Next Article in Journal
Oil Prices, Financial Development, and Urbanization in the Renewable Energy Transition: Empirical Evidence from E-10 Countries
Previous Article in Journal
Social Norms and Sustainable Behavior: A Conceptual Model Integrating Culture, Self-Construal, and Awareness
 
 
Font Type:
Arial Georgia Verdana
Font Size:
Aa Aa Aa
Line Spacing:
Column Width:
Background:
Article

Economic Sustainability of Selected Individual On-Site Systems of Rural Sanitation Under Conditions in Poland

by
Marcin K. Widomski
* and
Anna Musz-Pomorska
Faculty of Environmental Engineering and Energy, Lublin University of Technology, ul. Nadbystrzycka 40B, 20-618 Lublin, Poland
*
Author to whom correspondence should be addressed.
Sustainability 2025, 17(22), 10241; https://doi.org/10.3390/su172210241
Submission received: 6 October 2025 / Revised: 10 November 2025 / Accepted: 14 November 2025 / Published: 16 November 2025
(This article belongs to the Section Economic and Business Aspects of Sustainability)

Abstract

The sustainability of rural areas depends on effective wastewater management to reduce human impact on the environment, including the risk of pollution to surface water, groundwater, and soil from human waste. However, organized sanitation systems, which include pipeline networks and wastewater treatment plants in rural communities with low population densities, often have very low profitability and cost-efficiency, which greatly reduces their acceptance and residents’ willingness to pay. This study examines the economic profitability and cost-efficiency of selected on-site household sewage collection and treatment systems operating under real economic conditions in Poland. An evaluation was conducted on seven contemporary models of individual bioreactors, as well as a standard anaerobic septic tank equipped with drainage filters. Additionally, all options were tested on permeable and poorly permeable soils. For each variant, investment costs, as well as operation and maintenance expenses, were calculated. Financial evaluation utilized indicators of economic profitability and cost-efficiency, including the Payback Period, Net Present Value, Benefits–Cost Ratio, and Dynamic Generation Costs. The potential financial benefits included savings from avoiding the use of holding septic tanks and sewage transport by slurry wagons. All the studied designs of on-site sanitary sewage management showed significant economic feasibility and cost-efficiency.

1. Introduction

The sustainable development of rural areas requires the availability of unpolluted surface water, groundwater resources, and clean arable soil [1,2,3,4,5,6]. Thus, limited freshwater resources, endangered by climate change and anthropogenic pressure, should be treated as one of the most important concerns for rural societies. Generally, the negative impacts of rural populations on the availability of clean water are mainly related to agricultural activity, as well as waste and excrement management [7,8,9,10,11,12], allowing possible point or area pollutant migration. The problem of sewage disposal and treatment in urban areas may be solved by collective sewage treatment plants. However, in the case of rural settlements, the construction of collective sewage collection and treatment systems poses a significant problem and challenge for municipalities [13,14,15]. Thus, a significant amount of the sewage generated in rural areas is illegally discharged into the environment without prior treatment, which negatively affects the quality of surface and underground waters. According to the current report of the Polish Geological National Research Institute [16], 28.2% of the tested rural groundwater monitoring points presented unsatisfactory or bad quality of water, class IV and V of water quality according to the legal regulations in Poland [17]. The disorganized water and sanitary sewage management, and the insufficient isolation of the groundwater table from the infiltrating surface water, were recognized as some of the main reasons for groundwater pollution in rural areas of Poland [18]. Similar observations have been reported in other countries around the world [19,20,21,22,23,24].
According to estimates, by 2030, over 22 million inhabitants of Central and Eastern Europe will not be connected to centralized sewage treatment plants and sewage systems [9]. Therefore, limiting the possibility of contamination of soils, surface waters, and groundwater by untreated sanitary sewage is crucial for the sustainability of rural areas [11,25,26,27,28,29,30]. Hence, it seems necessary to develop sustainable wastewater management systems, primarily small, decentralized wastewater treatment plants, ensuring as high a degree of purification as possible [31,32,33,34]. Moreover, in many regions of the world, the clear and visible disparities between access to water and sanitation in urban and rural areas have been observed [26,35,36,37,38,39,40].
Currently, centralized sanitation in rural areas of Poland, which cover over 50% of the country’s territory and are inhabited by approximately 15,300,000 people, is underdeveloped. Despite noticeable improvements in water supply and sewage systems described in [35,41,42,43,44,45,46], government data [47] show that 86.4% of rural residents in Poland are connected to centralized water supply networks, while only 45.4% are connected to sewage systems. The remaining rural population relies on periodically emptied holding septic tanks and household sewage treatment plants. In 2023, there were 3001 active collective sewage treatment plants with a capacity of 2,090,661 m3 annually, along with 335,765 individual household sewage treatment plants. For comparison, in 2023, 96.8% of urban residents were connected to water supply networks and 91.0% to sewage networks. In the Lublin Voivodeship, one of the less developed regions in Poland and the European Union [35], only 24.4% of the rural population was connected to organized sewage disposal systems in 2023 [47].
The construction of centralized sewage systems and sewage treatment plants in rural areas with low population density, large dispersion, small amounts of sewage produced, and difficult topography often poses major technical and economic problems [14,48,49,50,51,52,53,54,55]. The application of gravity sewage disposal systems in areas with dispersed development is very often associated with a significant pipe recess and the need for frequent pipeline flushing, which negatively affects the costs of network construction (due to the significant volume of earthworks required) as well as operation and maintenance. However, the use of pressurized systems requires an uninterrupted energy supply and regular maintenance. As frequently reported, the construction of collective wastewater transport and treatment systems is often unprofitable or even impossible for rural communities without external financing, e.g., in the form of EU subsidies [13,56,57,58,59]. A significant limitation in the construction of centralized sewage systems is also related to social acceptance, the involvement of residents in the construction, and the willingness to pay the regular sewage fees [60,61,62,63,64,65]. The social acceptance and willingness to sustain the costs of sewage disposal are influenced by the income of the population, awareness, fears, the value of water and sewage services payments, satisfaction with the current sanitary service, age, gender, and level of education [13,56,61,65,66,67,68].
For many rural communities in Poland and other EU countries, the only solution for sewage disposal is individual on-site household systems, including septic tanks and household sewage treatment plants [69,70]. The available sources, for example [10,62,71,72,73,74], show that septic tanks do not provide wastewater treatment, only retention. Therefore, sewage requires frequent transport to collective wastewater treatment plants, which significantly increases the operational costs of such facilities [75,76,77,78,79,80]. Moreover, due to frequent leakages, holding septic tanks are a common source of pollution for surface water, groundwater, and soil [49,81,82,83,84,85]. Despite the many disadvantages of this solution, septic tanks are still the main devices for sewage management in rural areas in Poland [11]. The construction of household sewage treatment plants enables the treatment of sanitary sewage, which is discharged into water or to the soil following the treatment [62]. The choice of the appropriate technological solution is determined by the amount and source of wastewater, local soil and water conditions, the available size of the plot, and the investment and operating costs [86,87,88,89]. Researchers from European countries have confirmed that the use of modern, decentralized wastewater treatment systems can be a more sustainable option from both environmental and economic perspectives [90,91,92]. In centralized wastewater management, approximately 80–90% of the total costs are related to wastewater transport, and only 10–20% are related to the treatment process. The results of the research conducted by Zhang et al. [80], using economic analysis and life cycle assessment of three selected decentralized wastewater treatment systems, confirmed that the main advantage of decentralized wastewater treatment plants is lower capital expenditure resulting from the lack of the need to build an extensive sewer network.
Several types of household sewage treatment plants are available in the market [93,94,95,96,97,98,99]. The simplest devices include sewage anaerobic tanks with infiltration drainage, a sand filter, and soil–plant treatment plants, in which the sewage is pre-treated in the settling tank and the main treatment processes occur during infiltration into the soil. In accordance with the binding Polish law [88], sewage can be discharged into the soil provided that the distance of 1.5 m from the groundwater table is maintained and the values of two basic indicators, i.e., biochemical oxygen demand (BOD5) and total suspended solids, are reduced by 20% and 50%, respectively. Nowadays, the requirements for household sewage treatment plants in Poland are definitely lower than the requirements for sewage treatment plants serving a larger number of inhabitants [88]. For example, according to the Polish guidelines, for treatment plants with a population equivalent of less than 2000, the permissible values of pollutants are BOD5—40 mg O2/dm3, chemical oxygen demand (COD)—150 mg O2/dm3, suspended solids 50 mg/dm3, total nitrogen—30 mg N/dm3, and total phosphorus—5 mg P/dm3 [88]. However, in the case of larger agglomerations, for wastewater treatment plants with an equivalent population of over 100,000, a higher degree of pollution reduction is required, at a minimum level of BOD5—90%, COD—75%, total suspended solids—90%, total nitrogen—70-80%, and total phosphorus—80%.
Many authors [9,14,40,43,62,65] have indicated that sewage treatment plants, in which the main treatment processes take place during the infiltration of pre-treated sewage in the settling tank, pose a serious threat to the quality of surface and underground waters. Therefore, drainage systems should not be used as independent systems for wastewater treatment, but only for the discharge of biologically treated sewage. In addition, in such cases, it is hardly possible to monitor the processes taking place in the sewage discharged into the ground, so it is difficult to determine whether the treatment meets the applicable standards. The above may be extremely important in light of the currently implemented EU directive on wastewater treatment [100], according to which individual systems in settlements with a population equivalent above 1000, ensuring the same level of treatment as the secondary and tertiary treatments in collective systems, should be monitored and controlled at regular intervals.
More advanced devices for on-site sewage management include household treatment plants with activated sludge and trickling filters, using sequencing batch reactor (SBR) technology, in which the main treatment processes take place inside the tank volume and the drainage is only used to discharge the treated water into the ground. According to the available manufacturers’ data [93,94,95,96,97,98,99] and the literature, these devices ensure a high degree of pollution reduction, meeting the requirements set out in the regulation for treatment plants with a population equivalent of 2000 to 9999 [88]. Among these devices, objects of a very simple structure can be distinguished, in which all processes take place in single-chamber tanks, as well as more complex ones, in which separate chambers are used. The efficiency of wastewater treatment depends on the continuity of sewage inflow to the tank, systematic control of pumping systems, oxygenation, and continuity of electricity supply [9,32,33,62,101]. Research findings have indicated that modern decentralized wastewater treatment systems offer several advantages over their centralized counterparts. These solutions are characterized by flexibility, economic- and cost-effectiveness, and sustainable development [102,103]. Thus, it is visible that meeting the principles of sustainable development of rural settlements in regions of low population density, where collective organized sanitation is unavailable or would be unprofitable, and would not find social acceptance or willingness to pay, requires economically and environmentally efficient on-site sanitation. Previous studies have indicated the economic and cost-efficiency advantages of selected decentralized wastewater treatment systems. However, these studies are local in nature and usually cover a limited number of designs, providing possible applications without considering the diverse soil conditions. Thus, there is a need for a study covering the economic aspects of numerous available individual on-site sanitation systems that allow for a high degree of sanitary wastewater treatment under different local soil conditions and allow for a comparison of their economic feasibility and cost-efficiency to the most popular management manner, that is, septic tank and sewage transport by sanitary vehicles. Economic analysis of selected technological solutions can be a useful tool for supporting decision-making and the development of rural areas, thus increasing the sustainability and cost-effectiveness of wastewater infrastructure [74,80,92].
To fill this gap, we present a study aimed at determining the economic- and cost-effectiveness of several selected possible sustainable devices of on-site household individual sanitary sewage management for rural settlements under the actual economic conditions of Poland. Seven variants of up-to-date, technologically advanced domestic wastewater treatment devices allowing a high degree of pollutant reduction, based on reactors with aerated active sludge and trickling filters, were considered. The eighth variant covered the standard anaerobic septic tank equipped with drainage pipes and an infiltration layer, for which anaerobic treatment is being performed in the tank, and later the sewage is treated inside the infiltration layer and in the soil. For each variant, the investment installation costs as well as the operation and maintenance (O&M) costs were determined.

