Abstract
Rapid industrialization, as one of the main driving forces promoting sustainable economic growth, has increased the area of industrial land use significantly. Industrial land use manifests that the competition between it and other kinds of land use is growing. During the last decade in China, many targeted industrial land use policies have been enacted to stimulate appropriate industrial land use and to promote healthy economic development. However, it is difficult for scholars and governments of rapidly developing countries to judge and evaluate the performance of such policies. Based on statistical data gathered over almost 10 years and an idea called “industrial land equivalent” (ILE), this paper analyzes the contribution made by the implementation of industrial land use policy to economic development, using a Cobb-Douglas production function by which to quantify the influence of land institutions and land regulation systems. The result of the study shows that factors, such as industrial land, labor and capital, all play an important role in GDP growth. Additionally, it is found that industrial land institutions and regulation systems have a strongly positive influence on economic development. It was also found that the influence of policy in eastern China is greater than that in the west and that repeated, short-term land regulation has a negative effect on the economy. Therefore, it is profoundly important for the Chinese economy that a stable and durable industrial land use policy be maintained as the industrial center migrates to the Midwest. The research philosophy and method offered by this paper have great significance for the quantitative evaluation of policy performance.
1. Introduction
Since the beginning of the period of economic reform in China known as “Reform and Opening up” (1978), China has experienced a period of rapid urbanization and industrialization. In order to attain the goal of sustainable social economic growth, it is important to establish a way of satisfying the need for land during the urbanization and industrialization process, whilst affecting occupied areas of farmland as little as possible. The structure and scale of industrial land use, which represents the main type of construction land and is an important part of industrial land use, directly affects social economic development. The area of industrial land use, which is closely related to economic development, is to some extent affected by policy. Chinese industrial land has been offered to industrial enterprises without any demand for payment or imposed time limit by the way of subdivision. The policy of industrial land subdivision promotes industrial development and satisfies the national conditions prevailing at that time. However, with the rapid expansion of industrial land, the dual structure of urban and rural land use make different kinds of contradiction arise, which include the mass occupation of farmland, the idle and low efficiency of land use and some local governments in pursuit of GDP and low land prices selling the land to enterprise use, resulting in the loss of national assets. As a result, the State Council enacted a policy called Circular of the State Council on Intensifying the Land Control (2006), according to which “industrial land must be allocated by way of bidding, auction or listing, and the price of land should not be below the standard floor price”. Furthermore, the Chinese Government published a series of policies to regulate industrial land use efficiently and rigorously. However, further scientific analysis and evaluation is required in order to make a judgment on whether the enacting and implementation of those industrial land policies have achieved the desired effect. Such an analysis will offer a foundation for policy-making and policy-modification.
The review of existing literature research on policy evaluation is divided into three areas: the first is the evaluation of the policies and programs; the second is an assessment of the policy of the whole process; and the third is the effect of the policy evaluation [1]. In recent years, policy evaluation began to evaluate different policy areas of expertise. Many scholars have studied the evaluation of land policies. Melvin R. Willis constructed a probability mass function to assess the impact of land use policy on community exposure to air-borne toxics [2]. Maria Luisa Paracchini described an aggregation framework to link indicators associated with multifunctional land use to the stakeholder evaluation of policy options. The described methodology was based on linear additive models to weight and aggregate selected indicators [3]. Andrew D. Carver applied spatial analysis to forest policy evaluation [4]. Erik Lichtenberg reviewed the existing evidence regarding the performance of China’s farmland protection policies and summarized recent farmland protection measures [5]. Tao Feng put forward an integrated model system and policy evaluation tool for maximizing mobility under environment capacity constraints [6]. Galarza Me analyzed the industrial lands policies in the province of Alava and obtained results through the Alava map GIS [7]. Tony Prato used stochastic multiple attributes to evaluate land use policies [8]. H. van Meijl combined economic and biophysical factors to develop a model to evaluate the impact of different policy environments on agricultural land use in Europe [9]. Jieming Zhu studied the impact of industrial land use policy on industrial change. The results showed that the adjustment of industrial land use policy will lead to uneven industrial development and even require adjustment of its structure [10]. Pytrik Reidsma used land use functions to evaluate and predict sustainable land use policy in developing countries [11]. Elizabeth Hill built a linear regression equation to evaluate the effect of land policy on tree canopy coverage [12].
Although many scholars have studied the evaluation of land policy with much achievement, the number of research works aimed at industrial land use policy is not so great [13,14]. The results of these studies included policy evaluation connotations, types, methods, procedures, and so on. However, in view of the demand for such conditions in China and the rapid industrial development, industrial land policy research still seems inadequate; most industrial land policy research focuses on qualitative analysis instead of qualitative evaluation. These policy evaluations did not fully express the effects of the policy game of the central government and local governments to generate interest in China, a country with one ruling party. Therefore, this paper will use qualitative analysis methods to evaluate industrial land policy. First, based on the relationship between land use policy and the economic development level, this paper puts forward the idea of “industrial land equivalent” (ILE), which quantifies the effect of the industrial land institution and regulation on industrial land change. Second, using a Cobb-Douglas production function, a mathematical model is built between the industrial output value and industrial fixed investment, the number of industrial employees, the industrial land area, the industrial land policy and industrial land regulation. Finally, the degree of contribution from the implementation of industrial land policy to economic development based on the Chinese social economic statistical data from 2001 to 2010 is analyzed.
2. Method
This paper evaluates the effect of industrial land policy by comparing the economic contribution both before and after the policy was introduced, through the use of an industrial land policy model. The structure of this paper is as follows (Figure 1).
Figure 1.
