Abstract
Graphene nanoplatelet aggregates (GNAs) are a low-cost, low-quality alternative to graphene nanoplatelets (GNPs), characterized by their three-dimensional stacked structure and porous surface morphology. Despite their affordability, limited research has been conducted on the effects of GNAs in cementitious systems. This study investigates the impact of GNAs on hydration kinetics, phase assemblage, mortar consistency, mechanical strength, bulk electrical resistivity, water absorption, and pore solution pH. Mortar mixtures with 0%, 0.05%, and 1% GNAs by cement weight were prepared using a water-to-cement ratio of 0.42 and cured for 28 days. The results showed that GNAs had minimal influence on hydration kinetics, with no significant changes in hydration products detected by XRD and TGA analyses. Mortar consistency consistently decreased with increasing GNA content. At 0.05%, GNAs had no significant effect on compressive strength or bulk electrical resistivity, whereas 1% GNAs reduced compressive strength by 10%. Water absorption was significantly lower in specimens with 1% GNAs as well, while pore solution pH increased at this dosage. The findings of this study indicate that the incorporation of GNAs at a 0.05% replacement level does not inherently enhance cementitious properties but can influence specific behaviors, such as workability and water absorption, when used at 1% dosages.
1. Introduction
There has been a growing interest in using nanoparticles to improve concrete’s mechanical, rheological, and durability properties [1]. These nanoparticles, whether inherently reactive or inert, can provide nucleation sites for hydration products and fill fine pores in the concrete matrix, ultimately enhancing the microstructure, increasing strength, and reducing porosity [2,3,4,5,6]. Researchers have explored the use of various nanoparticles, including carbon nanotubes and carbon nanofibers [7], nano-SiO2 and TiO2 [8], and nano-CaCO3 [9]. In particular, graphene oxide (GO) has been investigated for its potential to improve the mechanical properties [10,11] and enhance the durability aspects of concrete [12]. However, the application of GO has been somewhat limited due to its high cost [13]. Another alternative carbon-derived nanomaterial, which is widely used in manufacturing polymer composites, is graphene nanoplatelets (GNPs) [3,14]. GNPs possess a two-dimensional structure and measure only a few nanometers in thickness. Due to their large surface area and small particle size, they can be incorporated into cementitious systems at a very low dosage that typically ranges between 0.05% and 2% by weight of cement [3,4,5,6,10]. Pure GNPs are mainly composed of carbon, which makes them inert. However, depending on the manufacturing process, some GNPs may contain functional groups that can react with specific cement hydration products during the hydration process [15,16].
The available literature on the performance of GNPs in concrete suggests that their incorporation in small amounts can improve the mechanical properties of concrete [17,18,19,20,21,22]. For example, Chen et al. [17] reported increased compressive strengths in specimens that incorporated GNPs by 0.05% weight of cement and reduced compressive strength with further addition of GNPs. Similarly, Baomin and Shuang [23] reported an increase of approximately 7% in compressive strength and 28% in flexural strength in cement composites due to incorporating 0.06% GNPs into cement composites. The reduction in compressive strength in specimens with high GNP content has been reported in other studies as well and is mainly attributed to the inadequate dispersion of GNPs, leading to their agglomeration and creating weak zones within the paste matrix [3,4,5].
In terms of durability, the addition of GNPs has been reported to enhance concrete’s resistance to freeze–thaw cycles, which results from improvements in concrete pore structure, specifically due to the reduction in pore size and overall porosity [17,24]. In some cases, GNPs have been found to decrease concrete average pore diameter and bulk porosity by up to 40% [23]. Du and Pang [3] attributed the reduction in water absorption of GNP-blended pastes to an increased ink-bottle effect, resulting from GNPs clogging small pores within the paste structure.
Despite the reported benefits of GNPs on the mechanical and durability properties of cementitious composites, their application has largely remained confined to laboratory research and has yet to achieve widespread adoption in the construction industry. The primary barriers to broader implementation are the high cost of GNPs and the challenges associated with their handling and dispersion. GNPs are inherently prone to aggregation, and achieving proper dispersion often requires specialized equipment, such as ultrasonication devices, to ensure uniform distribution. While such tools are readily available in laboratory settings, they are rarely accessible on construction sites, limiting the practicality of incorporating GNPs in field applications. In certain cases, surfactants are introduced to enhance the dispersion of GNPs. However, employing surfactants raises additional concerns, as they may cause compatibility issues when mixtures already incorporate other types of chemical admixtures, such as plasticizers or air-entraining agents [25,26,27]. These factors, combined with the added cost and complexity of handling GNPs on-site, have contributed to their limited scalability and adoption in the concrete industry. Further research is needed to fully confirm the suitability of low-quality GNAs for concrete. Nevertheless, investigating cost-effective and resource-efficient nanomaterials aligns with sustainability principles by potentially reducing both economic and environmental impacts in the construction industry.
To address the challenges associated with GNPs, this study has identified graphene nanoplatelet aggregates (GNAs) as an alternative material due to their significantly lower cost and simpler handling requirements. At the time of writing this paper (January 2025), single-layer graphene was priced at approximately USD 400 per gram in the U.S. market, while 6–8 nm thick graphene in various lengths ranged between USD 20–30 per gram. In contrast, GNAs were available at a much lower cost, ranging from USD 0.3–1 per gram. Although GNAs remain relatively expensive on a per-gram basis, their use at very low dosages (e.g., 0.05% by weight of cement) means that the additional cost per cubic meter of concrete is significantly lower than their high-quality counterparts. Moreover, this technology is still developing, and ongoing research coupled with advancements in production is expected to further reduce costs, thus increasing their economic viability and potential for broader adoption in the construction industry. Unlike pristine GNPs, which require specialized equipment for dispersion and present significant agglomeration challenges, GNAs are inherently aggregated and possess a three-dimensional structure formed by stacked graphene layers. These characteristics suggest that GNAs may interact differently with cementitious materials, warranting further investigation into their potential role in concrete applications. Despite their lower cost and inherent properties, the application of GNAs in cementitious systems remains underexplored. Limited research has been conducted to assess their effects on critical properties such as workability, hydration, durability, and strength. As a result, significant knowledge gaps exist regarding the interactions between GNAs and portland cement-based systems.
This study systematically investigates the influence of GNAs on the performance of paste and mortar samples, examining key parameters such as cement hydration, phase formation, workability, compressive strength, electrical resistivity, water absorption, pH levels, and resistance to chloride-induced corrosion. The findings aim to provide foundational knowledge on the behavior of GNAs in cementitious systems and their feasibility as a lower-cost alternative to pristine GNPs.
2. Materials and Methods
In this study, a Type I/II ordinary portland cement (OPC) that meets the ASTM C150 [28,29] standard for portland cement was used. The oxide composition of OPC is presented in Table 1. An industrial-grade 8–15 layers graphene with an average particle diameter of 22 microns and surface area of 50 m2/g, as reported by the manufacturer, was used in this study. Washed river sand, conforming to the ASTM C778 [30,31] with a specific gravity of 2.6 and fineness modulus of 3.04 was used to prepare mortar mixtures.
Table 1.
Oxide composition of ordinary portland cement (% mass).
