Can We Use Satellite-Based Soil-Moisture Products at High Resolution to Investigate Land-Use Differences and Land–Atmosphere Interactions? A Case Study in the Savanna
Abstract
1. Introduction
2. Methods and Data
2.1. Region Analysed and In Situ Data
2.2. Satellite-Based Soil-Moisture Products
- 1.
- DISPATCH (1 km): The Disaggregation based on Physical And Theoretical scale Change (DISPATCH) [29,30] approach relates the SMOS SM to the soil evaporative efficiency (SEE, ratio of actual to potential soil evaporation) derived from the Moderate Resolution Imaging Spectroradiometer (MODIS) LST and NDVI data. A digital elevation model was also used to correct the LST for elevation effects prior to the SEE estimation. A SEE model is first calibrated at the SMOS pixel scale using the SMOS SM and aggregated MODIS-derived SEE. The DISPATCH disaggregated SM within the selected SMOS pixel is then expressed as a Taylor series expansion around the SMOS SM given the calibrated SEE (SM) model and the 1 km SEE difference to the SMOS resolution.
- 2.
- SMOS-BEC L4 (1 km): The SMOS-Barcelona Expert Center (SMOS-BEC) [31,32] disaggregation approach relates the SMOS SM to ancillary data composed of the normalized LST from the European Centre for Medium-Range Weather Forecasts (ECMWF), the MODIS NDVI and the normalized SMOS brightness temperatures at three distinct incidence angles in the vertical and horizontal polarizations. The five empirical coefficients of this relationship were first estimated by aggregating the ECMWF and MODIS data at SMOS resolution (i.e., 25 km) and by applying the equation to several SMOS pixels (a window composed of nine pixels in [32]) around the selected SMOS pixel. The SMOS-BEC disaggregated SM within the moving window was then estimated by applying the calibrated equation to the 1 km resolution data. The SMOS brightness temperatures used as inputs were previously re-sampled at a 1 km resolution to fit the output downscaling resolution. As DISPATCH and SMOS-BEC have different grid coordinates, the 1-km grid of SMOS-BEC was interpolated to the same 1-km grid as DISPATCH using the nearest neighbour interpolation method, in order to compare both with the LU data prepared in the same reference grid.
- 3.
- SMOS: In order to compare the performance of the downscaling products when compared to in situ data, the 25-km resolution (Equal-Area Scalable Earth Grid (EASE)) level-3 RE04 SMOS dataset provided by CATDS (Centre Aval de Traitement des Données SMOS) was used, obtained at the pixel of the experimental site. Three different quality indicators of SMOS were employed to filter data with lower quality: radiofrequency interference (Rfi), data quality index (dqx), and Chi2. Specifically, a similar approach to [27] (their Equation (4)) was used, where these three quality indicators were merged together to provide a unique quality index (Qi) ranging between 0 and 1 (with 0 being the highest quality). In this work, all the data with a Qi > 0.5 were considered as low quality, filtering all these data for SMOS, but also for DISPATCH and SMOS-BEC as they also used the same SMOS retrievals in their algorithms. Note that, in many cases, these low-quality data were already filtered in the own algorithms of DISPATCH and SMOS-BEC.
2.3. Land Use Data
2.4. API Model Data: Rainfall and Temperature
2.5. Soil Type Data
3. Results
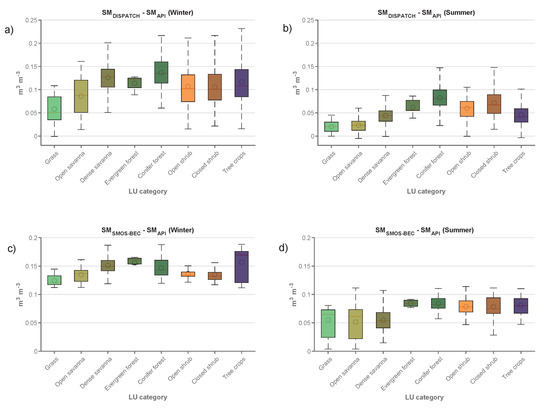
3.1. Land Use and Soil Moisture Relationship
Evolution of SM Differences through the Year and Comparison with the In Situ Data
3.2. Satellite Data at the Specific Pixel Versus ‘In Situ’ Data
Using SM from Satellite to Investigate Land–Atmosphere Interactions
- 1.
