Greenhouse Gas Emissions from a Full-Scale Vermifilter for Sewage Treatment: Effects of Seasonality and Sewage Parameters
Abstract
1. Introduction
2. Materials and Methods
2.1. Design and Operating Conditions
2.2. Monitoring Strategy
2.3. Analysis of Gas Samples
2.4. Analysis of Liquid Samples
2.5. Analysis of Solid Samples
2.6. Mass Balance Analysis
2.7. Statistical Analysis
3. Results and Discussion
3.1. CO2, N2O, and CH4 Formation in WWTPs
3.2. Vermifilter Performance and Mass Balance
3.3. Effects of Seasonality
3.4. Effects of Other Parameters in GHG Emissions
4. Conclusions
- -
- VFs generate lower GHGs than other WWTPs: CO2 7.5 kgCO2eq/cap·y, CH4 0.1 kgCO2eq/cap·y, and N2O 5.7 kgCO2eq/cap·y;
- -
- According to the mass balance, 19% of the influent TOC and 0.4% of the influent TN were converted into CO2 and N2O emissions, respectively, in the full-scale VF system;
- -
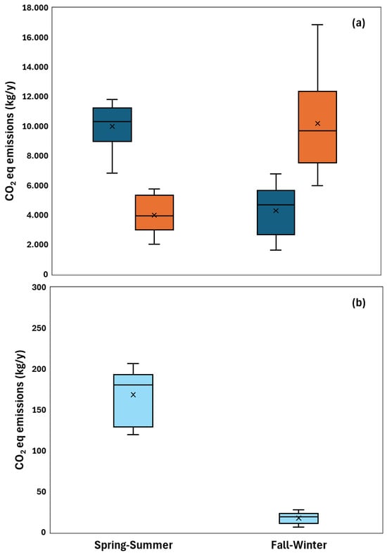
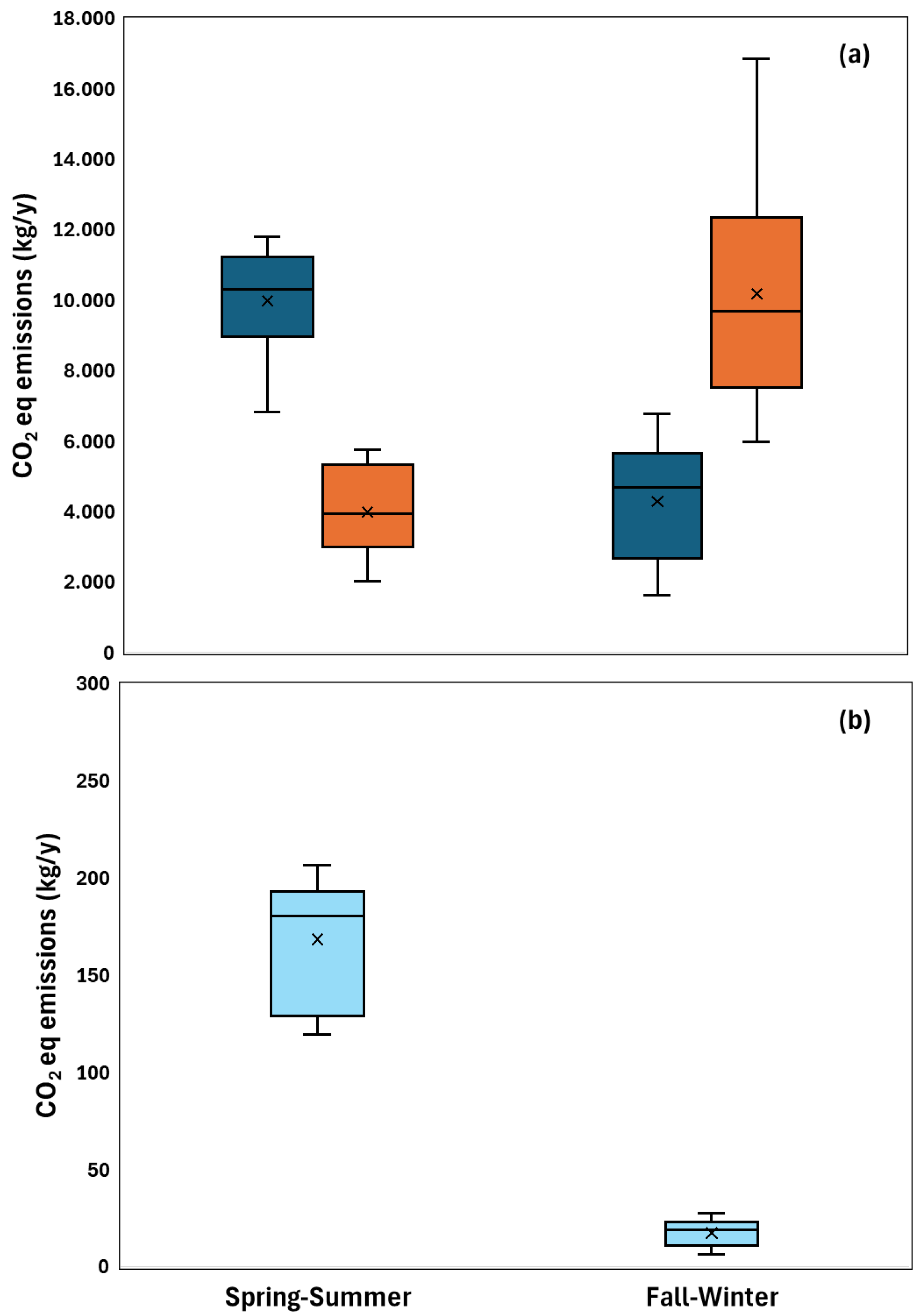
- Seasonality affects GHG emissions of the VF. CO2 emissions were 4052 ± 1722 kg/y in fall–winter and 9630 ± 1640 kg/y in spring–summer. N2O emissions were 11,423 ± 6330 kgCO2eq/y in fall–winter and 3992 ± 1279 kgCO2eq/y in spring–summer.
- -
- Influent COD concentrations and the C/N ratio were factors that determined GHG production. COD concentrations were positively correlated with emissions, with higher COD concentrations in the influent generating higher CO2 emissions. In contrast, the C/N ratio was negatively correlated with N2O emissions, with higher C/N ratios resulting in lower emissions of GHGs.
- -
- This study is the first attempt to establish GHG emissions from a full-scale VF, providing a basis for future research in this area.
Author Contributions
Funding
Institutional Review Board Statement
Informed Consent Statement
Data Availability Statement
Acknowledgments
Conflicts of Interest
References
- Luo, Y.; Zhao, J.Y. Attentional and perceptual biases of climate change. Curr. Opin. Behav. Sci. 2021, 42, 22–26. [Google Scholar] [CrossRef]
- IPCC. Sections. In Climate Change 2023: Synthesis Report. Contribution of Working Groups I, II and III to the Sixth Assessment Report of the Intergovernmental Panel on Climate Change; IPCC: Geneva, Switzerland, 2023; pp. 35–115. [Google Scholar] [CrossRef]
- World Meteorological Organization (WMO). Greenhouse Gas Bulletin: The State of Greenhouse Gases in the Atmosphere Based on Global Observations Through 2018; World Meteorological Organization (WMO): Geneva, Switzerland, 2019. [Google Scholar]
- IPCC. Climate Change 2013: The Physical Science Basis; Cambridge University Press: Cambridge, UK, 2014. [Google Scholar]
- Yin, X.; Jiang, C.; Xu, S.; Yu, X.; Yin, X.; Wang, J.; Maihaiti, M.; Wang, C.; Zheng, X.; Zhuang, X. Greenhouse gases emissions of constructed wetlands: Mechanisms and affecting factors. Water 2023, 15, 2871. [Google Scholar] [CrossRef]
