You are currently viewing a new version of our website. To view the old version click .
Sustainability
  • Article
  • Open Access

8 April 2025

Navigating Green Trade Barriers: Strategic Decisions in Cross-Border E-Commerce Green Packaging and Self-Logistics

,
and
1
School of Economics and Management, Shanghai Maritime University, Shanghai 201306, China
2
China Institute of FTZ Supply Chain, Shanghai Maritime University, Shanghai 201306, China
3
School of Mechanical Engineering, University of Shanghai for Science and Technology, Shanghai 200093, China
*
Author to whom correspondence should be addressed.

Abstract

As environmental concerns become increasingly central to global trade, the adoption of green packaging has emerged as a critical issue for cross-border e-commerce platforms and manufacturers. This paper investigates the strategic decisions of overseas manufacturers and domestic cross-border e-commerce platforms regarding logistics and green packaging, considering the impact of commission rates, consumer preferences, and logistics costs. Employing a game-theoretic model, our study constructs a formal analytical framework to examine four distinct logistics and green packaging combination strategies, and optimal decisions for platforms and manufacturers were derived through equilibrium analysis. Our findings reveal that the platform’s commission rate is the main incentive for the manufacturer’s green production initiatives, while the platform’s logistics costs drive their green efforts. A “Decision-making Win–Win Effect” is identified, where both platform and manufacturer benefit from strategic shifts, particularly when the platform manages its logistics costs and reduces commission rates. Additionally, the extensions of the model demonstrates that the wholesale contract weakens the win–win outcome, while the third-party green logistics strengthens it. This study provides valuable insights for both academics and practitioners on how to optimize green packaging strategies and logistics decisions in the evolving landscape of global e-commerce.

1. Introduction

1.1. Background

The rise of cross-border e-commerce platforms, such as Amazon and Tmall, has significantly reshaped consumer purchasing behavior, making international shopping more accessible and convenient than ever before. These platforms provide a seamless connection between global consumers and overseas businesses, enabling enterprises to expand their reach beyond domestic markets. In return, businesses join these platforms and pay a commission fee to facilitate their offshore sales. At the same time, the rapid growth of e-commerce has placed increasing demands on express packaging, which plays a crucial role in ensuring efficient product distribution [1,2], and China, the world’s largest express delivery country, exemplifies this with more than 90 express deliveries per capita in 2023 alongside a staggering 200% growth in carbon emissions from 2017 to 2022. Environmental sustainability has become an increasingly pressing concern globally, especially in the realm of international trade, where environmental practices are now pivotal to market access and competitiveness. The emergence of Green Trade Barriers (GTBs), characterized by stricter regulations on packaging, has significantly reshaped the landscape for cross-border manufacturers, compelling them to adopt eco-friendly practices to meet the environmental standards of target markets [3]. For example, China’s 2018 National Standards for express packaging materials set precise requirements for packaging dimensions and materials, while the European Union’s 2022 proposal for the Packaging and Packaging Waste Regulation (PPWR) aims to minimize excessive packaging and increase the proportion of recycled materials in packaging. Such regulations reflect the growing prioritization of sustainability in global commerce and highlight the necessity for manufacturers to innovate green packaging solutions to maintain compliance and market relevance. In response to these pressures, manufacturers are increasingly focusing on reducing packaging waste. Companies like Huawei have developed strategies such as the ‘6R1D’ green packaging framework, which emphasizes the importance of the right packaging in reducing material waste. Similarly, L’Oreal and Alibaba have introduced innovative green packaging solutions, such as zip-locked parcels, which are aimed at minimizing excess packaging.
Simultaneously, the public awareness of environmental issues has surged [4,5,6], exerting additional pressure on businesses to align with consumer expectations. A survey by Amazon revealed that 80% of e-commerce consumers express dissatisfaction with excessive packaging, showcasing the significant influence of consumer preferences on sustainable practices. In response, cross-border e-commerce platforms, leveraging their self-managed logistics services, can also offer greener packaging options. For instance, Amazon has reduced over 1 million tonnes of packaging waste through its Ships-In-Own-Container (SIOC) program, while Zalora has championed the use of recycled plastic for packaging in regions like Malaysia, Singapore, and Hong Kong. These initiatives provide consumers with confidence in the platform’s commitment to sustainability on the one hand, while on the other, they demonstrate how platforms are not only meeting regulatory requirements but also establishing themselves as frontrunners in environmental responsibility, addressing both policy mandates and shifting consumer preferences. However, the integration of self-managed logistics by e-commerce platforms introduces complexities into the decision-making process for manufacturers, as it influences their choice of logistics models and the adoption of green packaging strategies [7,8]. However, the adoption of self-managed logistics by e-commerce platforms adds layers of complexity to manufacturers’ decision making, as it directly impacts their selection of logistics models and green packaging strategies [7,8]. Cross-border e-commerce platforms primarily operate under two logistics service models: platform self-logistics service and third-party logistics service (3PLs). The platform self-logistics service refers to a logistics system that is developed, owned, and managed by the platform itself. Companies such as JD.com and Amazon have established their own logistics networks, allowing them to exert greater control over logistics operations, ensure the implementation of sustainable packaging practices, and enhance the overall shopping experience for consumers. However, maintaining an independent logistics infrastructure requires substantial investment in network development, warehousing, and transportation. In contrast, 3PLs provision involves outsourcing logistics operations to specialized service providers such as DHL, UPS, and FedEx. While this approach enables platforms to leverage the expertise and efficiency of logistics firms, it also limits their direct control over logistics operations and packaging standards, placing them in a more passive position regarding service quality assurance. Given these trade-offs, the selection of an appropriate logistics model is a critical strategic decision for cross-border e-commerce platforms, as it not only affects cost efficiency and service quality but also influences sustainability efforts in the supply chain.

1.2. Motivation and Contribution

Despite the growing body of research on green packaging and logistics, existing studies primarily focus on empirical analyses of consumer behavior and regulatory impacts, while few explore the strategic interactions between supply chain participants. Furthermore, prior research on logistics model selection often examines platform-managed logistics and third-party logistics in isolation without considering their interplay with green packaging decisions. This study fills these gaps by developing a game-theoretic model to examine the joint decision-making problem of green packaging and logistics mode selection in cross-border e-commerce.
The study aims to answer the following research questions:
(1) What are the optimal strategies for the overseas manufacturers and the cross-border e-commerce platforms?
(2) How do commission rates and consumer preferences affect the profitability and green level of supply chain participants?
(3) What measures should the overseas manufacturers and the cross-border e-commerce platforms take to encourage the adoption of green packaging?
To explore these questions, this paper model a supply chain consisting of an overseas manufacturer and a cross-border e-commerce platform, analyzing four distinct scenarios: (1) the manufacturer does not adopt green packaging and uses third-party logistics (NT), (2) the manufacturer does not adopt green packaging and uses platform-managed logistics (NP), (3) the manufacturer adopts green packaging and uses third-party logistics (GT), and (4) the manufacturer adopts green packaging and uses platform-managed logistics (GP). By integrating green packaging and logistics decisions within a unified game-theoretic framework, this study provides novel insights into the strategic dynamics of cross-border e-commerce. The results offer practical implications for manufacturers and platforms seeking to navigate green trade barriers while optimizing profitability and sustainability.
This study contributes to theoretical and practical research in several ways. First, it extends the understanding of how commission rates and consumer preferences shape green packaging adoption and logistics model selection. The findings reveal that when logistics costs are moderate, commission rates become the primary determinant of strategic decisions, particularly when manufacturers do not engage in green packaging production. However, when manufacturers choose to produce green packaging, consumer preferences play a more significant role in logistics model selection. Second, the results show that the GP model—where manufacturers adopt green packaging and use platform-managed logistics—emerges as an equilibrium strategy only when commission rates and logistics costs are both low. Conversely, the GT model becomes the optimal strategy when logistics costs are high, making third-party logistics a more viable option for green packaging adoption. Third, the study identifies a “Decision-making Win–Win Effect”, in which both manufacturers and platforms can benefit from strategic shifts when platforms effectively manage logistics costs and reduce commission rates. Finally, the analysis is extended to consider wholesale price contracts and third-party green logistics services. The findings suggest that wholesale contracts weaken the win–win outcome by introducing complexities in pricing and decision making, whereas third-party green logistics enhance collaborative benefits, promoting a greater adoption of sustainable practices.
This study also provides actionable strategies for manufacturers and e-commerce platforms to effectively navigate the challenges posed by Green Trade Barriers. The findings demonstrate that cross-border e-commerce platforms can strategically manage logistics costs to incentivize manufacturers’ compliance with green packaging regulations, thereby reducing the risks of trade restrictions. Meanwhile, platforms can leverage lower commission rates as a policy tool to encourage manufacturers to adopt eco-friendly packaging solutions. Additionally, platforms and manufacturers can navigate and mitigate the obstacles posed by green trade barriers through flexible contractual arrangements, such as wholesale contracts and revenue-sharing contracts, while also leveraging third-party logistics providers with established green capabilities.
The rest of this paper is organized as follows. The related literature is reviewed in Section 2. Section 3 outlines the model setup, assumptions, and decision-making sequence. Section 4 presents a detailed analysis of the four scenarios. Section 5 discusses equilibrium results and examines the preferences of the supply chain members. Section 6 explores model extensions, including the wholesale contract, third-party green logistics service, and consumer attitude towards green packaging. Section 7 concludes the paper. The Appendix A contains proofs not provided in the main text.