- The drying period in late spring (May, red): This period is indicated in red and corresponds to the drying observed after the last rain event of the rainy season. The Le/Rnet decreases progressively as does the SM measured at 10 cm (Figure 8a,b). It clearly represents the so-called transitional zone where the plant activity is limited and dominated by the amount of SM. The SM decrease is well observed with the smoothed values of SM from DISPATCH and SMOS (Figure 8d and h), finding Le/Rnet and SM correlations that are similar to those observed with the in situ data (0.77 and 0.69 versus 0.80 with in situ data). However, SMOS-BEC was not able to reproduce the SM decrease in this period, showing an increase in SM during May (correlation −0.68). This was possibly caused by the smoothing applied in SMOS-BEC with the nearby SMOS pixels, which could include rain from other pixels to the analysed point.
- 2.
- The start of the rainy season (October, blue): This period is shown in blue in the graphics and corresponds to the progressive wetting associated with several consecutive rain events in October. In this case, there was also a clear response of the plants to the water input, increasing their activity as more water is available for photosynthesis, with a positive correlation of 0.77 between ET and SM (Figure 8a,b). The plant is here again in the transitional zone in which the evapotranspiration is directly linked to the SM content. This relationship is also observed when using the SM from the three SBSM products (Figure 8c–h). The correlations found using SMOS and SMOS-BEC agree relatively well with those found with the in situ data.
- 3.
- The drying period without water limitation (November, green): This is a period with few and light rain events, associated with the progressive drying of the soil but starting from a relatively humid soil in November (shown in green in Figure 8) and without the strong evaporation of other months due to the smaller values of radiation during this period of the year. The correlation between the Le/Rnet and SM was low and even slightly negative according to the in situ measurements, which indicated that the measured ET had no relation with the SM; the Le/Rnet continued to increase despite the SM decrease (measured at 10 cm). Comparing the in situ figures (Figure 8a,b) with the one obtained from satellite (Figure 8c–h), the three SBSM products were able to correctly represent this decrease in SM, obtaining a similar type of graphics and correlations. However, a weak SM increase was observed in mid-November from the SBSM products and not from the in situ data. Some light rain events were observed at the site, slightly affecting the 10-cm SM measured at the grass but not beneath the trees (due to the tree interception). As the SBSM products measure the SM at the upper layer of the soil, these signals in the SBSM products can be due to the differences in depth between the in situ and the satellite data. Therefore, in these cases when the rain is not intense enough to infiltrate deep in the soil, the SBSM products provide additional information about the most superficial layer that can be useful to relate with the transfers between the surface and the atmosphere. The increase in the Le/Rnet in mid-November was likely caused by the direct evaporation from the soil under these conditions.