- Bogner, J.; Pipatti, R.; Hashimoto, S.; Diaz, C.; Mareckova, K.; Diaz, L.; Kjeldsen, P.; Monni, S.; Faaij, A.; Gao, Q.; et al. Mitigation of global greenhouse gas emissions from waste: Conclusions and strategies from the Intergovernmental Panel on Climate Change (IPCC) Fourth Assessment Report. Working Group III (Mitigation). Waste Manag. Res. 2020, 26, 11–32. [Google Scholar] [CrossRef] [PubMed]
- US EPA. Global Non-CO2 GHG Emissions: 1990–2030; U.S. Environmental Protection Agency: Washington, DC, USA, 2012. [Google Scholar]
- Ranieri, E.; D’Onghia, G.; Lopopolo, L.; Gikas, P.; Ranieri, F.; Gika, E.; Spagnolo, V.; Ranieri, A.C. Evaluation of greenhouse gas emissions from aerobic and anaerobic wastewater treatment plants in Southeast of Italy. J. Environ. Manag. 2023, 337, 117767. [Google Scholar] [CrossRef]
- Knappe, J.; Somlai, C.; Laurence, L. Assessing the spatial and temporal variability of greenhouse gas emissions from different configurations of on-site wastewater treatment system using discrete and continuous gas flux measurement. Biogeosciences 2022, 19, 1067–1085. [Google Scholar] [CrossRef]
- Gutiérrez, V.; Gómez, G.; Rodríguez, D.; Vidal, G. Critical analysis of wastewater treatment using vermifilters: Operating parameters, wastewater quality, and greenhouse gas emissions. J. Environ. Chem. Eng. 2023, 11, 109683. [Google Scholar] [CrossRef]
- World Health Organization (WHO). Technical Brief on Water, Sanitation, Hygiene and Wastewater Management to Prevent Infections and Reduce the Spread of Antimicrobial Resistance; World Health Organization (WHO): Geneva, Switzerland, 2020; 32p, Available online: https://iris.who.int/server/api/core/bitstreams/b3b1a541-91ac-474d-8a49-10660e3ef6d2/content (accessed on 10 October 2025).
- Capodaglio, A.G.; Callegari, A.; Cecconet, D.; Molognoni, M. Sustainability of decentralized wastewater treatment technologies. Water Pract. Tech. 2017, 12, 363–477. [Google Scholar] [CrossRef]
- Gutiérrez, V.; Monsalves, N.; Gómez, G.; Vidal, G. Performance of a full-scale vermifilter for sewage treatment in removing organic matter, nutrients, and antibiotic-resistant bacteria. Sustainability 2023, 15, 6842. [Google Scholar] [CrossRef]
- Arora, S.; Saraswat, S. Vermifiltration as a natural, sustainable, and green technology for environmental remediation: A new paradigm for wastewater treatment process. Curr. Res. Green Sustain. Chem. 2021, 4, 1–6. [Google Scholar] [CrossRef]
- Rajpal, A.; Arora, S.; Bhatia, A.; Kumar, T.; Bhargava, R.; Chopra, A.K.; Kazmi, A.A. Cotreatment of organic fraction of municipal solid waste (OFMSW) and sewage by vermireactor. Ecol. Eng. 2014, 73, 154–161. [Google Scholar] [CrossRef]