2. Materials and Methods

2.1. Object Description

A single-family house with four residents located in an area without connection to the organized municipal sanitary wastewater network was included in the conducted study. The mean daily water consumption and sewage discharge were assumed to be 90 dm3/(day∙resident) according to the binding legal standards in Poland [104]. Thus, the mean annual volume of generated sanitary sewage was assumed to be 116.80 m3. All studied individual on-site wastewater treatment plants were connected to the domestic sewage installation by a 160 mm PVC pipe of 10 m length.

2.2. Studied Variants

The assumed variants, together with the estimated investment and O&M costs, are presented in Table 1 and Figure 1. For each variant, the materials (tanks, pipes, aerating devices), workload, earthworks, energy consumption, and services were included in the cost estimations [13,22,105]. In the medium and long terms of the life cycle, costs such as hardware replacement, system modernization, and potential failure repairs were considered. Detailed data on O&M costs are presented in Table S1. All the developed variants were based on the actually market-available devices as well as their purchase and installation costs [93,94,95,96,97,98,99,106,107,108]. All the prices used in this paper were based directly on market offers in Polish zloty (PLN) and converted to Euro using the mean currency EUR 1 = PLN 4.3 (May 2025).
Each tested variant of on-site sewage treatment was combined with two possible drainage devices, drainage pipes or drainage packages, for two types of soils, permeable and poorly permeable, with the threshold value of coefficient of saturated hydraulic conductivity Ks = 1∙10−5–10−6 m/s. [109]. Based on the assumed soil type, the infiltration devices were designed to be installed in excavations (permeable soil) and embankments (poorly permeable). Thus, the following combinations were considered: a—drainage pipes in excavation, b—drainage pipes in embankment, c—drainage packages in excavation, and d—drainage packages in embankment. The proposed infiltration devices for both types of soils are presented in Figure 2.
The required design of a holding septic tank for further comparative analyses covered a 10 m3 volume concrete tank with the length, width, and height of 3.0 m, 2.4 m, and 1.8 m, respectively, with a 10 m of 160 mm PVC sewage connection. The required volume of earthworks was 35.72 m3, while sewage transport by slurry wagon to the wastewater treatment plant was designed as once a month. The assumed investment costs of a septic tank were EUR 1079.40, while the annual O&M, covering mainly sewage transport each month by at least 10 m3 slurry wagon, were assumed to be EUR 1172.09 [110,111].
Table 1 shows that the mean annual O&M costs for Variant No. 8 are different for each assumed infiltration device, which is related to the required exchange of infiltration drainage gravel/sand–gravel layer, working as a trickling filter, after approximately 15 years of operation [112].
Table 2 presents the declared values of pollutant concentration reduction for all studied variants of on-site sewage management. According to the presented data, all the proposals met the legal requirements concerning the reduction in pollutant concentrations in water introduced to soil after the sewage treatment in Poland for agglomerations with an equivalent number of inhabitants below 2000 [88]. Variants 1–7 also met the pollution reduction requirements for large agglomerations, for which a higher degree of reduction is required. Only Variant 8, a septic tank with infiltration drainage, if installed in an agglomeration with an equivalent population of over 2000, would not ensure an adequate degree of total suspended solids reduction.
Drainage pipes for all the studied variants of on-site WWTP were designed as 20 m 110 mm PVC, with an inspection chamber and a ventilation pipe. The drainage layer consisted of 10 m3 of gravel, 25 m3 of sand–gravel aggregate, and 25 m2 of geotextile. The excavation volume for permeable soils was assumed to be 57.3 m3. In the case of drainage pipe application on poorly permeable soils, the embankment earthworks were assumed to be 32.5 m3. Additionally, the wastewater pumping station with a Uniqua Cesspit J10P sewage pump with power consumption of 300 kWh/year was designed. Only in the case of the traditional septic tank, without aeration and a trickling filter, combined with the infiltration layer, the required length of 110 mm PVC drainage pipes was longer and was assumed as 45 m. In this case, the filtration layer consisted of 25.6 m3 of gravel, 64 m3 of sand–gravel aggregates, and 64 m2 of geotextiles, with a drainage earthworks volume of 140.8 m3. The number of drainage packages for this variant was increased to 16, which increased the size of the drainage filter and the volume of earthworks.
Drainage packages were designed as 8 PVC modules with dimensions of 1.16 m (length) × 0.8 m (width) × 0.51 m (height) [96] with an inspection chamber and ventilation pipe. In this case, the drainage layer consisted of 5 m3 of gravel, 12.5 m3 of sand–gravel aggregate, and 12.5 m2 of geotextile. The earthworks volume for excavation was assumed to be 33.12 m3. For the application of drainage packages in poorly permeable soils, a wastewater pumping station with a Uniqua Cesspit J10P sewage pump with a power consumption of 300 kWh/year was designed.

2.3. Economic Profitability and Cost-Efficiency Analysis

The assessment of economic feasibility and cost-efficiency of the tested on-site sanitation variants was based on four popular indicators. Economic profitability was determined using a single indicator, Payback Period, and two dynamic indicators: Net Present Value (NPV) and Benefits–Costs Ratio (BCR) [113,114,115,116,117,118]. The used indicators were calculated as follows:
P P = I C N C F
where PP—Payback Period, years, IC—initial investment costs (Euro), and NCF—net cash flow (Euro/year).
N P V = t = 0 N N C F t ( 1 + i ) t
where NCFt—net cash flow for t year of investment operation (Euro), N—total number of periods (years), and i—discount rate (%).
B C R = P V b P V c
where PVb—present value of investment benefits (Euro), and PVc—present value of investment costs (Euro).
P V b = t = 0 N C F b t ( 1 + i ) t
P V c = t = 0 N C T c t ( 1 + i ) t
where CFbt—benefits cash flow for a t period (Euro), and CFct—costs cash flow for a t period (Euro).
The Payback Period indicator determines the time necessary to recoup funds spent on the investment due to the income or savings possible during its operation. PP is a simple and easily understandable indicator (the shorter the PP, the more profitable the investment), showing the ratio of possible inflows to spent investments. However, it has one important disadvantage: it ignores the time-related value of money [115,119,120].
The Net Present Value indicator presents the total sum of discounted cash flows, covering incomes and expenditures, during the assumed period of assessment, including the investment capital costs [115,118,121,122]. The profitable investment is characterized by NPV > 0 (or eventually equal to zero for the neutral investment).
BCR, presenting the ratio of discounted incomes (or savings) to discounted costs, is a very sound and easy-to-understand indicator of investment profitability. In the case of the investment bringing no profits, the BCR value is lower than 1.0. While the investment with a determined BCR > 1.0 is profitable, it should be assessed positively.
The assessment of the cost-efficiency of studied variants of on-site sustainable sanitation for rural settlements was based on the popular Dynamic Generation Cost (DGC) indicator [123,124,125]:
D G C = p E E = 0 t = n I C t + E C t 1 + i t 0 t = n E E t 1 + i t
where ICt—annual investment costs in given year (Euro); ECt—annual operation and maintenance costs in given year (Euro); t—year of investment time duration, from 0 to n, where n is the last assessed year of investment activity (year); i—discount rate (%), pEE—price of the ecological unit effect of the investment (Euro/m−3); and EEt—annual ecological unit in given year (m3).
The DGC indicator determines the cost of the ecological effect of the investment, taking into account investment and O&M costs. In this study, DGC describes the cost of the ecological unit effect, which was one cubic meter of treated domestic sewage. The application of DGC is relatively simple: the more financially effective the method is, the lower the value of the determined indicator.
The following input data were assumed for conducting economic feasibility and cost-efficiency calculations for the proposed manners of on-site sewage treatment for rural settlements: (i) time duration 30 years, according to [126,127]; (ii) discount rate of 5% (based on the similar projects adjusted to the actual economic situation in the region and object of analysis [13,60,128,129,130]); (iii) mean annual volume of sanitary sewage 116.80 m3/year; (iv) annual price of sewage transport by 10 m3 slurry wagon EUR 1172.09 based on available offers [110,111]. The annual benefits cash flow CFbt, required for NPV and BCR calculations, was assumed as savings possible due to avoiding sewage transport payment from the septic tank to the wastewater treatment plant [22,124]. The value of possible savings was calculated as 10 m3 slurry wagon fee [110,111] multiplied by the number of transports per year, i.e., 12 times per year.