2. Literature Review

Our study contributes to the literature on green packaging. Environmental sustainability has garnered increasing attention, which is driven by concerns over climate change, resource depletion, and the environmental impact of production and consumption processes [9,10]. Packaging, in particular, has emerged as a focal point in these discussions due to its substantial contribution to waste generation and carbon emissions [11,12,13]. The importance of green packaging, which involves reducing, reusing, and recycling materials, has become evident, with governments, businesses, and consumers alike seeking solutions that minimize environmental harm [14,15,16,17]. In terms of sustainable management, Maziriri [18] identifies three key features of green packaging: reducing the use of non-decomposable materials, utilizing less energy-intensive packaging, and using environmentally friendly packaging materials. According to Mahmoud et al. [19], green packaging communicates sustainability efforts, eco-friendly operations, and green product attributes. Consumers’ environmental awareness of green packaging positively impacts their purchasing decisions. In terms of consumer purchase intention, research by Dangelico and Vocalelli [20] suggests that products packaged in sustainable materials are perceived by consumers as higher quality and more environmentally responsible. Consumers are willing to pay a premium for products based on their functional attributes or their commitment to environmental sustainability. Similarly, Mahmoud et al. [19] explored the relationship between green packaging, environmental awareness, and consumers’ willingness to pay among Ghanaian consumers purchasing green products. Their findings revealed that consumers’ environmental awareness of green packaging had a positive and significant effect on their purchasing decisions with modern consumers demonstrating a willingness to pay a premium for products packaged in an eco-friendly manner. Kim et al. [16] examined the impact of green packaging on consumers’ green purchasing intentions in both the US and South Korea, and they also discussed the broader implications for regulation and policy. Their study emphasis the role of government regulations in shaping consumer preferences and encouraging sustainable business practices. The empirical results of Pan et al. [21] showed that green packaging indirectly affects consumers’ green purchase intentions in online-to-offline business activities through three key factors: perceived value, perceived risk, and green satisfaction. In addition, Yu [22] studied the low-carbon design of flower and fruit tea packaging, exploring the attributes and green performance of the product. Leong et al. [23] examined gender differences in the willingness to purchase green packaged products. The existing literature predominantly explores the impact of green packaging on the environment and consumer behavior through empirical analysis but lacks a rigorous quantitative approach [16,19,23]. Moreover, prior research tends to focus solely on consumers’ willingness to purchase [20,21], overlooking how green packaging initiatives on e-commerce platforms influence the strategic decision making of companies and platforms. This study bridges that gap by developing a game-theoretic model to quantitatively analyze how green packaging affects the decisions of supply chain members. In doing so, it incorporates consumer green propensity into the strategic framework, thereby providing deeper insights into the interplay between environmental sustainability and business strategy in the cross-border e-commerce landscape.
Our work is also closely related to the literature on logistics model selections. In parallel to the growing emphasis on green packaging, the logistics models employed by manufacturers and cross-border platforms play a pivotal role in determining the overall sustainability of supply chains [24,25,26]. With regard to the choice of logistics modes, Zhang et al. [27] studied the logistics mode selection of overseas suppliers, comparing direct-mail and bonded-warehouse options, which differ in logistics costs and inventory risks. Qin et al. [28] examined the logistics service sharing strategy of cross-border e-commerce platforms by comparing two modes: the no-service sharing mode and the service sharing mode. Li et al. [29], on the other hand, examined the logistics service levels and logistics strategies under different sales models in the context of online platforms and manufacturers selling substitutable products on online marketplaces. There are also studies specifically focused on platform’s self-own logistics. Niu et al. [30] examined delivery partnerships between restaurants and online food delivery platforms, finding that platform logistics strategies become more environmentally friendly when the online market potential is high. Based on the example of JD.com’s logistics network in Shanghai, Li and Jia [31] investigated the order fulfillment challenges faced by e-retailers operating self-owned logistics systems. The study highlights how such systems influence operational efficiency and customer satisfaction in the e-commerce sector. Xu et al. [32] constructed a two-period game model involving old-for-new and durable goods firms to study the dynamic joint strategy of channel encroachment and logistics choice. This model examines how these firms make strategic decisions regarding the use of different channels and logistics options, taking into account both immediate and long-term competitive dynamics. Chen et al. [33] proposed a Stackelberg game model that analyzes how a manufacturer or retailer can strategically choose between two logistics service strategies, manufacturer-provided logistics services and retailer-provided logistics services, while considering factors such as cost reduction efforts and fairness concerns. Their work highlights the power dynamics and decision-making incentives that influence the choice of logistics services in retail and manufacturing contexts. Regarding the research on the green capabilities of the third-party logistics providers, Mahmoudi et al. [34] found that the supply chain will perform more sustainably when working with a third-party logistics company than when there is no third-party logistics company in the green supply chain. Laguir et al. [35] found that third-party logistics providers can improve eco-efficiency by implementing three supply chain practices: distribution and transportation, warehousing and green building, and reverse logistics. By examining different combinations of internal and external green supply chain management practices, Stekelorum et al. [36] analyzed the impact of these combinations on the operational and financial performance of third-party logistics providers. Most of the existing literature examines the logistics mode selection strategies of enterprises or platforms across different channels by constructing game-theoretic models [27,30,32]. These studies primarily focus on analyzing logistics decisions based on factors such as logistics costs and platform-driven considerations. However, they often overlook the role of consumer preferences in shaping these decisions and, more importantly, fail to address the logistics mode selection strategies of platforms within a green supply chain context. Our model advances this research by incorporating not only key platform constraints—such as logistics costs and commission rates—but also consumer preferences for different logistics modes. Furthermore, it explores the influence of third-party logistics on the platform’s strategic logistics decisions, providing a more comprehensive understanding of sustainable logistics management.
Compared to the existing literature, our study offers a unique contribution in two main ways. First, while much of the existing research on green packaging focuses on empirical analyses—examining consumer preferences, willingness to pay, and the environmental impact of packaging—our article adopts a game-theoretic approach to model the strategic decisions of manufacturers and cross-border e-commerce platforms in adopting green packaging. The advantage of using a game-theoretic framework lies in its ability to capture the interdependent decision-making processes of supply chain participants, considering not only individual optimization but also the strategic responses of other stakeholders. This allows us to explore equilibrium outcomes and identify the conditions under which green packaging and logistics strategies are jointly optimized, providing a more structured and predictive framework for decision making. Second, previous studies on logistics model selection have primarily examined suppliers’ choices of logistics and channel models [28,29,32] as well as supply chain pricing decisions and internal competition dynamics within third-party logistics [37,38]. However, these studies have often overlooked the strategic interdependence between platform-owned logistics and third-party logistics, particularly in the context of sustainability. Additionally, while the existing literature on green third-party logistics has largely focused on performance management and carbon footprint reduction in green supply chains [35,36], research on how third-party logistics providers’ green capabilities influence supply chain members’ strategic decisions, including platform logistics choices and manufacturers’ sustainability investments, remains limited. This study fills these gaps by developing a game-theoretic model that explicitly incorporates the role of the green capabilities of the platform and the third-party logistics provider into the platform’s logistics decision making, providing a structured framework for understanding how green logistics providers affect the broader supply chain. By integrating green packaging with logistics model selection, this research extends the literature on sustainable supply chain management by demonstrating the extent of platforms’ preference for self-logistics and third-party logistics under different conditions. This theoretical and quantitative approach offers a novel perspective on how e-commerce platforms can drive sustainable development while maintaining operational efficiency. Moreover, our game-theoretic model enables a systematic examination of key influencing factors, such as commission rates, logistics costs, and consumer green preferences, and how these variables shape the strategic decisions of manufacturers and platforms. This analytical approach allows for a more rigorous evaluation of the trade-offs between economic and environmental objectives, highlighting the strategic conditions under which green packaging and sustainable logistics become viable. By leveraging the strengths of game theory, our study not only extends the existing literature but also provide a theoretical basis for supply chain members to better navigate green trade barriers.

3. Model Setup

This study develops a game-theoretic model to explore the strategic interactions between cross-border e-commerce platforms and overseas manufacturers in relation to logistics and green packaging decisions. The primary objective for each player is to maximize their respective profit, taking into account the trade-offs between logistics costs, green packaging adoption, and commission rates.
To formalize this, the study develops detailed revenue and cost functions for both the manufacturer and the platform, considering how logistics mode choices and green packaging influence demand. The demand function integrates factors such as consumer preferences for green packaging as well as the associated costs and benefits of different logistics models. The equilibrium conditions are derived by solving the profit-maximization problems for both players under various scenarios, thus enabling the identification of optimal strategies. Mathematica was utilized as the analytical tool to derive and solve the equilibrium conditions within the game-theoretic framework. First-order conditions were applied to identify the optimal strategies for both the manufacturer and the platform, and comparative statics were then employed to examine how key parameters—such as commission rates, logistics costs, and consumer preferences for green packaging—impact the equilibrium outcomes. Additionally, numerical simulations were performed to provide deeper insights into the practical implications of the model, demonstrating how these factors interact and influence decision making in different scenarios.

3.1. Notations and Problem Description

This paper examines a supply chain that includes an overseas manufacturer (hereinafter referred to as “he”) and a domestic cross-border e-commerce platform (hereinafter referred to as “she”). The platform is dedicated to the sale of goods and the promotion of green and sustainable packaging for the products it handles. It has the option to either provide self-logistics for the manufacturer or rely on 3PLs providers. If the platform does not manage the logistics, the manufacturer must use the 3PLs provider. In order to meet the regulatory requirements of the target countries, the logistics chain often requires the secondary packaging of goods. This secondary packaging ensures compliance with import regulations that vary across countries. In addition, the exporting manufacturer is faced with the decision of whether to use traditional packaging or to invest in green packaging. If he opts for sustainable packaging, such as recyclable or biodegradable materials, the platform’s logistics system will not need to conduct secondary packaging. In other words, opting for green packaging at the production stage not only helps the manufacturer align with environmental regulations in the target countries but also reduces the need for additional packaging later in the logistics chain. To quantify the environmental costs, our study introduces the concept of green levels: the logistics services offered by the platform have a green level of e P , and the manufacturer’s green level is denoted as e M . We note that the platform and the manufacturer’s decision to use higher-quality, eco-friendly packaging materials may incur additional expenses, which are crucial for meeting sustainability goals. Therefore, the associated costs for these green levels are represented by the quadratic cost functions, 1 2 e P 2 and 1 2 e M 2 , which are commonly used in environmental cost modes [39,40].
Consumers in the green market tend to favor platform logistics services for two primary reasons. First, platform logistics help protect the integrity of the goods by reducing the risks of packaging damage or package loss. Second, they enhance the consumer shopping experience by offering features such as real-time tracking, which provides greater certainty and confidence in the delivery process. This consumer preference is captured by δ ( 0 < δ < 1 ) . As δ decreases, there is a concomitant increase in the strength of consumers’ preferences for the platform’s self-owned logistics. When δ approaches 1, there is no discernible difference between consumers’ preferences for platform logistics and 3PLs providers. As a result, the perceived value of products delivered via the platform’s self-logistics is v , while the value of products delivered via 3PLs providers is δ v .
When consumers make a purchase, their utility can be expressed in two forms. If the product is delivered via the platform’s self-logistics, their utility is
U P = v p + λ e
where p is the price of the product and λ represents the consumer’s sensitivity to green packaging, with e = { 0 , e M , e P } indicating no green packaging, manufacturer green packaging, or platform-provided green packaging, respectively. Alternatively, if the product is delivered through 3PLs providers, the utility becomes
U T = δ v p + λ e
As described earlier, δ reflects the reduced value perceived by consumers when a 3PLs provider is used instead of the preferred platform logistics.
When the platform offers self-logistics, it incurs a per-unit cost c and charges the manufacturer a per-unit fee f . For simplicity, our study focuses on the scenario where either the manufacturer or the platform provides green packaging, which eliminates the cost that would typically be incurred by a 3PLs provider. In this case, the platform’s logistics service and the manufacturer’s green packaging are both assumed to have no additional cost burden from 3PLs providers. The manufacturer, in turn, sets the selling price p for his products. The platform charges the manufacturer a commission fee, denoted as r , for each unit sold. This commission is assumed to be an exogenous variable, which is common in previous studies [41,42,43].
To examine the interplay between green packaging and logistics decisions, this paper analyzes four distinct scenarios as shown in Figure 1: (1) neither green packaging nor self-logistics service is provided by the manufacturer and the platform (NT), (2) no green packaging is adopted by the manufacturer, but the platform offers a self-logistics service (NP), (3) the manufacturer adopts green packaging, while the platform does not provide a self-logistics service (GT), and (4) the manufacturer adopts green packaging, and the platform provides a self-logistics service (GP). In the following discussion, the four scenarios will be referred to by means of superscripts.
Figure 1. Supply chain structures.

3.2. Decision Sequence

The decision-making process in the supply chain begins with the manufacturer’s decision on whether to adopt green packaging. This decision is critical because it directly impacts the production line, which often requires significant upfront investment and long-term planning. Advanced green packaging involves modifications to the manufacturing process, such as incorporating eco-friendly materials or redesigning packaging systems to align with sustainability goals. These changes typically require capital investment, adjustments to production workflows, and commitments to suppliers of sustainable materials [44,45,46]. As such, the manufacturer must make this decision at the outset to ensure that the production line is aligned with future supply chain and market demands.
Following the manufacturer’s decision, the platform determines whether to provide her own logistics services. If the platform opts to manage logistics, her responsibilities depend on the manufacturer’s packaging choice. When the manufacturer does not adopt green packaging, the platform must handle both logistics and the implementation of green packaging solutions to meet consumer and regulatory expectations. Conversely, if the manufacturer has already invested in green packaging, the platform focuses solely on logistics, such as ensuring efficient delivery or offering value-added green logistics services. If the platform chooses not to provide self-managed logistics services, the delivery process is outsourced to a 3PLs provider.
The final stage involves operational decision making by both the manufacturer and the platform. The manufacturer determines the specific level of green packaging production based on consumer preferences and cost considerations. Simultaneously, the platform decides the level of green logistics it will offer and the associated costs of self-managed logistics. These decisions directly affect the environmental performance and efficiency of the supply chain. Once these levels are established, the manufacturer sets the selling price of the goods and collects revenue from product sales, factoring in the cost of green packaging. The platform, on the other hand, earns profits through commissions on goods sold.

4. Model Formulations and Sensitivity Analysis

In this section, backward induction is used to analyze the equilibrium outcomes under four distinct scenarios: (1) no green packaging production with a 3PLs provider (NT), (2) no green packaging production with the platform’s self-logistics (NP), (3) green packaging production with a 3PL provider (GT), and (4) green packaging production with the platform’s self-logistics (GP).