- Lavrnić, S.; Cristino, S.; Zapater-Pereyra, M.; Vymazal, J.; Cupido, D.; Lucchese, G.; Mancini, B.; Mancini, M.L. Effect of earthworms and plants on the efficiency of vertical flow systems treating university wastewater. Environ. Sci. Pollut. Res. 2019, 26, 10354–10362. [Google Scholar] [CrossRef]
- Kumar, A.; Khwairakpam, M. A comparative study with vermifilter and geofilter for domestic wastewater treatment and its Phyto-toxicity efficacy. J. Water Process. Eng. 2024, 60, 105245. [Google Scholar] [CrossRef]
- Lourenço, N.; Nunes, L.M. Review of dry and wet decentralized sanitation technologies for rural areas: Applicability, challenges and opportunities. Environ. Manag. 2020, 65, 642–664. [Google Scholar] [CrossRef] [PubMed]
- Lubbers, I.M.; Van Groenigen, K.J.; Fonte, S.J.; Six, J.; Brussaard, L.; Van Groenigen, J.W. Greenhouse gas emissions from soil increased by earthworms. Nat. Clim. Change. 2013, 3, 187–194. [Google Scholar] [CrossRef]
- Dey Chowdhury, S.; Bhunia, P.; Zhang, T.; Surampalli, R.Y. Nitrogen transformation dynamics in macrophyte-assisted high-rate vermifilter treating real domestic sewage. J. Water Process. Eng. 2023, 55, 104171. [Google Scholar] [CrossRef]
- Luth; Robin, P.; Germain, P.; Lecomte, M.; Landrain, B.; Li, Y.; Cluzeau, D. Earthworm effects on gaseous emissions during vermifiltration of pig fresh slurry. Bioresour. Technol. 2011, 102, 3679–3686. [Google Scholar] [CrossRef]
- Schon, N.L.; Curtin, D.; Beare, M.H.; Mackay, A.D.; Gray, R.A.; Dodd, M.B.; Van Koten, C. Earthworm induced transfer of dung-carbon into soil particle size fractions. N. Zeal. J. Agric. Res. 2020, 63, 551–558. [Google Scholar] [CrossRef]
- Six, J.; Bossuyt, H.; Degryze, S.; Denef, K.A. History of research on the link between (micro) aggregates, soil biota, and soil organic matter dynamics. Soil Tillage Res. 2004, 79, 7–31. [Google Scholar] [CrossRef]
- Singh, A.; Singh, G.S. Is earthworm a protagonist or an antagonist in greenhouse gas (GHG) emissions from the soil? Int. J. Environ. Sci. Technol. 2019, 16, 1145–1158. [Google Scholar] [CrossRef]
- Zhao, Y.; Zhang, Y.; Ge, Z.; Hu, C.; Zhang, H. Effects of influent C/N ratios on wastewater nutrient removal and simultaneous greenhouse gas emission from the combinations of vertical subsurface flow constructed wetlands and earthworm ecofilters for treating synthetic wastewater. Environ. Sci. Process. Impacts 2014, 16, 567–575. [Google Scholar] [CrossRef]
- Huang, W.; Zhao, Y.; Wu, J.; Zhang, J.; Zheng, Z. Effects of different influent C/N ratios on the performance of various earthworm eco-filter systems: Nutrient removal and greenhouse gas emission. World J. Microbiol. Biotechnol. 2014, 30, 109–118. [Google Scholar] [CrossRef] [PubMed]
- Gutiérrez, V.; Gómez, G.; Rodríguez, D.; Vidal, G. Heterotrophic activity in the active layer of a vermifilter used for sewage treatment: Effects of worm density and seasonality. J. Environ. Chem. Eng. 2025, 13, 117639. [Google Scholar] [CrossRef]