Structure flowchart.
Figure 1.
Structure flowchart.

2.1. Industrial Land Equivalent
Policy evaluation usually takes measures of qualitative methods to appraise the effects, and therefore, how to quantify the policy is one of the difficulties when evaluating policies scientifically. In order to quantify the effects of policies, we put forward an analysis method called the “industrial land equivalent” (ILE). ILE is a conversion process that transforms qualitative policies into quantitative ones. It can be defined as the ratio of the effectiveness of industrial land policy in reality, to the ideal effectiveness of industrial land policy. The formula is as follows:
where:
In the formula:
represents the ILE of policy
in year
;
represents the reality of the industrial land policy effectiveness of policy
in year
;
represents the ideal industrial land policy effectiveness of policy
in year
;
represents the standard of policy
in year
;
represents the weights of policy
in year
.
2.2. Methods of Industrial Land Policy Evaluation
Policy evaluation cannot do without the option of policy evaluation methods. Methods of policy evaluation include: factor evaluation methods, cost-benefit analysis, a benefits fuzzy evaluation method, an analytic hierarchy process, a directly comparative evaluation method, before and after analysis, a possible satisfaction method, and others [15,16,17,18,19,20]. Among them, the before and after analysis is the basic method of policy evaluation and is the basic frame of mind for evaluation activities [21]. In this paper, we use the before and after analysis method.
The before and after analysis method can discover changes directly by using the contrast before and after the implementation of the policies. According to whether there exist reference groups, the before and after analysis method can be divided into a before and after analysis method without comparative groups and a before and after analysis method with comparative groups. The before and after analysis method with comparative groups includes lateral analysis and longitudinal analysis, which requires that the comparative subjects have the same comparability and analogy with experimental groups. However, the before and after analysis method without comparative groups is much easier to implement than the one with comparative groups. It predicts the trends of policies from a large amount of historical and contemporary data. The development of policies will appear to be different from the predictions after the implementation of the policies, and the difference is attributed to the policies [22]. We choose the before and after analysis method without comparative groups in this paper. The main idea is in Figure 2.
Select a starting point and an evaluation point for policy implementation. After a period of time, policy implementation appears effective. This effectiveness was the actual results, E1. The policymaker’s initial desired effect was E2. Differences between E1 and E2 are the policy implementation performance.
Figure 2.
Schematic diagram of the principle for the before and after analysis method.
Figure 2.
Schematic diagram of the principle for the before and after analysis method.

2.3. Industrial Land Policy Evaluation Model Building
The Cobb-Douglas production function has been used widely, because it is a representative means to measure the efficiency of input-output methods and can reflect economic characteristics, such as diminishing marginal productivity, diminishing marginal alternative and constant returns to scale. Therefore, based on the Cobb-Douglas production function, this paper constructs a function to simulate the relationship between the input and output of industrial land. The classic Cobb-Douglas production function is represented as follows:
In which:
In the formula:
is the output,
is a constant greater than 0,
is the amount of capital investment,
is the amount of labor input and α and β are the coefficient of elasticity of capital and labor input, respectively.
Considering the factors that influence the industrial economy, such as the industrial fixed investment, the number of industrial employees, industrial land area, industrial land institution and industrial land regulation, we modify the Cobb-Douglas production function further and construct a new production function:
in which:
In the formula:
is the level of industrial economic development represented by the industrial GDP in each year,
is the input of labor represented by the total number of industrial employees at the end of each year,
is the input of capital represented by the industrial fixed investment in each year,
is the industrial land capital represented by the total industrial land area,
represents the industrial land equivalents based on the institution system,
represents the industrial land equivalents based on the regulation system,
is a constant and
are the parameters of independent variables.
In order to transform the relationship between the level of industrial economic development and the other factors into a linear one, we take the logarithm of Formula (4):
3. Results and Discussion
3.1. The Results Testing
3.1.1. Acquisition and Processing of Data
The data used in this paper originated from the China Statistical Yearbook (2001–2010), Statistical Yearbook of China’s Urban Construction, Yearbook of Labor Statistics, Chongqing Statistical Yearbook (2001–2010), Tianjin Statistical Yearbook (2001–2010), National Land and Resources News (2001–2010) and the web site of the Ministry of Land and Resources of China.
Quantitative indicators data include: industrial GDP (Y), industrial fixed investment (X1), the number of industrial employees (X2), industrial land area (X3), industrial land institution (the legal basis and the basic system for land use) (X4) and industrial land regulation (specific policy measures and methods of land use) (X5). X4, X5 were qualitative variables. They needed to be converted to quantitative variables by policy equivalent. The conversion process was based on the importance and the number of legal and policy documents that were issued by governments to accumulate scores. Direct or apparent industrial land policy documents were given a high score, and indirect or implied documents relating to industrial land policy were given a low score. The entire calculation process was done by 11 experts from different fields to complete on-site consultation.
The ILE values are presented in Table 1 and Table 2, and the relevant data are presented in Table 3.
Table 1.