4.1. Mode NT

Our study begins by assuming the scenario where the manufacturer does not produce green packaging and the platform does not provide a self-logistics service. This serves as the benchmark scenario to analyze the decision-making choices of the supply chain members. It is important to note that although this scenario may conflict with the green requirements of the target country, we use it as a reference case to examine the manufacturer’s green packaging decisions and the platform’s self-logistics choices. This baseline scenario provides insights into the trade-offs each party faces in the absence of green logistics and packaging solutions. In Extension 6.2, our study further explores the scenario where a 3PLs provider offers green services, which adds another layer of complexity to the decision-making process. In this case, the manufacturer sets the sales price of the goods, which are then sold through the platform and delivered to consumers via 3PLs providers. The platform generates revenue by collecting commissions on the sales. The demand function is given by
D N T = 1 p N T δ
The members’ profit functions then formulated as
Π M N T = 1 r p N T D N T
Π P N T = r p N T D N T
The manufacturer sets the price to maximize their own profit, and from this, the equilibrium outcome is derived.
 Lemma 1. 
In the NT mode, the equilibrium prices and profits are p N T * = δ 2 , Π M N T * = 1 4 ( 1 r ) δ , Π P N T * = r δ 4 .
As shown in Lemma 1, when δ increases, it indicates that consumers place a higher value on 3PLs provision, allowing the manufacturer to raise the price of goods, thereby increasing his revenue. Since the platform does not provide a self-owned logistics service to the manufacturer, its revenue is solely derived from the commission fees it charges. As a result, the platform’s revenue also increases. However, it is important to note that despite the price increase, market demand remains unchanged. Furthermore, under the NT mode, the optimal pricing of goods is unaffected by the platform’s commission rate, and the manufacturer’s revenue consistently decreases as the commission rate increases.

4.2. Mode NP

In this scenario, the manufacturer does not produce green packaging, but the platform offers self-managed logistics services to handle the delivery process. Since the platform takes on the responsibility of logistics, it also needs to provide green packaging for the goods to meet consumer demand for sustainability and the import requirements of the target country. This requirement incurs a cost of 1 2 e P 2 . In addition to the packaging costs, the platform’s logistics operations involve a per-unit cost of c , which covers the expenses associated with managing transportation, storage, and delivery. To offset these costs, the platform charges the manufacturer a logistics fee of f for each unit sold. This fee covers the logistics services provided, such as the handling, shipping, and environmental considerations associated with self-managed delivery. Hence, the platform’s total revenue comes from two main sources: a commission fee based on the sale of goods, which is typically a percentage of the product price, and the logistics fee charged to the manufacturer for the provision of self-managed logistics services.
Finally, the market demand for the goods, which reflects the consumer utility derived from purchasing these items, is determined by factors such as the perceived value of green packaging and logistics services, along with the price of the product itself
D N P = 1 p N P + λ e P N P
The objective functions for the manufacturer and the platform are expressed as
Π M N P = 1 r p N P f N P D N P
Π P N P = r p N P D N P + f N P c D N P 1 2 e P N P 2
Using the backward induction approach, the results are presented as follows:
 Lemma 2. 
In the NP mode, the equilibrium outcomes are e P N P * = ( 1 + c ) λ 4 + 2 r + λ 2 , f N P * = ( 1 + r ) ( 2 ( 1 + r ) + c ( 2 + λ 2 ) ) 4 + 2 r + λ 2 , p N P * = 3 + 2 r + c ( 1 + λ 2 ) 4 + 2 r + λ 2 , D N P * = 1 + c 4 + 2 r + λ 2 , Π M N P * = ( 1 + c ) 2 ( 1 + r ) ( 4 + 2 r + λ 2 ) 2 , Π P N P * = ( 1 + c ) 2 2 ( 4 + 2 r + λ 2 ) .
 Corollary 1. 
(1) e P N P * c < 0 ; f N P * c > 0 ; p N P * c > 0 ; D N P * c < 0 . (2) e P N P * r > 0 ; f N P * r < 0 ; p N P * r < 0 ; D N P * r > 0 . (3) Π M N P * r > 0 if r < λ 2 2 , Π M N P * r < 0 if r > λ 2 2 ; Π P N P * r > 0 .
The results of Lemma 2 and Corollary 1 highlight how the equilibrium solution in the NP mode is influenced by changes in the logistics cost ( c ) and the platform’s commission rate ( r ). In this mode, the equilibrium price increases with c , while the green level of the platform ( e P ) and the market demand ( D ) both decrease.
It is clear that in the NP mode, as the platform’s logistics cost rises, the logistics fee charged to the manufacturer also increases. To maintain sufficient revenue, the manufacturer is forced to raise the price of the goods, leading to a contraction in market size. This contraction, in turn, results in a reduction in the platform’s green level, as consumers are less willing to pay higher prices. On the other hand, when the platform’s commission rate ( r ) increases, the platform gains a greater incentive to improve her green level to attract environmentally conscious consumers. Additionally, the platform may lower its logistics fee to offset the increased commission fee and compensate the manufacturer for higher logistics costs. This reduction in logistics fee provides the manufacturer with an opportunity to lower its product price to appeal to more consumers.
Interestingly, despite the platform’s increased commission rate, the manufacturer may find it beneficial to lower his price. This counterintuitive outcome arises from two compensating factors. First, as the platform enhances its green level and reduces logistics costs, it can attract more environmentally conscious consumers, thereby expanding the market size. A larger consumer base creates greater sales opportunities, even at lower prices, as the overall demand for the product increases. Second, the reduction in logistics costs, driven by the platform’s strategic decision to lower logistics fees, directly benefits the manufacturer. With lower logistics fees, the overall cost of delivering the product is reduced, allowing the manufacturer to pass on some of those savings to consumers in the form of lower prices. This price reduction, in turn, becomes an beneficial option, as the manufacturer can stimulate greater demand without sacrificing profitability—thanks to the increase in market size and the savings in logistics. Therefore, even though the platform’s commission rate rises, the combined effects of a larger market and reduced logistics costs provide an incentive for the manufacturer to lower their price. This results in a situation where the manufacturer’s revenue may increase, despite the platform extracting a higher commission, as long as the commission rate is not too high ( r < λ 2 2 ).

4.3. Mode GT

In this scenario, our study analyzes the case where the manufacturer decides to implement green packaging production, while the platform does not provide self-managed logistics services. By choosing to adopt green packaging, the manufacturer incurs the associated cost of 1 2 e M 2 . Since the platform does not offer self-managed logistics in this case, the revenue is solely derived from the commission fees collected on the goods sold through the platform. The platform does not bear any additional costs related to logistics or packaging, making the revenue model straightforward but dependent on the volume of sales generated by the manufacturer. The market demand function, which is determined by the consumer utility derived from purchasing the goods, is influenced by both the price of the goods and the level of green packaging provided. As consumers value sustainability, the green packaging strategy adopted by the manufacturer can increase consumer preference, impacting the demand curve:
D G T = 1 p λ e M G T δ
And the objective functions for the manufacturer and the platform are as follows:
Π M G T = 1 r p D G T 1 2 e M G T 2
Π P G T = r p G T D G T
Using backward induction, the results are as follows:
 Lemma 3. 
In the GT mode, the equilibrium outcomes are e M G T * = ( 1 + r ) δ λ 2 δ + ( 1 + r ) λ 2 , p G T * = δ 2 2 δ + ( 1 + r ) λ 2 , D G T * = δ 2 δ + ( 1 + r ) λ 2 , Π M G T * = ( 1 + r ) δ 2 4 δ + 2 ( 1 + r ) λ 2 , Π P G T * = r δ 3 ( 2 δ + ( 1 + r ) λ 2 ) 2 .
 Corollary 2. 
(1)   e M G T * δ < 0 ; p G T * δ > 0 if δ > ( 1 r ) λ 2 , otherwise p G T * δ < 0 ; D G T * δ < 0 . (2) e M G T * r < 0 ; p G T * r < 0 ; D G T * r < 0 .
The results of Lemma 3 and Corollary 2 reveal an interesting relationship between the manufacturer’s green packaging decisions, consumer preferences, and the platform’s commission rate. Specifically, when the manufacturer produces green packaging, the level of green inputs tends to decrease as either consumer preference for the 3PLs increases or the platform’s commission rate rises. This occurs because as consumer preference for 3PLs provision grows, consumers become less reliant on platform logistics services and increasingly satisfied with 3PLs alternatives. Consequently, the platform’s role in providing logistics services becomes less central, reducing the manufacturer’s incentive to make additional green innovations aimed at attracting consumers. Despite the fact that increasing δ leads to a decrease in market demand, the behavior of commodity prices follows a distinct trend. As shown in Figure 2, when consumer preference for 3PLs providers is relatively low, an increase in δ results in both a reduction in the manufacturer’s green input level and a decline in market demand. In this case, because consumers do not yet have a strong preference for 3PLs, the manufacturer is compelled to lower the price to sustain demand and generate sufficient revenue. However, when δ becomes sufficiently large—indicating a stronger preference for 3PLs—the dynamics shift. In this scenario, even though the market demand continues to decrease, the manufacturer is able to raise prices without compromising their revenue. This is because the consumers’ preference for 3PLs enhances their willingness to pay for products that offer these services, allowing the manufacturer to maintain or even increase profitability despite reduced demand. This outcome is also captured in Corollary 3, which highlights that the optimal pricing strategy is highly dependent on the consumer’s preference for 3PLs.
Figure 2. The impact of δ on the price and benefit ( r = 0.2 ,   λ = 0.8 ), and the superscript * denotes the equilibrium solution in this mode.
Furthermore, the impact of the commission rate in the GT mode differs significantly from the NP mode. In the GT mode, the manufacturer is responsible for bearing the cost of green inputs associated with the production of green packaging. This means that any increase in the commission rate forces the manufacturer to absorb additional costs, which reduces the financial viability of maintaining a high level of green packaging. As a result, the manufacturer is incentivized to lower their green input level to protect their profit margin. In contrast, in the NP mode, the platform is responsible for the green logistics costs. This fundamental difference between the two modes leads to divergent strategies for the manufacturer. In the GT mode, the higher commission rate results in a reduction in green inputs and a decrease in market demand, ultimately diminishing profitability for the manufacturer. On the other hand, in the NP mode, where the platform absorbs the green logistics costs, the manufacturer has greater flexibility to maintain green input levels and adjust prices without facing the same cost pressures.
 Corollary 3. 
(1) Π M G T * δ > 0 if δ > ( 1 r ) λ 2 , otherwise Π M G T * δ < 0 . (2) Π P G T * r > 0 if δ > 1 2 ( 1 + r ) λ 2 , otherwise Π P G T * r < 0 .
The conclusion of Corollary 3 suggests that an increase in consumer preferences does not always lead to higher earnings for the manufacturer. Similarly, an increase in commission rates does not necessarily result in greater revenue for platforms. The effect of these factors depends significantly on the magnitude of δ , as illustrated in Figure 2 and Figure 3. In the NT mode, the manufacturer’s revenue consistently increases with δ , as higher consumer preference for 3PLs providers leads to higher demand for the product, thus enabling higher pricing and revenue. However, the situation is more complex in the GT mode. In this mode, a simple increase in δ does not necessarily cause a rise in price. In fact, it can lead to a reduction in market demand, which results in total revenue following a trend, as shown in Figure 2. This indicates that while consumer preference for 3PLs providers increases, the platform’s reduced involvement in logistics services can dampen the overall effect on the manufacturer’s revenue.
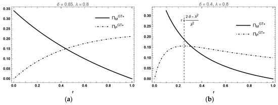
Figure 3. The impact of r on the benefit. (a) δ = 0.85 ,   λ = 0.8 ; (b) δ = 0.4 ,   λ = 0.8 , and the superscript * denotes the equilibrium solution in this mode.
Additionally, in the NT and NP modes, an increase in the platform’s commission rate is always accompanied by higher platform revenue. This is because the platform has direct control over logistics costs and can adjust its service offering to retain profitability. In contrast, the effect of an increasing commission rate in the GT mode is more nuanced and depends on both δ and r . As shown in Figure 3a, when δ is sufficiently large, the platform’s revenue in the GT mode behaves similarly to the NT/NP modes, where an increase in commission rate leads to higher platform revenue. However, when δ is not large enough, as seen in Figure 3b, platform revenue follows a non-monotonic pattern—it increases initially but then decreases as the commission rate rises. This reversal occurs because, as previously discussed, when δ is small, consumer demand is not strongly influenced by 3PL preference, and the manufacturer is forced to lower prices to maintain demand. As a result, the increased commission revenue from the platform is not enough to offset the losses incurred from lower prices and a shrinking market size, leading to a decrease in the platform’s total revenue. As a consequence, the manufacturer’s revenue also declines as the commission rate increases, further exacerbating the challenges in the GT mode.