2.4. Sensitivity Analysis

To assess the possible changes in the results of the presented financial analysis affected by a variation in the assumed input data, sensitivity analysis was performed for the variable discount rate, commonly assumed as the most crucial variable highly influencing the results of the dynamic economic profitability and cost-efficiency indicators [131,132,133,134]. Thus, the determination of economic feasibility and cost-efficiency was repeated for changed values of the discount rate, with assumed values of i equal to 4% and 6%. Additionally, the following important factors affecting the financial aspects of on-site sanitary sewage management were also introduced to the performed sensitivity analysis: variable energy prices, time of operation, and mean unit cost of sewage and sludge transport to the municipal wastewater treatment plant [110,111,128,135]. The assumed set of input data for the sensitivity analysis, reflecting the historical variations in recent decades, is presented in Table 3.
The performed sensitivity analysis was based on the sensitivity coefficient (SC), determined according to the following formula [136,137]:
S C = X Y · Y m a x Y m i n X m a x X m i n
where X—initial value of parameter; Y—predicted output value for X input parameter; Xmax—maximal value of input parameter; Xmin—minimal value of input parameter; Ymax—predicted output value for Xmax input; Ymin—predicted output value for Xmin input.
The analysis of the sensitivity coefficient results is rather simple: the outcome value of SC equal to zero reflects no relation between changes in input parameters and changes in the output value. In contrast, SC values of −1.00 or 1.00 reflect the proportional linear relationship (decrease or increase) between changes in input parameters and changes in the outcome, that is, a 25% increase in input parameter results in a 25% decrease (for SC = −1.0) or increase (for SC = 1.00) in the determined output value during sensitivity analysis.

2.5. Weighted Sum Model

The weighted sum model (WSM) was selected to perform the final assessment of the proposed manners of on-site sewage management (Equation (8)). Two groups of criteria were selected: economic profitability (BCR) and cost-efficiency (DGC).
The assignment of weight factors for each studied criterion (see Table 4) was based on the authors’ previous experience, local conditions, and the literature studies [8,13,18,60,124,138,139,140,141,142]. In this study, greater emphasis was placed on economic feasibility issues as mainly affecting the applicability and social acceptance of on-site rural sanitation [7,22,121].
P C j = i = 1 n P I j i w j i
where PCj—performance value of j criterion; n—number of indicators included in the criterion; PIji—performance value of indicator in the criterion; wij—weight factor of the indicator in the criterion.
The performance values of the indicators in Equation (7) were based on the determined indicators of economic profitability and cost-efficiency. However, taking into account that an increase in profitability is related to an increase in BCR values, while an increase in cost-efficiency is reflected in a reduced DGC value, the inverse of the latter (i.e., 1/DGC) was calculated. Then, to directly calculate PC, the rescaling max normalization, for the sums of profitability and cost-efficiency indicators for each variant, was applied according to the following formula [143,144]:
P I = P I P I m a x
where PI’—the scaled normalized value; PI—the original value; PImax—the maximum performance value.