The industrial land equivalent (ILE) and accumulative value of industrial land-use policy.
| Year | Name | ILE Value | Accumulative Value |
|---|---|---|---|
| 2001 | Notice of the State Council on Strengthening the Management of the Assets of State-owned Land | 0.5 | 0.5 |
| 2002 | Regulation of Granting the Stated-owned Land Use Rights by Tender, Auction or Listing | 1.0 | 1.5 |
| Notification of Implementation of Commercial Land Use Right by Tender, Auction or Listing Strictly | |||
| 2003 | Provisions on the Agreement-based Assignment of the Right to Use State-Owned Land | 0.5 | 2.0 |
| 2004 | A Decision About Deepening Reform and Strict Land Management | 1.0 | 3.0 |
| 2005 | - | 0.0 | 3.0 |
| 2006 | Circular of the State Council on Intensifying the Land Control | 1.0 | 4.0 |
| 2007 | Notice of the Ministry of Land and Resources and the Ministry of Supervision on the Relevant Issues Concerning the Implementation of the Assignment System of Industrial Lands by Means of Public Bidding, Auction and Quotation | 1.0 | 5.0 |
| 2008 | - | 0.0 | 5.0 |
| 2009 | A Notice Issued From the Ministry of Land and Resources and Ministry of Supervision About Further Implementing the Industrial Land Granted Regulation | 0.5 | 5.5 |
| 2010 | - | 0.0 | 5.5 |
Table 2.
The ILE and accumulative value of industrial land regulation policies.
| Year | Name | ILEValue | Accumulative Value |
|---|---|---|---|
| 2001 | Notice Issued From Ministry of Land and Resources About Rectifying and Standardizing the Land Market | 1.0 | 1.0 |
| Measures of the Ministry of Land and Resources on the Administration of Preliminary Examination of the Land Used for Construction Projects | |||
| 2002 | - | 0.0 | 1.0 |
| 2003 | The Urgent Notice About Checking All Kinds of Land Use to Strengthen the Regulation of the Supply of Land | 2.5 | 3.5 |
| A Work Program for Further Rectification of the Order of Land Market | |||
| An Urgent Notice About Suspension of Various Development Zones | |||
| A Notice of Straighten Out the Types of Development Zones to Strengthen the Management of Construction Land | |||
| An Urgent Notice About Improving the Work and Further Rectifying the Land Market Order | |||
| 2004 | Circular of the Ministry of Land and Resources on Promulgating and Implementing Controlling Index for Industrial Projects Construction Land Utilization (for Trial Implementation) | 0.5 | 4.0 |
| 2005 | Several Suggestions For Promoting the Developmental Level of National Economic and Technological Development Zone | 0.5 | 5.0 |
| 2006 | A Notice About Accelerating the Restructuring of the Aluminum Industry | 4.5 | 9.5 |
| A Notice About Accelerating the Restructuring of the Flat Glass Industry | |||
| A Notice About Accelerating the Restructuring of the Cement Industry | |||
| A Notice About Printing and Distributing the “11th Five-Year Plan about Economic and Social Development of National Economic and Technological Development Zone” by the Ministry of Commerce and the Ministry of Land and Resources | |||
| Notice on the Issuance and Implementation of the National Standards for the Minimum Transfer Prices of Land for Industrial Purposes | |||
| An Urgent Notice About Further Strict Land Management | |||
| An Urgent Notice About Preventing the Illegal Use of Land | |||
| 2007 | Circular of the Ministry of Science and Technology, National Development and Reform Commission, the Ministry of Land Resources, the Ministry of Construction on Printing and Transferring Several Opinions on Promoting Development Zone for New and High Technology Industries to Further Develop and to Increase Independent Innovation Capacity | 0.5 | 10.0 |
| 2008 | Administrative Measures for the Pre-examination on the Use of Land for Construction Projects (2008 Amendment) | 1.0 | 11.0 |
| Notice of the State Council on Promoting the Land Saving and Intensive Use | |||
| 2009 | Notice of Ministry of Land and Resources about adjusting the lowest price standard of industrial land | 2.0 | 13.0 |
| Notice about Implementing the Suppression Part of Industry Overcapacity and Redundant Construction, guiding to Healthy Industry Development | |||
| Notice of the Ministry of Land and Resources about Strict Construction Land Management, Promoting the Use of Approved Land | |||
| 2010 | - | 0.0 | 13.0 |
Table 3.
Socioeconomic development data of China’s industrial land use.
| Year | Industrial GDP (One Hundred Million Yuan) | Industrial Fixed Investment (One Hundred Million Yuan) | The Number of Industrial Employees (Ten Thousand) | Industrial Land Area (Square Kilometers) | Industrial Land Institution | Industrial Land Regulation |
|---|---|---|---|---|---|---|
| 2001 | 43,580.6 | 4244.3 | 5559.4 | 5104.7 | 0.5 | 1.0 |
| 2002 | 47,431.3 | 4349.9 | 5441.4 | 5664.6 | 1.5 | 1.0 |
| 2003 | 54,945.5 | 20,427.1 | 5520.7 | 6224.6 | 2.0 | 3.5 |
| 2004 | 65,210.0 | 27,776.5 | 5748.6 | 6708.6 | 3.0 | 4.0 |
| 2005 | 77,230.8 | 37,717.8 | 6622.1 | 6418.4 | 3.0 | 5.0 |
| 2006 | 91,310.9 | 47,353.2 | 6895.9 | 6867.1 | 4.0 | 9.5 |
| 2007 | 110,534.9 | 59,851.5 | 7358.4 | 7446.0 | 5.0 | 10.0 |
| 2008 | 130,260.2 | 75,405.4 | 7875.2 | 8035.2 | 5.0 | 11.0 |
| 2009 | 135,239.9 | 94,258.3 | 8831.2 | 8626.7 | 5.5 | 13.0 |
| 2010 | 160,867.0 | 104,298.9 | 9544.7 | 8689.5 | 5.5 | 13.0 |
3.1.2. Examining the Results of the Industrial Land Policy Evaluation Model
First, the multicollinearity between each factor needs to be analyzed to test the model (5), because there are usually certain linear correlations between variables in the regression model. Multicollinearity means that there is linear correlation between explanatory variables, which is against the basic hypothesis that there are no linear correlations between explanatory variables in the linear regression.