Three mortar mixtures were prepared with a water-to-cement ratio (w/c) of 0.42 with GNA replacement levels of 0, 0.05, and 1% by weight of cement, as shown in Table 2. These dosage levels were selected based on ranges commonly reported in the literature for graphene nanoplatelets [32,33], allowing us to investigate both a minimal yet measurable dose and a higher dose that might induce agglomeration. To avoid potential compatibility issues with chemical admixtures commonly used in cementitious systems, no surfactants were incorporated in this study. Instead, the research focused on evaluating the direct effects of GNAs as they are, without additional dispersing agents, to better understand their behavior and interactions in realistic conditions. To ensure proper dispersion of GNAs, the nanoplatelets were mixed with the mixing water for 30 min using a high-shear mixer. Subsequently, this mixture was added immediately to the cement and sand in a mortar mixer. The mixing process was performed according to the procedures specified in the ASTM C305 standard [34]. All specimens were subjected to a 28-day curing period in an environmental chamber, maintained at 23 °C and a relative humidity of 95%.
Table 2.
Mortar mixture proportions.
2.1. Physical and Chemical Characterization of GNAs
The morphology and elemental composition of GNAs were determined using a JEOL 6500F scanning electron microscope (SEM) (Tokyo, Japan) equipped with an energy-dispersive X-ray spectrometer (EDX) for elemental analysis. For this purpose, a small portion of the GNA sample was sprinkled onto a double-sided carbon tape and mounted on the equipment for analysis.
To determine and confirm the particle size distribution of the GNAs according to the manufacturer’s specifications, SEM images were analyzed using ImageJ software version 1.53t [35]. The images were imported into ImageJ software, and the scale was calibrated based on the scale bar provided in the micrographs. Individual particles were manually outlined, and their dimensions were measured using the Measure tool to calculate the equivalent diameters. Care was taken to include both elongated and equiaxed particles in the analysis.
2.2. Hydration and Phase Analysis
Three cement paste mixtures were prepared by substituting 0, 0.05, and 1% of the cement with GNAs. The GNAs were first added to the mixing water and then mixed for 30 min in a high-shear mixer. The mixtures were made with a w/c of 0.42. Approximately 40 g of cement pastes were manually mixed with water for four minutes using a spatula. After mixing, 6 to 7 g of each mixture was placed into a glass ampoule and inserted into an isothermal calorimeter (TAM Air, TA Instruments, New Castle, DE, USA) pre-set to 23 ± 0.01 °C. The calorimeter monitored heat release from each sample over a ten-day period. Afterward, the glass ampoules were removed from the calorimeter, and samples were obtained from the core of the pastes for thermogravimetric analysis (TGA), X-ray diffraction analysis (XRD), and scanning electron microscopy (SEM). The TGA was conducted by heating the samples at 20 °C per minute up to 900 °C in a nitrogen-purged atmosphere using a TA 55 TGA. The amount of calcium hydroxide and calcite was measured using the tangent method [36]. The XRD spectra were measured across a 2θ span from 10 to 75 degrees, utilizing a Bruker D8 Discover DaVinci X-ray diffractometer (Billerica, MA, USA). This device featured a copper K-alpha X-ray source, set to function at 40 kV and 40 mA. The XRD data was analyzed using Bruker DIFFRAC EVA software, version 5.1.0.5, which utilizes the Crystallography Open Database for its analytical processes [37,38]. The SEM images were obtained with the JEOL 6500F scanning electron microscope. The images were taken at different zoom levels, using a 5 kV operating voltage.
2.3. Flow Test and Compressive Strength
A flow test was conducted to evaluate the influence of GNAs on mortar consistency, following the guidelines specified in ASTM C1437 [39]. For this purpose, the prepared mortar was poured into a flow cone in sequential layers on a flow table. Each layer underwent compaction through 20 tamps to ensure uniform consolidation. After filling the cone, the flow table was dropped 25 times in 15 s. The flow value was determined by measuring the percentage increase in mortar diameter compared to the original flow cone diameter. Compressive strength was determined using 50 mm cubic specimens, in accordance with ASTM C109 [40]. Three specimens from each mixture were tested for compressive strength after 28 days of curing.
2.4. Bulk Electrical Resistivity
The bulk electrical resistivity of concrete is a crucial parameter with various applications, primarily in assessing and enhancing the durability and longevity of concrete structures [41,42,43]. It serves as an indicator of the concrete’s ability to resist the penetration of chloride ions and other aggressive agents, with higher resistivity correlating to better corrosion resistance [44]. Bulk electrical resistivity was measured on 50-mm cubic specimens every 7 days for 28 days using a four-electrode Resipod resistivity meter (Proceq, Zurich, Switzerland), with electrodes spaced 38 mm apart. All measurements were conducted at a frequency of 40 Hz on all sides of the cubes. To determine the bulk resistivity of cubes (ρ), they were placed between two metal plates, with a moist foam between the mortar specimens and the plates. Subsequently, the measurements were corrected using Equation (1) to account for the probe spacing and the specimens geometry [45].
where ρ is the average resistivity (kΩ·cm) of four sides of the cube, R is the resistance (kΩ·cm), a is the probe spacing (cm), which was 3.8 cm in this study, A is the cross-section area of the cubic specimens (i.e., 25 cm2), and L is the depth of the cubes (i.e., 5 cm). The term A/L in Equation (1) is often called the geometry constant, k.
2.5. Water Absorption
The relative water absorption by capillary uptake (wicking) characteristics of mortar specimens was investigated by performing a water absorption test following the ASTM C1403 [46,47] standard. For this purpose, three replicates of 50 mm cubes were cast from each mixture. The cubes were kept in an environmental chamber at 23 °C with an RH of 95% for 24 h inside the molds. Following this, the specimens were removed from the molds and cured in sealed bags inside the environmental chamber until they reached the age of 28 d. Subsequently, the specimens were dried in an oven at 100 ± 5 °C for not less than 24 h until two successive weightings at intervals of 2 h showed an increment of loss not greater than 0.2% of the last previously determined weight of the specimen. Afterward, the specimens were removed from the oven and cooled to an ambient temperature. The specimens were then placed in a container filled with water, with the exposed surface facing down in contact with the water so that the water was 3 mm above the exposed surface. The weight of the specimens was monitored and recorded at 0.25, 1, 4, and 24 h. The water absorption in grams per 100 cm2 was then determined using Equation (2):
where AT is the water absorption at time T, WT is the specimen’s weight at time T in grams, W0 is the oven-dried weight of the sample in grams, and A is the area of the exposed surface to water in mm2.
2.6. pH Measurements
The pH of the mortar specimen was monitored using the in situ leaching method proposed by Sagues [28]. Figure 1 shows the schematic and experimental setup used for pH measurements. One cylindrical specimen measuring 100 × 200 mm was cast from each mixture and cured under conditions identical to those of the compressive testing specimens. After 28 days of curing, a hole with a diameter of 10 mm and a depth of 50 mm was drilled on the top part of the specimens. The hole was cleaned using compressed air, and an acrylic washer was glued to the mouth of the hole using epoxy adhesive. Subsequently, the hole was filled with distilled water, and a tapered rubber stopper was used to seal the hole to prevent carbonation and water evaporation. The specimens were kept inside a chamber maintained at 23 °C and 95% relative humidity at all times. They were removed for measurements for less than five minutes each day over a 14-day period. pH measurements were taken using a pH meter (SevenCompact, Mettler-Toledo, Columbus, OH, USA) and a pH electrode with a glass membrane designed for high pH values. During the testing period, the water level in the drilled hole did not drop below half of the original level. Since the pH electrode could measure the solution pH without any issues, the water in the hole was not replenished.
Figure 1.
(a) Schematics of in situ pH measurement test; (b) experimental setup for pH measurement.