4. Summary and Conclusions
Author Contributions
Funding
Acknowledgments
Conflicts of Interest
Abbreviations
| BEC | Barcelona Expert Center |
| DISPATCH | Disaggregation based on Physical And Theoretical scale Change |
| ECMWF | European Centre for Medium-Range Weather Forecasts |
| LST | Land surface temperature |
| LU | Land use |
| MODIS | Moderate Resolution Imaging Spectroradiometer |
| MW | Microwave |
| NDVI | Normalised differences vegetation index |
| SBSM | Satellite-based soil moisture |
| SEE | Soil evaporative efficiency |
| SM | Soil Moisture |
| SMOS | Soil Moisture Ocean Salinity |
| SYPNA | Information Systems about the Natural Resources of Andalusia |
References
- Wagner, W.; Dorigo, W.; de Jeu, R.; Fernandez, D.; Benveniste, J.; Haas, E.; Ertl, M. Fusion of active and passive microwave observations to create an essential climate variable data record on soil moisture. ISPRS Ann. Photogramm. Remote Sens. Spatial Inf. Sci. 2012, 7, 315–321. [Google Scholar]
- Rodriguez-Iturbe, I. Ecohydrology: A hydrologic perspective of climate-soil-vegetation dynamics. Water Resour. Res. 2000, 36, 3–9. [Google Scholar] [CrossRef]
- Seneviratne, S.I.; Corti, T.; Davin, E.L.; Hirschi, M.; Jaeger, E.B.; Lehner, I.; Orlowsky, B.; Teuling, A.J. Investigating soil moisture–climate interactions in a changing climate: A review. Earth Sci. Rev. 2010, 99, 125–161. [Google Scholar] [CrossRef]
- Falloon, P.; Jones, C.D.; Ades, M.; Paul, K. Direct soil moisture controls of future global soil carbon changes: An important source of uncertainty. Global Biogeochem. Cycles 2011, 25. [Google Scholar] [CrossRef]
- Green, J.K.; Seneviratne, S.I.; Berg, A.M.; findell, K.L.; Hagemann, S.; Lawrence, D.M.; Gentine, P. Large influence of soil moisture on long-term terrestrial carbon uptake. Nature 2019, 565, 476. [Google Scholar] [CrossRef]
- Pellarin, T.; Laurent, J.P.; Cappelaere, B.; Decharme, B.; Descroix, L.; Ramier, D. Hydrological modelling and associated microwave emission of a semi-arid region in South-western Niger. J. Hydrol. 2009, 375, 262–272. [Google Scholar] [CrossRef]
- Viterbo, P.; Betts, A.K. Impact of the ECMWF reanalysis soil water on forecasts of the July 1993 Mississippi flood. J. Geophys. Res. Atmosph. 1999, 104, 19361–19366. [Google Scholar] [CrossRef]
- Perkins, S.E.; Argüeso, D.; White, C.J. Relationships between climate variability, soil moisture, and Australian heatwaves. J. Geophys. Res. Atmosph. 2015, 120, 8144–8164. [Google Scholar] [CrossRef]
- Blackburn, J.K.; McNyset, K.M.; Curtis, A.; Hugh-Jones, M.E. Modeling the geographic distribution of Bacillus anthracis, the causative agent of anthrax disease, for the contiguous United States using predictive ecologic niche modeling. Am. J. Tropic. Med. Hygien. 2007, 77, 1103–1110. [Google Scholar] [CrossRef]
- Jeffery, S.; Van der Putten, W.H. Soil Borne Human Diseases; Publications office of the European Union: Luxembourg, 2011. [Google Scholar]
- Brocca, L.; Morbidelli, R.; Melone, F.; Moramarco, T. Soil moisture spatial variability in experimental areas of central Italy. J. Hydrol. 2007, 333, 356–373. [Google Scholar] [CrossRef]
- Western, A.W.; Zhou, S.L.; Grayson, R.B.; McMahon, T.A.; Blöschl, G.; Wilson, D.J. Spatial correlation of soil moisture in small catchments and its relationship to dominant spatial hydrological processes. J. Hydrol. 2004, 286, 113–134. [Google Scholar] [CrossRef]