3. Results

Figure 3 presents the results of the Payback Period determination for all studied variants of on-site sewage management under the conditions of rural settlements without organized collective municipal sanitation. The presented PP values show that all proposed sewage management devices are characterized by a relatively short time of investment return in relation to the traditional septic tank and sewage transport by slurry wagon. The minimum determined time of Payback Period was equal to 2.85 years for Variant 8 and drainage packages in excavation located in permeable soils. The longest return time, 6.90 years, was observed for Variant 7 and drainage pipes in embankment in poorly permeable soils.
Generally, the shortest determined PP values were noted for variants of sewage management using drainage packages in excavations in locations with permeable soils. In these cases, the required investment and O&M costs are lower because of the high hydraulic efficiency of drainage packages and lower energy consumption without the required application of sewage pumps. A relatively long Payback Period was also determined for a standard septic tank equipped with a drainage filter, located on both studied soils types, permeable and poorly permeable, which is 5.32 and 6.55, respectively.
The results of the dynamic economic profitability indicator Net Present Value are presented in Figure 4. It is clearly visible that all proposed variants present a satisfactory economic profitability with a positive value of NPV even exceeding the value of EUR 12,000–13,000 for a 30-year assessment duration.
The best economic performance, determined by the highest NPV, which is EUR 13,757.33, was shown by Variant 8, the septic tank equipped with drainage packages located in excavation in permeable soils. However, this assumed method of sanitary wastewater management was effective only in this specific case. In the case of drainage pipes in drainage filters located in permeable and poorly permeable soils, the determined NPVs were rather low, EUR 10,721.00 and 8120.30, respectively. As seen in Figure 4, only one variant of the domestic wastewater treatment plant with aerated active sludge and trickling filters showed lower values of determined NPV. It is worth underlining that Variant 3 for both applied types of infiltration devices and both studied types of locally available soils presented relatively high economic profitability, with NPVs in the range of EUR 10,661.46–13,099.02. However, the economic efficiencies of Variants 1, 4, 5, and 6 were only slightly lower. In contrast, the lowest efficiency was presented by Variant 7, also equipped with all tested infiltration devices determined by NPV in the range of approximately EUR 7420.79–9858.35. Taking into account the results of sensitivity analysis for NPV calculations assuming variable values of the discount rate, it can be seen that the positive assessment of all studied variants was not affected by the assumed changes in the discount rate value.
Similar observations were made for the BCR economic feasibility indicator; the values for each tested variant are presented in Figure 5. All developed variants of on-site individual sanitation are above the threshold of profitability determined by BCR ≥ 1.0, for which the possible benefits of the investment are greater than its costs, in relation to the traditional septic tanks and sewage transport. The determined values of BCR were in the range 1.63–3.53. Again, as described above, the highest economic efficiency, represented by BCR = 3.53, was achieved by Variant 8 equipped with drainage packages located in excavation in permeable soils. However, the use of drainage pipes instead of packages or the application of infiltration devices in embankment on poorly permeable soils significantly reduced this value to the level of BCR = 1.73–2.32. Relatively high values of the BCR indicator, i.e., BCR = 2.25–3.15, were calculated for Variant 3 equipped with all studied infiltration devices. As expected, the lowest profitability, but over the threshold value, was determined for Variant 7. The results of the sensitivity analysis performed for the BCR calculations in relation to the variable discount rate showed that an increase in its value to 6% does not affect the positive assessment of all studied variants of on-site sanitary management.
The determined values of the Dynamic Generation Cost indicator, which measures the cost-efficiency of all tested on-site sewage management methods, along with the results of the sensitivity analysis, are shown in Figure 6. It is clearly visible that the cost of ecological effect (in this case, one cubic meter of collected and treated sanitary sewage by the proposed designs) ranges from 2.84 to 6.15 EUR/m3 and is significantly lower than the cost calculated for a traditional holding septic tank (10.60 EUR/m3). Therefore, the largest reduction in the DGC value, approximately 73.2%, was achieved after introducing an on-site wastewater treatment plant, while the lowest reduction, approximately 41.9%, was also noted. Consequently, the proposed technologies should be viewed positively in terms of cost-efficiency. The most effective devices were those equipped with drainage packages installed in permeable soils, and the results of the sensitivity analysis clearly showed a lower DGC value when the discount rate was changed.
The lowest value of the DGC indicator, 2.84 EUR/m3, determining the highest cost-efficiency, was observed for Variant 8, the standard septic tank equipped with drainage packages located in excavation in permeable soils, presenting also the highest economic efficiency. However, the other studied infiltration devices combined with the septic tank resulted in clearly higher values of determined DGC, in the range 4.33–5.79 EUR/m3. Among the studied bioreactors, i.e., Variants 1–7, the lowest calculated DGC values reflecting the highest cost-efficiency were observed for Variant 3 equipped with both studied infiltration devices and located in permeable and poorly permeable soils. However, the highest value of ecological effect price was, as expected, determined for Variant 7. The DGC sensitivity analysis showed that an even increase in the discount rate to 6% results in higher cost-efficiency of the proposed on-site methods of sanitary sewage management in relation to the standard septic tank and sewage transport by sewage trucks. The highest observed values of DGC for on-site treatment and i = 6% were in the range 6.28–6.48 EUR/m3, while, as mentioned above, the determined DGC for the septic tank was 10.60 EUR/m3.