3. Results and Discussion
3.1. GNA Charectrization
SEM images of the GNAs (Figure 2) show a heterogeneous, flaky morphology containing both elongated and equiaxed forms with sharp, well-defined edges. The particle size distribution (Figure 3) highlights a broad range of particle sizes, with the majority of particles clustered around 20–22 µm, consistent with the manufacturer’s specifications.
Figure 2.
SEM images of GNAs at different magnifications: (a) 370×; (b) 700×; (c) 1600×; and (d) 8500×.
Figure 3.
Particle size distribution (black line) and rug plot (blue vertical lines) of GNAs.
At higher magnifications, Figure 2 shows a multi-layered structure with evident stacking of graphene layers, contributing to the porosity of the material. These stacked layers form pores, which are likely to influence the material’s mechanical and chemical interactions in cementitious systems. The surface textures of the GNAs vary across the sample, with some GNAs exhibiting smooth surfaces, while others are coarser and irregular. The presence of these coarse textures is indicative of manufacturing inconsistencies, such as residual impurities or partial exfoliation during production. Moreover, some regions show evidence of surface defects, including partial melting or fusion, which may be attributed to silicon or other contaminants introduced during the production process.
The EDX results in Figure 4 are detailed in Table 3 and reveal that the GNA sample mainly consisted of carbon, making up more than 88% of their mass, and included trace amounts of Mg, Al, Si, K, and Ca. These elements could be impurities or residual elements from the synthesis process of GNAs. The interparticle elemental analysis in Table 4 reveals minor differences in the elemental composition of different GNA particles, particularly in silicon, calcium, and potassium levels. Such elemental variations could arise from the raw materials used, the environmental conditions during synthesis, or post-synthesis modifications [30,48].
Figure 4.
(a) SEM image of GNAs. X and Y indicate locations for EDX analysis; (b) EDX spectrum corresponding to X in (a); (c) EDX spectrum corresponding to Y in (a).
Table 3.
Elemental composition of GNAs (% mass).
Table 4.
GNA-modified and bare cement mortar flow results.
3.2. Effect of GNA on Cement Hydration
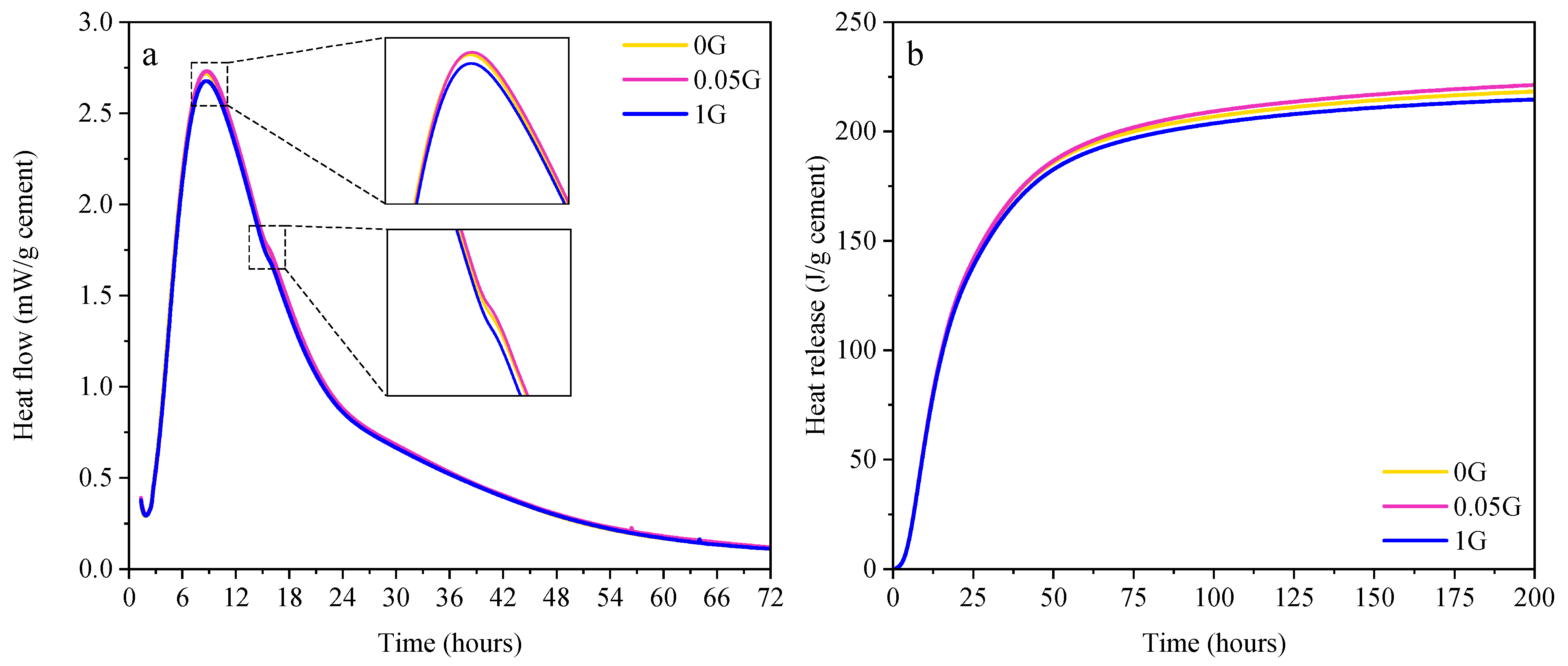
Figure 5a illustrates the heat flow evolution during the first 72 h of cement hydration in samples containing different concentrations of GNAs. Data associated with the first 40 min were excluded due to signal instability. The results show that the heat flow curves of GNA-blended samples largely resemble that of the control sample (0G) throughout the hydration process, with only minor differences. During the acceleration period, the peak magnitudes followed the order 0.05G > 0G > 1G. While this may suggest that incorporating 0.05% GNAs slightly increased the heat flow and that 1% GNAs reduced it, these differences are small and may fall within the range of experimental variability.
Figure 5.
Influence of GNAs on cement hydration: (a) normalized heat flow for the first 72 h of the hydration process; (b) 10-day normalized cumulative heat flow.
In Figure 5b, the 10-day cumulative heat release curves show a slight increase for the 0.05G sample compared to the control, which could indicate a marginal promotion of cement hydration at low GNA concentrations. Conversely, the cumulative heat release for the 1G sample is lower than that of the control, suggesting a potential inhibitory effect. However, given the variability inherent in calorimetric measurements, these findings should be interpreted with caution and validated through further experimentation. These trends align with other studies that observed accelerated cement hydration at low concentrations of GNPs, while higher concentrations may lead to diminishing benefits due to agglomeration [49,50]. The agglomeration of GNAs may result in localized changes in water distribution, which could in turn reduce the effective dispersion of water within certain regions, impacting hydration efficiency. Furthermore, the hydrophobic nature of GNAs may reduce the wettability of cement particles, as evidenced by increases in contact angle observed in other materials, such as epoxy matrices [46].
Figure 6 presents the XRD patterns and the crystalline phases identified in paste samples containing different amounts of GNAs following a hydration period of 10 days in a calorimeter. The results show that all samples exhibited characteristic peaks corresponding to ettringite (3CaO∙Al2O3∙3CaSO4∙32H2O), portlandite (Ca(OH)2), calcite (CaCO3), and calcium silicate hydrates ((CaO)x∙SiO2∙(H2O)y), which are commonly found in hydrated portland cement pastes [51,52]. No diffraction peaks corresponding to GNAs were detected in the XRD patterns, which can be due to the relatively low content of GNAs used in this study, possibly below the detection limit of the XRD equipment used in this study.