- Arora, S.; Kazmi, A.A. The effect of seasonal temperature on pathogen removal efficacy of vermifilter for wastewater treatment. Water Res. 2015, 74, 88–99. [Google Scholar] [CrossRef]
- Sharma, P.K.; Takashi, I.; Kato, K.; Ietsugu, H.; Tomita, K.; Nagasawa, T. Effects of load fluctuations on treatment potential of a hybrid sub-surface flow constructed wetland treating milking parlor wastewater. Ecol. Eng. 2013, 57, 216–225. [Google Scholar] [CrossRef]
- Valkova, T.; Parravicini, V.; Saracevic, E.; Tauber, J.; Svardal, K.; Krampe, J. A method to estimate the direct nitrous oxide emissions of municipal wastewater treatment plants based on the degree of nitrogen removal. J. Environ. Manag. 2021, 279, 111563. [Google Scholar] [CrossRef]
- Sieranen, M.; Hilander, H.; Haimi, H.; Larsson, T.; Kuokkanen, A.; Mikola, A. Seasonality of nitrous oxide emissions at six full-scale wastewater treatment plants. Water Sci. Technol. 2024, 89, 603–612. [Google Scholar] [CrossRef]
- Chicaiza, C.; Huaraca, L.; Almeida-Naranjo, C.E.; Guerrero, V.H.; Villamar, C.A. Improvement of organic matter and nutrient removal from domestic wastewater by using intermittent hydraulic rates on earthworm–microorganism biofilters. Water Sci. Technol. 2020, 2, 281–291. [Google Scholar] [CrossRef]
- Tahar, A.; Feighan, J.; Hannon, L.; Clifford, E. Optimization of operational conditions and performances of pilot scale lumbrifiltration for real raw municipal wastewater treatment. Environ. Sci. Pollut. Res. 2022, 22, 32717–32731. [Google Scholar] [CrossRef]
- Smith, K.A.; Ball, T.; Conen, F.; Dobbie, K.E.; Massheder, J.; Rey, A. Exchange of greenhouse gases between soil and atmosphere: Interactions of soil physical factors and biological processes. Eur. J. Soil Sci. 2018, 69, 10–20. [Google Scholar] [CrossRef]
- McAuliffe, C. Gas chromatographic determination of solutes by multiple phase equilibrium. Chem. Technol. 1971, 1, 46–51. [Google Scholar]
- Were, D.; Kansiime, F.; Fetahi, T.; Hein, T. Carbon dioxide and methane fluxes from various vegetation communities of a natural tropical freshwater wetland in different seasons. Environ. Process. 2021, 8, 553–571. [Google Scholar] [CrossRef]
- Ross, B.N.; Lancellotti, B.V.; Brannon, E.Q.; Loomis, G.W.; Amador, J.A. Greenhouse gas emissions from advanced nitrogen-removal onsite wastewater treatment systems. Sci. Total Environ. 2020, 737, 140399. [Google Scholar] [CrossRef]
- APHA. Standard Methods for the Examination of Water and Wastewater; American Public Health Association: Washington, DC, USA, 2022. [Google Scholar]
- Wang, L.; Zheng, Z.; Luo, X.; Zhang, J. Performance and mechanisms of a microbial earthworm ecofilter for removing organic matter and nitrogen from synthetic domestic wastewater. J. Hazard. Mater. 2011, 195, 245–253. [Google Scholar] [CrossRef]