- Cuxart, J.; Wrenger, B.; Martínez-Villagrasa, D.; Reuder, J.; Jonassen, M.O.; Jiménez, M.A.; Lothon, M.; Lohou, F.; Hartogensis, O.; Dünnermann, J.; et al. Estimation of the advection effects induced by surface heterogeneities in the surface energy budget. Atmos. Chem. Phys. 2016, 16, 9489–9504. [Google Scholar] [CrossRef]
- Gómez-Plaza, A.; Alvarez-Rogel, J.; Albaladejo, J.; Castillo, V. Spatial patterns and temporal stability of soil moisture across a range of scales in a semi-arid environment. Hydrol. Processes 2000, 14, 1261–1277. [Google Scholar] [CrossRef]
- Zhou, J.; Fu, B.; Lü, N.; Gao, G.; Lü, Y.; Wang, S. Temporal stability of soil moisture under different land uses/cover in the Loess Plateau based on a finer spatiotemporal scale. Hydrol. Earth Syst. Sci. Discuss. 2013, 10, 10083–10125. [Google Scholar] [CrossRef]
- Dari, J.; Morbidelli, R.; Saltalippi, C.; Massari, C.; Brocca, L. Spatial-temporal variability of soil moisture: Addressing the monitoring at the catchment scale. J. Hydrol. 2019, 570, 436–444. [Google Scholar] [CrossRef]
- Köchy, M.; Wilson, S.D. Competitive effects of shrubs and grasses in prairie. Oikos 2000, 91, 385–395. [Google Scholar] [CrossRef]
- Weltzin, J.F.; McPherson, G.R. Spatial and temporal soil moisture resource partitioning by trees and grasses in a temperate savanna, Arizona, USA. Oecologia 1997, 112, 156–164. [Google Scholar] [CrossRef]
- James, S.E.; Pärtel, M.; Wilson, S.D.; Peltzer, D.A. Temporal heterogeneity of soil moisture in grassland and forest. J. Ecol. 2003, 91, 234–239. [Google Scholar] [CrossRef]
- Goutorbe, J.P.; Lebel, T.; Dolman, A.; Gash, J.; Kabat, P.; Kerr, Y.; Monteny, B.; Prince, S.; Stricker, J.; Tinga, A. An overview of HAPEX-Sahel: A study in climate and desertification. J. Hydrol. 1997, 188, 4–17. [Google Scholar] [CrossRef]
- Wang, L.; Qu, J.J. Satellite remote sensing applications for surface soil moisture monitoring: A review. Front. Earth Sci. China 2009, 3, 237–247. [Google Scholar] [CrossRef]
- Kerr, Y.H.; Waldteufel, P.; Richaume, P.; Wigneron, J.P.; Ferrazzoli, P.; Mahmoodi, A.; Al Bitar, A.; Cabot, F.; Gruhier, C.; Juglea, S.E.; et al. The SMOS soil moisture retrieval algorithm. IEEE Trans. Geosci. Remote Sens. 2012, 50, 1384–1403. [Google Scholar] [CrossRef]
- Entekhabi, D.; Njoku, E.G.; O’Neill, P.E.; Kellogg, K.H.; Crow, W.T.; Edelstein, W.N.; Entin, J.K.; Goodman, S.D.; Jackson, T.J.; Johnson, J.; et al. The soil moisture active passive (SMAP) mission. Proc. IEEE 2010, 98, 704–716. [Google Scholar] [CrossRef]
- Pellarin, T.; Ali, A.; Chopin, F.; Jobard, I.; Bergès, J.C. Using spaceborne surface soil moisture to constrain satellite precipitation estimates over West Africa. Geophys. Res. Lett. 2008, 35, L02813. [Google Scholar] [CrossRef]
- Brocca, L.; Pellarin, T.; Crow, W.T.; Ciabatta, L.; Massari, C.; Ryu, D.; Su, C.H.; Rüdiger, C.; Kerr, Y. Rainfall estimation by inverting SMOS soil moisture estimates: A comparison of different methods over Australia. J. Geophys. Res. Atmos. 2016, 121, 12-062. [Google Scholar] [CrossRef]
- Kerr, Y.H.; Al-Yaari, A.; Rodriguez-Fernandez, N.; Parrens, M.; Molero, B.; Leroux, D.; Bircher, S.; Mahmoodi, A.; Mialon, A.; Richaume, P.; et al. Overview of SMOS performance in terms of global soil moisture monitoring after six years in operation. Remote Sens. Environ. 2016, 180, 40–63. [Google Scholar] [CrossRef]