Figure 6.
XRD patterns of 10-day paste samples made with GNA replacements of 0, 0.05, and 1 percent (E: ettringite, P: portlandite, C: calcite, CS: calcium silicate hydrates).
The XRD analysis suggests that the inclusion of GNAs did not significantly alter the crystalline structure of the hydrated cement paste, which is consistent with previous studies [53]. While minor variations in peak intensity are visible, their significance cannot be determined without quantitative analysis. Future studies should employ quantitative XRD techniques, such as Rietveld refinement, to accurately determine the relative or absolute amounts of crystalline phases and to validate the observed trends.
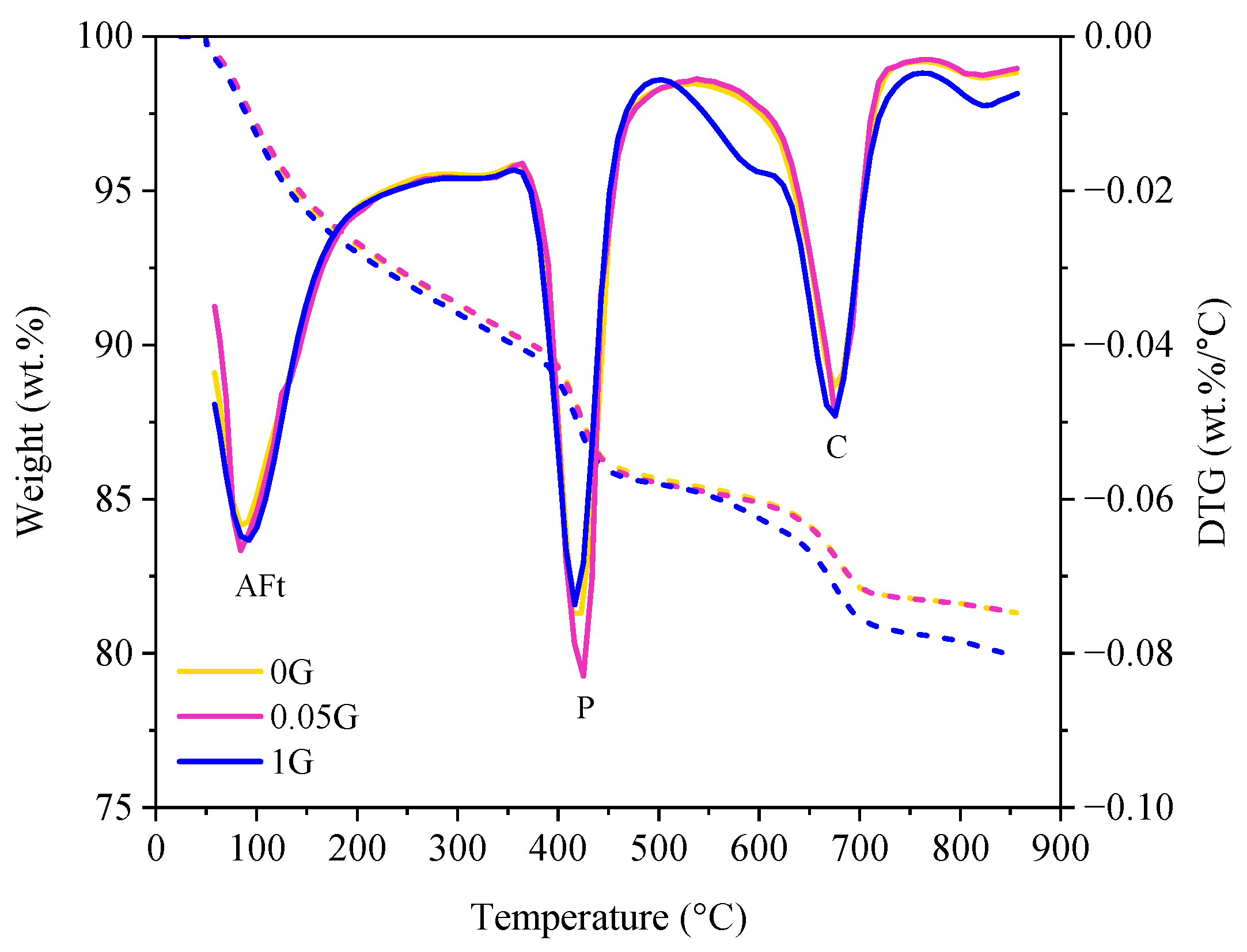
Figure 7 shows the thermal analysis results conducted on samples after the XRD test. Both TGA and DTG curves exhibit consistent patterns across all samples, suggesting that the inclusion of GNAs did not lead to the formation of new phases. This observation corroborates the XRD analysis, which also indicated no emergence of new crystalline phases due to the addition of GNAs.
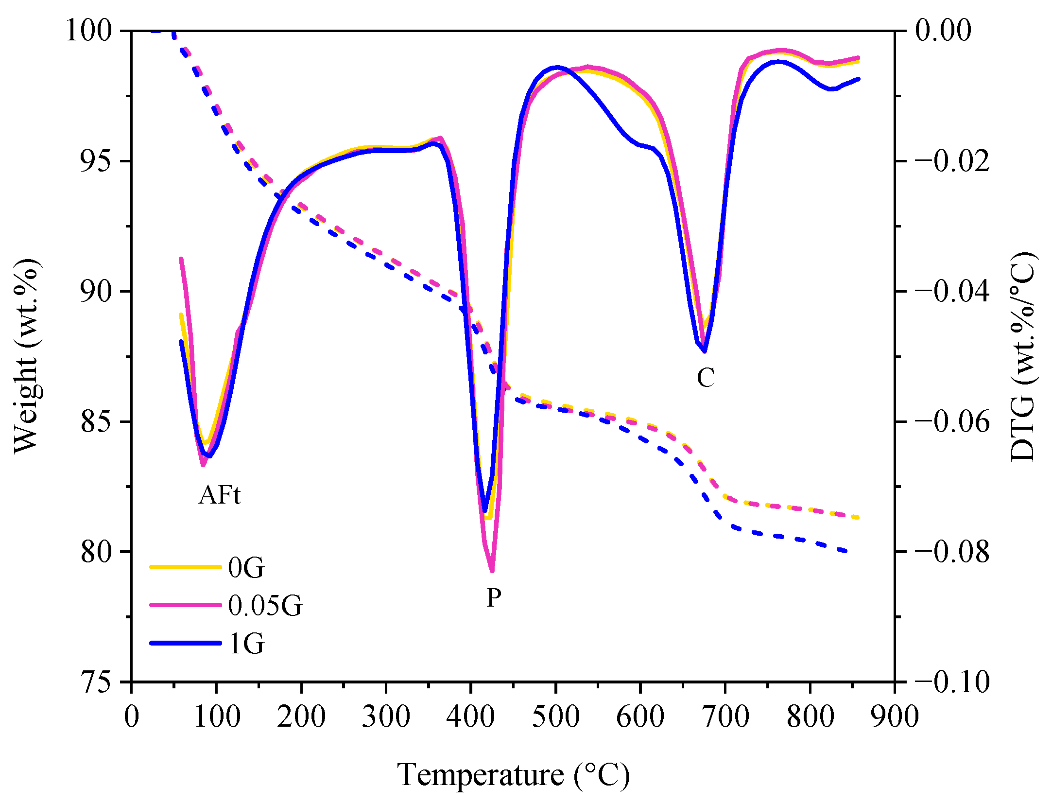
Figure 7.
