SGTWR Model with Spatial-Temporal Heterogeneity and Attribute Similarity for Urban Traffic Carbon Emission Driver Analysis
Abstract
1. Introduction
2. Materials and Methods
2.1. Study Area
2.2. Research Framework
2.3. Variable Selection and Data Preprocessing
2.3.1. Variable Selection
2.3.2. Data Source
2.3.3. Multiple Collinearity and Correlation Test
2.4. Research Methods
2.4.1. OLS Model
2.4.2. GWR Model
2.4.3. GTWR Model
2.4.4. SGWR Model
2.4.5. SGTWR Model
2.5. Model Evaluation Index
3. Results
3.1. Spatial Distribution Characteristics of Traffic Carbon Emissions
3.2. Comparative Analysis of Models
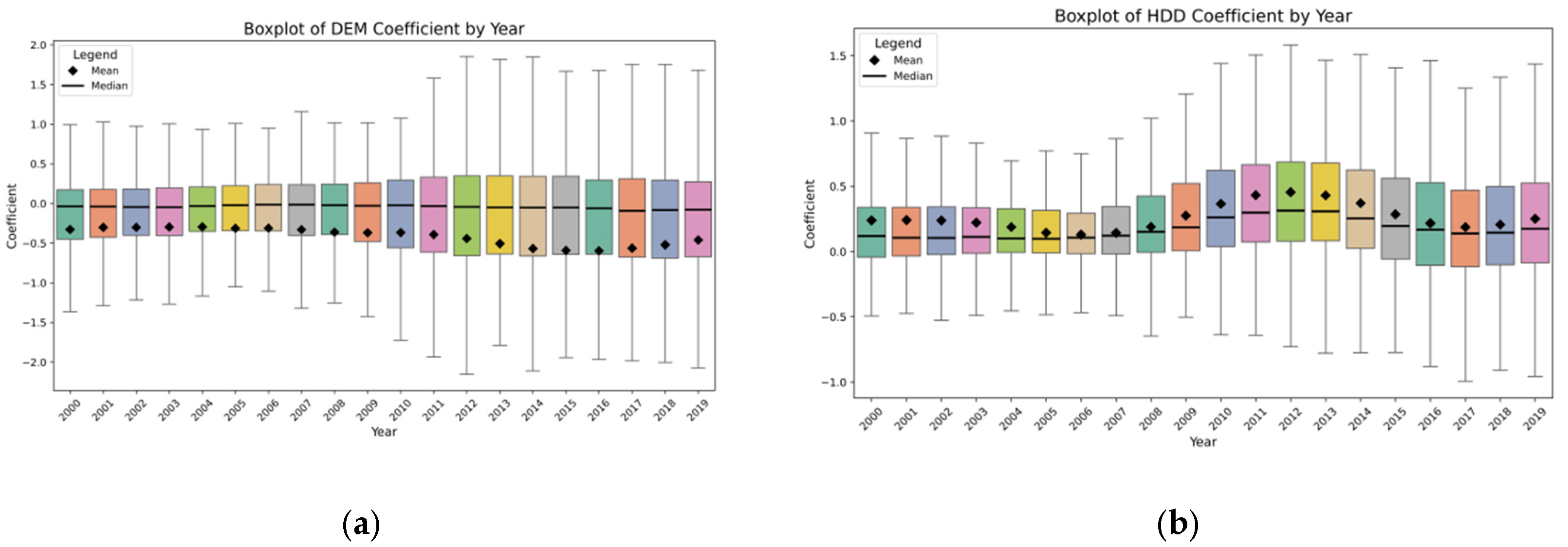
3.3. Analysis of Influencing Factors
3.4. Spatial-Temporal Heterogeneity Effect Analysis
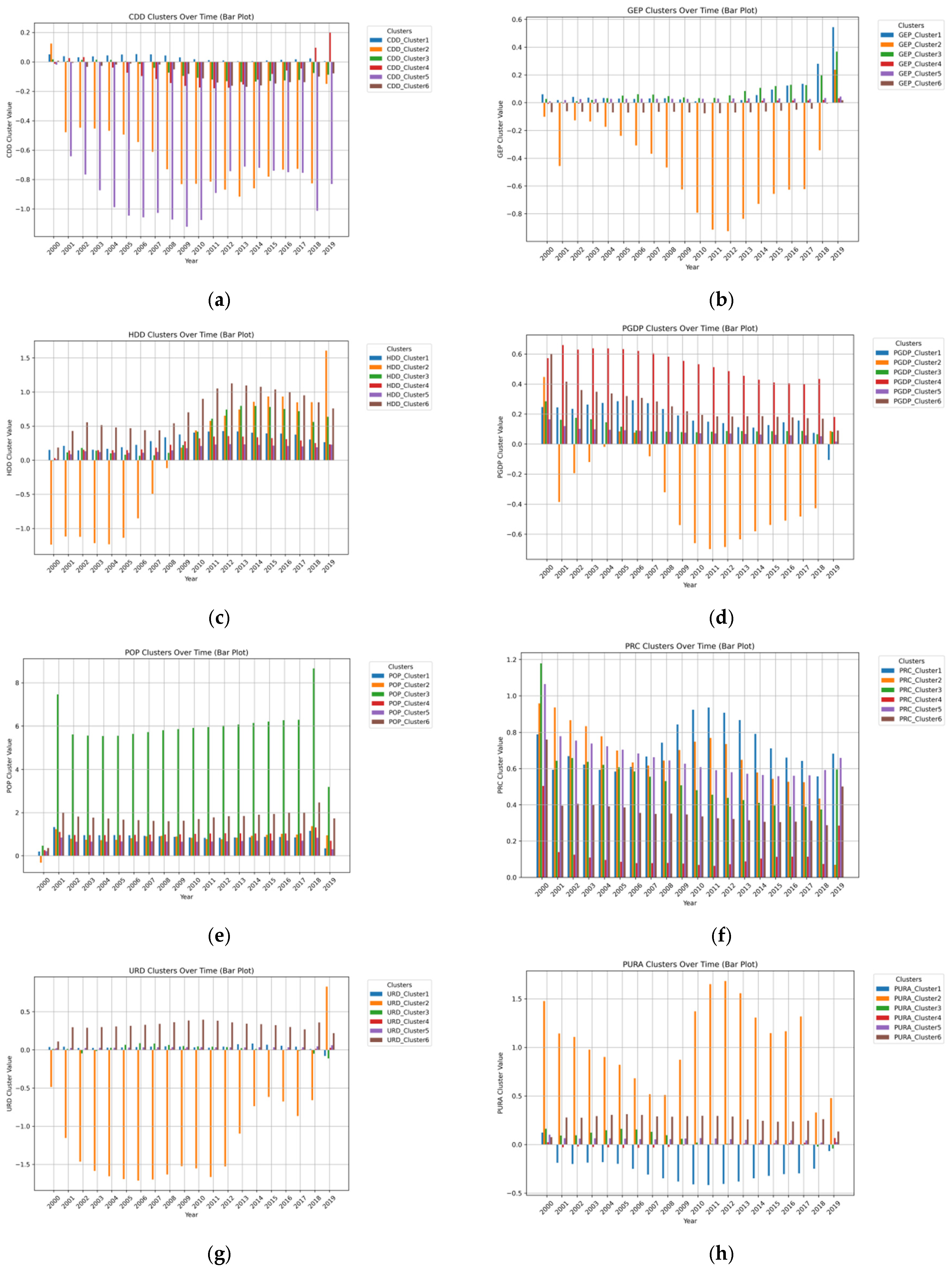
3.5. Cluster Analysis
4. Discussion
4.1. Mechanism Discussion
4.2. Limitations and Future Work
5. Conclusions
Author Contributions
Funding
Institutional Review Board Statement
Informed Consent Statement
Data Availability Statement
Acknowledgments
Conflicts of Interest
Appendix A
| Moran’s I Test for Residuals of Global Models | |||
|---|---|---|---|
| Year | Moran’s I | Z-Value | p-Value |
| 2000 | 0.247 | 3.425 | 0.001 |
| 2010 | 0.196 | 2.604 | 0.009 |
| 2019 | 0.051 | 0.774 | 0.039 |
| Model | AICc | MAE | RMSE | RSS | |
|---|---|---|---|---|---|
| SGTWR | 0.900 | −13201.319 | 0.203 | 0.316 | 572.849 |
| Omitting POP Model | 0.888 | −13180.456 | 0.208 | 0.320 | 583.012 |
| Omitting PRC Model | 0.892 | −13192.134 | 0.205 | 0.318 | 576.945 |
| Omitting HDD Model | 0.886 | −13175.289 | 0.207 | 0.319 | 580.234 |
| Omitting DEM Model | 0.895 | −13198.567 | 0.209 | 0.324 | 574.621 |
| Cluster | City |
|---|---|
| 1 | Xuzhou. |
| 2 | Beijing, Langfang. |
| 3 | Zhongshan, Foshan, Jiaxing, Ningbo, Changzhou, Yangzhou, Wuxi, Jinzhong, Chaoyang, Jiangmen, Huzhou, Suzhou, Quzhou, Jinhua, Zhenjiang, Fuxin. |
| 4 | Zhongwei, Ulanqab, Yunfu, Bozhou, Yichun, Jiamusi, Liupanshui, Nanchang, Shuangyashan, Lvliang, Hohhot, Xianyang, Harbin, Tangshan, Shangqiu, Guyuan, Datong, Taiyuan, Dingxi, Yibin, Suqian, Bazhong, Pingliang, Guangyuan, Kaifeng, Zhangjiakou, Dezhou, Xinzhou, Huaihua, Chengde, Zhaotong, Jincheng, Zaozhuang, Meizhou, Wuzhou, Yongzhou, Shantou, Taizhou, Jining, Haikou, Huaian, Weinan, Chuzhou, Chaozhou, Jiaozuo, Mudanjiang, Yiyang, Qinhuangdao, Suihua, Zigong, Heze, Pingxiang, Hengshui, Hengyang, Xi’an, Hezhou, Dazhou, Lianyungang, Xingtai, Handan, Chongqing, Tongren, Changsha, Hegang. |