- Kumar, T.; Rajpal, A.; Arora, S.; Bhargava, R.; Hari Prasad, K.S.; Kazmi, A.A. A comparative study on vermifiltration using epigeic earthworm Eisenia fetida and Eudrilus eugeniae. Desalin. Water Treat. 2016, 57, 6347–6354. [Google Scholar] [CrossRef]
- Adugna, A.T.; Andrianisa, H.A.; Konate, Y.; Maiga, A.H. Fate of filter materials and microbial communities during vermifiltration process. J. Environ. Manag. 2019, 242, 98–105. [Google Scholar] [CrossRef]
- Miito, G.J.; Ndegwa, P.M.; Alege, F.P.; Coulibaly, S.S.; Harrison, J. Efficacy of a vermifilter at mitigating greenhouse gases and ammonia emissions from dairy wastewater. J. Environ. Qual. 2022, 51, 644–655. [Google Scholar] [CrossRef] [PubMed]
- Carrillo, V.; Collins, C.; Brisson, J.; Vidal, G. Evaluation of long-term phosphorus uptake by Schoenoplectus californicus and Phragmites australis plants in pilot-scale constructed wetlands. Int. J. Phytoremediat. 2021, 24, 610–621. [Google Scholar] [CrossRef]
- Leiva, A.M.; Gutierrez, E.; Arias, C.A.; Vidal, G. Influence of water quality parameters on the removal of triclosan and ibuprofen in vertical subsurface flow constructed wetlands using multivariate analysis. Environ. Technol. Innov. 2021, 24, 101846. [Google Scholar] [CrossRef]
- Pan, T.; Zhu, X.D.; Ye, Y.P. Estimate of life-cycle greenhouse gas emissions from a vertical subsurface flow constructed wetland and conventional wastewater treatment plants: A case study in China. Ecol. Eng. 2011, 37, 248–254. [Google Scholar] [CrossRef]
- Wang, B.; Li, H.; Du, X.; Cai, Y.; Peng, J.; Zhang, S.; Liu, F. Characteristics of greenhouse gas emissions from constructed wetlands vegetated with Myriophyllum aquatic: The effects of influent C/N ratio and microbial responses. Water 2024, 16, 308. [Google Scholar] [CrossRef]
- Lai, E.; Hess, M.; Mitloehner, F.M. Profiling of the microbiome associated with nitrogen removal during vermifiltration of wastewater from a commercial dairy. Front. Microbiol. 2018, 9, 1964. [Google Scholar] [CrossRef]
- Arias-Navarro, M.; Villen-Guzman, M.; Perez-Recuerda, R.; Rodriguez-Maroto, J.M. The use of respirometry as a tool for the diagnosis of wastewater treatment plants. A real case study in Southern Spain. J. Water. Process. Eng. 2019, 29, 100791. [Google Scholar] [CrossRef]
- Wang, J.; Tang, X.; Liu, Y.; Xie, B.; Li, G.; Liang, H. Self-sustained ultrafiltration coupling vermifiltration for decentralized domestic wastewater treatment: Microbial community and mechanism. Resour. Conserv. Recycl. 2022, 177, 106008. [Google Scholar] [CrossRef]
- Szögi, A.A.; Hunt, P.G.; Sadler, E.J.; Evans, D.E. Characterization of oxidation-reduction processes in constructed wetlands for swine wastewater treatment. Appl. Eng. Agric. 2004, 20, 189–200. [Google Scholar] [CrossRef]