TGA (solid lines) and DTG (dashed lines) of 10-day GNA-blended pastes (AFt: Aluminate Ferrite Tri-sulfate, P: portlandite, C: calcite).
The DTG curves in Figure 7 display three distinct mass losses. The first, occurring in the temperature range of 110–170 °C, is associated with the decomposition of free and bound water in AFt phases, such as ettringite. The measured weight losses for these phases were 8.4%, 8.5%, and 8.7% for the 0G, 0.05G, and 1G samples, respectively. The second mass loss, observed in the range of 400–500 °C, corresponds to the decomposition of portlandite. Quantitative analysis of the TGA results indicates that the 0.05G sample contained 3.7% more portlandite compared to the 0G sample, while the 1G sample exhibited an 8% reduction. The higher portlandite content in the 0.05G sample may indicate an enhancement in hydration at this GNA concentration, as portlandite is a primary hydration product of cement. Conversely, the reduction in portlandite content in the 1G sample could be attributed to inhibitory changes in hydration dynamics caused by GNA agglomeration. The third mass loss, occurring between 600 °C and 800 °C, is attributed to the decomposition of calcite [51,53,54,55]. The calcite content in the 0G and 0.05G samples was similar, indicating that the calcite in the 0.05G sample predominantly originated from the OPC. However, the calcite content in the 1G sample was 34% higher than in the 0G sample, potentially indicating that the 1G sample was more carbonated. This finding is consistent with studies reporting increased carbonation in GNP-blended systems. For example, Ismail et al. [56] demonstrated increased C–O bond vibration intensity in FTIR analysis of high-performance concrete containing GNPs, concluding that graphene accelerates carbonation. Similarly, Wang and Shuang [57] observed higher carbonate peak intensities in GNP-blended samples, and Zhang et al. [58] reported a 10–20% increase in carbonation depth in GNP-blended concrete at elevated temperatures.
Figure 8 presents the SEM images of paste samples. Figure 8a displays the typical morphology of a hydrated OPC paste, characterized by identifiable plate-like portlandite, spongy calcium silicate hydrates (C-S-H), and needle-like ettringite phases [59]. Figure 8b illustrates that the addition of 0.05% GNAs resulted in a similar microstructure. This figure shows no sign of GNA agglomeration, suggesting that GNAs were well-dispersed within the paste at such a low concentration. Additionally, GNAs appear to act as nucleation sites for the cement, as evidenced by the presence of C-S-H surrounding the identified GNA. Figure 8c reveals a distinct change in morphology and the presence of a region filled with GNAs, which indicates GNA agglomeration (see red rectangle). The density of cement hydration products in this region is significantly lower compared to other areas, confirming previous findings that particle agglomeration can create weak zones within the paste microstructure.
Figure 8.
SEM images of hydrated pastes: (a) 0G; (b) 0.05G; and (c) 1G.
3.3. Effect of GNA on Flow and Compressive Strength
The flow table test results of mortar specimens prepared with OPC and GNAs are shown in Table 4. The results demonstrate that adding GNAs slightly reduced the workability of the mortar mixtures, which agrees with published reports [11,17,60,61]. Chen et al. [17] also reported a linear relationship between increased GNP content and reduced workability. This slight decline could be due to the high surface-to-volume ratio of the GNAs, resulting in increased water demand compared to the control mortar mixtures with no GNAs. A study by Sarsam [62] demonstrated that water mixed with GNPs exhibits non-Newtonian (shear-thinning) behavior, with the viscosity of water containing 0.1% GNAs being 14% higher at 25 °C than distilled water without GNPs. This can be attributed to the large surface area of GNPs and their interaction with water molecules and other GNPs, leading to increased viscosity at low shear rates. These findings suggest that even a minimal amount of GNAs can significantly increase the viscosity of cement paste.
Figure 9 shows the average 28-day compressive strength of OPC and GNA-blended mortar specimens. The results indicate that adding 0.05% GNAs by weight of cement led to only a 2.6% increase in average compressive strength compared to the control sample. However, the overlapping error bars indicate that this difference is not statistically significant. In contrast, the 1% GNA sample showed a notable 10% decrease in compressive strength relative to the control, which is statistically significant. The lower compressive strength at 1% GNA can be attributed to the inherent agglomerated nature of the GNAs as seen in Figure 8c. At higher concentrations, these aggregates are more prone to clustering within localized regions of the cement matrix, resulting in uneven distribution. This clustering can create weak zones, reduce matrix homogeneity, and increase void content, all of which adversely affect mechanical performance. In contrast, at 0.05% GNAs, the lower dosage allowed for better dispersion, minimizing the impact of GNA aggregation on the matrix’s structural integrity.
Figure 9.
Twenty-eight-day compressive strength of test specimens (mean ± 1.96SD).
The findings emphasize that while GNAs may have minimal to no beneficial effect on compressive strength at low dosages, higher dosages can negatively impact performance. This highlights the importance of optimizing GNA dosage and improving dispersion methods to ensure uniform integration into the cement matrix and avoid detrimental clustering effects. Other researchers have also reported that adding GNPs of more than 0.05% can adversely affect the compressive strength [17,57], mainly due to the tendency of GNPs to agglomerate.
3.4. Effect of GNA on Bulk Electrical Resistivity
Figure 10 shows the measured bulk electrical resistivity of the mortar specimens. The results reveal two primary patterns. Firstly, bulk electrical resistivity increased for all specimens over time, primarily due to the ongoing hydration of cement, which refines the pore structure and alters the pore solution chemistry. Secondly, the influence of GNAs on resistivity varied with dosage and age. At early ages (day 1), adding 0.05% GNAs resulted in a slight reduction in resistivity compared to the control, while 1% GNAs led to an increase. This initial increase in resistivity for the 1% GNA sample is likely due to poor dispersion and agglomeration, which created localized zones of poor conductivity and interfered with the uniform hydration of cement.
Figure 10.
Electrical bulk resistivity of test samples (mean ± 1.96SD).
On days 7 and 14, resistivity trends shifted, with GNA-blended samples showing lower resistivity compared to the control. The largest difference was observed on day 7, where the 0.05G and 1G specimens exhibited 11.8% and 13.5% lower resistivity, respectively, than the control. By day 14, this gap narrowed, with the 0.05G and 1G specimens showing 1.3% and 3.2% lower resistivity, respectively. After 28 days, the 0.05G sample maintained a slightly lower resistivity (3.4% on average) than the control, while the 1G sample showed a modest increase of 1.5%. These results suggest that the effects of GNAs on resistivity depend on their dosage, hydration age, and dispersion quality.
However, the large variability in resistivity measurements—particularly for the 1% GNA sample—and overlapping 95% confidence intervals indicate that these differences are not statistically significant. Therefore, while trends are observable, the data do not provide strong evidence for consistent or meaningful effects of GNAs on bulk electrical resistivity under the tested conditions.
The observed results align with theoretical expectations that GNAs, being inherently conductive, can reduce resistivity when well-dispersed. This is supported by prior studies, such as Lim and Lee [63] and Sevim et al. [33], who reported significant reductions in resistivity for paste specimens with increased GNP content (0.06% to 1.2%). However, in the present study, the poor dispersion of GNAs at higher dosages likely offset their conductive properties and introduced variability.