- Román-Cascón, C.; Pellarin, T.; Gibon, F.; Brocca, L.; Cosme, E.; Crow, W.; Fernández-Prieto, D.; Kerr, Y.H.; Massari, C. Correcting satellite-based precipitation products through SMOS soil moisture data assimilation in two land-surface models of different complexity: API and SURFEX. Remote Sens. Environ. 2017, 200, 295–310. [Google Scholar] [CrossRef]
- Gibon, F.; Pellarin, T.; Román-Cascón, C.; Alhassane, A.; Traoré, S.; Kerr, Y.; Seen, D.L.; Baron, C. Millet yield estimates in the Sahel using satellite derived soil moisture time series. Agric. For. Meteorol. 2018, 262, 100–109. [Google Scholar] [CrossRef]
- Merlin, O.; Escorihuela, M.J.; Mayoral, M.A.; Hagolle, O.; Al Bitar, A.; Kerr, Y. Self-calibrated evaporation-based disaggregation of SMOS soil moisture: An evaluation study at 3 km and 100 m resolution in Catalunya, Spain. Remote Sens. Environ. 2013, 130, 25–38. [Google Scholar] [CrossRef]
- Molero, B.; Merlin, O.; Malbéteau, Y.; Al Bitar, A.; Cabot, F.; Stefan, V.; Kerr, Y.; Bacon, S.; Cosh, M.; Bindlish, R.; et al. SMOS disaggregated soil moisture product at 1 km resolution: Processor overview and first validation results. Remote Sens. Environ. 2016, 180, 361–376. [Google Scholar] [CrossRef]
- Piles, M.; Vall-Llossera, M.; Camps, A.; Sánchez, N.; Martínez-Fernández, J.; Martínez, J.; González-Gambau, V.; Riera, R. On the synergy of SMOS and Terra/Aqua MODIS: High resolution soil moisture maps in near real-time. In Proceedings of the 2013 IEEE International Geoscience and Remote Sensing Symposium-IGARSS, Melbourne, Australia, 21–26 July 2013; pp. 3423–3426. [Google Scholar]
- Portal, G.; Vall-Llossera, M.; Piles, M.; Camps, A.; Chaparro, D.; Pablos, M.; Rossato, L. A spatially consistent downscaling approach for SMOS using an adaptive moving window. IEEE J. Sel. Topics Appl. Earth Observ. Remote Sens. 2018, 11, 1883–1894. [Google Scholar] [CrossRef]
- González-Zamora, Á.; Sánchez, N.; Martínez-Fernández, J.; Gumuzzio, Á.; Piles, M.; Olmedo, E. Long-term SMOS soil moisture products: A comprehensive evaluation across scales and methods in the Duero Basin (Spain). Phys. Chem. Earth Parts A/B/C 2015, 83, 123–136. [Google Scholar] [CrossRef]
- Leroux, D.J.; Kerr, Y.H.; Al Bitar, A.; Bindlish, R.; Jackson, T.J.; Berthelot, B.; Portet, G. Comparison between SMOS, VUA, ASCAT, and ECMWF soil moisture products over four watersheds in US. IEEE Trans. Geosci. Remote Sens. 2013, 52, 1562–1571. [Google Scholar] [CrossRef]
- Veloso, A.; Mermoz, S.; Bouvet, A.; Le Toan, T.; Planells, M.; Dejoux, J.F.; Ceschia, E. Understanding the temporal behavior of crops using Sentinel-1 and Sentinel-2-like data for agricultural applications. Remote Sens. Environ. 2017, 199, 415–426. [Google Scholar] [CrossRef]
- Moreno, G.; Pulido, F.J. The functioning, management and persistence of dehesas. In Agroforestry in Europe; Springer: Berlin/Heidelberg, Germany, 2009; pp. 127–160. [Google Scholar]
- Teutschbein, C.; Wetterhall, F.; Seibert, J. Evaluation of different downscaling techniques for hydrological climate-change impact studies at the catchment scale. Clim. Dyn. 2011, 37, 2087–2105. [Google Scholar] [CrossRef]
- Herrera, S.; Fernández, J.; Gutiérrez, J.M. Update of the Spain02 gridded observational dataset for EURO-CORDEX evaluation: Assessing the effect of the interpolation methodology. Int. J. Climatol. 2016, 36, 900–908. [Google Scholar] [CrossRef]