However, observed variables in a regression model inevitably present a linear correlation in an econometric model, which brings a series of serious consequences for the model estimation. Therefore, this must be eliminated by some means. This paper processes data using SPSS 19.0 software. First, we take the linear regression of each variable and observe its VIF (Variance Inflation Factor) of variance. The results are shown in Table 4 and Table 5.
Table 4.
Linear regression analysis of industrial land policy evaluation.
| Model | T-test | Significance | Collinearity Statistics | |
|---|---|---|---|---|
| Tolerance | Variance Inflation Factor | |||
| (constant) | −0.857 | 0.440 | ||
| LnX1 | −0.360 | 0.737 | 0.015 | 67.715 |
| LnX2 | 3.948 | 0.017 | 0.099 | 10.113 |
| LnX3 | 0.493 | 0.648 | 0.039 | 25.840 |
| LnX4 | 0.932 | 0.404 | 0.075 | 13.393 |
| LnX5 | 0.860 | 0.438 | 0.016 | 62.742 |
Table 5.
Collinearity diagnosis of each factor in the industrial land policy evaluation.
| Dimension | Eigen Value | Condition Index | Proportion of variance | |||||
|---|---|---|---|---|---|---|---|---|
| (Constant) | LnX1 | LnX2 | LnX3 | LnX4 | LnX5 | |||
| 1 | 5.63 | 1.00 | 0.00 | 0.00 | 0.00 | 0.00 | 0.00 | 0.00 |
| 2 | 0.35 | 4.02 | 0.00 | 0.00 | 0.00 | 0.00 | 0.03 | 0.00 |
| 3 | 0.02 | 17.28 | 0.00 | 0.00 | 0.00 | 0.00 | 0.54 | 0.11 |
| 4 | 0.00 | 194.75 | 0.00 | 0.84 | 0.06 | 0.00 | 0.03 | 0.57 |
| 5 | 6.04×10−5 | 305.32 | 0.31 | 0.10 | 0.34 | 0.00 | 0.00 | 0.27 |
| 6 | 9.62×10−6 | 765.09 | 0.68 | 0.06 | 0.60 | 1.00 | 0.40 | 0.04 |