4.4. Mode GP

When the manufacturer produces green packaging and the platform provides self-logistics services, the platform is not required to supply green packaging. In this case, the associated costs are borne by the manufacturer. Therefore, they must decide on both the level of green logistics and packaging to use as well as the selling price of the goods. Meanwhile, the platform is responsible for determining the costs associated with its self-logistics services. The market demand function, which is based on the utility gained by the consumers, is as follows:
D G P = 1 p + λ e M G P
And the objective functions for the manufacturer and the platform are
Π M G P = 1 r p f D G P 1 2 e M G P 2
Π P G P = r p G P D G P + f c D G P
The results are presented as follows, using the backward induction approach:
 Lemma 4. 
In the GP mode, the equilibrium outcomes are e M G P * = ( 1 + c ) ( 1 + r ) λ 4 2 r + 2 ( 1 + r ) λ 2 , f G P * = ( 1 + r ) ( 2 ( 1 + c r ) ( 1 + c ) ( 1 + r ) λ 2 ) 4 2 r + 2 ( 1 + r ) λ 2 , p G P * = 3 + c 2 r + ( 1 + c ) ( 1 + r ) λ 2 4 2 r + 2 ( 1 + r ) λ 2 , D G P * = 1 c 4 2 r + 2 ( 1 + r ) λ 2 , Π M G P * = ( 1 + c ) 2 ( 1 + r ) ( 2 + ( 1 + r ) λ 2 ) 8 ( 2 + r + λ 2 r λ 2 ) 2 , Π P G P * = ( 1 + c ) 2 8 4 r + 4 ( 1 + r ) λ 2 .
 Corollary 4. 
(1) e M G P * c < 0 ; f G P * c > 0 ; p G P * c > 0 ; D G P * c < 0 . (2) e M G P * r < 0 ; f G P * r < 0 ; p G P * r < 0 ; D G P * r > 0 . (3) Π M G P * c < 0 ; Π M G P * r < 0 ; Π P G P * c < 0 ; Π P G P * r > 0 .
According to Corollary 4, when the platform’s logistics costs increase, the logistics cost charged to the manufacturer also rises. As a result, the manufacturer is incentivized to reduce the level of green packaging used, as the additional costs make it less financially viable to continue at higher green levels. To maintain profitability, the manufacturer is likely to increase the selling price of the goods in response to the increased logistics cost. However, this price increase inevitably leads to a decrease in market demand. When the platform’s commission rate increases, the situation changes somewhat. Since the green packaging is provided by the manufacturer in GP mode, the manufacturer will reduce the green level of packaging in order to offset the impact of the higher commission rate. This adjustment helps mitigate the cost pressure caused by the platform’s increased charges. In response to the higher commission rate, the platform may also adjust by reducing her logistics fees, aiming to balance out the manufacturer’s higher commission expenses. The combined effect of these adjustments is interesting: despite the increase in commission cost, the overall market size expands. This occurs mainly because the manufacturer lowers the price of the goods to counteract the negative impact of reduced green packaging. Lower prices help boost demand, which counterbalances the reduced green level to some extent.
Finally, both manufacturers and platforms experience reduced revenues due to the increase in logistics costs. However, unlike in the NP mode, when the platform’s commission rate increases in the GP mode, the manufacturer’s revenue still declines, even though the commission rate is lower at this point, as shown in Figure 4. This decline is primarily because in the GP mode, the manufacturer is responsible for providing green packaging. As the commission rate increases, the price reduction and market expansion are less significant than in the NP mode. Consequently, the manufacturer’s revenue decreases in the GP mode despite the market size expanding.
Figure 4. The impact of r on the benefit ( c = 0.05 , λ = 0.8 ), and the superscript * denotes the equilibrium solution in this mode.

5. Mode Comparison and Numerical Analysis

In this section, our study compares the four modes on the basis of the equilibrium solutions for the manufacturer and the platform in order to further derive the optimal decisions and equilibrium strategies for them.

5.1. Platform Decision: Self-Logistics Provision Strategy

First, we examine the conditions under which the platform should provide a self-logistics service to the manufacturer. To accomplish this, our study begins by comparing the NT mode with the NP mode to assess whether the platform should offer self-logistics when the manufacturer does not implement green packaging strategies.
 Lemma 5. 
(1) p N T * < p N P * ; (2) D N T * < D N P * if c < c D N T N P , otherwise D N T * > D N P * , where c D N T N P = 1 2 ( 2 + 2 r + λ 2 ) .
According to Lemma 5, we find that the selling price of goods in the NP mode is always higher than in the NT mode because in the NP mode, the manufacturer must pay an additional logistics fee to the platform. However, when the logistics cost is sufficiently low, market demand in the NP mode surpasses that in the NT mode. This is because a lower logistics cost incentivizes the platform to increase green inputs, which in turn expands the market size. On the other hand, we observe that the market demand in the NT mode ( D N T * ) is always greater than that in the NP mode ( D N P * ) when the commission rate is below a certain threshold, specifically when r < 1 2 ( 2 + 2 c λ 2 ) . This suggests that in most cases, when the manufacturer does not produce green packaging and the platform provide self-logistics services, the market size shrinks.
 Proposition 1. 
(1) If consumer preference is small, both the manufacturer and the platform prefer the NP mode; (2) If consumer preference is large enough, the manufacturer and the platform prefer the NT mode; (3) When consumer preference is moderate, if the platform commission rate is low, then the manufacturer prefers the NT mode and the platform prefers the NP mode, and if the platform commission rate is high, then the two preferences are opposite.
The conclusion of Proposition 1 illustrates the influence of consumer preferences on the decision making of supply chain members. As shown in Figure 5, when consumer preferences are low, it is more profitable for manufacturer to rely on the platform’s logistics to meet consumers’ needs with both parties benefiting from this arrangement. In contrast, when consumer preference is high, it becomes more profitable for manufacturers to use the 3PLs service, while the platform’s fees for providing self-logistics are insufficient to offset the price increase and market shrinkage caused by the higher costs. In this case, the platform will not opt to provide self-logistics.
Figure 5. Changes in benefits due to the impact of δ . (a) r < r N T N P ; (b) r > r N T N P . The superscript * denotes the equilibrium solution in this mode.
When consumer preference is moderate ( δ P N T N P < δ < δ M N T N P or δ M N T N P < δ < δ P N T N P ), two situations arise depending on the platform’s commission rate. As seen in Figure 5a, when the commission rate is low, the platform can expand the market size through its own logistics services, increasing its commission income and generating logistics service fees, making it more attractive for the platform to provide self-logistics services. However, the manufacturer, due to insufficient consumer preference for the platform’s self-logistics service, will still prefer to use a 3PLs provider. In contrast, when the commission rate is sufficiently high, as shown in Figure 5b, the higher commodity price caused by the higher commission rate reduces the attractiveness of the NT mode. As a result, the manufacturer will switch to the NP mode. In this situation, however, the platform is required to provide green packaging services in the NP mode, which results in market shrinkage due to the price increase, making the benefits in the NP mode are lower than those in the NT mode. Therefore, the platform will prefer the NT mode in this case.
Additionally, when the platform’s logistics costs are very low, even if consumer preferences for platform logistics are not clearly defined, the manufacturer tends to prefer the NP mode. This is because with lower logistics costs, platforms can charge lower logistics fees, which increases the demand under the NP mode. This increased demand from green consumers makes the NP mode highly attractive for both the manufacturer and the platform. Conversely, even if logistics costs are high, there may still exist a range of consumer preferences where the NP mode is favored over the NT mode. In other words, platforms can differentiate themselves from 3PLs providers by enhancing their own logistics services and brand recognition, thereby encouraging manufacturers to choose the platform’s self-managed logistics services.
Next, our study analyzes the impact of platform self-logistics decisions on supply chain members when the manufacturer adopts green packaging strategies. To accomplish this, we compare the GT and GP modes, and we examine the optimal strategic choices for both the manufacturer and the platform by comparing the commodity prices, market demand, and profitability under each mode.
 Lemma 6. 
(1) p G T * > p G P * if c < c p G T G P , otherwise p G T * < p G P * ; (2) D G T * > D G P *
When the manufacturer implements green packaging strategies, he consistently experiences higher market demand when using a 3PLs provider compared to platform self-logistics. This is particularly evident when the platform’s logistics costs are lower. In such cases, the selling price of goods under the GT mode tends to be higher than that under the GP mode. The reason for this is that the manufacturer is more incentivized to invest in green packaging under the GT mode than in the GP mode. While consumers generally prefer platform logistics services, the appeal of green packaging remains stronger, leading to an expansion in market demand. Additionally, when the platform logistics cost is lower, the platform charges reduced logistics fees, which further incentivizes the manufacturer to enhance his green packaging efforts. As a result, the price of goods in the GT mode tends to be higher than that in the GP mode, which is driven by the elevated level of green packaging.
 Proposition 2. 
(1) If the platform logistics cost is low, both the manufacturer and the platform prefer the GP mode; (2) If the platform logistics cost is high, both the manufacturer and the platform prefer the GT mode; (3) If the platform logistics cost is moderate, the manufacturer prefers the GP mode and the platform prefers the GT mode when consumer preference is small; when consumer preference is large, then the two preferences are opposite.
According to Proposition 2, the logistics cost borne by the platform plays a crucial role in determining the optimal choice between the GP and GT modes for both the manufacturer and the platform. When the platform’s logistics cost is low, the GP mode is generally the best option for both parties. This is because the platform can provide its own logistics services at a low cost, benefiting both the platform and the manufacturer by reducing logistics expenses while offering the manufacturer control over green packaging. Conversely, when logistics costs are high, the GT mode becomes more favorable for both. However, when platform logistics costs are moderate, the decision becomes more complex and depends on consumer preferences. However, when platform logistics costs are moderate, the decision-making process becomes more nuanced, as both the platform and the manufacturer will weigh the benefits of each mode against the consumer preferences for platform self-logistics and green packaging. As shown in Figure 6, when the consumer preference for platform logistics is high, the manufacturer is less inclined to use platform logistics because its green packaging strategy already sets it apart, and they choose to use 3PLs providers. Here, the platform’s revenue is limited to the commission fees from sales, and without direct control over the logistics operations, the platform does not see enough incentive to choose the GT mode especially when the cost of self-logistics remains manageable. Conversely, when consumer preference for platform logistics is low, the manufacturer benefits more from using the platform’s self-logistics, as it can secure consumer trust and loyalty. In this case, the platform’s decision to opt for the GT mode is driven by the opportunity to increase market demand. With the GT mode, the platform can earn higher commissions from a larger customer base. Thus, the decision between the GP and GT modes when platform logistics costs are moderate depends on the interplay between consumer preferences and the platform’s ability to manage logistics effectively.
Figure 6. Changes in benefits due to the impact of c . (a) δ > δ G T G P ; (b) δ < δ G T G P . The superscript * denotes the equilibrium solution in this mode.
By comparing Proposition 1 and Proposition 2, we observe that when the platform’s logistics cost is moderate, both the platform and the manufacturer exhibit differing preferences for the various supply chain modes, which were influenced by factors such as the platform’s commission rate and consumer preferences. Specifically, when the manufacturer does not engage in green packaging production, the platform tends to prefer the NP mode, particularly when the commission rate is low. On the other hand, when the manufacturer chooses to produce green packaging, the platform’s preference shifts. In this case, the platform is more inclined to prefer the GP mode when consumer preference is high. However, the manufacturer’s preferences typically run counter to those of the platform.
Clearly, a low commission rate or high consumer preference puts the platform at a disadvantage. In this context, when the platform’s logistics cost is moderate, the platform’s self-managed logistics can act as a defensive strategy to mitigate the effects of low commission rates or high consumer preferences. Furthermore, when platform logistics costs are moderate, the commission rate plays a critical role in shaping the strategic decisions of both the platform and the manufacturer when the manufacturer does not engage in green packaging production. In contrast, when the manufacturer chooses to produce green packaging, consumer preferences—rather than commission rates—become the key driver of logistics mode selection. This distinction underscores how platform decisions regarding commission rates and consumer preferences influence the strategies adopted by both manufacturers and platforms, depending on whether green packaging is part of the equation.