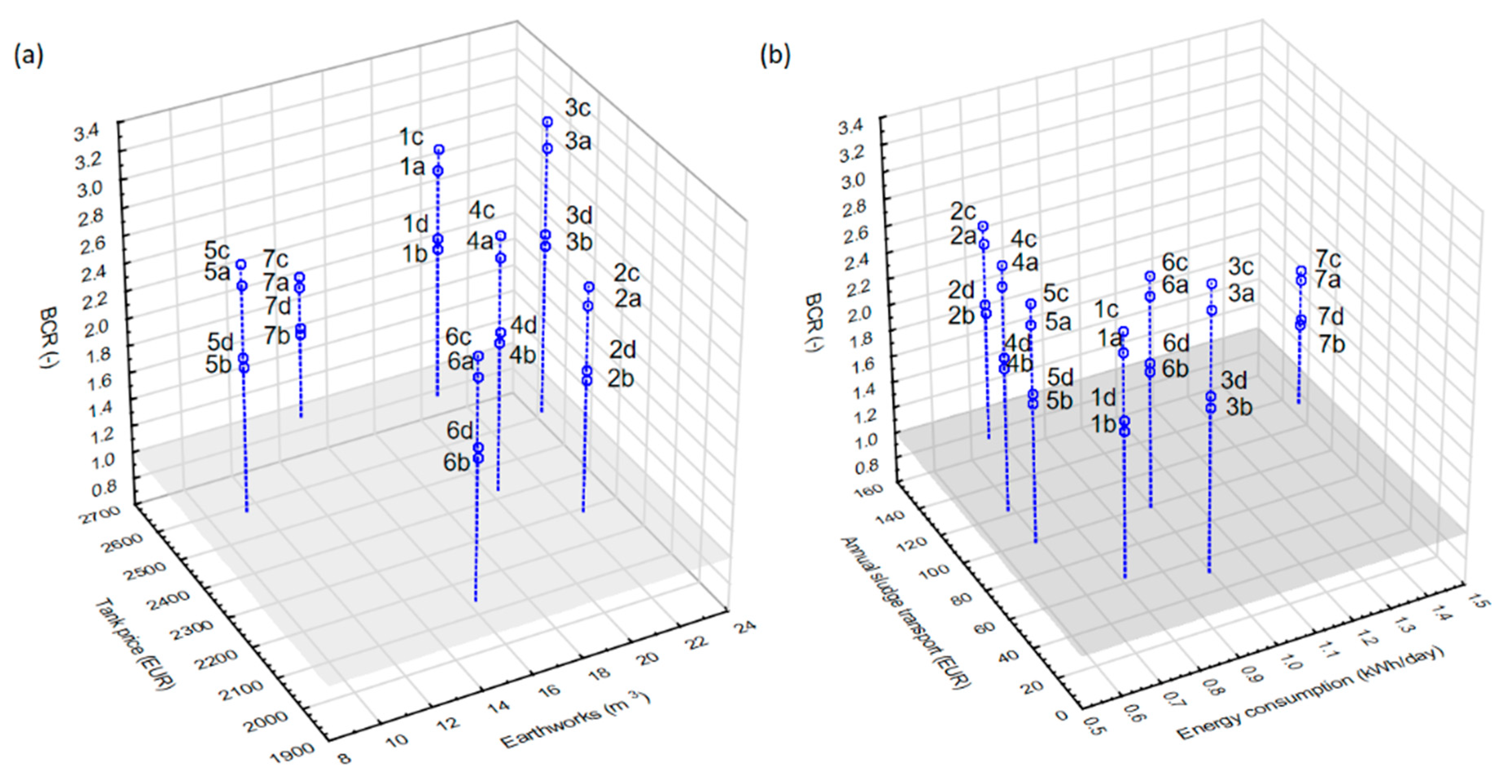
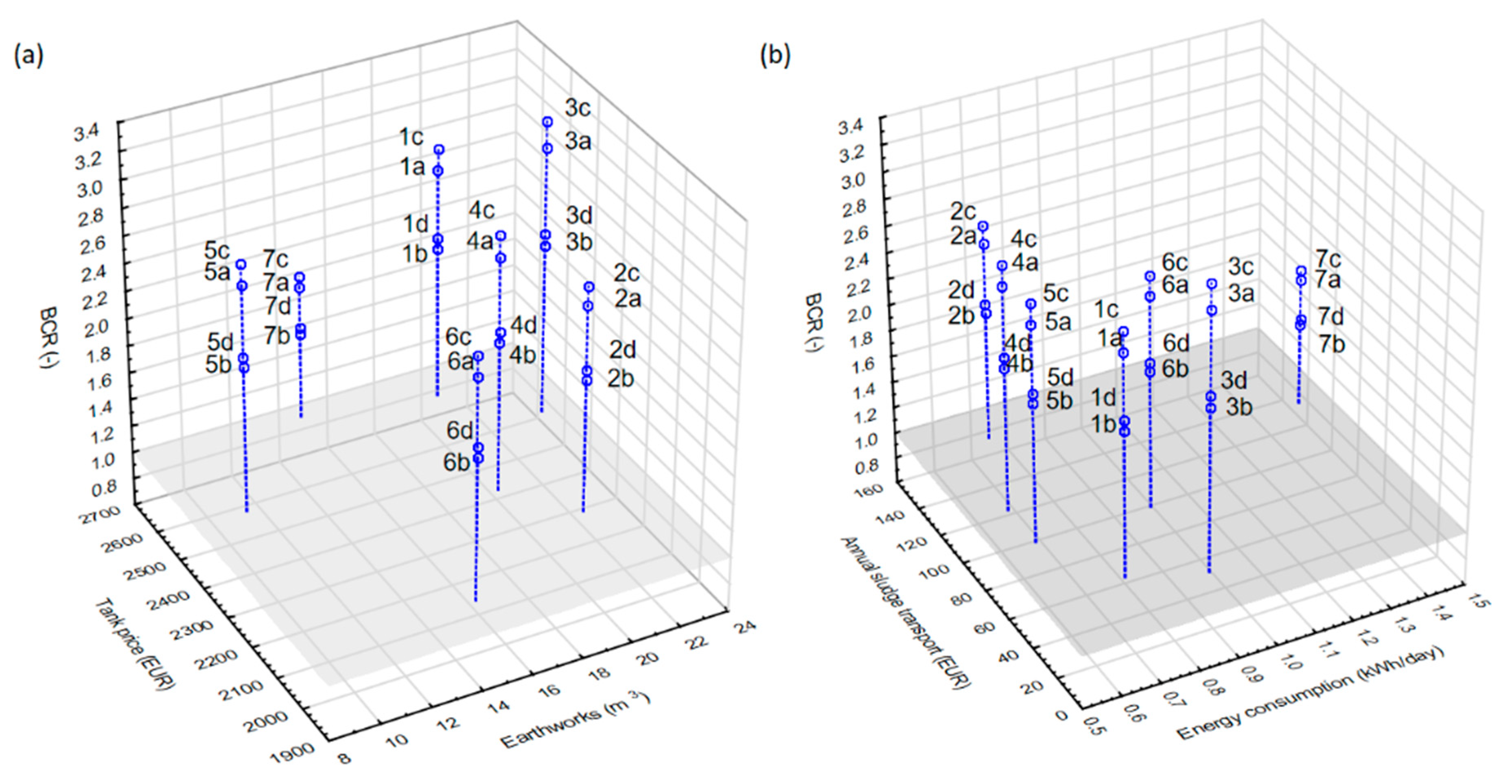
Figure 7a presents the observed relations between the economic profitability indicator (BCR) and the most important components of investment costs, i.e., underground bioreactor treatment plant tank price (including equipment), and required volume of earthworks. Additionally, the relationship between BCR and the main components of O&M costs, including the required energy consumption and required annual price of sludge transport for each variant, is presented in Figure 7b. As is expected, the profitability of design, understood as the highest possible value of BCR, increases in relation to a decrease in investment as well as operation and maintenance costs, which are related to the main components of these costs, i.e., tank price and energy consumption.
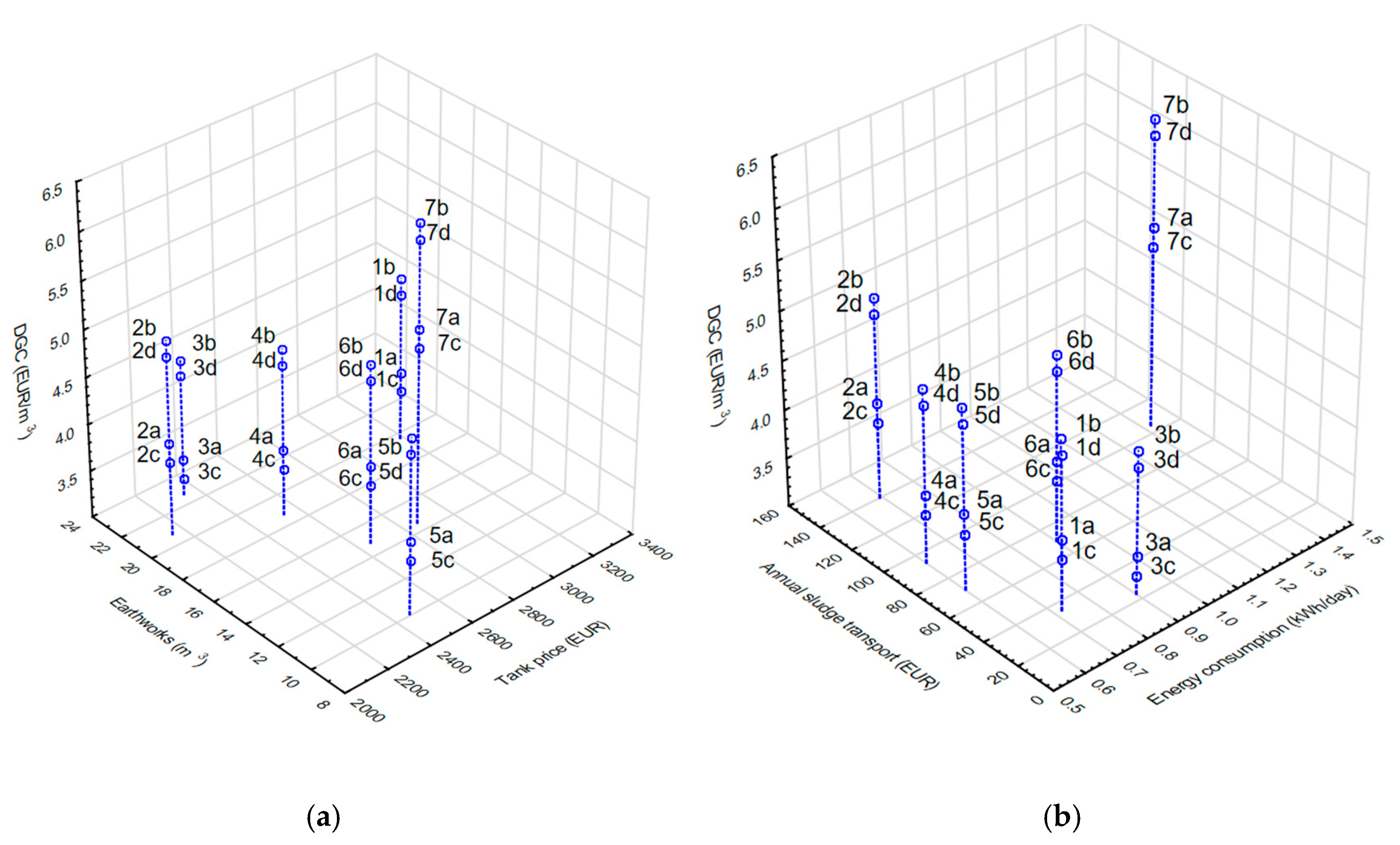
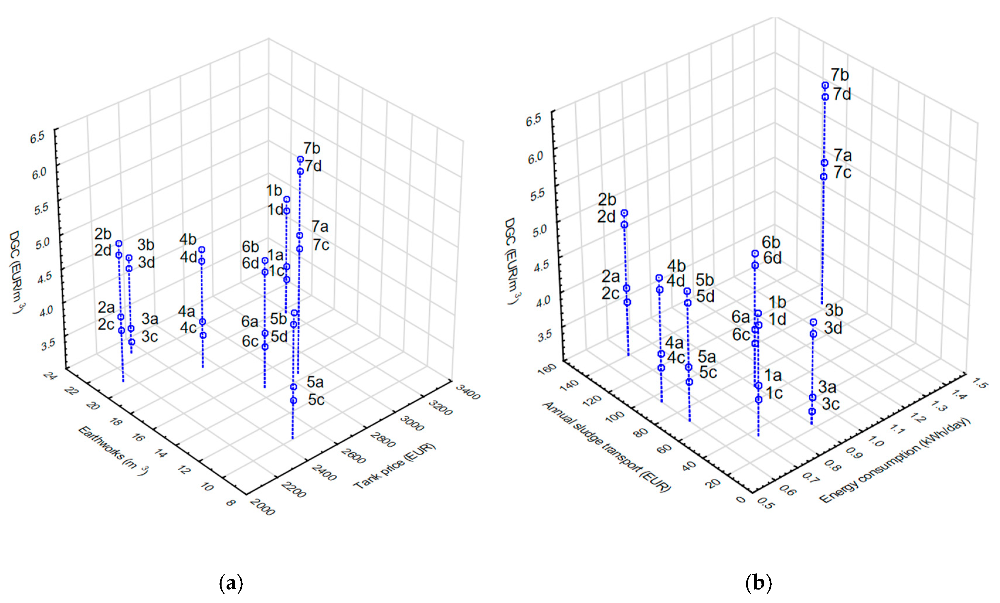
A similar situation is observed in Figure 8 for the cost-efficiency of the studied designs, for which the relationship between the DGC value and selected components of operation and maintenance costs was examined. The value of the ecological effect decreases with investment and O&M costs. Figure 7 and Figure 8 also clearly show that the selection of the infiltration method of treated sewage into soil (drainage packages and pipes) and the type of locally available soil (permeable and poorly permeable local soils) clearly affect the results of economic feasibility and cost-efficiency assessment.
Figure 9 presents the results of weighted sum model calculations performed for normalized profitability and cost-efficiency indicators for all studied variants of on-site sewage management. Among all tested designs, the highest performance value in WSM was determined for Variant 3, which covered a five-chamber tank with sewage treatment based on active sludge and an aerated trickling filter. This variant, as mentioned above, presented very high and even economic feasibility and cost-efficiency in combination with both tested drainage devices on permeable and poorly permeable soils. The relatively lower performance value of Variant 7, visible in Figure 9, is related to the results of its economic profitability and cost-efficiency assessment and may be relayed to the highest operating costs, which are primarily influenced by energy consumption, which is over 2.3 times higher than, for example, Variants 4 and 5, and the use of biopreparations that improve the functioning of the treatment plant. Additionally, this variant is characterized by very high investment costs (higher only for Variant 1), which are associated with the high costs of purchasing the treatment plant. However, the economic profitability indicators for this variant are clearly higher than the threshold value, and its determined cost-efficiency is definitely higher than that calculated for a standard septic tank and sewage transport by vehicles to the municipal wastewater treatment plant. On the other hand, the vertical arrangement of the tank in Variant 7 may increase the applicability of this solution, especially for plots of limited size, dense development, or unfavorable shape.
The results of the sensitivity analysis covering variable values of crucial import data to economic considerations, including discount rate, energy prices, system lifetime, and mean price of sewage and sludge transport, are presented in Table 5, Table 6, Table 7 and Table 8.
The calculated values of sensitivity coefficients determined for variable values of discount rates, energy prices, and system lifetime (see Table 7) influencing economic profitability and cost-efficiency of studied on-site sanitation systems remain at the comparable level, from approx. —0.40 to 0.40. A different situation is observed in Table 8, which presents the results of the sensitivity analysis performed for variable sewage and sludge costs. The calculated values of the sensitivity coefficients for the DGC cost-efficiency indicator are clearly lower than the values of SC determined for the profitability indicator BCR, 0.07–0.60 and 0.70–0.94, respectively. This is related to the fact that the costs of sewage transport from the septic tank to the municipal wastewater treatment plant are excluded from the cost-efficiency determination of the tested variants of on-site sanitation. However, these costs are crucial in calculating the economic profitability indicators because they are the basis for determining the benefits cash flow (CFbt in Equation (4)), which are the possible savings that can be achieved by the investor due to installation of on-site sanitation devices.
A negative SC value reflects a decrease in dynamic profitability or cost-efficiency indicator values (BCR and DGC) related to an increase in the assumed input parameter value. In contrast, positive SC values reflect an increase in the economic indicator value related to increased input parameters. However, it should be noted that, while an increase in the value of the economic profitability indicator, i.e., BCR, reflects the increase in the designs’ profitability, the situation with their cost-efficiency is different. Increased cost-efficiency is reflected by the reduced value of the DGC indicator. Thus, results presented in Table 5, Table 6, Table 7 and Table 8 show that variable values of discount rates, energy prices, and system lifetime affect, affect the results of economic profitability and cost-efficiency determination to some extent. The greatest impact on profitability was determined for the variable costs of sewage and sludge transport, which highly influenced operation costs and possible benefits related to the application of the tested on-site sanitation designs. However, it should be highlighted that the increased costs of sewage transport, by 10m3 slurry vehicle, from the septic tank to the municipal wastewater treatment plant clearly positively affected the determined economic profitability of on-site treatment systems, allowing for greater benefits resulting from money savings, for which such transport is not required.