It can be seen from the results of the analysis that VIF ≥ 10, which means that there exists a serious collinearity between all variables. In order to solve this problem, we select the ridge regression method to analyze the collinearity data.
Ridge regression is a kind of deviation estimation that is based on the least squares estimation. The formula is as follows:
The actual regression coefficients of each factor bi(K) (in which i = 1, 2, 3, 4, 5) can be calculated by
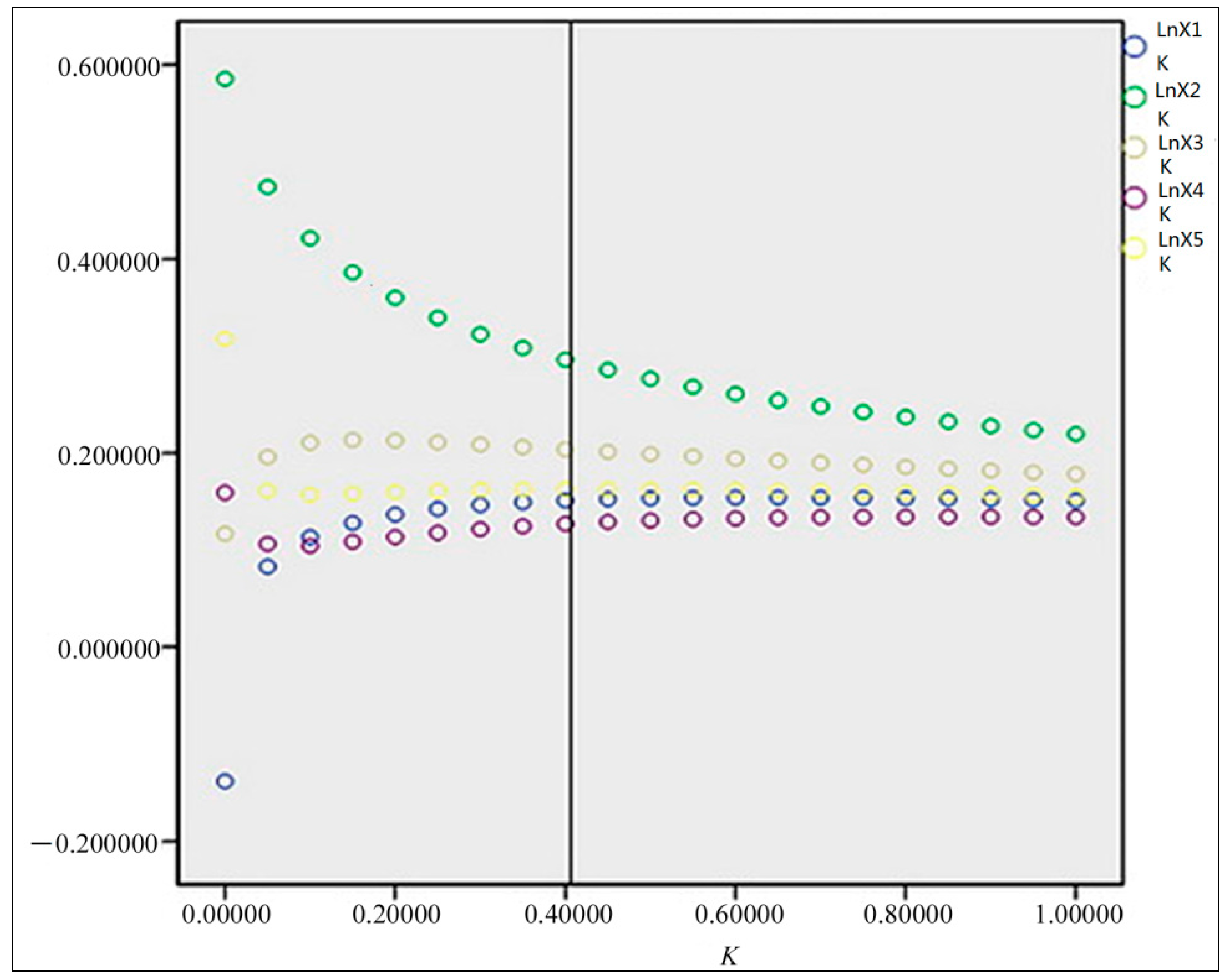
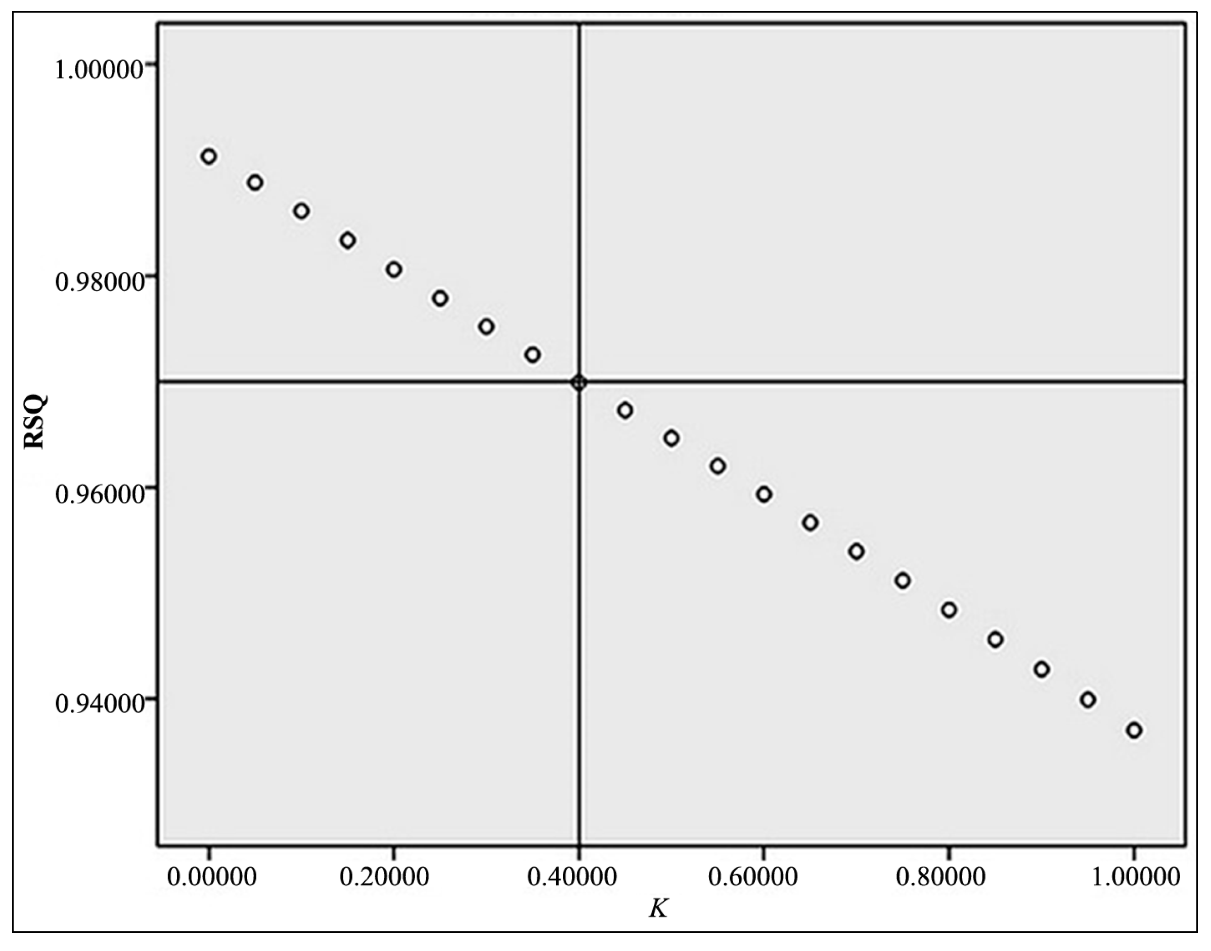
. From the value of K, we obtain the ridge trace of regression coefficients of LnX1, LnX2, LnX3, LnX4, LnX5 (Figure 3 and Figure 4). When the value of K increases from zero to a small value, the regression coefficient changes rapidly. The change of regression coefficients becomes gentler when K reaches a certain degree. The regression coefficient is relatively stable when R2 = 0.96992 and K = 0.4, considering the value of VIF. The specific value of each regression coefficient is: α1 = 0.1510, α2= 0.296, α3 = 0.206, α4 = 0.127 and α5 = 0.163. There is no constant in the ridge regression, because of data standardization; it is necessary to calculate to regain the constant. The formulation is:
in which b0 is the constant, and bi is the coefficient.
The final industrial land policy evaluation model is:
Figure 3.
Ridge trace of industrial land policy evaluation model.
Figure 3.
Ridge trace of industrial land policy evaluation model.

Figure 4.
R-square (RSQ) vs. K in industrial land policy evaluation model.