- Wang, X.; Bai, J.; Tian, Y.; Wang, T.; Zhou, X.; Zhang, C. Synergistic effects of natural ventilation and animal disturbance on oxygen transfer, pollutants removal and microbial activity in constructed wetlands. Chemosphere 2021, 283, 131175. [Google Scholar] [CrossRef] [PubMed]
- Lopez, D.; Sepulveda-Mardones, M.; Ruiz-Tagle, N.; Sossa, K.; Uggetti, E.; Vidal, G. Potential methane production and molecular characterization of bacterial and archaeal communities in a horizontal subsurface flow constructed wetland under cold and warm seasons. Sci. Total Environ. 2019, 648, 1042–1051. [Google Scholar] [CrossRef]
- Thauer, R.K. Functionalization of methane in anaerobic microorganisms. Angew. Chem.-Int. Edit. 2010, 49, 6712–6713. [Google Scholar] [CrossRef] [PubMed]
- Singh, R.; D’Alessio, M.; Jahangeer; Meneses, Y.; Bartelt-Hunt, S.; Ray, C. Nitrogen removal in vermifiltration: Mechanisms, influencing factors, and future research needs. J. Environ. Manag. 2021, 281, 111868. [Google Scholar] [CrossRef]
- Law, Y.; Ye, L.; Pan, Y.; Yuan, Z. Nitrous oxide emissions from wastewater treatment processes. Phil. Trans. Biol. Sci. 2012, 367, 1265–1277. [Google Scholar] [CrossRef]
- Kampschreur, M.J.; Temmink, H.; Kleerebezem, R.; Jetten, M.S.M.; Van Loosdrecht, M.C.M. Nitrous oxide emission during wastewater treatment. Water Res. 2009, 43, 4093–4103. [Google Scholar] [CrossRef]
- Arora, S.; Rajpal, A.; Kazmi, A.A. Antimicrobial activity of bacterial community for removal of pathogens during vermifiltration. J. Environ. Eng. 2016, 142, 1–10. [Google Scholar] [CrossRef]
- Lourenço, N.; Nunes, L.M. Is filter packing important in a small-scale vermifiltration process of urban wastewater? Int. J. Environ. Sci. Technol. 2017, 14, 2411–2422. [Google Scholar] [CrossRef]
- Chowdhury, S.D.; Bhunia, P. Simultaneous carbon and nitrogen removal from domestic wastewater using high rate vermifilter. Indian J. Microbiol. 2021, 61, 218–228. [Google Scholar] [CrossRef] [PubMed]
- Li, X.; Xing, M.; Yang, J.; Lu, Y. Properties of biofilm in a vermifiltration system for domestic wastewater sludge stabilization. J. Chem. Eng. 2013, 223, 932–943. [Google Scholar] [CrossRef]
- Tejedor, J.; Cóndor, V.; Almeida-Naranjo, C.E.; Guerrero, V.H.; Villamar, C.A. Performance of wood chips/peanut shells biofilters used to remove organic matter from domestic wastewater. Sci. Total Environ. 2020, 738, 139589. [Google Scholar] [CrossRef]
- Singh, A.; Karmegam, N.; Singh, G.S.; Bhadauria, T.; Chang, S.W.; Awasthi, M.K.; Sudhakar, S.; Arunachalam, K.D.; Biruntha, M.; Ravindran, B. Earthworms and vermicompost: An eco-friendly approach for repaying nature’s debt. Environ. Geochem. Health 2020, 42, 1617–1642. [Google Scholar] [CrossRef]