- Kotlarski, S.; Szabó, P.; Herrera, S.; Räty, O.; Keuler, K.; Soares, P.M.; Cardoso, R.M.; Bosshard, T.; Pagé, C.; Boberg, F.; et al. Observational uncertainty and regional climate model evaluation: A pan-European perspective. Int. J. Climatol. 2019, 39, 3730–3749. [Google Scholar] [CrossRef]
- Chen, F.; Dudhia, J. Coupling an advanced land surface–hydrology model with the Penn State–NCAR MM5 modeling system. Part I: Model implementation and sensitivity. Mon. Weather Rev. 2001, 129, 569–585. [Google Scholar] [CrossRef]
- Andreu, A.; Kustas, W.P.; Polo, M.J.; Carrara, A.; González-Dugo, M.P. Modeling Surface Energy Fluxes over a Dehesa (Oak Savanna) Ecosystem Using a Thermal Based Two-Source Energy Balance Model (TSEB) I. Remote Sens. 2018, 10, 567. [Google Scholar] [CrossRef]
- Andreu, A.; Kustas, W.P.; Polo, M.J.; Carrara, A.; González-Dugo, M.P. Modeling Surface Energy Fluxes over a Dehesa (Oak Savanna) Ecosystem Using a Thermal Based Two Source Energy Balance Model (TSEB) II—Integration of Remote Sensing Medium and Low Spatial Resolution Satellite Images. Remote Sens. 2018, 10, 558. [Google Scholar] [CrossRef]
- Carpintero García, E.; Mateos, L.; Andreu, A.; González-Dugo, M. Effect of the differences in spectral response of Mediterranean tree canopies on the estimation of evapotranspiration using vegetation index-based crop coefficients. Agric. Water Manag. 2020, 238, 106201. [Google Scholar]
- Pellarin, T.; Louvet, S.; Gruhier, C.; Quantin, G.; Legout, C. A simple and effective method for correcting soil moisture and precipitation estimates using AMSR-E measurements. Remote Sens. Environ. 2013, 136, 28–36. [Google Scholar] [CrossRef]
- Pellarin, T.; Román-Cascón, C.; Baron, C.; Bindlish, R.; Brocca, L.; Camberlin, P.; Fernández-Prieto, D.; Kerr, Y.H.; Massari, C.; Panthou, G.; et al. The Precipitation Inferred from Soil Moisture (PrISM) near Real-Time Rainfall Product: Evaluation and Comparison. Remote Sens. 2020, 12, 481. [Google Scholar] [CrossRef]
- Budyko, M. The Heat Balance of the Earth’S Surface; Stepanova, N.A., Translator; US Dept. of Commerce: Washington, DC, USA, 1956; 255p.
- Ferguson, C.R.; Wood, E.F. Observed land–atmosphere coupling from satellite remote sensing and reanalysis. J. Hydrometeorol. 2011, 12, 1221–1254. [Google Scholar] [CrossRef]
- Gautam, D.; Pagay, V. A Review of Current and Potential Applications of Remote Sensing to Study the Water Status of Horticultural Crops. Agronomy 2020, 10, 140. [Google Scholar] [CrossRef]
- Scholze, M.; Kaminski, T.; Knorr, W.; Blessing, S.; Vossbeck, M.; Grant, J.; Scipal, K. Simultaneous assimilation of SMOS soil moisture and atmospheric CO2 in-situ observations to constrain the global terrestrial carbon cycle. Remote Sens. Environ. 2016, 180, 334–345. [Google Scholar] [CrossRef]
- Joffre, R.; Rambal, S. Soil water improvement by trees in the rangelands of southern Spain. Acta Oecol. (Oecol. Plant) 1988, 9, 405–422. [Google Scholar]
- David, T.; Gash, J.; Valente, F.; Pereira, J.; Ferreira, M.; David, J. Rainfall interception by an isolated evergreen oak tree in a Mediterranean savannah. Hydrol. Proces. 2006, 20, 2713–2726. [Google Scholar] [CrossRef]
- Rodríguez, A.M.; Schnabel, S. Influencia de la poda del arbolado en el volumen y distribución de la lluvia sobre el suelo en el ecosistema dehesa. In Proceedings of the Congreso Internacional sobre Desertificación, Murcia, Spain, 1 October 2009. [Google Scholar]