| 5 | Qitaihe, Sanya, Sanming, Sanmenxia, Shangrao, Dongying, Linfen, Lincang, Dandong, Lishui, Lijiang, Wuhai, Urumqi, Leshan, Jiujiang, Baoshan, Xinyang, Karamay, Lu’an, Lanzhou, Neijiang, Baotou, Beihai, Shiyan, Nanchong, Nanning, Nanping, Nantong, Nanyang, Xiamen, Hefei, Ji’an, Jilin, Wuzhong, Zhoukou, Hulunbuir, Xianning, Shangluo, Jiayuguan, Siping, Daqing, Dalian, Tianshui, Weihai, Loudi, Ningde, Anqing, Ankang, Anyang, Anshun, Yichang, Yichun, Baoji, Xuancheng, Suzhou, Yueyang, Chongzuo, Bayannur, Changde, Pingdingshan, Guang’an, Guangzhou, Qingyang, Yan’an, Zhangjiajie, Zhangye, Deyang, Huizhou, Chengdu, Fuzhou, Fushun, Lhasa, Jieyang, Panzhihua, Xinxiang, Xinyu, Rizhao, Kunming, Pu’er, Jingdezhen, Qujing, Shuozhou, Benxi, Laibin, Songyuan, Liuzhou, Zhuzhou, Guilin, Yulin, Wuwei, Bijie, Hanzhong, Shanwei, Chizhou, Shenyang, Hechi, Heyuan, Quanzhou, Luzhou, Luoyang, Zibo, Huaibei, Huainan, Qingyuan, Xiangtan, Zhanjiang, Binzhou, Luohe, Zhangzhou, Weifang, Puyang, Yantai, Yulin, Yuxi, Zhuhai, Baicheng, Baishan, Baiyin, Baise, Yancheng, Panjin, Meishan, Shizuishan, Shijiazhuang, Fuzhou, Mianyang, Zhaoqing, Wuhu, Maoming, Jingzhou, Jingmen, Putian, Yingkou, Bengbu, Xiangyang, Xining, Xuchang, Guigang, Guiyang, Ziyang, Ganzhou, Chifeng, Liaoyuan, Liaoyang, Yuncheng, Tonghua, Tongliao, Suining, Zunyi, Shaoyang, Zhengzhou, Chenzhou, Ordos, Ezhou, Jiuquan, Jinchang, Qinzhou, Tieling, Tongchuan, Tongling, Yinchuan, Changchun, Changzhi, Fuyang, Fangchenggang, Yangjiang, Yangquan, Longnan, Suizhou, Ya’an, Qingdao, Anshan, Shaoguan, Ma’anshan, Zhumadian, Jixi, Hebi, Yingtan, Huanggang, Huangshan, Huangshi, Heihe, Qiqihar, Longyan. |
| 6 | Shanghai, Dongguan, Linyi, Baoding, Nanjing, Taizhou, Tianjin, Xiaogan, Hangzhou, Wuhan, Cangzhou, Tai’an, Jinan, Shenzhen, Wenzhou, Shaoxing, Liaocheng, Zhoushan, Huludao, Jinzhou. |
References
- United Nations. Agenda 21: Programme of Action for Sustainable Development, Rio Declaration on Environment and Development, Statement of Forest Principles: The Final Text of Agreements Negotiated by Governments at the United Nations Conference on Environment and Development (UNCED), 3–14 June 1992, Rio de Janeiro, Brazil; United Nations Department of Public Information: New York, NY, USA, 1993. [Google Scholar]