4. Discussion

The presented above determined economic feasibility and cost-efficiency of the studied devices of on-site household sanitary sewage treatment shows the high applicability of this method of sanitation in low-density rural populations without access to organized sewage systems. The visible positive economic assessment of all tested on-site sanitation systems in relation to the popular standard of holding septic tanks and sewage transport by slurry wagons may result in wide public acceptance and an increase in willingness to pay.
The profitability of selected manners of on-site wastewater treatment based on active sludge and tricking filters determined in this study is in agreement with the results published by Karczmarczyk et al. [62] in a study concerning 10 years of costs and benefits analyses of 23 existing treatment plants of different size and daily sewage discharge per resident, 74.5–134.0 dm3/day, located in rural regions of Mazovia Voivodship, Poland. The economic feasibility analysis in this study was related to the type of bioreactor, i.e., activated sludge, sequencing batch reactor (SBR), and activated sludge combined with trickling filters. The tested activated sludge bioreactors were assumed to be the most efficient. The presented results of cost-efficiency calculations represented by the determined DGC indicators, showing a significant difference between the cost of ecological effects for eight studied variants of different manners of on-site sanitation under conditions of rural Poland, are in agreement with the previous studies [75,77], suggesting that the costs of sanitary sewage collection in septic tanks and its transport by slurry wagons are approximately twice the costs of sewage treatment in domestic, on-site WWTPs (due to the significant costs of sewage vehicle transport). Similar conclusions based on cost analysis have also been reported for regions with low-density settlements in different countries [23,50,70,145,146,147].
Considering the possible threat to groundwater and soil posed by the domestic wastewater treatment plants based on anaerobic tanks and filtering drainages [11,81], the significant economic profitability and cost-efficiency of proposed bioreactors utilizing aerated active sludge and trickling filters, allowing a higher degree of pollutant reduction [62], should be emphasized. Moreover, the financial sustainability of up-to-date devices for on-site wastewater treatment was possible in the case of two types of infiltration device applications (drainage pipes and drainage packages combined with sand–gravel filters) in different types of soil, permeable and poorly permeable. However, as expected, the localization of domestic on-site sanitation devices on poorly permeable soils requires higher investment and operation costs. However, the obtained results suggest that the use of domestic wastewater treatment plants on poorly permeable soils is feasible and cost-effective and should be recommended. Using advanced bioreactor-based wastewater treatment plants on poorly permeable soils ensures the required level of wastewater treatment. Therefore, they are ecologically efficient solutions. Economic analyses have shown that such solutions require a longer Payback Period for the investment costs incurred. The cost-efficiency of decentralized wastewater treatment plants, especially on poorly permeable soils, could be improved by incentives in the form of subsidies at the municipal or provincial level. Currently, the programs available in Poland under the National Fund for Environmental Protection and Water Management offer reimbursement of incurred costs ranging from EUR 697.67 to EUR 1860.46 (depending on the province). Municipal subsidies (available only in the selected municipalities) provide a refund of up to 80% of investment costs, and the average subsidy amount is between EUR 697.67 and 2790.70.
The simplest solution for on-site sewage management tested in this study, an anaerobic septic tank equipped with two types of drainage filters, presented satisfactory high economic profitability and cost-efficiency only under the conditions of drainage packages applied on permeable soils. However, its installation would be profitable compared to the standard septic tanks and sewage transport by slurry wagons. Previous research, also based on NPV, BCR, and DGC determination, demonstrated that this manner of sewage management would be more financially attractive for the rural population than organized sanitation in rural settlements with sparse spatial development and a limited amount of sewage discharged to the sewage network [51,124]. However, it should be emphasized that the proper and safe operation of the simplest anaerobic tank and drainage devices requires the awareness and responsibility of their users to avoid a decrease in environmental efficiency [11,81,124,148]. Therefore, the use of septic tanks equipped with infiltration drainage, although economically attractive, may pose a greater environmental risk than bioreactors, which is a key aspect of overall sustainability. Therefore, efforts should be made, for example, through financial incentives, to encourage potential investors to choose systems that offer higher levels of wastewater treatment.
The economic feasibility and cost-efficiency of the sustainable on-site domestic wastewater treatment methods studied in this paper agree with numerous reports assessing the treatment technology choice for different parts of the world [50,81,146,149,150,151,152], suggesting that decentralized solutions should be popularized owing to the high costs of centralized sewage systems. Efficient on-site sanitation for low-density settlements may reduce the financial costs of sewage management and promote better watershed management.
The application of bioreactors with a high degree of pollution reduction to domestic sewage may significantly improve the water balance of catchments distorted by the current climate change. The infiltration of efficiently treated sewage into soil improves its water retention [153]. On the other hand, the treated wastewater may also be directly used to water the garden or cultivated vegetation, reducing the tap water demand. However, in such cases, additional investment and maintenance costs are required.
In the authors’ opinion, the applied method of economic feasibility and cost-efficiency analyses of rural individual on-site devices of sanitary sewage collection and treatment is simple to understand and may be applied by the stakeholders on their own. Additionally, considering the profitability and cost-efficiency of the design, it includes not only the investment and (constant or time-related) maintenance costs, variable value of money, but also the possible financial benefits of the investment.

5. Conclusions

The economic profitability and cost-efficiency analysis of eight variants of on-site household sanitary wastewater collection and treatment, including seven variants assuming up-to-date bioreactors with a very high degree of pollutant removal, for regions without an organized municipal sewage network allowed the authors to draw the following conclusions:
  • All the proposed devices for on-site household sewage management presented significant economic profitability and cost-efficiency in relation to the use of septic tanks and sewage transport by slurry vehicles.
  • In most cases, the proposed bioreactors, which allowed for a very high pollutant reduction inside the tank, before introducing the treated sewage to the soil, were more economically profitable and cost-efficient than the standard septic tank equipped with drainage filters that introduced partly treated sewage to the soil.
  • In all tested cases, the application of drainage packages instead of traditional drainage pipes allowed for higher economic- and cost-effectiveness.
  • Drainage packages installed in embankments should be recommended for treated wastewater infiltration, especially in cases of locally available soils with poor permeability.
  • The observed economic- and cost-effectiveness of the discussed on-site household wastewater treatment plants, in relation to the septic tank, could be sustained even on poorly permeable soils, but with higher investment and O&M costs.
  • According to the weighted sum model assessment, most of the studied on-site devices presented relatively comparable economic feasibility and cost-efficiency.
  • Even devices with lower determined performance values, according to the assessment, presented a high degree of economic profitability and cost-efficiency in relation to septic tanks and sewage transport by slurry wagons, presenting additional advantages, such as a reduced required area, allowing for application on small plots with dense development or unfavorable shape, in the case of treatment plants with vertical tanks.
  • The sensitivity analysis showed that the profitability and cost-efficiency assessment results of the studied bioreactors are related to variable energy costs and the process of sewage and sludge transport by slurry vehicles.
  • Taking into account the economic feasibility and cost-efficiency, the discussed on-site household bioreactor wastewater treatment plants should be encouraged, not only instead of traditional septic tanks but also instead of septic tanks equipped with drainage soil filters.
  • To encourage the application of rural on-site sanitation systems, especially in locations with poorly permeable soils, an increase in social acceptance using municipal or governmental subsidies seems to be required.

Supplementary Materials

The following supporting information can be downloaded at: https://www.mdpi.com/article/10.3390/su172210241/s1. Table S1: Annual mean O&M costs.

Author Contributions

Conceptualization, M.K.W. and A.M.-P.; methodology, M.K.W. and A.M.-P.; validation, M.K.W. and A.M.-P.; formal analysis, M.K.W. and A.M.-P.; investigation, M.K.W.; resources, A.M.-P. and M.K.W.; writing—original draft preparation, M.K.W. and A.M.-P.; writing—review and editing, M.K.W. and A.M.-P.; visualization, M.K.W. and A.M.-P. All authors have read and agreed to the published version of the manuscript.

Funding

This research was funded by internal projects of Lublin University of Technology, Poland, numbers FD-20/IS-6/024 and FD-20/IS-6/039.

Institutional Review Board Statement

Not applicable.

Informed Consent Statement

Not applicable.

Data Availability Statement

The raw data supporting the conclusions of this article will be made available by the authors on request.

Conflicts of Interest

The authors declare no conflicts of interest. The funders had no role in the design of the study; in the collection, analyses, or interpretation of the data; in the writing of the manuscript; or in the decision to publish the results.