5.2. Manufacturer Decision: Green Packaging Production Strategy

In this section, our study examines the manufacturer’s decision to adopt green packaging production. Initially, we focus on the situation where the platform does not provide its self-own logistics service, meaning that goods must be delivered to consumers through the 3PLs provider. In this context, the strategic choices of the supply chain members under the NT and GT models are compared.
 Lemma 7. 
(1) p N T * < p G T * ; (2) D N T * < D G T * .
The result reveals that when the platform does not provide self-logistics services, the price and market demand for goods under the GT mode are consistently higher than those in the NT mode. This is because the GT mode adds more green attributes to the products, making them more attractive to consumers.
 Proposition 3. 
The manufacturer and the platform always prefer the GT mode over the NT mode.
The manufacturer and platform consistently prefer the GT mode over the NT mode. As demonstrated by Lemma 7, when platforms do not provide self-logistics services, both parties opt for the GT mode, which renders the NT mode irrelevant in this context. This is because the GT mode offers more attractive green attributes to the goods, which are highly valued by consumers, thus making it the preferred choice for both the manufacturer and the platform.
When the platform provides self-logistics services, however, the decision making becomes more nuanced. In this case, we shift our focus to analyzing the NP and GP modes. In these two modes, the platform not only manages logistics but also plays a significant role in determining the overall dynamics of the supply chain, influencing both the pricing strategies and market demand. Here, our study explores how the platform’s logistics services affect the manufacturer’s decisions regarding green packaging and the resulting implications for both parties in terms of profitability and market expansion.
 Lemma 8. 
(1) p N P * > p G P * ; (2) D N P * > D G P *   i f   r > 1 2 , otherwise D N P * < D G P * ; (3) f N P * > f G P *
When the platform provides a logistics service, Lemma 8 reveals that the price of goods is higher when the manufacturer does not implement green packaging compared to when they do. This may initially seem counterintuitive, since the manufacturer is bearing the cost of producing green packaging. However, this is based on the platform’s logistics cost strategy and how the manufacturer responds to the market.
When the platform’s commission rate is low, the manufacturer’s production of green packaging increases consumer demand. This allows the platform to charge lower logistics fees, which incentivizes the manufacturer to adopt green packaging. The platform benefits by saving on logistics costs while earning more in commission from the expanded market. This creates a situation in which the platform’s logistics fee decreases, and the manufacturer can attract more consumers, increasing his sales. On the other hand, when the platform’s commission rate is high, the market demand for green packaging under the GP mode is lower than in the NP mode. Despite this, the platform still benefits from the high commission rate, which offsets the reduced logistics income. As a result, the platform may need to reduce logistics costs in both cases, but the NP mode generally results in higher logistics fees, and consequently, higher product prices. Thus, the price differential arises from the interaction between commission rates, logistics fees, and market demand.
 Proposition 4. 
If the commission rate is low, both the manufacturer and the platform prefer the GP mode; if the commission rate is high, both the manufacturer and platform prefer the NP mode; if the commission rate is moderate, the manufacturer prefers the NP mode and the platform prefers the GP mode.
The conclusion of Proposition 4 highlights the strategic interactions between the manufacturer and the platform based on the commission rate. When the platform’s commission rate is low, both the manufacturer and the platform tend to prefer the GP mode. For the manufacturer, a lower commission rate means a larger share of the profit, which provides a stronger incentive to adopt green packaging. The GP mode also proves advantageous for the platform since, despite the lower commission fee, the overall market demand increases due to the green packaging, allowing both parties to benefit. The platform, in this case, does not incur the cost of green packaging, as it is borne by the manufacturer. On the other hand, when the platform’s commission rate is high, both parties favor the NP model. According to Lemma 8, as the market size shrinks and a greater share of profits is allocated to the platform, the manufacturer loses the incentive to engage in green packaging production. For the platform, although the manufacturer can pass on the cost of green packaging in the GP model, the platform stands to gain more profit by charging higher logistics fees in the NP model. Therefore, when the commission rate is high, both the manufacturer and the platform tend to prefer the NP model. When the commission rate is moderate, the situation becomes more nuanced. The platform aims to transfer the costs of green packaging to the manufacturer, but the manufacturer is less inclined to adopt green packaging when the potential for higher profits is limited by the platform’s higher commission rate. As a result, the manufacturer leans toward the NP mode, while the platform, seeking to manage its logistics costs, may prefer the GP mode, where the manufacturer covers the cost of green packaging. Combining the insights from Proposition 3 and Proposition 4, we can conclude that if platforms aim to incentivize manufacturers to adopt green packaging, they should, on the one hand, encourage rather than resist the involvement of a 3PLs provider. On the other hand, they should consider setting a lower commission rate, as this is a key driver for manufacturers to produce green packaging. This strategy would benefit both the manufacturer and the platform by increasing market demand and profit margins.
 Proposition 5. 
(1) e G T * > e G P * ; (2) e N P * > e G P * i f r > r M N P G P , otherwise e N P * < e G P * ; (3) e N P * > e G T * i f c < c e N P G T , otherwise e N P * < e G T * .
By comparing the green levels under each mode, the results reveal that the green level achieved with a 3PLs provider is consistently higher when the green packaging is provided by the manufacturer than when using the platform’s self-logistics. As discussed earlier, in the GT mode, the manufacturer is not constrained by platform logistics pricing, and market demand is greater compared to that in the GP mode. This creates stronger incentives for the manufacturer to pursue green innovations.
Additionally, a comparison between the green levels of the manufacturer and the platform reveals interesting insights. When the platform’s commission rate is low, the platform has less incentive to invest in green initiatives, resulting in the lowest green level. In this scenario, the manufacturer’s revenue is higher in the GP mode compared to the NP mode. On the other hand, when the platform’s logistics costs are low, it directly influences the platform’s logistics decisions, making it more inclined to invest in green production. Therefore, in all other models, the green level input of the platform exceeds the green level input of the manufacturer. Finally, when the logistics costs of the platform are higher and the commission rate is also elevated, the green level input of the platform is between the green level input of the manufacturer in the GP and the GT modes. Overall, the platform’s logistics cost drives their green production efforts, while the platform’s commission rate serves as the primary incentive for the manufacturer’s green production initiatives.

5.3. Equilibrium Outcomes

In this subsection, our study synthesizes the solutions of the four subgames explored previously to examine the equilibrium outcomes of the manufacturer’s green packaging production strategy and the platform’s logistics service strategy. By analyzing the interplay between these two decisions across the various modes, our study aims to identify the optimal strategies for both the manufacturer and the platform, taking into account their respective incentives and constraints.
 Proposition 6. 
GP is the equilibrium strategy when both the commission rate and the logistics cost are low, GT is the equilibrium strategy when the logistics cost is high, and NP is the equilibrium strategy when the commission rate is high and the logistics cost is low.
According to Proposition 6, the equilibrium strategies for both the manufacturer and the platform depend on the platform’s commission rate, r , and logistics cost, c . Figure 7 offers a clearer depiction of this relationship. Specifically, when the platform’s commission rate is low ( r < r M N P G P ) and their logistics cost is also low ( c < c P G T G P ), both the manufacturer and the platform will prefer the GP mode. In this case, the manufacturer is incentivized to implement green packaging, while the platform can provide self-logistics services at a reduced cost. This arrangement maximizes the benefits for both parties, particularly in terms of market demand and overall profitability. On the other hand, when the commission rate is high ( r > r M N P G P ) and the logistics cost remains relatively low ( c < c P N T N P ), the platform will prefer to provide self-logistics and the manufacturer will not support green packaging production. This is because the low logistics cost incentivizes the platform to provide self-logistics services, while a high commission rate reduces the manufacturer’s incentive to implement green packaging. When the logistics cost is high ( c > c P G T G P ), the GT mode becomes the equilibrium strategy. In this case, the manufacturer will still pursue green packaging, but the platform will not provide self-logistics services mainly due to the high logistics cost. The high cost of platform logistics discourages the platform from managing logistics, while the manufacturer continues to produce green packaging, which is driven by market demand. Therefore, the GT mode remains viable as the equilibrium strategy in these circumstances.
Figure 7. The impact of c and r on the equilibrium strategies ( λ = 0.8 ,   δ = 0.5 ).
It is important to note that the NT mode does not emerge as an equilibrium strategy. This means that in reality, both parties—the manufacturer and the platform—will actively seek to move away from the NT mode. The platform’s decision to provide self-managed logistics is fundamentally driven by the logistics cost, whereas the manufacturer’s decision to implement green packaging is primarily determined by the platform’s commission rate. On the other hand, a high commission rate is not necessarily effective in encouraging a platform to adopt a self-logistics strategy, just as low logistics costs leading to reduced logistics fees do not automatically incentivize manufacturers to produce green packaging. That is, it is the direct effect of factors, rather than the indirect effects, that primarily drives the strategic decisions of the manufacturer and the platform. Consequently, the relationship between commission rates, logistics costs, and the resulting strategic choices highlights how both manufacturers and platforms adapt to maximize their respective benefits under varying conditions.
 Proposition 7. 
If both the logistics cost and platform commission rate are low enough, the manufacturer is better off implementing green package while the platform is better off introducing self-manage logistics.
Figure 8 highlights a scenario where if the platform’s commission rate is low and the logistics cost is within a specific range, denoted by c < c m i n ( c m i n = m i n { c P G T N P ,   c M G P N T } ) , both the manufacturer and the platform can achieve mutually beneficial outcomes. Specifically, when the logistics cost is low enough and the commission rate is suitably set, the manufacturer is incentivized to adopt green packaging production, and the platform can provide its self-logistics services. This combination results in a Pareto improvement, where both the manufacturer and the platform benefit from a shift away from the NT mode (the baseline scenario), leading to a more favorable market outcome for both. If consumer preference is sufficiently high, i.e., δ > 4 λ 2 + 6 r λ 2 2 r 2 λ 2 + λ 4 r λ 4 8 + 8 r + 2 λ 2 , then the platform and the manufacturer can reach a “win–win” outcome. In this case, both parties are incentivized to change their decisions in ways that benefit each other. The manufacturer adopts green packaging, leading to increased demand for their goods, while the platform benefits from the expanded market and higher logistics revenues.
Figure 8. The win-win zone between the manufacturer and the platform.
Crucially, we observe that no situations arise where one party loses while the other gains (win–lose or lose–lose outcomes). Instead, in all equilibrium modes, both the platform and the manufacturer benefit from the strategic shifts. This is what we call the “Decision-making Win–Win Effect”. This effect occurs when the platform effectively manages its logistics costs and reduces its commission rate, thereby creating the right incentives for both the manufacturer and the platform to make decisions that are aligned with their interests. The result is an overall improvement in the economic and environmental sustainability of the supply chain. By incentivizing green packaging production and platform-managed logistics, both the manufacturer and the platform contribute to a more sustainable supply chain ecosystem, fostering long-term benefits for all stakeholders involved.

6. Extensions

In this section, our study relaxes the assumptions made in the main model and explores three alternative scenarios. First, a scenario is considered where the supply chain operates under a wholesale price contract instead of the previously analyzed agency contract. Next, our study examines the case in which the third-party logistics provider also offers green packaging services, thus expanding the range of services available to the manufacturer. Finally, our study explores the case where consumer preferences vary, considering how different levels of consumer demand for green packaging affect the decisions of both the manufacturer and the platform.