Figure 4.
R-square (RSQ) vs. K in industrial land policy evaluation model.

3.2. Results Analysis
3.2.1. Analysis of Policy Variables in Industrial Land Policy Evaluation Model
Recently, developing industry has become an important way to achieve rapid economic growth. Because of the development of industrialization and urbanization, industrial enterprises gather, forming industrial parks that require large amounts of land. China’s industrial land area increased throughout 2001 to 2010 (Figure 5). However, in order to improve the efficiency of land use, to curb the local governments’ cheap or free to transfer industrial land use, China has changed the way land is allocated, which used to be subdivision, but now requires bidding, auction or listing. The Chinese Government has also taken measures to regulate industrial land use, in order to guide the orderly development of the land market. From the graph of ILE (Figure 6), we can see that the influence of industrial land policy presents a trend of smooth growth, but under the influence of industrial regulation. From the aspect of the actual effect, industrial land institutions and regulations put an end to change in the property of industrial land use, integrated industrial parks, standardized the approval procedures of industrial land and accelerated the process of land marketization.
Figure 5.
Statistics of industrial land area.
Figure 5.
Statistics of industrial land area.

Figure 6.
Trend graph of the ILE value.
Figure 6.
Trend graph of the ILE value.

Several conclusions can be drawn from the industrial land policy evaluation model.
- (1)
- The coefficient of the industrial land institution variables in the model is 0.078, which means that the institutions have certain effects on the industrial economy and present a positive correlation. The change of the industrial land institution is mainly reflected in the way that land is allocated. Historically in China, industrial land has been transferred by subdivision. Local governments keep the sale price of industrial land low in order to attract more investment and to drive rapid economic growth. As a result, in 2006, the State Council enacted a policy called Circular of the State Council on Intensifying the Land Control. This was to make mandatory the regulation of the way industrial land is allocated, according to which “industrial land must be allocated by way of bidding, auction or listing, and the allocated land price should not be below the standard floor price”. This policy is a historic transformation of industrial land policy, which has a far-reaching impact on industrial land and the economy. However, the adjustment of the industrial land policy system is a slow process, the impact of which is only realized gradually. Therefore, its effects on industry also need to be observed over the long term.
- (2)
- The coefficient of industrial land regulation variables in the model is 0.076, which means that the regulations have certain effects on the industrial economy and present a positive correlation, but the effects are a little lower than the policy. We know that the ILE of industrial land regulations has increased quickly since 2002 and far more than that of the policies. This means that industrial land use institutions have a greater influence than regulations, although the efforts of regulations are much stronger than institutions. Regulations usually have a strong short-term effect, because they are often introduced to tackle current or imminent issues. Therefore, regulations have a disadvantage for long-term industrial development and create an unstable industrial market when they are imposed frequently.
- (3)
- From the interaction between industrial land institutions and regulations, the policy is a foundation of other regulations and determines their essential characteristics. Regulation, as an important means of intervention for government, has a direct impact on the social performance of industrial land. The industrial land use institution system has been built up steadily from 2001 to 2010. The new system has transformed the subdivision method into a bidding, auction and listing process to allocate industrial land, which improves the efficiency of land use and creates a good development platform for the development of industry. Meanwhile, industrial land regulation has also been changed, especially during 2003 to 2006. The regulations include a land granting price, land layout, development plans and other aspects of industrial land use, which lead the way to industrial development. However, there are some conflicts between the old policies and the new at the time of the handover, which leads to unsatisfactory results in the regulation and its implementation, and this is not conducive to long-term and stable development.
- (4)
- We use the before and after comparison method to analyze the results. Y1 represents the industrial GDP from 2001 to 2010 under the assumption that the industrial land use institution system is maintained at the 2001 level. Y2 represents the industrial GDP from 2001 to 2010 under the assumption that the industrial regulation system is maintained at the level of 2001. Y3 represents the industrial GDP under the assumption that both the regulation and institution systems are maintained at the level of 2001. Y0 is the real GDP from 2001 to 2010. To observe the change of GDP we present the following picture.
From Figure 7, we can determine that Y1, Y2 and Y3 are all below Y0, which means that both industrial land use institutions and regulation have played an important role in promoting industrial development. Y1 and Y2 almost have the same impact on industrial GDP. If industrial land use institutions and regulations maintained the circumstances of 2001, then GDP will remain at the lowest level. Therefore, the industrial economy will be influenced significantly under the co-working of land use institutions and regulations.
Figure 7.
The contribution of industrial land use policy and regulation to industrial GDP.
Figure 7.
The contribution of industrial land use policy and regulation to industrial GDP.

3.2.2. Analysis of Non-Policy Variables in Industrial Land Policy Evaluation Model
The coefficients of three non-policy variables (industrial fixed investment, quantity of industrial labor, industrial land area) in the industrial land policy evaluation model are 0.601, 1.671 and 0.542, respectively. This means that the factor of labor plays an important role in industrial development and so does the factor of industrial land area. The three non-policy variables are positively correlated with the industrial economy, which means that these three elements are indispensable. Therefore, the Chinese Government needs to insist on attracting foreign investment, to increase the investment in fixed assets, to improve the overall quality of the labor force and to control the industrial land area in the future industrial development process. By those means, the industry will develop better and faster, promoting China’s industrialization and urbanization.
3.3. Discussion
This paper selected Chongqing and Tianjin as samples to validate the industrial land use policy evaluation model further. As municipalities, Chongqing and Tianjin have similar social conditions of economy and policy. As their locations are in the west and east of China, respectively, they can represent the implementation effects of industrial land use policy in different areas of China. The socio-economic development data of Chongqing and Tianjin’s industrial land use can be seen in Table 6 and Table 7.