References

  1. Velis, M.; Conti, K.I.; Biermann, F. Groundwater and Human Development: Synergies and Trade-Offs Within the Context of the Sustainable Development Goals. Sustain. Sci. 2017, 12, 1007–1017. [Google Scholar] [CrossRef]
  2. Howard, G.; Calow, R.; Macdonald, A.; Bartram, J. Climate Change and Water and Sanitation: Likely Impacts and Emerging Trends for Action. Annu. Rev. Environ. Resour. 2016, 41, 253–276. [Google Scholar] [CrossRef]
  3. Guppy, L.; Uyttendaele, P.; Villholth, K.G.; Smakhtin, V. Groundwater and Sustainable Development Goals: Analysis of Interlinkages; UNU-INWEH Report Series, Issue 04; United Nations University Institute for Water, Environment and Health: Hamilton, ON, Canada, 2018; Available online: https://cgspace.cgiar.org/handle/10568/98576 (accessed on 15 September 2025).
  4. Kiryluk, A.; Kostecka, J. Sustainable Development in Rural Areas in the Perspective of a Decade of Ecosystem Restoration. Econ. Environ. 2023, 83, 117–148. [Google Scholar] [CrossRef]
  5. Sun, B.; Luo, Y.; Yang, D.; Yang, J.; Zhao, Y.; Zhang, J. Coordinative Management of Soil Resources and Agricultural Farmland Environment for Food Security and Sustainable Development in China. Int. J. Environ. Res. Public Health 2023, 20, 3233. [Google Scholar] [CrossRef] [PubMed]
  6. Chathuranika, I.M.; Sachinthanie, E.; Zam, P.; Gunathilake, M.B.; Denkar, D.; Muttil, N.; Abeynayaka, A.; Kantamaneni, K.; Rathnayake, U. Assessing the Water Quality and Status of Water Resources in Urban and Rural Areas of Bhutan. J. Hazard. Mater. Adv. 2023, 12, 100377. [Google Scholar] [CrossRef]
  7. Chinyama, A.; Chipato, P.T.; Mangore, E. Sustainable Sanitation Systems for Low-Income Urban Areas—A Case of City of Bulawayo, Zimbabwe. Phys. Chem. Earth, Parts A/B/C 2012, 50–52, 233–238. [Google Scholar] [CrossRef]
  8. Benzerra, A.; Cherrared, M.; Chocat, B.; Cherqui, F.; Zekiok, T. Decision Support for Sustainable Urban Drainage System Management: A Case Study of Jijel, Algeria. J. Environ. Manag. 2012, 101, 46–53. [Google Scholar] [CrossRef]
  9. Istenic, D.; Bodík, I.; Bulc, T. Status of Decentralised Wastewater Treatment Systems and Barriers for Implementation of Nature-Based Systems in Central and Eastern Europe. Environ. Sci. Pollut. Res. 2015, 22, 12879–12884. [Google Scholar] [CrossRef] [PubMed]
  10. Pryszcz, M.; Mrowiec, B.M. Operation of the Household Sewage Treatment Plants in Poland. Ecol. Eng. 2015, 41, 133–141. [Google Scholar] [CrossRef]
  11. Piasecki, A. Water and Sewage Management Issues in Rural Poland. Water 2019, 11, 625. [Google Scholar] [CrossRef]
  12. Vinti, G.; Vaccari, M. Solid Waste Management in Rural Communities of Developing Countries: An Overview of Challenges and Opportunities. Clean Technol. 2022, 4, 1138–1151. [Google Scholar] [CrossRef]
  13. Brzusek, A.; Widomski, M.K.; Musz-Pomorska, A. Socio-Economic Aspects of Centralized Wastewater System for Rural Settlement under Conditions of Eastern Poland. Water 2022, 14, 1667. [Google Scholar] [CrossRef]
  14. Boguniewicz-Zabłocka, J.; Capodaglio, A.G. Sustainable Wastewater Treatment Solutions for Rural Communities: Public (Centralized) or Individual (On-Site)—Case Study. Econ. Environ. Stud. 2017, 17, 1103–1119. [Google Scholar] [CrossRef]
  15. Yang, C.; Wu, A.; Zhao, X.; He, G.; Zhao, S.; He, L.; Wu, F. Challenges and Solutions for Rural Domestic Sewage Treatment at the Grassroots Level in Developing Countries. Process Saf. Environ. Prot. 2025, 201, 107480. [Google Scholar] [CrossRef]
  16. GQM, (2021) Groundwater Quality Monitoring, The Polish Geological Institute—National Research Institute. Available online: https://mjwp.gios.gov.pl (accessed on 12 September 2025). (In Polish)
  17. Regulation no 2148/2019 of the Minister for Maritime Economy and Inland Navigation on the Criteria and Method of Assessing the Condition of Groundwater Bodies. Available online: https://isap.sejm.gov.pl/isap.nsf/DocDetails.xsp?id=WDU20190002148 (accessed on 15 September 2025). (In Polish)
  18. Wiech, A.K.; Marciniewicz-Mykieta, M.; Toczko, B. (Eds.) State of the Environment in Poland; Biblioteka Monitoringu Środowiska: Warszawa, Poland, 2018. (In Polish) [Google Scholar]
  19. Jiménez, A.; Jawara, D.; LeDeunff, H.; Naylor, K.A.; Scharp, C. Sustainability in Practice: Experiences from Rural Water and Sanitation Services in West Africa. Sustainability 2017, 9, 403. [Google Scholar] [CrossRef]
  20. Jiménez, A.; Mtango, F.; Cairncross, S. What Role for Local Government in Sanitation Promotion? Lessons from Tanzania. Water Policy 2014, 16, 1104–1120. [Google Scholar] [CrossRef]
  21. Jiménez, A.; Pérez-Foguet, A. The Relationship between Technology and Functionality of Rural Water Points: Evidence from Tanzania. Water Sci. Technol. 2011, 63, 949–956. [Google Scholar] [CrossRef] [PubMed]
  22. Zapasa, A.; Musz-Pomorska, A.; Gołębiowska, J.; Widomski, M.K. Financial, Environmental and Social Sustainability of Rural Sanitary Wastewater System: Case Study. Appl. Water Sci. 2022, 12, 277. [Google Scholar] [CrossRef]
  23. Sharma, M.K.; Tyagi, V.K.; Singh, N.K.; Singh, S.P.; Kazmi, A.A. Sustainable Technologies for On-Site Domestic Wastewater Treatment: A Review with Technical Approach. Environ. Dev. Sustain. 2022, 24, 3039–3090. [Google Scholar] [CrossRef]
  24. Jóźwiakowski, K.; Marzec, M.; Listosz, A.; Gizińska-Górna, M.; Micek, A.; Pytka-Woszczyło, A.; Pochwatka, P.; Rybczyńska-Tkaczyk, K. The Influence of Household Wastewater Treatment Plants with Drainage System on the Quality of Groundwater in the Lublin Province, Poland. J. Ecol. Eng. 2021, 22, 18–39. [Google Scholar] [CrossRef]
  25. UNDESA. World Urbanization Prospects Revision; United Nations Department of Economic and Social Affairs, Population Division: New York, NY, USA, 2015. Available online: https://www.un.org/en/development/desa/publications/world-population-prospects-2015-revision.html (accessed on 10 September 2025).
  26. Hutton, G.; Chase, C. The Knowledge Base for Achieving the Sustainable Development Goal Targets on Water Supply, Sanitation and Hygiene. Int. J. Environ. Res. Public Health 2016, 13, 536. [Google Scholar] [CrossRef]
  27. Wear, S.L.; Acuña, V.; McDonald, R.; Font, C. Sewage Pollution, Declining Ecosystem Health, and Cross-Sector Collaboration. Biol. Conserv. 2021, 255, 109010. [Google Scholar] [CrossRef]
  28. Burch, T.R.; Stokdyk, J.P.; Firnstahl, A.D.; Kieke, B.A., Jr.; Cook, R.M.; Opelt, S.A.; Spencer, S.K.; Durso, L.M.; Borchardt, M.A. Microbial Source Tracking and Land Use Associations for Antibiotic Resistance Genes in Private Wells Influenced by Human and Livestock Fecal Sources. J. Environ. Qual. 2023, 52, 270–286. [Google Scholar] [CrossRef]
  29. Gyimah, R.; Lebu, S.; Owusu-Frimpong, I.; Semiyaga, S.; Salzberg, A.; Manga, M. Effluents from Septic Systems and Impact on Groundwater Contamination: A Systematic Review. Environ. Sci. Pollut. Res. 2024, 31, 62655–62675. [Google Scholar] [CrossRef]
  30. Singh, P.K.; Kumar, U.; Kumar, I.; Dwivedi, A.; Singh, P.; Mishra, S.; Seth, C.S.; Sharma, R.K. Critical Review on Toxic Contaminants in Surface Water Ecosystem: Sources, Monitoring, and Its Impact on Human Health. Environ. Sci. Pollut. Res. Int. 2024, 31, 56428–56462. [Google Scholar] [CrossRef] [PubMed]
  31. Murphy, H.M.; McGinnis, S.; Blunt, R.; Stokdyk, J.; Wu, J.; Cagle, A.; Denno, D.M.; Spencer, S.; Firnstahl, A.; Borchardt, M.A. Septic Systems and Rainfall Influence Human Fecal Marker and Indicator Organism Occurrence in Private Wells in Southeastern Pennsylvania. Environ. Sci. Technol. 2020, 54, 3159–3168. [Google Scholar] [CrossRef]
  32. Vymazal, J. Long-Term Performance of Constructed Wetlands with Horizontal Sub-Surface Flow: Ten Case Studies from the Czech Republic. Ecol. Eng. 2011, 37, 54–63. [Google Scholar] [CrossRef]
  33. Paruch, A.M.; Maehlum, T.; Obarska-Pempkowiak, H.; Gajewska, M.; Wojciechowska, E.; Ostojski, A. Rural Domestic Wastewater Treatment in Norway and Poland: Experiences, Cooperation and Concepts on the Improvement of Constructed Wetland Technology. Water Sci. Technol. 2011, 63, 776–781. [Google Scholar] [CrossRef]
  34. Bodík, I.; Boscornea, C.; Istenic, D.; Zakharchenko, M. GWP CEE Regional Study. Natural Processes of Wastewater Treatment—Actual Status in CEE Countries; Global Water Partnership Central and Eastern Europe, 2012; Available online: https://www.gwp.org/globalassets/global/gwp-cee_files/regional/q-study-report-cee.pdf (accessed on 11 March 2024).