- United Nations. Report of the Second United Nations Global Sustainable Transport Conference; United Nations: New York, NY, USA, 2022. [Google Scholar]
- National Bureau of Statistics of China. China Statistical Yearbook 2023; China Statistics Press: Beijing, China, 2023. [Google Scholar]
- International Energy Agency (IEA). CO2 Emissions from Fuel Combustion; IEA Publications: Paris, France, 2022. [Google Scholar]
- State Council of China. Guiding Opinions on Completely, Accurately, and Comprehensively Implementing the New Development Philosophy and Achieving Carbon Peak and Carbon Neutrality; State Council of China: Beijing, China, 2021.
- Zhang, J.; Jia, R.; Yang, H.; Dong, K. Does electric vehicle promotion in the public sector contribute to urban transport carbon emissions reduction? Transp. Policy 2022, 125, 151–163. [Google Scholar] [CrossRef]
- Wu, C.; Xiong, J.; Wu, W.; Gao, W.; Liu, X. Calculation and effect factor analysis of transport carbon emission in Gansu Province based on STIRPAT Model. Glaciol. Geocryol. 2015, 37, 826–834. [Google Scholar]
- Zhuang, Y.; Xia, B. Guangdong Province’s traffic carbon emissions accounting and influencing factors analysis. Res. Environ. Sci. 2017, 30, 1154–1162. [Google Scholar]
- Wang, B.; Sun, Y.F.; Chen, Q.X.; Wang, Z. Determinants analysis of carbon dioxide emissions in passenger and freight transportation sectors in China. Struct. Change Econ. Dyn. 2018, 47, 127–132. [Google Scholar] [CrossRef]
- Fan, F.Y.; Lei, Y.L. Decomposition analysis of energy-related carbon emissions from the transportation sector in Beijing. Transp. Res. Part D Transp. Environ. 2016, 42, 135–145. [Google Scholar] [CrossRef] [PubMed]
- Wang, S.; Shi, C.; Fang, C.; Feng, K. Examining the spatial variations of determinants of energy-related CO2 emissions in China at the city level using Geographically Weighted Regression Model. Appl. Energy 2019, 235, 95–105. [Google Scholar] [CrossRef]
- Wang, S.; Fang, C.; Ma, H.; Wang, Y.; Qin, J. Spatial differences and multi-mechanism of carbon footprint based on GWR model in provincial China. J. Geogr. Sci. 2014, 24, 612–630. [Google Scholar] [CrossRef]