Table 6.
Socioeconomic development data of Chongqing’s industrial land use.
| Year | Industrial GDP (One Hundred Million Yuan) | Industrial Fixed Investment (One Hundred Million Yuan) | The Number of Industrial Employees (Ten Thousand) | Industrial Land Area (Square Kilometers) | Industrial Land Institution | Industrial Land Regulation |
|---|---|---|---|---|---|---|
| 2001 | 695.44 | 1072.83 | 84.19 | 75.05 | 0.5 | 1.0 |
| 2002 | 787.94 | 1228.37 | 82.01 | 86.24 | 1.5 | 1.0 |
| 2003 | 933.75 | 1588.99 | 84.33 | 107.20 | 2.0 | 3.5 |
| 2004 | 1132.70 | 2142.72 | 90.05 | 105.35 | 3.0 | 4.0 |
| 2005 | 1293.81 | 2525.86 | 92.42 | 138.95 | 3.0 | 5.0 |
| 2006 | 1566.83 | 3214.23 | 96.84 | 141.73 | 4.0 | 9.5 |
| 2007 | 2004.51 | 4363.24 | 108.26 | 158.14 | 5.0 | 10.0 |
| 2008 | 2607.15 | 5755.89 | 132.13 | 164.85 | 5.0 | 11.0 |
| 2009 | 2917.40 | 6772.90 | 137.27 | 209.14 | 5.5 | 13.0 |
| 2010 | 3697.83 | 9143.55 | 146.55 | 240.03 | 5.5 | 13.0 |
Table 7.
Socioeconomic development data of Tianjin’s industrial land use.
| Year | Industrial GDP (One Hundred Million Yuan) | Industrial Fixed Investment (One Hundred Million Yuan) | The Number of Industrial Employees (Ten Thousand) | Industrial Land Area (Square Kilometers) | Industrial Land Institution | Industrial Land Regulation |
|---|---|---|---|---|---|---|
| 2001 | 869.15 | 1916.13 | 122.15 | 95.86 | 0.5 | 1.0 |
| 2002 | 968.44 | 1935.51 | 120.95 | 106.48 | 1.5 | 1.0 |
| 2003 | 1217.88 | 1953.25 | 115.28 | 116.87 | 2.0 | 3.5 |
| 2004 | 1549.70 | 2275.69 | 122.85 | 114.90 | 3.0 | 4.0 |
| 2005 | 1957.95 | 2476.97 | 122.21 | 119.63 | 3.0 | 5.0 |
| 2006 | 2261.52 | 2807.39 | 116.33 | 119.05 | 4.0 | 9.5 |
| 2007 | 2661.87 | 3205.59 | 118.62 | 123.89 | 5.0 | 10.0 |
| 2008 | 3418.87 | 3939.05 | 133.12 | 144.64 | 5.0 | 11.0 |
| 2009 | 3622.11 | 4969.79 | 135.74 | 149.14 | 5.5 | 13.0 |
| 2010 | 4410.85 | 5732.66 | 148.91 | 155.66 | 5.5 | 13.0 |
The industrial land use policy evaluation model of Chongqing (10) and Tianjin (11) can be built by ridge regression as follows:
From the model, we know that the regression coefficients of institution and regulation in the Chongqing model are 0.08 and 0.07, which means that the influence of institution is greater than that of regulation. The regression coefficients of institution and regulation in the Tianjin model are both 0.15, which means that both institution and regulation have the same degree of influence in Tianjin. When comparing the effect of policy on GDP in both Chongqing and Tianjin, it is clear that its influence is greater in Tianjin than in Chongqing. This means that industrial land in eastern China is more strictly controlled than in the west, which creates a beneficial policy environment to industry in the cities of the west. The conclusion is also consistent with the national conditions that industry is developing to the west.
4. Conclusions
Policy evaluation research has gone through a several decades’ process, emphasizing mathematical analysis methods and social experiments, and the currently developed composite evaluation methods. The evaluation method of Chinese policy is still no breakthrough. The rationalization of land use policy is a long process. How to evaluate the performance of policy is a difficult problem of common concern for scholars and government with limited time series data. To solve this problem, it is helpful for the government to find earlier policy discomfort, to make timely countermeasures. This paper proposes the idea and application of industrial land policy equivalents, which is a new perspective for evaluating the effects of policy. Its effectiveness and reproducibility has been verified by quantitative evaluation of China’s industrial land use policy.
The results showed that the industrial land use system and regulation have a significant effectiveness, which cater both to the needs of industrialization and to the promotion of stable and sustainable industrial economic growth, during 2001 to 2010. Industrial land use policy, combined with other factors, such as industrial land area, labor and capital, contribute to GDP.
On the one hand, from the aspect of industrial land use policy and regulation, policy is the foundation of other regulations, because it determines the direction of industrial land development. On the other hand, the ability to guide industrial economic development still requires improvement because of the lack of coherence in the long term. From the comparison of east and west China, the influence of industrial land policy is seen to be stricter in the east than in the west. In order to encourage industries to move to the west, the policy in western parts of the country is to be kept loose. Therefore, this has a profound impact for the Chinese economy, in that the industrial land use policy must be kept stable and durable while the industrial center migrates to the Midwest.
Acknowledgments
This study was supported by the following grant: the National Public Benefit (Land) Research Foundation of China (No. 20101018).
Author Contributions
Xinqi Zheng contributed significantly to the conception of the study and manuscript preparation and to revise the manuscript and to pay fees; Bing Geng contributed to analysis and wrote the manuscript; Xiang Wu performed the data analyses; Lina Lv and Yecui Hu helped perform the analysis with constructive discussions and revised the manuscript.
