/).
Share and Cite
Chen, H.; Zeng, Z.; Wu, J.; Peng, L.; Lakshmi, V.; Yang, H.; Liu, J. Large Uncertainty on Forest Area Change in the Early 21st Century among Widely Used Global Land Cover Datasets. Remote Sens. 2020, 12, 3502. https://doi.org/10.3390/rs12213502
Chen H, Zeng Z, Wu J, Peng L, Lakshmi V, Yang H, Liu J. Large Uncertainty on Forest Area Change in the Early 21st Century among Widely Used Global Land Cover Datasets. Remote Sensing. 2020; 12(21):3502. https://doi.org/10.3390/rs12213502
Chicago/Turabian StyleChen, He, Zhenzhong Zeng, Jie Wu, Liqing Peng, Venkataraman Lakshmi, Hong Yang, and Junguo Liu. 2020. "Large Uncertainty on Forest Area Change in the Early 21st Century among Widely Used Global Land Cover Datasets" Remote Sensing 12, no. 21: 3502. https://doi.org/10.3390/rs12213502
APA StyleChen, H., Zeng, Z., Wu, J., Peng, L., Lakshmi, V., Yang, H., & Liu, J. (2020). Large Uncertainty on Forest Area Change in the Early 21st Century among Widely Used Global Land Cover Datasets. Remote Sensing, 12(21), 3502. https://doi.org/10.3390/rs12213502