3.5. Effect of GNA on Water Absorption
The water absorption results in Figure 11 show that at the early stages of exposure to water (0.25 h), specimens with 0.05% GNAs exhibited reduced water absorption compared to the control specimens, whereas those with 1% GNAs demonstrated a significant increase. Over the subsequent time intervals, the control specimens showed the highest average water absorption rate, and the inclusion of GNAs decreased water absorption. After 24 h, specimens with 0.05% and 1% GNAs showed 1.2% and 4.2% lower average water absorption, respectively, compared to the control, suggesting that GNAs can reduce mortar porosity. Du and Dai Pang [3] also observed a decrease in water penetration in cement pastes with increasing GNPs. This decline in water ingress was linked to reduced porosity and substantial surface area of GNPs serving as nucleation sites for hydration products [3,4]. It is important to note that adding GNAs at high replacement levels may lead to their clustering and agglomeration in the cement paste, compromising its efficacy in preventing water ingress [3]. Additionally, considering the 95% confidence intervals shown in Figure 10, there seems to be no statistically significant difference in the water absorption behavior of the test samples at the end of the test.
Figure 11.
Water absorption of the test samples per ASTM C1403 [46] (mean ± 1.96SD).
3.6. Effect of GNA on Cement Paste pH
Figure 12 shows the evolution of pH in 28-day cured mortar specimens. All three specimens followed a similar pattern, with pH increasing over the first seven days and then slightly decreasing during the remainder of the testing period. Moreover, the pH of the 1G specimen was slightly higher than that of the 0G and 0.05G specimens. This difference can be attributed to variations in the leaching rate of alkali and alkaline earth metal ions, such as sodium (Na+), potassium (K+), and calcium (Ca2+), into the pore water, as reported in some studies [23,57]. The slight reduction in the pH of 0.05G specimens, although consistently similar to 0G during most of the testing period, can be attributed to the carbonation of pore water during the pH measurement process. Therefore, the authors suspect that the incorporation of GNAs has a minimal impact on the pH of the pore solution.
Figure 12.
pH measurements of specimens 0G, 0.05G, and 1G over a 14-day period.
4. Conclusions
This study evaluated the effects of graphene nanoplatelet aggregates on the performance of cementitious materials, focusing on mechanical properties, durability, hydration, and microstructural characteristics. Although GNAs appear to be a more cost-effective alternative to pristine graphene nanoplatelets, this investigation showed that their incorporation into cement-based systems does not yield statistically significant improvements in key properties under the current experimental conditions.
- Hydration and Phase Analysis: GNAs had minimal impact on cement hydration and phase formation. While minor variations in heat flow and cumulative heat release were observed, these differences fell within experimental variability and were not statistically significant. XRD and TGA analyses confirmed that GNAs did not introduce new crystalline phases or significantly alter hydration products.
- Mechanical Properties: The incorporation of 0.05% GNAs slightly increased compressive strength compared to the control sample, but the difference was not statistically significant. At higher dosages (1%), compressive strength decreased significantly due to GNA agglomeration, which created weak zones in the matrix.
- Durability: GNAs reduced water absorption and improved pore structure, particularly at lower dosages. However, the differences in water absorption between the control and GNA-blended samples were not statistically significant by the end of the test. Similarly, electrical resistivity measurements showed no statistically significant changes over time, likely due to poor dispersion and the conductive nature of GNAs.
- pH and Microstructure: The inclusion of GNAs had minimal impact on pH, with only slight variations attributed to carbonation and portlandite leaching. SEM images confirmed that well-dispersed GNAs (at 0.05%) contributed to a denser microstructure, while agglomeration at 1% compromised the matrix’s integrity.
Although GNAs demonstrated statistically non-significant improvements in properties such as compressive strength, water absorption, and resistivity under the current experimental conditions, these findings provide valuable insights into the challenges of integrating nanomaterials in cement. These results, which indicate limited immediate application value for GNAs in cement, underscore the importance of addressing issues related to optimal dosage and dispersion. Importantly, this exploratory study contributes to the broader understanding of nanomaterial behavior in cementitious matrices and offers a foundation for future research aimed at overcoming these limitations and unlocking potential benefits.
Author Contributions
Conceptualization, M.S.; supervision, M.S.; methodology, M.S.; formal analysis, M.S. and A.A.A.; investigation, O.F.A.; writing—original draft preparation, M.S. and A.A.A.; writing—review and editing, M.S. and A.A.A.; visualization, M.S. All authors have read and agreed to the published version of the manuscript.
Funding
This research has been supported financially by the Colorado State University startup grant #1320211.
Institutional Review Board Statement
Not applicable.
Informed Consent Statement
Not applicable.
Data Availability Statement
Data will be made available on request.
Conflicts of Interest
The authors declare no conflicts of interest.
References
- Reches, Y. Nanoparticles as Concrete Additives: Review and Perspectives. Constr. Build. Mater. 2018, 175, 483–495. [Google Scholar] [CrossRef]
- Chen, J.; Kou, S.-C.; Poon, C.-S. Hydration and Properties of Nano-TiO2 Blended Cement Composites. Cem. Concr. Compos. 2012, 34, 642–649. [Google Scholar] [CrossRef]
- Du, H.; Dai Pang, S. Enhancement of Barrier Properties of Cement Mortar with Graphene Nanoplatelet. Cem. Concr. Res. 2015, 76, 10–19. [Google Scholar] [CrossRef]
- Du, H.; Gao, H.J.; Dai Pang, S. Improvement in Concrete Resistance Against Water and Chloride Ingress by Adding Graphene Nanoplatelet. Cem. Concr. Res. 2016, 83, 114–123. [Google Scholar] [CrossRef]
- Ranjbar, N.; Mehrali, M.; Mehrali, M.; Alengaram, U.J.; Jumaat, M.Z. Graphene Nanoplatelet-Fly Ash Based Geopolymer Composites. Cem. Concr. Res. 2015, 76, 222–231. [Google Scholar] [CrossRef]
- Li, J.; Zheng, Q. The First Experimental Evidence for Improved Nanomechanical Properties of Calcium Silicate Hydrate by Polycarboxylate Ether and Graphene Oxide. Cem. Concr. Res. 2022, 156, 106787. [Google Scholar] [CrossRef]