Conflicts of Interest
The authors declare no conflict of interest.
References
- Dye, T.R. Understanding Public Policy; Prentice Hall PTR: New Jersy, NJ, USA, 2007. [Google Scholar]
- Willis, M.R.; Keller, A.A. A framework for assessing the impact of land use policy on community exposure to air toxics. J. Environ. Manag. 2007, 83, 213–227. [Google Scholar] [CrossRef]
- Paracchini, M.L.; Pacini, C.; Jones, M.L.M.; Pérez-Soba, M. An aggregation framework to link indicators associated with multifunctional land use to the stakeholder evaluation of policy options. Ecol. Indic. 2011, 11, 71–80. [Google Scholar] [CrossRef]
- Carver, A.D.; Thurau, R.G.; White, E.M.; Lazdinis, M. Applying spatial analysis to forest policy evaluation: Case study of the Illinois Forestry Development Act. Environ. Sci. Policy 2006, 9, 253–260. [Google Scholar] [CrossRef]
- Lichtenberg, E.; Ding, C. Assessing farmland protection policy in China. Land Use Policy 2008, 25, 59–68. [Google Scholar] [CrossRef]
- Feng, T.; Zhang, J.; Fujiwara, A.; Timmermans, H.J.P. An integrated model system and policy evaluation tool for maximizing mobility under environmental capacity constraints: A case study in Dalian City, China. Transp. Res. D Transp. Environ. 2010, 15, 263–274. [Google Scholar]
- Galarza, M.E.; Gonzalez, I.A.; Enjuto, M.C.T. Industrial Land Policies in Alava. Boletín de la Asociación de Geógrafos Españoles 2012, 58, 459–462. [Google Scholar]
- Prato, T. Stochastic multiple attribute evaluation of land use policies. Ecol. Model. 2008, 219, 115–124. [Google Scholar] [CrossRef]
- Van Meijl, H.; van Rheenen, T.; Tabeau, A.; Eickhout, B. The impact of different policy environments on agricultural land use in Europe. Agric. Ecosyst. Environ. 2006, 114, 21–38. [Google Scholar] [CrossRef]
- Zhu, J.M. The impact of industrial land use policy on industrial change. Land Use Policy 2000, 17, 21–28. [Google Scholar] [CrossRef]
- Reidsma, P.; Koenig, H.; Feng, S.; Bezlepkina, I.; Nesheim, I.; Bonin, M.; Sghaier, M.; Purushothaman, S.; Sieber, S.; van Ittersum, M.K.; et al. Methods and tools for integrated assessment of land use policies on sustainable development in developing countries. Land Use Policy 2011, 28, 604–617. [Google Scholar] [CrossRef]
- Hill, E.; Dorfman, J.H.; Kramer, E. Evaluating the impact of government land use policies on tree canopy coverage. Land Use Policy 2010, 27, 407–414. [Google Scholar] [CrossRef]
- Hermans, L.; Cunningham, S.; Slinger, J. The usefulness of game theory as a method for policy evaluation. Evaluation 2014, 20, 10–25. [Google Scholar] [CrossRef]
- Chen, C.C. An analytical framework for energy policy evaluation. Renew. Energy 2011, 36, 2694–2702. [Google Scholar] [CrossRef]
- Athanassopoulos, A.D.; Triantis, K.P. Assessing aggregate cost efficiency and the related policy implications for Greek local municipalities. Inf. Syst. Oper. Res. 1998, 36, 66–83. [Google Scholar]
- Brouwer, R.; van Ek, R. Integrated ecological, economic and social impact assessment of alternative flood control policies in the Netherlands. Ecol. Econ. 2004, 50, 1–21. [Google Scholar] [CrossRef]
- Brannstrom, C.; Jepson, W.; Filippi, A.M.; Redo, D.; Xu, Z.; Ganesh, S. Land change in the Brazilian Savanna (Cerrado), 1986–2002: Comparative analysis and implications for land-use policy. Land Use Policy 2008, 25, 579–595. [Google Scholar] [CrossRef]
- Le, Q.B.; Park, S.J.; Vlek, P.L.G. Land Use Dynamic Simulator (LUDAS): A multi-agent system model for simulating spatio-temporal dynamics of coupled human-landscape system: 2. Scenario-based application for impact assessment of land-use policies. Ecol. Inform. 2010, 5, 203–221. [Google Scholar]
- Li, Y.; Zhang, J.; He, D. Research on the rational population carrying capacity and relevant policy of a Region-Take Beilun Area of Ningbo as an example. In Proceedings of the 1st International Conference on Sustainable Construction & Risk Management, Chongqing Jiaotong University, Chongqing, China, 12–14 June 2010; Volumes I and II, pp. 798–802.
- Soltanmohammadi, H.; Osanloo, M.; Bazzazi, A.A. An analytical approach with a reliable logic and a ranking policy for post-mining land-use determination. Land Use Policy 2010, 27, 364–372. [Google Scholar] [CrossRef]
- Xie, Y. Policy evaluation method and selecting method. J. Jiangxi Adm. Coll. 2000, 2, 19–21. (In Chinese) [Google Scholar]
- Yuan, X. Policy evaluation method and choice. J. Jiangxi Adm. Inst. 2000, 4, 19–21. (In Chinese) [Google Scholar]
© 2014 by the authors; licensee MDPI, Basel, Switzerland. This article is an open access article distributed under the terms and conditions of the Creative Commons Attribution license (http://creativecommons.org/licenses/by/3.0/).