6.1. Wholesale Contract

In this section, a scenario is considered where the manufacturer and the platform operate under a wholesale contract. In this arrangement, the platform purchases goods from the manufacturer at a wholesale price w and subsequently sells them to consumers at a retail price p . In this case, the platform acts as a retailer rather than simply a marketplace. The decision sequence in this scenario unfolds as follows: first, the manufacturer decides on the wholesale price w and determines whether to implement green packaging. If he opts for green packaging, he also chooses the level of sustainability e M . Then, the platform decides whether to provide its self-logistics service. If she chooses to offer self-logistics, she must also decide on the level of sustainability e P . If the platform does not provide self-logistics, she relies on the third-party logistics provider to deliver the goods. Finally, the platform sets the retail price p based on the wholesale price w , and the goods are then sold to consumers via the platform. This scenario is denoted by the superscript w .
 Proposition 8. 
(1) e w G T * > e w G P * = e w N P * ; (2) NP is the equilibrium strategy if logistics cost is low, and GT is the equilibrium strategy if the logistics cost is high.
By analyzing the decisions of the manufacturer and the platform under wholesale contracts, several key insights have been drawn. First, the green level under the GT mode is consistently higher than those in both the GP and NP modes. This aligns with our previous finding that the increase in market size under the GT mode motivates the manufacturer to innovate more in terms of green packaging. However, the key difference lies in the NP and GP modes, where despite different entities providing green packaging (either the platform or the brand), the costs are ultimately passed onto consumers. The green perception from consumers is effectively the same in both modes, which results in the same green level under both scenarios. Second, only the NP and GT modes emerge as potential equilibrium modes under the wholesale contract, whereas the GP mode does not. This is primarily due to the platform’s pricing power under the GP mode, which gives the platform more control over green packaging decisions. When the platform provides self-logistics, the manufacturer tends to prefer the NP mode over the GP mode (i.e., Π M w N P * > Π M w G P * ). The platform’s decision to choose the GP mode is constrained by logistics costs and will only occur if those costs are sufficiently low. As a result, the GP mode does not typically serve as an equilibrium strategy under wholesale pricing. Furthermore, a comparison between Figure 7 and Figure 9 reveals that under a wholesale contract, the GT mode offers a broader range of equilibrium outcomes compared to the NP mode. This is due to two factors: firstly, the GT mode attracts greater market demand, which motivates the manufacturer to invest more in green innovations; secondly, despite the higher green level under the GT mode, the wholesale price is often lower than under the NP mode when consumer preference is significant, encouraging the platform to choose the GT mode to maximize her revenue.
Figure 9. The equilibrium strategies under wholesale contract ( λ = 0.8 ).
Finally, the results demonstrate that the win–win zone, which was clearly present under the agency contract, no longer exists under the wholesale contract. Under the agency contract, the incentives were generally aligned in such a way that both the platform and the manufacturer could simultaneously benefit by shifting their strategies, resulting in a clear mutual advantage. However, the wholesale contract introduces a more complex pricing situation. In this model, the platform has greater control over pricing decisions, and the manufacturer’s incentives may not always align with the platform’s goals, especially when it comes to green packaging initiatives. As a result, the conditions under which both parties can benefit simultaneously are more limited and uncertain. The platform and manufacturer’s interests diverge more significantly, particularly in terms of the pricing structure and green production decisions. This shift demands that both sides carefully consider not only their own profitability but also the strategic implications of their decisions on the other party. Consequently, the wholesale contract requires more nuanced and deliberate decision making to ensure that the actions of both parties are aligned in a way that maximizes overall outcomes. The platform and the manufacturer must navigate this more complex landscape, adjusting their strategies to avoid potential conflicts and optimize joint benefits.

6.2. Third-Party Green Logistics

In this section, our study explores the impact of the 3PLs provider that can also offer green packaging services, examining how this influences the decision making of both the manufacturer and the platform. To facilitate this analysis, our study defines the green level of the 3PLs as e T , representing the degree of environmental sustainability associated with the 3PLs provider’s packaging services. When the manufacturer opts for the 3PLs provider’s services, it incurs an additional fee f T per unit of product, which corresponds to the cost of the green packaging provided by the 3PL.
The decision-making sequence in this scenario is as follows: initially, the platform determines whether it will provide its own logistics services. If it decides not to offer its own logistics, the 3PLs provider then makes decisions regarding its green level and the corresponding logistics service fees. Alternatively, if the platform opts to provide its own logistics services, the process aligns with the original model discussed in previous sections. Following these logistics decisions, the manufacturer sets the product’s selling price, taking into account the logistics choices and green packaging options.
 Proposition 9. 
(1) f T T * > f T N P * > f T G P *   i f   c < c f T T N P . f T N P * > f T G P * > f T T *   i f   c > c f T T G P . Otherwise f T N P * > f T T * > f T G P * . (2) e T G T * > e T T * . When r > r M N P G P ,   e T T * > max e T G P * , e T N P * i f   c > c e T T N P , e T T * < min e T G P * , e T N P * i f   c < c e T T G P ; When r < r M N P G P ,   e T T * > max e T G P * , e T N P * i f   c > c e T T G P , e T T * < min e T G P * , e T N P * i f   c < c e T T N P . (3) The emergence of green 3PLs provision enhances the WIN-WIN effect of decision-making ( c 0 T P L s > c M G P N T ).
Through analysis and comparison, the results show that when the 3PLs provider offers green packaging services, the overall conclusions remain largely consistent with those derived from our main mode, as illustrated in Figure 10a. This consistency demonstrates the robustness of the main model. Specifically, we observe the following key patterns: first, the green level of 3PLs services is still lower than that of the GT mode. However, when the platform’s logistics cost is higher, the green level provided by the 3PLs provider surpasses that of the NP and GP modes. Additionally, the logistics fee charged by the 3PLs provider is lower than that of the platform in the NP mode, and when the platform logistics costs rise, the 3PLs provider’s fee remains lower than that in the GP mode. These findings suggest that when a 3PLs provider offers green packaging services, it creates additional incentives for the manufacturer to invest in green packaging. Interestingly, the presence of the 3PLs provider’s green services further consolidates the win–win effect for both the manufacturer and the platform, as shown in Figure 10b. This occurs because on the one hand, the manufacturer is afforded more flexibility in his logistics choices, and on the other hand, the platform no longer needs to lower its commission rates or logistics costs to motivate the manufacturer to adopt green packaging. As a result, both the manufacturer and the platform have more strategic options available, strengthening the Decision-making Win–Win Effect. This highlights how the introduction of a 3PLs provider’s green services can enhance the collaborative benefits between the manufacturer and the platform, making the decision-making process more favorable for both sides.
Figure 10. The equilibrium strategies and win–win outcome in third-party green logistics ( λ = 0.8 , δ = 0.5 ). (a) The equilibrium strategies; (b) win–win outcome.
In conclusion, when the 3PLs provider offers green packaging services, the logistics level and green innovation level achieved by the 3PLs provider closely align with the decision-making outcomes seen under the GP mode. This finding serves to further validate the robustness of our main model, as it shows that the introduction of the 3PLs provider’s green innovation does not drastically alter the fundamental dynamics between the platform and the manufacturer. Additionally, the availability of the 3PLs provider’s green packaging services encourages both the manufacturer and the platform to make bolder and more proactive decisions regarding green packaging initiatives. This outcome is in contrast to the wholesale contract scenario, where careful choices need to be made by both manufacturers and platforms. Thus, the presence of 3PLs providing green packaging services further strengthens the Decision-making Win–Win Effect, creating a more collaborative and mutually advantageous environment for both the platforms and the manufacturers. This highlights the added value of having multiple green logistics options available, as it opens up opportunities for both parties to optimize their strategies for greater environmental and economic benefits.

6.3. Consumer Attitudes

In this section, our study explores the decisions of the platform and manufacturer in the context of varying consumer attitudes toward green packaging. Consumers are assumed to exhibit different preferences, with a proportion, denoted by α , being green consumers who can fully perceive and value the environmental benefits of green packaging. The remaining ( 1 α ) consumers do not distinguish between green and non-green packaging.
 Proposition 10. 
The area of the GT mode and the GP mode in the equalization mode shrinks according to the decrease in α .
The results reveal that as the proportion of green consumers decreases, the area where the GP mode is an equilibrium strategy gradually shrinks. Simultaneously, the coexistence region of the NP and GT modes as an equilibrium strategy also reduces. As shown in Figure 11, when α is small, the areas occupied by the GT and GP modes are increasingly encroached upon by the NP mode. This implies that when the platform logistics cost is low, the platform is more inclined to provide a self-logistics service, while the manufacturer is less willing to invest in green packaging production. Only when the platform’s logistics cost is sufficiently high does the manufacturer tend to favor green packaging. In comparison to the base mode, a smaller α significantly diminishes the likelihood of the GP mode becoming an equilibrium strategy. Even if the platform commission rate remains low, the GP mode struggles to achieve equilibrium under these conditions. This occurs because in markets with more non-green consumers, the willingness to pay for green packaging decreases. Despite the lower commission rate, the market size driven by green consumers is too small to cover the costs of green packaging, which dampens the manufacturer’s incentive to adopt green packaging strategies. This also explains why the area in which the NP and GT modes coexist is compressed by the NP mode when the logistics cost is moderate.
Figure 11. The equilibrium strategies when considering consumer attitudes ( α = 0.2 ,   λ = 0.8 ,   δ = 0.5 ).
In this scenario, the results also indicate that the platform’s logistics fees in the NP mode remain higher than those in the GP mode, meaning that f N P * > f G P * . Additionally, the green level of the manufacturer in the GT mode continues to exceed that of the GP mode. Specifically, when considering consumer attitudes, the difference in the green packaging level between the manufacturer and the platform becomes even more significant compared to a scenario where consumer attitudes are not taken into account, which means the platform’s incentive to improve its green packaging level becomes more pronounced. This suggests that the platform is more motivated to invest in green packaging as a way to cater to the green consumer segment, especially when they can capture more market share from this growing group of environmentally conscious buyers. Thus, this scenario highlights the importance of consumer attitudes in shaping strategic decisions. The presence of green consumers creates a strong incentive for platforms to improve their green offerings, as they can directly benefit from a larger market share driven by consumer demand for environmentally friendly products. In this way, consumer preferences not only affect the strategic behavior of brand owners but also enhance the platforms’ motivation to innovate and adopt greener solutions, leading to a more sustainable market.

7. Conclusions and Future Research

7.1. Conclusions

Environmental protection and green trade barriers are increasingly shaping international commerce, prompting cross-border manufacturers to adopt green packaging to meet target country standards. Cross-border e-commerce platforms, with their self-managed logistics, are well positioned to support both producers and consumers. This study examines the supply chain dynamics between an overseas manufacturer and a domestic platform, exploring logistics and green packaging decisions across four scenarios: NT, NP, GT, and GP.
Our findings reveal that when the platform’s logistics cost is moderate, its self-logistics can act as a defensive strategy, mitigating the adverse effects of low commission rates or high consumer preferences. The commission rate plays a critical role in shaping the strategic decisions of both the platform and the manufacturer when green packaging is not adopted. However, when green packaging is utilized, consumer preferences become the dominant factor influencing logistics mode selection. These findings emphasize the need for platforms to account for consumer demand and commission structures when fostering sustainable practices. We also find that the platform’s logistics cost influences its green production efforts, while the manufacturer’s green production initiatives are primarily motivated by the platform’s commission rate. A key insight from our research is the “Decision-making Win–Win Effect”. When the platform effectively manages its logistics costs and lowers commission rates, both the platform and the manufacturer benefit from mutually advantageous strategic shifts. This finding suggests that platforms should prioritize collaboration and incentive alignment not only to gain a competitive edge but also to contribute meaningfully to global sustainability goals.
However, a notable shift occurs when moving from agency contracts to wholesale price contracts. Under the wholesale price model, the previously evident win–win zone disappears. This introduces greater complexity to supply chain decision making, requiring a careful calibration of strategies to ensure alignment and mutual benefits. This highlights the critical role of contract structures in fostering or hindering cooperation within the supply chain. In contrast, the presence of a 3PLs further enhances the Decision-making Win–Win Effect. When a 3PLs provider offers green packaging services, they encourage manufacturers and platforms to make more proactive and bolder decisions around green packaging. This strengthens collaboration, creating a more integrated and mutually beneficial environment. For managers, this underscores the importance of viewing 3PLs providers as strategic partners in green innovation rather than mere service providers. Lastly, consumer attitudes play a significant role in influencing platform decisions. As the proportion of green-conscious consumers increases, platforms are more strongly incentivized to improve their green packaging levels. Managers should actively track and respond to evolving consumer preferences, leveraging this insight to maintain competitiveness and meet sustainability expectations.
From a management perspective, platforms aiming to encourage manufacturers to adopt green packaging should consider two primary strategies: (1) promoting the involvement of 3PLs rather than resisting it, and (2) reducing commission rates to provide a stronger incentive for manufacturers. These strategies align the supply chain’s incentives, fostering greater green innovation while maintaining profitability. Importantly, the platform’s logistics costs primarily drive its green production decisions, whereas the manufacturer’s green production initiatives are incentivized by the commission rate. Managers must carefully balance these factors to create a collaborative and environmentally sustainable supply chain.
In summary, this study offers critical insights into how cross-border e-commerce platforms can strategically manage logistics costs, commission rates, and consumer preferences to drive green innovation. By adopting appropriate strategies, platforms and manufacturers can achieve mutually beneficial outcomes while advancing their environmental sustainability initiatives within the cross-border e-commerce landscape.