- Shi, T.; Li, Z.; Guo, J.; Gong, H.; Gu, C. Research Progress on CNTs/CNFs-Modified Cement-Based Composites—A Review. Constr. Build. Mater. 2019, 202, 290–307. [Google Scholar] [CrossRef]
- Ying, J.; Zhou, B.; Xiao, J. Pore structure and Chloride Diffusivity of Recycled Aggregate Concrete with Nano-SiO2 and Nano-TiO2. Constr. Build. Mater. 2017, 150, 49–55. [Google Scholar] [CrossRef]
- Fu, Q.; Zhang, Z.; Zhao, X.; Xu, W.; Niu, D. Effect of Nano Calcium Carbonate on Hydration Characteristics and Microstructure of Cement-Based Materials: A Review. J. Build. Eng. 2022, 50, 104220. [Google Scholar] [CrossRef]
- Saafi, M.; Tang, L.; Fung, J.; Rahman, M.; Liggat, J. Enhanced Properties of Graphene/Fly Ash Geopolymeric Composite Cement. Cem. Concr. Res. 2015, 67, 292–299. [Google Scholar] [CrossRef]
- Gong, K.; Pan, Z.; Korayem, A.H.; Qiu, L.; Li, D.; Collins, F.; Wang, C.M.; Duan, W.H. Reinforcing Effects of Graphene Oxide on Portland Cement Paste. J. Mater. Civ. Eng. 2015, 27, A4014010. [Google Scholar] [CrossRef]
- Mohammed, A.; Sanjayan, J.G.; Duan, W.; Nazari, A. Incorporating Graphene Oxide in Cement Composites: A Study of Transport Properties. Constr. Build. Mater. 2015, 84, 341–347. [Google Scholar] [CrossRef]
- Yu, L.; Wu, R. Using Graphene Oxide to Improve the Properties of Ultra-High-Performance Concrete with Fine Recycled Aggregate. Constr. Build. Mater. 2020, 259, 120657. [Google Scholar] [CrossRef]
- Bilisik, K.; Akter, M. Graphene Nanoplatelets/Epoxy Nanocomposites: A Review on Functionalization, Characterization Techniques, Properties, and Applications. J. Reinf. Plast. Compos. 2022, 41, 99–129. [Google Scholar] [CrossRef]
- Alvaredo-Atienza, A.; Fernández-Blázquez, J.P.; Castell, P.; de Villoria, R.G. Production of Graphene Nanoplate/Polyetheretherketone Composites by Semi-Industrial Melt-Compounding. Heliyon 2020, 6, e03740. [Google Scholar] [CrossRef]
- Lee, J.H.; Han, J.H.; Kim, J.H.; Kim, B.; Bello, D.; Kim, J.K.; Lee, G.H.; Sohn, E.K.; Lee, K.; Ahn, K. Exposure Monitoring of Graphene Nanoplatelets Manufacturing Workplaces. Inhal. Toxicol. 2016, 28, 281–291. [Google Scholar] [CrossRef]
- Chen, G.; Yang, M.; Xu, L.; Zhang, Y.; Wang, Y. Graphene Nanoplatelets Impact on Concrete in Improving Freeze-Thaw resistance. Appl. Sci. 2019, 9, 3582. [Google Scholar] [CrossRef]
- Jiang, Z.; Sevim, O.; Ozbulut, O.E. Mechanical Properties of Graphene Nanoplatelets-Reinforced Concrete Prepared with Different Dispersion Techniques. Constr. Build. Mater. 2021, 303, 124472. [Google Scholar] [CrossRef]
- Kilic, U.; Sherif, M.M.; Ozbulut, O.E. Tensile Properties of Graphene Nanoplatelets/Epoxy Composites Fabricated by Various Dispersion Techniques. Polym. Test. 2019, 76, 181–191. [Google Scholar] [CrossRef]
- Shen, M.-Y.; Chang, T.-Y.; Hsieh, T.-H.; Li, Y.-L.; Chiang, C.-L.; Yang, H.; Yip, M.-C. Mechanical Properties and Tensile Fatigue of Graphene Nanoplatelets Reinforced Polymer Nanocomposites. J. Nanomater. 2013, 2013, 565401. [Google Scholar] [CrossRef]
- Lu, D.; Wang, D.; Wang, Y.; Zhong, J. Nano-Engineering the Interfacial Transition Zone Between Recycled Concrete Aggregates and Fresh Paste with Graphene Oxide. Constr. Build. Mater. 2023, 384, 131244. [Google Scholar] [CrossRef]
- Lu, D.; Qu, F.; Punetha, P.; Zeng, X.; Luo, Z.; Li, W. Graphene Oxide Nano-Engineered Recycled Aggregate Concrete for Sustainable Construction: A Critical Review. Dev. Built Environ. 2024, 18, 100444. [Google Scholar] [CrossRef]
- Baomin, W.; Shuang, D. Effect and Mechanism of Graphene Nanoplatelets on Hydration Reaction, Mechanical Properties and Microstructure of Cement Composites. Constr. Build. Mater. 2019, 228, 116720. [Google Scholar] [CrossRef]
- Tong, T.; Fan, Z.; Liu, Q.; Wang, S.; Tan, S.; Yu, Q. Investigation of the Effects of Graphene and Graphene Oxide Nanoplatelets on the Micro-and Macro-Properties of Cementitious Materials. Constr. Build. Mater. 2016, 106, 102–114. [Google Scholar] [CrossRef]
- Bedard, C.; Mailvaganam, N.P. The Use of Chemical Admixtures in Concrete. Part I: Admixture-Cement Compatibility. J. Perform. Constr. Facil. 2005, 19, 263–266. [Google Scholar] [CrossRef]
- Bedard, C.; Mailvaganam, N.P. The Use of Chemical Admixtures in Concrete. Part II: Admixture-Admixture Compatibility and Practical Problems. J. Perform. Constr. Facil. 2006, 20, 2–5. [Google Scholar] [CrossRef]
- Jayasree, C.; Santhanam, M.; Gettu, R. Cement-Superplasticiser Compatibility—Issues and challenges. Indian Concr. J. 2011, 85, 48. [Google Scholar]
- Sagüés, A.; Moreno, E.I.; Andrade, C. Evolution of pH During In-Situ Leaching In Small Concrete Cavities. Cem. Concr. Res. 1997, 27, 1747–1759. [Google Scholar] [CrossRef]
- ASTM C150/150M-24; Standard Specification for Portland Cement. ASTM International: West Conshohocken, PA, USA, 2024.
- Patil, U.V.; Pawbake, A.S.; Machuno, L.G.; Gelamo, R.V.; Jadkar, S.R.; Rout, C.S.; Late, D.J. Effect of Plasma Treatment on Multilayer Graphene: X-Ray Photoelectron Spectroscopy, Surface Morphology Investigations and Work Function Measurements. RSC Adv. 2016, 6, 48843–48850. [Google Scholar] [CrossRef]
- ASTM C778-21; Standard Specification for Standard Sand. ASTM International: West Conshohocken, PA, USA, 2021.
- Ismail, F.I.; Shafiq, N.; Abbas, Y.M.; Bheel, N.; Benjeddou, O.; Ahmad, M.; Sabri, M.M.S. Behavioral Assessment of Graphene Nanoplatelets Reinforced Concrete Beams by Experimental, Statistical, and Analytical Methods. Case Stud. Constr. Mater. 2022, 17, e01676. [Google Scholar] [CrossRef]
- Sevim, O.; Jiang, Z.; Ozbulut, O.E. Effects of Graphene Nanoplatelets Type on Self-Sensing Properties of Cement Mortar Composites. Constr. Build. Mater. 2022, 359, 129488. [Google Scholar] [CrossRef]
- ASTM C305; Standard Practice for Mechanical Mixing of Hydraulic Cement Pastes and Mortars of Plastic Consistency. ASTM International: Philadelphia, PA, USA, 2020.
- Collins, T.J. ImageJ for Microscopy. Biotechniques 2007, 43, S25–S30. [Google Scholar] [CrossRef]
- Kim, T.; Olek, J. Effects of Sample Preparation and Interpretation of Thermogravimetric Curves on Calcium Hydroxide in Hydrated Pastes and Mortars. Transp. Res. Rec. 2012, 2290, 10–18. [Google Scholar] [CrossRef]
- Gražulis, S.; Chateigner, D.; Downs, R.T.; Yokochi, A.; Quirós, M.; Lutterotti, L.; Manakova, E.; Butkus, J.; Moeck, P.; Le Bail, A. Crystallography Open Database—An Open-Access Collection of Crystal Structures. J. Appl. Crystallogr. 2009, 42, 726–729. [Google Scholar] [CrossRef] [PubMed]
- Gražulis, S.; Merkys, A.; Vaitkus, A. Crystallography Open Database (COD). In Handbook of Materials Modeling: Methods: Theory and Modeling; Springer International Publishing: Cham, Switzerland, 2020; pp. 1863–1881. [Google Scholar]
- ASTM C1437-20; Standard Test Method for Flow of Hydraulic Cement Mortar. ASTM International: West Conshohocken, PA, USA, 2020.