- Pous, N.; Barcelona, A.; Sbardella, L.; Gili, O.; Hidalgo, M.; Colomer, J.; Serra, T.; Salvadó, V. Vermifilter and zooplankton-based reactor integration as a nature-based system for wastewater treatment and reuse. Case Stud. Chem. Environ. Eng. 2021, 4, 100153. [Google Scholar] [CrossRef]
- Vera, I.; Saez, K.; Vidal, G. Performance of 14 full-scale sewage treatment plants: Comparison between four aerobic technologies regarding effluent quality, sludge production and energy consumption. Environ. Technol. 2013, 34, 2267–2275. [Google Scholar] [CrossRef]
- Clarke, W.P.; Taylor, M.; Cossins, R. Evaluation by respirometry of the loading capacity of a high rate vermicompost bed for treating sewage sludge. Bioresour. Technol. 2007, 98, 2611–2618. [Google Scholar] [CrossRef]
- Singh, R.; Samal, K.; Dash, R.R.; Bhunia, P. Vermifiltration as a sustainable natural treatment technology for the treatment and reuse of wastewater: A review. J. Environ. Manag. 2019, 247, 140–151. [Google Scholar] [CrossRef]
- Singh, R.; Bhunia, P.; Dash, R.R. A mechanistic review on vermifiltration of wastewater: Design, operation and performance. J. Environ. Manag. 2017, 197, 656–672. [Google Scholar] [CrossRef] [PubMed]
- Kim, S.H.; Cho, J.S.; Park, J.H.; Heo, J.S.; Ok, Y.S.; Delaune, R.D.; Seo, D.C. Long-term performance of vertical-flow and horizontal flow constructed wetlands as affected by season, N load, and operating stage for treating nitrogen from domestic sewage. Environ. Sci. Pollut. Res. 2016, 23, 1108–1119. [Google Scholar] [CrossRef] [PubMed]
- Gagnon, V.; Chazarenc, F.; Comeau, Y.; Brisson, J. Influence of macrophyte species on microbial density and activity in constructed wetlands. Water Sci. Technol. 2007, 56, 249–254. [Google Scholar] [CrossRef] [PubMed]
- Kumar, T.; Hari Prasad, K.S.; Singh, N.K. Substrate removal kinetics and performance assessment of a vermifilter bioreactor under organic shock load conditions. Water Sci. Technol. 2016, 74, 1177–1184. [Google Scholar] [CrossRef]
- Fierer, N.; Jackson, J.A.; Vilgalys, R.; Jackson, R.B. Assessment of soil microbial community structure by use of taxon-specific quantitative PCR assays. Appl. Environ. Microbiol. 2005, 71, 4117–4120. [Google Scholar] [CrossRef]




| Season | kgCO2/COD Removed | kgCH4/COD Removed | kgN2O/TN Removed |
|---|---|---|---|
| Fall–Winter | 1.3·10−1 | 2.3·10−5 | 2.0·10−2 |
| Spring–Summer | 3.1·10−1 | 2.4·10−4 | 6.2·10−3 |
| Type | Name | Emissions (kgCO2 eq/cap·y) | Reference | |||
|---|---|---|---|---|---|---|
| CO2 | N2O | CH4 | Total | |||
| Conventional | AO | 14.6 | 3.3 | 64.2 | 82.1 | [37] |
| ANS | 30.1 | 36.0 | 56.5 | 122.6 | [8] | |
| AS | 30.3 | 36.7 | 12.5 | 79.5 | [8] | |
| A2O | 18.0 | 2.0 | 48.2 | 67.9 | [45] | |
| Non-conventional | CW | 1.4 | 5.5 | 13.3 | 20.2 | [45] |