- Chen, X.; Zhao, Q.; Huang, F.; Qiu, R.; Lin, Y.; Zhang, L.; Hu, X. Understanding spatial variation in the driving pattern of carbon dioxide emissions from the taxi sector in great Eastern China: Evidence from an analysis of geographically weighted regression. Clean Technol. Environ. Policy 2020, 22, 979–991. [Google Scholar] [CrossRef]
- Zeng, X.-Y.; Qiu, R.-Z.; Lin, D.-T.; Hou, X.-Y.; Zhang, L.-Y.; Hu, X.-S. Spatio-temporal heterogeneity of transportation carbon emissions and its influencing factors in China. China Environ. Sci. 2020, 40, 4304–4313. [Google Scholar]
- Zhao, P.; Tian, B.S.; Yang, Q.; Zhang, S. Influencing factors and their spatial-temporal heterogeneity of urban transport carbon emissions in China. Energies 2024, 17, 756. [Google Scholar] [CrossRef]
- Meng, H.; Zhang, X.; Du, X.; Du, K. Spatiotemporal heterogeneity of the characteristics and influencing factors of energy-consumption-related carbon emissions in Jiangsu Province based on DMSP-OLS and NPP-VIIRS. Land 2023, 12, 1369. [Google Scholar] [CrossRef]
- Zhu, Z.; Yu, J.; Luo, J.; Zhang, H.; Wu, Q.; Chen, Y. A GDM-GTWR-coupled model for spatiotemporal heterogeneity quantification of CO2 emissions: A case of the Yangtze River Delta urban agglomeration from 2000 to 2017. Atmosphere 2022, 13, 1195. [Google Scholar] [CrossRef]
- Yang, X.; Jin, K.; Duan, Z.; Gao, Y.; Sun, Y.; Gao, C. Spatial-temporal differentiation and influencing factors of carbon emission trajectory in Chinese cities: A case study of 247 prefecture-level cities. Sci. Total Environ. 2024, 928, 172325. [Google Scholar] [CrossRef] [PubMed]
- Liu, J.; Li, S.; Ji, Q. Regional differences and driving factors analysis of carbon emission intensity from transport sector in China. Energy 2021, 234, 120178. [Google Scholar] [CrossRef]
- Zeng, G.; Sang, Y.; Gui, Q.; Li, J.; Yuan, J.; Zhu, K. Research on carbon emission efficiency and spatial-temporal factors in the transportation industry: Evidence from the Yangtze river economic belt. Glob. Nest J. 2024, 26, 637–648. [Google Scholar]
- Deng, Z.; Li, L.; Du, Y. Can polycentric urban morphology improve transportation carbon emission efficiency? Evidence from 285 Chinese cities, 2005–2020. Transportation 2024, 51, 1–28. [Google Scholar] [CrossRef]
- Zhu, A.-X.; Liu, G.; Liu, J.; Qin, C.-Z.; Zhou, C. Spatial prediction based on the Third Law of Geography. Ann. GIS 2018, 24, 225–240. [Google Scholar] [CrossRef]