7.2. Limitations and Future Research

This study is subject to several limitations. The game-theoretic framework is built on specific assumptions regarding market structure, cost functions, and consumer preferences, which may not fully capture real-world complexities such as supply chain disruptions and regulatory variations across markets. While consumer preferences for green packaging are considered, the model does not account for dynamic shifts in consumer awareness and purchasing behavior over time. The analysis assumes fixed commission rates and logistics costs, yet these factors may fluctuate due to competition, policy changes, and technological advancements. Additionally, the focus on cross-border e-commerce means that findings may not be fully generalizable across different geographic regions, regulatory environments, or industry sectors.
Future research could extend this framework by incorporating dynamic pricing strategies and cost variations to better reflect market fluctuations. Exploring different consumer behavior models, including varying preferences for green packaging, could provide deeper insights into their influence on supply chain decisions. Investigating the role of government regulations and incentives in shaping platform and manufacturer strategies would further enhance understanding of the effectiveness of environmental policies in cross-border e-commerce. Examining the integration of sustainable logistics technologies, such as electric vehicles or AI-driven route optimization, could also offer valuable insights into the trade-offs between cost, environmental impact, and consumer satisfaction in green supply chains.

Author Contributions

Conceptualization, W.X. and W.Y.; methodology, W.X.; software, W.P.; validation, W.X. and W.P.; formal analysis, W.X.; investigation, W.P.; resources, W.P.; data curation, W.P.; writing—original draft preparation, W.X.; writing—review and editing, W.X. and W.Y.; visualization, W.P.; supervision, W.Y.; project administration, W.X.; funding acquisition, W.P. All authors have read and agreed to the published version of the manuscript.

Funding

This research was supported in part by the National Natural Science Foundation of China under Grant No. 52301378, in part by the Postdoctoral Fellowship Program of CPSF under Grant No. GZC20231677, and in part by the China Postdoctoral Science Foundation under Grant No. 2023M742372.

Institutional Review Board Statement

Not applicable.

Data Availability Statement

The dataset is available on request from the authors.

Acknowledgments

Thanks to the judging experts and all members of our team for their insightful advice.

Conflicts of Interest

The authors declare no conflicts of interest.

Appendix A

 Proof of Lemma 1. 
We apply backwards induction to obtain the optimal solutions. According to FOC, Π M N T ( p N T ) p N T = 0 , we can obtain p = δ 2 . By substituting to D N T , Π M N T and Π P N T , we can obtain the optimal solutions as Lemma 1 shows. □
 Proof of Lemma 2. 
The optimal solution can be obtained by backward induction, which is similar to that of Lemma 1 and we omit here. □
 Proof of Corollary 1. 
Derived analysis can be proved. □
 Proof of Lemma 3. 
The optimal solution can be obtained by backward induction, which is similar to that of Lemma 1 and we omit here. □
 Proof of Corollary 2. 
Derived analysis can be proved. □
 Proof of Corollary 3. 
Derived analysis can be proved. □
 Proof of Corollary 4. 
Derived analysis can be proved. □
 Proof of Lemma 5. 
p N T * p N P * = δ 2 + 3 + c 2 r c λ 2 4 + 2 r + λ 2 . Thus, we can obtain p N T * < p N P * . D N T * D N P * = 1 2 + 1 c 4 + 2 r + λ 2 . Therefore, D N T * < D N P * when c < c D N T N P .□
 Proof of Proposition 1. 
According to Π M N T * Π M N P * = 1 4 ( 1 + r ) ( δ + 4 ( 1 + c ) 2 ( 4 + 2 r + λ 2 ) 2 ) , when δ > δ M N T N P , this difference is positive. Similarly, Π P N T * Π P N P * = 1 4 ( r δ + 2 ( 1 + c ) 2 4 + 2 r + λ 2 ) > 0 if δ > δ P N T N P . By comparing δ M N T N P and δ P N T N P we find that if r > r N T N P , δ M N T N P > δ P N T N P ; and if r < r N T N P , δ M N T N P < δ P N T N P . Here, δ P N T N P = 2 ( 1 2 c + c 2 ) r ( 4 + 2 r + λ 2 ) , δ M N T N P = 4 ( 1 2 c + c 2 ) ( 4 + 2 r + λ 2 ) 2 and r N T N P = 1 4 ( 4 λ 2 ) . □
 Proof of Lemma 6. 
p G T * p G P * = δ 2 2 δ + ( 1 + r ) λ 2 3 + c 2 r + ( 1 + c ) ( 1 + r ) λ 2 4 2 r + 2 ( 1 + r ) λ 2 . Thus, we can obtain p G T * < p G P * if c < c p G T G P , where c p G T G P = ( 6 δ + 4 r δ + 4 δ 2 2 r δ 2 + 3 λ 2 5 r λ 2 + 2 r 2 λ 2 + 2 δ λ 2 2 r δ λ 2 2 δ 2 λ 2 + 2 r δ 2 λ 2 λ 4 + 2 r λ 4 r 2 λ 4 ) ( 1 λ 2 + r λ 2 ) ( 2 δ λ 2 + r λ 2 ) . D G T * D G P * = δ 2 δ + ( 1 + r ) λ 2 + 1 + c 4 2 r + 2 ( 1 + r ) λ 2 . Therefore, D G T * > D G P * .□
 Proof of Proposition 2. 
According to Π M G T * Π M G P * = 1 8 ( 1 + r ) ( ( 1 + c ) 2 ( 2 + ( 1 + r ) λ 2 ) ( 2 r + ( 1 + r ) λ 2 ) 2 4 δ 2 2 δ + ( 1 + r ) λ 2 ) , when c > c M G T G P , this difference is positive. Here, c M G T G P = 8 δ 4 λ 2 + 4 r λ 2 4 δ λ 2 + 4 r δ λ 2 + 2 λ 4 4 r λ 4 + 2 r 2 λ 4 8 δ + 4 λ 2 4 r λ 2 + 4 δ λ 2 4 r δ λ 2 2 λ 4 + 4 r λ 4 2 r 2 λ 4 2 4 4 δ 2 λ 2 + 2 r λ 2 2 δ λ 2 + 2 r δ λ 2 + λ 4 2 r λ 4 + r 2 λ 4 ( 4 δ 16 δ 2 + 16 r δ 2 4 r 2 δ 2 2 λ 2 + 2 r λ 2 2 δ λ 2 + 2 r δ λ 2 + 16 δ 2 λ 2 24 r δ 2 λ 2 + 8 r 2 δ 2 λ 2 + λ 4 2 r λ 4 + r 2 λ 4 4 δ 2 λ 4 + 8 r δ 2 λ 4 4 r 2 δ 2 λ 4 ) 2 ( 4 δ 2 λ 2 + 2 r λ 2 2 δ λ 2 + 2 r δ λ 2 + λ 4 2 r λ 4 + r 2 λ 4 ) . Similarly, Π P G T * Π P G P * = r δ 3 ( 2 δ + ( 1 + r ) λ 2 ) 2 ( 1 + c ) 2 8 4 r + 4 ( 1 + r ) λ 2 > 0 if c > c P G T G P , where c P G T G P = 8 δ 2 + 8 δ λ 2 8 r δ λ 2 2 λ 4 + 4 r λ 4 2 r 2 λ 4 + ( 4 ( 4 δ 2 + 4 δ λ 2 4 r δ λ 2 λ 4 + 2 r λ 4 r 2 λ 4 ) ( 4 δ 2 + 8 r δ 3 4 r 2 δ 3 + 4 δ λ 2 4 r δ λ 2 4 r δ 3 λ 2 + 4 r 2 δ 3 λ 2 λ 4 + 2 r λ 4 r 2 λ 4 ) + ( 8 δ 2 8 δ λ 2 + 8 r δ λ 2 + 2 λ 4 4 r λ 4 + 2 r 2 λ 4 ) 2 ) ) 2 ( 4 δ 2 + 4 δ λ 2 4 r δ λ 2 λ 4 + 2 r λ 4 r 2 λ 4 ) . When δ < δ G T G P , c M G T G P > c P G T G P and if δ > δ G T G P , c M G T G P < c P G T G P , where δ G T G P = 2 λ 2 r λ 2 λ 4 + r λ 4 4 2 λ 2 + r λ 2 .□
 Proof of Lemma 7. 
p N T * p G T * = ( 1 + r ) δ λ 2 4 δ + 2 ( 1 + r ) λ 2 . Thus, we can obtain p N T * < p G T * . D N T * D G T * = 1 2 δ 2 δ + ( 1 + r ) λ 2 . Therefore, D N T * < D G T * .□
 Proof of Proposition 3. 
Π M N T * Π M G T * = 1 + r 2 δ λ 2 8 δ + 4 1 + r λ 2 < 0 ; Π P N T * Π P G T * = r δ 4 δ 3 2 δ + 1 + r λ 2 2 < 0 . □
 Proof of Lemma 8. 
p N P * p G P * = 1 + c λ 2 1 + 2 r 2 r 2 + 1 + r λ 2 2 4 + 2 r + λ 2 2 r + 1 + r λ 2 > 0 . D N P * D G P * = ( 1 + c ) ( 1 4 + 2 r + λ 2 + 1 4 2 r + 2 ( 1 + r ) λ 2 ) , and the difference is positive when r > 1 2 . f N P * f G P * = 1 + c 1 + r 2 λ 2 2 + 2 r λ 2 2 4 + 2 r + λ 2 2 r + 1 + r λ 2 > 0 .
 Proof of Proposition 4. 
Π M N P * Π M G P * = 1 8 ( 1 + c ) 2 ( 1 + r ) ( 8 ( 4 + 2 r + λ 2 ) 2 + 2 + ( 1 + r ) λ 2 ( 2 + r + λ 2 r λ 2 ) 2 ) , the difference is positive if r > r M N P G P , and the difference is negative if r < r M N P G P , where r M N P G P = 1 4 ( 4 + λ 2 ) 16 + λ 4 4 . Similarly, Π P N P * Π P G P * = 1 2 ( 1 + c ) 2 ( 1 4 2 r λ 2 2 8 4 r + 4 ( 1 + r ) λ 2 ) < 0 , and the difference is positive when r > 1 2 . □
 Proof of Proposition 5. 
e G T * e G P * = 1 + r λ δ 2 δ + 1 + r λ 2 + 1 c 4 2 r + 2 1 + r λ 2 > 0 . e N P * e G P * = ( 1 + c ) λ ( 1 4 + 2 r + λ 2 1 + r 4 2 r + 2 ( 1 + r ) λ 2 ) , the difference is positive if r > r M N P G P , and the difference is negative otherwise. e N P * e G T * = ( 1 + c ) λ 4 + 2 r + λ 2 + ( 1 + r ) δ λ 2 δ + ( 1 + r ) λ 2 , the difference is positive if c < c e N P G T , and the difference is negative otherwise, where c e N P G T = 2 δ + 6 r δ 2 r 2 δ λ 2 + r λ 2 + δ λ 2 r δ λ 2 2 δ λ 2 + r λ 2 . □
 Proof of Proposition 6. 
This can be proved by Propositions 1–4. Additionally, c P N T N P = 1 2 ( 2 2 4 r δ 2 r 2 δ r δ λ 2 ) .□
 Proof of Proposition 7. 
This can be proved by Propositions 1–4. Additionally, c P G T N P = 8 δ 2 8 δ λ 2 + 8 r δ λ 2 + 2 λ 4 4 r λ 4 + 2 r 2 λ 4 8 δ 2 + 8 δ λ 2 8 r δ λ 2 2 λ 4 + 4 r λ 4 2 r 2 λ 4 2 4 4 δ 2 4 δ λ 2 + 4 r δ λ 2 + λ 4 2 r λ 4 + r 2 λ 4 ( 4 δ 2 8 r δ 3 + 4 r 2 δ 3 4 δ λ 2 + 4 r δ λ 2 + 2 r δ 3 λ 2 + λ 4 2 r λ 4 + r 2 λ 4 ) 2 ( 4 δ 2 4 δ λ 2 + 4 r δ λ 2 + λ 4 2 r λ 4 + r 2 λ 4 ) , c M G P N T = 4 + 2 λ 2 2 r λ 2 + 4 2 λ 2 + 2 r λ 2 2 4 ( 2 + λ 2 r λ 2 ) ( 2 + 8 δ 8 r δ + 2 r 2 δ + λ 2 r λ 2 8 δ λ 2 + 12 r δ λ 2 4 r 2 δ λ 2 + 2 δ λ 4 4 r δ λ 4 + 2 r 2 δ λ 4 ) 2 ( 2 + λ 2 r λ 2 ) .□