| CW | 26.0 | 3.7 | 45.9 | 75.5 | [46] * | |
| STU | 6.3 | 0.9 | 2.8 | 10.0 | [9] | |
| SSTU | −2.8 | 0.6 | 2.7 | 3.3 | [9] | |
| VF | 0.8 | 9.5 | 0.5 | 10.8 | [25] * | |
| VF | 0.6 | - | 0.5 | 1.1 | [26] * | |
| VF | 7.5 | 5.7 | 0.1 | 13.1 | This study | |
| Parameter | Unit | Period | |||
|---|---|---|---|---|---|
| II-48 Months | III-0 Months | III-2 Months | III-8 Months | ||
| TOC | kg | 17.138 | 23.074 | 22.364 | 20.482 |
| TN | kg | 835 | 84 | 217 | 534 |
| NH4+-N | kg | 0.8 | 0.5 | 13 | 8 |
| NO3−-N | kg | 41 | 0.1 | 12 | 12 |
| N-org | kg | 793 | 83 | 192 | 514 |
| C/N | - | 21.9 | 243.5 | 109.1 | 38.9 |
| Parameter | Unit | Period | ||
|---|---|---|---|---|
| I | II | III * | ||
| Organic matter | ||||
| Influent TOC | kg/d | 29.2 ± 3.5 | 24.7 ± 4.1 | 22.6 ± 6.8 |
| Effluent TOC | kg/d | 9.7 ± 2.3 | 10.7 ± 2.7 | 4.6 ± 2.8 |
| Storage TOC | kg/d | 13.2 ± 3.6 | 10.0 ± 5.0 | 13.8 ± 5.8 |
| % | 45% | 40% | 61% | |
| C-CO2 | kg/d | 6.3 | 4.0 | 4.2 |
| Nitrogen | ||||
| Influent TN | kg/d | 17.8 ± 5.1 | 11.6 ± 2.3 | 17.0 ± 3.4 |
| Effluent TN | kg/d | 9.3 ± 1.7 | 7.2 ± 2.1 | 10.6 ± 5.4 |
| Storage TN | kg/d | 8.4 ± 4.5 | 4.3± 1.1 | 6.3 ± 2.7 |
| % | 47.4 | 37.2 | 37.1 | |
| N-N2O | kg/d | 8.0·10−2 | 4.0·10−2 | 5.2·10−2 |
Disclaimer/Publisher’s Note: The statements, opinions and data contained in all publications are solely those of the individual author(s) and contributor(s) and not of MDPI and/or the editor(s). MDPI and/or the editor(s) disclaim responsibility for any injury to people or property resulting from any ideas, methods, instructions or products referred to in the content. |
© 2025 by the authors. Licensee MDPI, Basel, Switzerland. This article is an open access article distributed under the terms and conditions of the Creative Commons Attribution (CC BY) license (https://creativecommons.org/licenses/by/4.0/).
Share and Cite
Gutiérrez, V.; Gómez, G.; Vidal, G. Greenhouse Gas Emissions from a Full-Scale Vermifilter for Sewage Treatment: Effects of Seasonality and Sewage Parameters. Sustainability 2025, 17, 9923. https://doi.org/10.3390/su17229923
Gutiérrez V, Gómez G, Vidal G. Greenhouse Gas Emissions from a Full-Scale Vermifilter for Sewage Treatment: Effects of Seasonality and Sewage Parameters. Sustainability. 2025; 17(22):9923. https://doi.org/10.3390/su17229923
Chicago/Turabian StyleGutiérrez, Victor, Gloria Gómez, and Gladys Vidal. 2025. "Greenhouse Gas Emissions from a Full-Scale Vermifilter for Sewage Treatment: Effects of Seasonality and Sewage Parameters" Sustainability 17, no. 22: 9923. https://doi.org/10.3390/su17229923
APA StyleGutiérrez, V., Gómez, G., & Vidal, G. (2025). Greenhouse Gas Emissions from a Full-Scale Vermifilter for Sewage Treatment: Effects of Seasonality and Sewage Parameters. Sustainability, 17(22), 9923. https://doi.org/10.3390/su17229923