- Liu, C.; Susilo, Y.O.; Karlström, A. Estimating changes in transport CO2 emissions due to changes in weather and climate in Sweden. Transp. Res. Part D Transp. Environ. 2016, 47, 172–187. [Google Scholar] [CrossRef]
- Jeon, H. The impact of climate change on passenger vehicle fuel consumption: Evidence from U.S. panel data. Energies 2019, 12, 4460. [Google Scholar] [CrossRef]
- Wyatt, D.W.; Li, H.; Tate, J.E. The impact of road grade on carbon dioxide (CO2) emission of a passenger vehicle in real-world driving. Transp. Res. Part D Transp. Environ. 2014, 31, 160–170. [Google Scholar] [CrossRef]
- Lai, D.; Costa, Y.; Demir, E.; Florio, A.M.; Van Woensel, T. The pollution-routing problem with speed optimization and uneven topography. Comput. Oper. Res. 2024, 64, 106557. [Google Scholar] [CrossRef]
- Al-Hadhrami, L.M. Comprehensive review of cooling and heating degree days characteristics over the Kingdom of Saudi Arabia. Renew. Sustain. Energy Rev. 2013, 27, 305–314. [Google Scholar] [CrossRef]
- Huang, B.; Wu, B.; Barry, M. Geographically and temporally weighted regression for modeling spatio-temporal variation in house prices. Int. J. Geogr. Inf. Sci. 2010, 24, 383–401. [Google Scholar] [CrossRef]
- Lessani, M.N.; Li, Z. SGWR: Similarity and geographically weighted regression. Int. J. Geogr. Inf. Sci. 2024, 38, 1232–1255. [Google Scholar] [CrossRef]
- Zeng, H.; Shao, B.; Bian, G.; Dai, H.; Zhou, F. Analysis of influencing factors and trend forecast of CO2 emission in Chengdu-Chongqing urban agglomeration. Sustainability 2022, 14, 1167. [Google Scholar] [CrossRef]
- Yang, Z.; Sun, H.; Yuan, W.; Xia, X. The spatial pattern of the prefecture-level carbon emissions and its spatial mismatch in China with the level of economic development. Sustainability 2022, 14, 10209. [Google Scholar] [CrossRef]
- Zhu, C.; Wang, M.; Yang, Y. Analysis of the influencing factors of regional carbon emissions in the Chinese transportation industry. Energies 2020, 13, 1100. [Google Scholar] [CrossRef]
- Qin, Y.; Luo, Q.; Xiao, T. Capacity modeling for mixed traffic with connected automated vehicles on minor roads at priority intersections. Transp. Plan. Technol. 2024, 47, 1794–1818. [Google Scholar] [CrossRef]












| Variable | Definition or Measurement | Unit |
|---|---|---|