- ASTM C109-20; Standard Test Method for Compressive Strength of Hydraulic Cement Mortars (Using 2-in. or [50-mm] Cube Specimens). ASTM International: West Conshohocken, PA, USA, 2020.
- Layssi, H.; Ghods, P.; Alizadeh, A.R.; Salehi, M. Electrical resistivity of concrete. Concr. Int. 2015, 37, 41–46. [Google Scholar]
- Azarsa, P.; Gupta, R. Electrical Resistivity of Concrete for Durability Evaluation: A Review. Adv. Mater. Sci. Eng. 2017, 2017, 8453095. [Google Scholar] [CrossRef]
- Lu, D.; Huo, Y.; Jiang, Z.; Zhong, J. Carbon Nanotube Polymer Nanocomposites Coated Aggregate Enabled Highly Conductive Concrete for Structural Health Monitoring. Carbon 2023, 206, 340–350. [Google Scholar] [CrossRef]
- Robles, K.P.V.; Gucunski, N.; Kee, S.-H. Evaluation of Steel Corrosion-Induced Concrete Damage Using Electrical Resistivity Measurements. Constr. Build. Mater. 2024, 411, 134512. [Google Scholar] [CrossRef]
- ASTM C1876-24; Standard Test Method for Bulk Electrical Resistivity or Bulk Conductivity of Concret. ASTM International: West Conshohocken, PA, USA, 2024.
- Moosa, A.A.; Kubba, F.; Raad, M.; Ramazani, A. Mechanical and Thermal Properties of Graphene Nanoplates and Functionalized Carbon-Nanotubes Hybrid Epoxy Nanocomposites. Am. J. Mater. Sci. 2016, 6, 125–134. [Google Scholar]
- ASTM C1403-22a; Standard Test Method for Rate of Water Absorption of Masonry Mortars. ASTM International: West Conshohocken, PA, USA, 2022.
- Sánchez-Salas, R.; Muñoz-Sandoval, E.; Endo, M.; Morelos-Gómez, A.; López-Urías, F. Nitrogen and Sulfur Incorporation into Graphene Oxide by Mechanical Process. Adv. Eng. Mater. 2021, 23, 2001444. [Google Scholar] [CrossRef]
- Cui, K.; Chang, J.; Sabri, M.M.S.; Huang, J. Study of Dispersion, Hydration, and Microstructure of Graphene Nanoplates-Modified Sulfoaluminate Cement Paste. Nanomaterials 2022, 12, 2708. [Google Scholar] [CrossRef] [PubMed]
- Li, X.; Liu, Y.M.; Li, W.G.; Li, C.Y.; Sanjayan, J.G.; Duan, W.H.; Li, Z. Effects of Graphene Oxide Agglomerates on Workability, Hydration, Microstructure and Compressive Strength of Cement Paste. Constr. Build. Mater. 2017, 145, 402–410. [Google Scholar] [CrossRef]
- Scrivener, K.L.; Juilland, P.; Monteiro, P.J. Advances in Understanding Hydration of Portland Cement. Cem. Concr. Res. 2015, 78, 38–56. [Google Scholar] [CrossRef]
- Gartner, E.; Young, J.; Damidot, D.; Jawed, I. Hydration of Portland Cement. Struct. Perform. Cem. 2002, 2, 57–113. [Google Scholar]
- Wang, B.; Jiang, R.; Wu, Z. Investigation of the Mechanical Properties and Microstructure of Graphene Nanoplatelet-Cement Composite. Nanomaterials 2016, 6, 200. [Google Scholar] [CrossRef]
- Guo, L.; Wu, J.; Wang, H. Mechanical and Perceptual Characterization of Ultra-High-Performance Cement-Based Composites with Silane-Treated Graphene Nano-Platelets. Constr. Build. Mater. 2020, 240, 117926. [Google Scholar] [CrossRef]
- Dong, W.; Li, W.; Guo, Y.; Wang, K.; Sheng, D. Mechanical Properties and Piezoresistive Performances of Intrinsic Graphene Nanoplate/Cement-Based Sensors Subjected to Impact Load. Constr. Build. Mater. 2022, 327, 126978. [Google Scholar] [CrossRef]
- Ismail, F.I.; Shafiq, N.; Abbas, Y.M.; Zahid, M.; Bheel, N.; Benjeddou, O.; Abdulkadir, I. The Behavior of Graphene-Nanoplatelets-Based High-Performance Concrete Under Ambient Curing. In Structures; Elsevier: Amsterdam, The Netherlands, 2023; pp. 694–708. [Google Scholar]
- Wang, B.; Shuang, D. Effect of Graphene Nanoplatelets on the Properties, Pore Structure and Microstructure of Cement Composites. Mater. Express 2018, 8, 407–416. [Google Scholar] [CrossRef]
- Zhang, Y.; Wang, Y.; Yang, M.; Wang, H.; Chen, G.; Zheng, S. Effect of Graphene Nanoplatelet on the Carbonation Depth of Concrete Under Changing Climate Conditions. Appl. Sci. 2021, 11, 9265. [Google Scholar] [CrossRef]
- Hewlett, P.; Liska, M. Lea’s Chemistry of Cement and Concrete; Butterworth-Heinemann: Oxford, UK, 2019. [Google Scholar]
- Ismail, F.I.; Abbas, Y.M.; Shafiq, N.; Fares, G.; Osman, M.; Hussain, L.A.; Khan, M.I. Investigation of the Impact of Graphene Nanoplatelets (GnP) on the Bond Stress of High-Performance Concrete Using Pullout Testing. Materials 2021, 14, 7054. [Google Scholar] [CrossRef]
- Jaramillo, L.J.; Kalfat, R. Fresh and Hardened Performance of Concrete Enhanced with Graphene Nanoplatelets (GNPs). J. Build. Eng. 2023, 75, 106945. [Google Scholar] [CrossRef]
- Sarsam, W.S.; Amiri, A.; Kazi, S.; Badarudin, A. Stability and Thermophysical Properties of Non-Covalently Functionalized Graphene Nanoplatelets Nanofluids. Energy Convers. Manag. 2016, 116, 101–111. [Google Scholar] [CrossRef]
- Lim, K.M.; Lee, J.H. Electrical Conductivity and Compressive Strength of Cement Paste with Multiwalled Carbon Nanotubes and Graphene Nanoplatelets. Appl. Sci. 2022, 12, 1160. [Google Scholar] [CrossRef]
Disclaimer/Publisher’s Note: The statements, opinions and data contained in all publications are solely those of the individual author(s) and contributor(s) and not of MDPI and/or the editor(s). MDPI and/or the editor(s) disclaim responsibility for any injury to people or property resulting from any ideas, methods, instructions or products referred to in the content. |
© 2025 by the authors. Licensee MDPI, Basel, Switzerland. This article is an open access article distributed under the terms and conditions of the Creative Commons Attribution (CC BY) license (https://creativecommons.org/licenses/by/4.0/).