- Lozano-Parra, J.; Schnabel, S.; Ceballos-Barbancho, A. The role of vegetation covers on soil wetting processes at rainfall event scale in scattered tree woodland of Mediterranean climate. J. Hydrol. 2015, 529, 951–961. [Google Scholar] [CrossRef]
- Papanastasis, V.P. Vegetation degradation and land use changes in agrosilvopastoral systems. Sustain. Agrosilvopastoral Syst. Adv. GeoEcol. 2004, 37, 1–12. [Google Scholar]








| Type of data | Product | Info |
|---|---|---|
| Satellite soil moisture | DISPATCH (1 km) | SMOS SM; MODIS LST and NDVI [29,30]. |
| SMOS-BEC L4 (1 km) | SMOS SM; ECMWF LST and MODIS NDVI [31,32]. | |
| SMOS (25 km) | L3 product produced by CATDS [22]. | |
| Land use | SYPNA (10 m) | Re-gridded to 1 km. |
| Rainfall (for API) | SPAIN-02 v5 (0.1°) | Gridded database [37,38,39]. |
| 2-m temperature (for API) | SPAIN-02 v5 (0.1°) | Gridded database [37,38,39]. |
| Soil type | USDA (0.08°) | USDA 16-cat database, re-gridded to 3 km [40]. |
| In situ soil moisture | EnviroSCAN probes (10–30–50 cm) | Grass and tree sites [41,42]. |
| In situ latent heat flux | LICOR (18 m agl) | Measurements above tree [41,42]. |
| In situ net radiation | NR01 radiometer (18 m agl) | Measurements above tree [41,42]. |
| All Period | Drying | Wetting | Drying from Wet | |
|---|---|---|---|---|
| In situ | 0.57 | 0.81 | 0.77 | −0.50 |
| DISPATCH | 0.50/0.28 | 0.77/0.51 | 0.50/−0.33 | −0.55/−0.50 |
| SMOS-BEC | 0.33/0.34 | −0.68/−0.70 | 0.70/0.63 | −0.24/0.12 |
| SMOS | 0.44/0.40 | 0.69/0.49 | 0.76/0.70 | −0.37/0.09 |
© 2020 by the authors. Licensee MDPI, Basel, Switzerland. This article is an open access article distributed under the terms and conditions of the Creative Commons Attribution (CC BY) license (http://creativecommons.org/licenses/by/4.0/).
Share and Cite
Román-Cascón, C.; Lothon, M.; Lohou, F.; Ojha, N.; Merlin, O.; Aragonés, D.; González-Dugo, M.P.; Andreu, A.; Pellarin, T.; Brut, A.; et al. Can We Use Satellite-Based Soil-Moisture Products at High Resolution to Investigate Land-Use Differences and Land–Atmosphere Interactions? A Case Study in the Savanna. Remote Sens. 2020, 12, 1701. https://doi.org/10.3390/rs12111701
Román-Cascón C, Lothon M, Lohou F, Ojha N, Merlin O, Aragonés D, González-Dugo MP, Andreu A, Pellarin T, Brut A, et al. Can We Use Satellite-Based Soil-Moisture Products at High Resolution to Investigate Land-Use Differences and Land–Atmosphere Interactions? A Case Study in the Savanna. Remote Sensing. 2020; 12(11):1701. https://doi.org/10.3390/rs12111701
Chicago/Turabian StyleRomán-Cascón, Carlos, Marie Lothon, Fabienne Lohou, Nitu Ojha, Olivier Merlin, David Aragonés, María P. González-Dugo, Ana Andreu, Thierry Pellarin, Aurore Brut, and et al. 2020. "Can We Use Satellite-Based Soil-Moisture Products at High Resolution to Investigate Land-Use Differences and Land–Atmosphere Interactions? A Case Study in the Savanna" Remote Sensing 12, no. 11: 1701. https://doi.org/10.3390/rs12111701
APA StyleRomán-Cascón, C., Lothon, M., Lohou, F., Ojha, N., Merlin, O., Aragonés, D., González-Dugo, M. P., Andreu, A., Pellarin, T., Brut, A., Soriguer, R. C., Díaz-Delgado, R., Hartogensis, O., & Yagüe, C. (2020). Can We Use Satellite-Based Soil-Moisture Products at High Resolution to Investigate Land-Use Differences and Land–Atmosphere Interactions? A Case Study in the Savanna. Remote Sensing, 12(11), 1701. https://doi.org/10.3390/rs12111701