| Urban transport carbon emission (TCE) | CO2 emissions of urban transport industry (including road, rail, water, and air traffic) measured by MEIC model. | Tons |
| Heating degree days (HDD) | The cumulative value obtained by multiplying the difference between the daily average outdoor temperature and 18 °C by one day, when the daily average outdoor temperature falls below 18 °C during a year. | °C·d |
| Cooling degree days (CDD) | The cumulative value obtained by multiplying the difference between the daily average outdoor temperature and 26 °C by one day, when the daily average outdoor temperature exceeds 26 °C during a year. | °C·d |
| DEM | Average ground elevation of each city. | m |
| Public transportation effectiveness (PUB) | Divide the total number of buses by the total population and then multiply by 10,000. | buses per 10,000 people |
| Government environmental protection (GEP) | The proportion of green space to the total area of the built-up area in a city. | % |
| Per capita urban road area (PURA) | Urban road area divided by the total population. | m2 per capita |
| Population (POP) | Urban total population number at the end of year. | 10,000 people |
| Urban density (URD) | Urban total population divided by built-up area. | 1 people per km2 |
| Private cars per capita (PRC) | Total number of private cars in a city. | 1000 cars |
| GDP per capita (PGDP) | GDP divided by the total population. | CNY per capita |
| Variable | Mean | Std. | 1st Qu. | Median | 3st Qu. |
|---|---|---|---|---|---|
| PGDP | 35,023.040 | 90,634.760 | 11,097 | 2453.500 | 45,452.250 |
| PUB | 6.546 | 14.323 | 2.409 | 4.950 | 8.340 |
| GEP | 35.803 | 13.522 | 31.028 | 38.030 | 41.673 |
| PURA | 11.601 | 14.383 | 5.520 | 9.380 | 14.650 |
| POP | 431.703 | 305.612 | 236.860 | 366.275 | 565.680 |
| URD | 3235.004 | 2743.364 | 1296.750 | 2328.500 | 4365 |
| PRC | 352.566 | 580.560 | 56.908 | 159.568 | 389.336 |
| DEM | 536.539 | 649.600 | 109.359 | 248.897 | 753.378 |
| HDD | 2251.853 | 1421.291 | 1327.731 | 1888.666 | 3120.891 |
| CDD | 117.236 | 113.034 | 10.740 | 88.577 | 194.488 |
| Model | AICc | MAE | RMSE | RSS | |
|---|---|---|---|---|---|
| OLS | 0.678 | −6485.413 | 0.350 | 0.567 | 1848.003 |
| GWR | 0.746 | −7854.601 | 0.313 | 0.504 | 1456.331 |
| SGWR | 0.842 | −10,559.631 | 0.254 | 0.398 | 908.429 |
| GTWR | 0.855 | −11,083.568 | 0.243 | 0.380 | 829.181 |