References

  1. Lai, N.Y.G.; Kuah, A.T.; Kim, C.H.; Wong, K.H. Toward sustainable express deliveries for online shopping: Reusing packaging materials through reverse logistics. Thunderbird Int. Bus. Rev. 2022, 64, 351–362. [Google Scholar]
  2. Yin, L.; Zhong, R.R.; Wang, J. Ontology based package design in fresh E-Commerce logistics. Expert Syst. Appl. 2023, 212, 118783. [Google Scholar]
  3. Su, Y. Influence and Countermeasures of Green Trade Barriers on Agricultural Products Export Based on Data Analysis Technology. In Proceedings of the Cyber Security Intelligence and Analytics: 2021 International Conference on Cyber Security Intelligence and Analytics (CSIA2021), Shenyang, China, 19–20 March 2021; Volume 2, pp. 335–341. [Google Scholar]
  4. Soares, J.; Miguel, I.; Venâncio, C.; Lopes, I.; Oliveira, M. Public views on plastic pollution: Knowledge, perceived impacts, and pro-environmental behaviours. J. Hazard. Mater. 2021, 412, 125227. [Google Scholar]
  5. Hoffmann, R.; Muttarak, R.; Peisker, J.; Stanig, P. Climate change experiences raise environmental concerns and promote Green voting. Nat. Clim. Change 2022, 12, 148–155. [Google Scholar]
  6. Zhang, M.; Yang, Y.; Du, P.; Wang, J.; Wei, Y.; Qin, J.; Yu, L. The effect of public environmental participation on pollution governance in China: The mediating role of local governments’ environmental attention. Environ. Impact Assess. Rev. 2024, 104, 107345. [Google Scholar]
  7. Yu, J.; Zhou, C.; Leng, G. Is it always advantageous to establish self-built logistics for online platforms in a competitive retailing setting? IEEE Trans. Eng. Manag. 2023, 71, 1726–1743. [Google Scholar]
  8. Liu, H.; Xu, T.; Jing, S.; Liu, Z.; Wang, S. The interplay between logistics strategy and platform’s channel structure design in B2C platform market. Eur. J. Oper. Res. 2023, 310, 812–833. [Google Scholar]
  9. Aguilera, R.V.; Aragón-Correa, J.A.; Marano, V.; Tashman, P.A. The corporate governance of environmental sustainability: A review and proposal for more integrated research. J. Manag. 2021, 47, 1468–1497. [Google Scholar]
  10. Caglar, A.E.; Daştan, M.; Bulut, E.; Marangoz, C. Evaluating a pathway for environmental sustainability: The role of competitive industrial performance and renewable energy consumption in European countries. Sustain. Dev. 2024, 32, 1811–1824. [Google Scholar] [CrossRef]
  11. Nguyen, A.T.; Parker, L.; Brennan, L.; Lockrey, S. A consumer definition of eco-friendly packaging. J. Clean. Prod. 2020, 252, 119792. [Google Scholar] [CrossRef]
  12. Meet, R.K.; Kundu, N.; Ahluwalia, I.S. Does socio demographic, green washing, and marketing mix factors influence Gen Z purchase intention towards environmentally friendly packaged drinks? Evidence from emerging economy. J. Clean. Prod. 2024, 434, 140357. [Google Scholar]
  13. Huang, M.; Zhao, Y.; Wang, Y.; Guo, Q. Application of a green logistics strategy to fulfil online retailing: Split-order consolidated delivery in large-scale online supermarkets. Int. J. Logist. Res. Appl. 2024, 27, 746–759. [Google Scholar]
  14. Sun, H.; Li, J. Behavioural choice of governments, enterprises and consumers on recyclable green logistics packaging. Sustain. Prod. Consum. 2021, 28, 459–471. [Google Scholar]
  15. Bozhanova, V.; Korenyuk, P.; Belous-Sergeeva, S.; Bielienkova, O.; Koval, V. Green enterprise logistics management system in circular economy. Int. J. Math. Eng. Manag. Sci. 2022, 7, 350–363. [Google Scholar]
  16. Kim, J.; Kitkuakul, S.; Alden, D.L. The Impact of Social Norms on Consumer Willingness to Choose Green Packaging for an Extra Charge in the United States and South Korea. J. Int. Consum. Mark. 2024, 36, 463–484. [Google Scholar]
  17. Wandosell, G.; Parra-Meroño, M.C.; Alcayde, A.; Baños, R. Green packaging from consumer and business perspectives. Sustainability 2021, 13, 1356. [Google Scholar] [CrossRef]
  18. Maziriri, E.T. Green packaging and green advertising as precursors of competitive advantage and business performance among manufacturing small and medium enterprises in South Africa. Cogent Bus. Manag. 2020, 7, 1719586. [Google Scholar]
  19. Mahmoud, M.A.; Tsetse, E.K.K.; Tulasi, E.E.; Muddey, D.K. Green packaging, environmental awareness, willingness to pay and consumers’ purchase decisions. Sustainability 2022, 14, 16091. [Google Scholar] [CrossRef]
  20. Dangelico, R.M.; Vocalelli, D. “Green Marketing”: An analysis of definitions, strategy steps, and tools through a systematic review of the literature. J. Clean. Prod. 2017, 165, 1263–1279. [Google Scholar]
  21. Pan, C.; Lei, Y.; Wu, J.; Wang, Y. The influence of green packaging on consumers’ green purchase intention in the context of online-to-offline commerce. J. Syst. Inf. Technol. 2021, 23, 133–153. [Google Scholar]
  22. Yu, X. Low-carbon design of green packaging based on deep learning perspective for smart city. IEEE Access 2023, 11, 117423–117433. [Google Scholar]
  23. Leong, C.-M.; She, L.; Lim, T.-Y.; Wong, N.M. To buy or not to buy? Green packaging, gender differences and the intention to purchase. Int. J. Soc. Econ. 2024, 51, 1353–1369. [Google Scholar]
  24. Giuffrida, M.; Mangiaracina, R.; Perego, A.; Tumino, A. Cross-border B2C e-commerce to Greater China and the role of logistics: A literature review. Int. J. Phys. Distrib. Logist. Manag. 2017, 47, 772–795. [Google Scholar]
  25. Ren, S.; Choi, T.-M.; Lee, K.-M.; Lin, L. Intelligent service capacity allocation for cross-border-E-commerce related third-party-forwarding logistics operations: A deep learning approach. Transp. Res. Part E Logist. Transp. Rev. 2020, 134, 101834. [Google Scholar]
  26. Qi, X.; Qin, W.; Lin, B. Case study on synergistic development strategy of cross-border e-commerce and logistics: An empirically model estimation. PLoS ONE 2024, 19, e0304393. [Google Scholar]
  27. Zhang, X.; Zha, X.; Dan, B.; Liu, Y.; Sui, R. Logistics mode selection and information sharing in a cross-border e-commerce supply chain with competition. Eur. J. Oper. Res. 2024, 314, 136–151. [Google Scholar]
  28. Qin, X.; Liu, Z.; Tian, L. The strategic analysis of logistics service sharing in an e-commerce platform. Omega 2020, 92, 102153. [Google Scholar]
  29. Li, D.; Liu, Y.; Fan, C.; Hu, J.; Chen, X. Logistics service strategies under different selling modes. Comput. Ind. Eng. 2021, 162, 107684. [Google Scholar]
  30. Niu, B.; Li, Q.; Mu, Z.; Chen, L.; Ji, P. Platform logistics or self-logistics? Restaurants’ cooperation with online food-delivery platform considering profitability and sustainability. Int. J. Prod. Econ. 2021, 234, 108064. [Google Scholar]
  31. Li, S.; Jia, S. A Benders decomposition algorithm for the order fulfilment problem of an e-tailer with a self-owned logistics system. Transp. Res. Part E Logist. Transp. Rev. 2019, 122, 463–480. [Google Scholar]
  32. Xu, Y.; Wang, J.; Cao, K. Dynamic joint strategy of channel encroachment and logistics choice considering trade-in service and strategic consumers. Transp. Res. Part E Logist. Transp. Rev. 2024, 185, 103528. [Google Scholar]
  33. Chen, L.; Dong, T.; Pang, M.; Liu, Q.; Wang, Z.; Rao, C. Logistics service strategy for e-commerce supply chain: Interactive impacts of cost reduction effort and fairness concern. Manag. Decis. Econ. 2024, 45, 1067–1089. [Google Scholar]
  34. Mahmoudi, A.; Govindan, K.; Shishebori, D.; Mahmoudi, R. Product pricing problem in green and non-green multi-channel supply chains under government intervention and in the presence of third-party logistics companies. Comput. Ind. Eng. 2021, 159, 107490. [Google Scholar]
  35. Laguir, I.; Stekelorum, R.; El Baz, J. Going green? Investigating the relationships between proactive environmental strategy, GSCM practices and performances of third-party logistics providers (TPLs). Prod. Plan. Control. 2021, 32, 1049–1062. [Google Scholar]
  36. Stekelorum, R.; Laguir, I.; Gupta, S.; Kumar, S. Green supply chain management practices and third-party logistics providers’ performances: A fuzzy-set approach. Int. J. Prod. Econ. 2021, 235, 108093. [Google Scholar]
  37. Jiang, L.; Wang, Y.; Yan, X. Decision and coordination in a competing retail channel involving a third-party logistics provider. Comput. Ind. Eng. 2014, 76, 109–121. [Google Scholar]
  38. Huang, S.; Fan, Z.-P.; Wang, X. The impact of transportation fee on the performance of capital-constrained supply chain under 3PL financing service. Comput. Ind. Eng. 2019, 130, 358–369. [Google Scholar]
  39. Jauhari, W.A.; Ramadhany, S.C.N.; Rosyidi, C.N.; Mishra, U.; Hishamuddin, H. Pricing and green inventory decisions for a supply chain system with green investment and carbon tax regulation. J. Clean. Prod. 2023, 425, 138897. [Google Scholar]
  40. Shen, J.; Yan, H.; Sheng, L.; Zhang, B.; Shi, Y.; Shen, S. Pricing decision in an uncertain green product supply chain under cost sharing contract. Expert Syst. Appl. 2024, 250, 123899. [Google Scholar]
  41. Li, G.; Tian, L.; Zheng, H. Information sharing in an online marketplace with co-opetitive sellers. Prod. Oper. Manag. 2021, 30, 3713–3734. [Google Scholar]
  42. Zha, Y.; Li, Q.; Huang, T.; Yu, Y. Strategic information sharing of online platforms as resellers or marketplaces. Mark. Sci. 2023, 42, 659–678. [Google Scholar] [CrossRef]
  43. Miao, Z.; Peng, H.; Lan, Y. The role of online platform selling mode in recycling channel selection: A game-theoretic analysis of profit and environmental impact. Int. J. Prod. Econ. 2025, 280, 109471. [Google Scholar]
  44. Ali, H.; Das, S.; Shaikh, A.A. Investigate an imperfect green production system considering rework policy via Teaching-Learning-Based Optimizer algorithm. Expert Syst. Appl. 2023, 214, 119143. [Google Scholar] [CrossRef]
  45. Das, S.; Mandal, G.; Manna, A.K.; Shaikh, A.A.; Bhunia, A.K. Effects of emission reduction and rework policy in a production system of green products: An interval valued optimal control theoretic approach. Comput. Ind. Eng. 2023, 179, 109212. [Google Scholar] [CrossRef]
  46. Gao, J.; Wei, H. Study on the impact of environmental subsidies and green labels on greenwashing in sustainable production. J. Clean. Prod. 2025, 486, 144531. [Google Scholar]
Disclaimer/Publisher’s Note: The statements, opinions and data contained in all publications are solely those of the individual author(s) and contributor(s) and not of MDPI and/or the editor(s). MDPI and/or the editor(s) disclaim responsibility for any injury to people or property resulting from any ideas, methods, instructions or products referred to in the content.

Article Metrics

Citations

Article Access Statistics

Multiple requests from the same IP address are counted as one view.