| SGTWR | 0.900 | −13,201.319 | 0.203 | 0.316 | 572.849 |
| Variable | Mean | Std | 1st Qu. | Median | 3st Qu. |
|---|---|---|---|---|---|
| PGDP | 0.144 | 0.193 | 0.029 | 0.109 | 0.256 |
| PUB | 0.141 | 0.192 | 0.024 | 0.108 | 0.202 |
| GEP | 0.035 | 0.128 | −0.022 | 0.016 | 0.078 |
| PURA | 0.057 | 0.223 | −0.054 | 0.019 | 0.134 |
| POP | 0.423 | 0.389 | 0.188 | 0.379 | 0.588 |
| URD | 0.037 | 0.180 | −0.014 | 0.028 | 0.092 |
| PRC | 0.457 | 0.323 | 0.242 | 0.406 | 0.601 |
| DEM | −0.410 | 5.321 | −0.487 | −0.039 | 0.258 |
| HDD | 0.261 | 0.538 | −0.017 | 0.166 | 0.463 |
| CDD | −0.082 | 0.307 | −0.125 | −0.017 | 0.036 |
Disclaimer/Publisher’s Note: The statements, opinions and data contained in all publications are solely those of the individual author(s) and contributor(s) and not of MDPI and/or the editor(s). MDPI and/or the editor(s) disclaim responsibility for any injury to people or property resulting from any ideas, methods, instructions or products referred to in the content. |
© 2025 by the authors. Licensee MDPI, Basel, Switzerland. This article is an open access article distributed under the terms and conditions of the Creative Commons Attribution (CC BY) license (https://creativecommons.org/licenses/by/4.0/).
Share and Cite
Li, M.; Du, W.; Yu, S.; Hong, Z.; Zhang, D.; He, Y.; De, L. SGTWR Model with Spatial-Temporal Heterogeneity and Attribute Similarity for Urban Traffic Carbon Emission Driver Analysis. Sustainability 2025, 17, 10773. https://doi.org/10.3390/su172310773
Li M, Du W, Yu S, Hong Z, Zhang D, He Y, De L. SGTWR Model with Spatial-Temporal Heterogeneity and Attribute Similarity for Urban Traffic Carbon Emission Driver Analysis. Sustainability. 2025; 17(23):10773. https://doi.org/10.3390/su172310773
Chicago/Turabian StyleLi, Mingyue, Wala Du, Shan Yu, Zhimin Hong, Daoting Zhang, Yu’ang He, and Lihai De. 2025. "SGTWR Model with Spatial-Temporal Heterogeneity and Attribute Similarity for Urban Traffic Carbon Emission Driver Analysis" Sustainability 17, no. 23: 10773. https://doi.org/10.3390/su172310773
APA StyleLi, M., Du, W., Yu, S., Hong, Z., Zhang, D., He, Y., & De, L. (2025). SGTWR Model with Spatial-Temporal Heterogeneity and Attribute Similarity for Urban Traffic Carbon Emission Driver Analysis. Sustainability, 17(23), 10773. https://doi.org/10.3390/su172310773