  35. Widomski, M.; Gleń, P.; Łagód, G.; Jaromin-Gleń, K. Sustainable Development of One of the Poorest Provinces of the European Union: Lublin Voivodeship, Poland—Attempt of Assessment. Probl. Sustain. Dev. 2015, 10, 137–149. Available online: https://ssrn.com/abstract=2660792 (accessed on 12 September 2024).
  36. Nansubuga, I.; Banadda, N.; Verstraete, W.; Rabaey, K. A Review of Sustainable Sanitation Systems in Africa. Rev. Environ. Sci. Biotechnol. 2016, 15, 465–478. [Google Scholar] [CrossRef]
  37. Pereira, M.A.; Marques, R.C. Sustainable Water and Sanitation for All: Are We There Yet? Water Res. 2021, 207, 117765. [Google Scholar] [CrossRef] [PubMed]
  38. Bose, D.; Bhattacharya, R.; Kaur, T.; Banerjee, R.; Bhatia, T.; Ray, A.; Batra, B.; Mondal, A.; Ghosh, P.; Mondal, S. Overcoming Water, Sanitation, and Hygiene Challenges in Critical Regions of the Global Community. Water-Energy Nexus 2024, 7, 277–296. [Google Scholar] [CrossRef]
  39. Marks, S.J.; Clair-Caliot, G.; Taing, L.; Bamwenda, J.T.; Kanyesigye, C.; Rwendeire, N.E.; Kemerink-Seyoum, J.S.; Kansiime, F.; Batega, D.W.; Ferrero, G. Water Supply and Sanitation Services in Small Towns in Rural–Urban Transition Zones: The Case of Bushenyi-Ishaka Municipality, Uganda. Clean Water 2020, 3, 21. [Google Scholar] [CrossRef]
  40. Murei, A.; Mogane, B.; Mothiba, D.P.; Mochware, O.T.W.; Sekgobela, J.M.; Mudau, M.; Musumuvhi, N.; Khabo-Mmekoa, C.M.; Moropeng, R.C.; Momba, M.N.B. Barriers to Water and Sanitation Safety Plans in Rural Areas of South Africa—A Case Study in the Vhembe District, Limpopo Province. Water 2022, 14, 1244. [Google Scholar] [CrossRef]
  41. Barska, A.; Jędrzejczak-Gas, J.; Wyrwa, J. Poland on the Path towards Sustainable Development—A Multidimensional Comparative Analysis of the Socio-Economic Development of Polish Regions. Sustainability 2022, 14, 10319. [Google Scholar] [CrossRef]
  42. Siudek, T.; Czarnecki, E.; Vashchyk, M. Assessment of the Sustainability of Rural Development in the European Union Member States. Acta Sci. Pol. Oeconomia 2016, 15, 101–113. Available online: http://acta_oeconomia.sggw.pl/wp-content/uploads/Acta_Oeconomia_15_3_2016.pdf (accessed on 12 September 2025).
  43. Widomski, M.K.; Musz-Pomorska, A. Sustainable Development of Rural Areas in Poland since 2004 in the Light of Sustainability Indicators. Land 2023, 12, 508. [Google Scholar] [CrossRef]
  44. Gorączko, M.; Pasela, R. Causes and Effects of the Water Consumption Drop by the Population of Cities in Poland—Selected Aspects. In Bulletin of Geography. Socio-Economic Series; Szymańska, D., Rogatka, K., Eds.; Nicolaus Copernicus University: Toruń, Poland, 2015; Volume 27, pp. 67–79. [Google Scholar] [CrossRef]
  45. Heidrich, Z.; Jędrzejkiewicz, J. Analysis of Water Consumption in Polish Cities in the Time Span of 1995–2005. Environ. Prot. 2007, 29, 29–34. Available online: http://www.os.not.pl/docs/czasopismo/2007/Heidrich_4-2007.pdf (accessed on 10 September 2025). (In Polish).
  46. Hotloś, H. Variations in Water Consumption Observed in Some Municipalities in the Time Span of 1990 to 2008. Environ. Prot. 2010, 32, 39–42. Available online: http://yadda.icm.edu.pl/baztech/element/bwmeta1.element.baztech-article-BPOB-0031-0007/c/Hotlos_3-2010.pdf (accessed on 11 September 2025). (In Polish).
  47. Statistics Poland (GUS). Available online: https://bdl.stat.gov.pl/bdl/dane/podgrup/tablica (accessed on 11 March 2024).
  48. Starkl, M.; Brunner, N.; Feil, M.; Hauser, A. Ensuring Sustainability of Non-Networked Sanitation Technologies: An Approach to Standardization. Environ. Sci. Technol. 2015, 49, 6411–6418. [Google Scholar] [CrossRef]
  49. Oladoja, N.A. Appropriate Technology for Domestic Wastewater Management in Under-Resourced Regions of the World. Appl. Water Sci. 2017, 7, 3391–3406. [Google Scholar] [CrossRef]
  50. Eggimann, S.; Truffer, B.; Maurer, M. Economies of Density for On-Site Waste Water Treatment. Water Res. 2016, 101, 476–489. [Google Scholar] [CrossRef]
  51. Suchorab, P.; Iwanek, M.; Głowacka, A. Evaluation of Economical Effectiveness of Selected Sewerage Systems. J. Civ. Eng. Environ. Archit. 2015, 62, 447–456. (In Polish) [Google Scholar] [CrossRef]
  52. Ekologia24.biz. The Essence of Drainage Treatment Plants. Available online: https://www.ekologia24.biz (accessed on 10 September 2025). (In Polish).
  53. Rauba, K.; Szerenos, K. Social Evaluation of the Implementation of Household-Level Sewage Treatment Plants on the Example of the Municipality of Juchnowiec Kościelny. Econ. Environ. 2020, 74, 16. [Google Scholar] [CrossRef]
  54. Rauba, K. Value of the Sewage Management Devices in Rural Areas in the Opinion of Local Communities on the Example of the Wyszki Commune. Econ. Environ. 2021, 77, 40–55. [Google Scholar] [CrossRef]
  55. Merchán-Sanmartín, B.; Aguilar-Aguilar, M.; Morante-Carballo, F.; Carrión-Mero, P.; Guambaña-Palma, J.; Mestanza-Solano, D.; Berrezueta, E. Design of Sewerage System and Wastewater Treatment in a Rural Sector: A Case Study. Int. J. Sustain. Dev. Plan. 2022, 17, 51–61. [Google Scholar] [CrossRef]
  56. Byambadorj, A.; Lee, H.S. Household Willingness to Pay for Wastewater Treatment and Water Supply System Improvement in a Ger Area in Ulaanbaatar City, Mongolia. Water 2019, 11, 1856. [Google Scholar] [CrossRef]
  57. Osman, K.K.; Claveria, J.B.; Faust, K.M.; Hernandez, S. Temporal Dynamics of Willingness to Pay for Alternatives That Increase the Reliability of Water and Wastewater Service. J. Constr. Eng. Manag. 2019, 145, 04019041. [Google Scholar] [CrossRef]
  58. Saadatinavaz, F.; Alomari, M.A.; Ali, M.; Saikaly, P.E. Striking a Balance: Decentralized and Centralized Wastewater Treatment Systems for Advancing Sustainable Development Goal 6. Adv. Energy Sustain. Res. 2024, 5, 2400097. [Google Scholar] [CrossRef]
  59. Nawrot, T.; Matz, R.; Błażejewski, R.; Spychała, M. A Case Study of a Small Diameter Gravity Sewerage System in Zolkiewka Commune, Poland. Water 2018, 10, 1358. [Google Scholar] [CrossRef]
  60. Frone, S.; Frone, D.F. Economic Risk to a Regional Water Supply and Sanitation Project in Romania. Procedia Econ. Financ. 2015, 32, 550–557. [Google Scholar] [CrossRef]
  61. Elawwad, A.; Ragab, M.; Abdel-Halim, H. An Economical, Environmental, and Social Comparison between Vacuum and Gravity Sewers in Decentralized Sanitation Systems, with Egypt as a Case Study. J. Water Sanit. Hyg. Dev. 2015, 5, 614–619. [Google Scholar] [CrossRef]
  62. Karczmarczyk, A.; Bus, A.; Baryła, A. Assessment of the Efficiency, Environmental and Economic Effects of Compact Type On-Site Wastewater Treatment Plants—Results from Random Testing. Sustainability 2021, 13, 982. [Google Scholar] [CrossRef]
  63. Domínguez, I.; Oviedo-Ocaña, E.R.; Hurtado, K.; Barón, A.; Hall, R.P. Assessing Sustainability in Rural Water Supply Systems in Developing Countries Using a Novel Tool Based on Multi-Criteria Analysis. Sustainability 2019, 11, 5363. [Google Scholar] [CrossRef]
  64. Metcalfe, P.J.; Sen, A. Sensitivity to Scope of Water and Wastewater Service Valuations: A Meta-Analysis of Findings from Water Price Reviews in Great Britain. J. Environ. Econ. Policy 2021, 11, 21–38. [Google Scholar] [CrossRef]
  65. Mester, T.; Szabó, G.; Kiss, E.; Balla, D. Towards Environmental Sustainability: Wastewater Management and Sewer Networks for Protecting Groundwater in Rural Settlements. Urban Sci. 2025, 9, 80. [Google Scholar] [CrossRef]
  66. Le, T.T.P.; Aramaki, T. Factors Affecting Households’ Willingness to Pay for Improved Wastewater Services in Ho Chi Minh City, Vietnam. J. Water Environ. Technol. 2019, 17, 163–173. [Google Scholar] [CrossRef]
  67. Willis, K.; Sheldon, R. Research on Customers’ Willingness-to-Pay for Service Changes in UK Water Company Price Reviews 1994–2019. J. Environ. Econ. Policy 2021, 11, 4–20. [Google Scholar] [CrossRef]
  68. Tudela-Mamani, J.W. Willingness to Pay for Improvements in Wastewater Treatment: Application of the Contingent Valuation Method in Puno, Peru. Rev. Chapingo Ser. Cienc. For. Ambiente 2017, 23, 341–352. [Google Scholar] [CrossRef]
  69. Regulation No 75 (Item 690)/2002 of the Minister of Infrastructure on the Technical Conditions to Be Met by Buildings and Their Location. Available online: https://isap.sejm.gov.pl/isap.nsf/DocDetails.xsp?id=wdu20020750690 (accessed on 12 September 2025). (In Polish)
  70. Pawlita-Posmyk, M.; Wzorek, M. Domestic Sewage Treatment Plant or Ecological Septic Tank. Tech. Trans. 2017, 5, 81–94. [Google Scholar] [CrossRef]
  71. Jóźwiakowski, K.; Steszuk, A.; Pieńko, A.; Marzec, M.; Pytka, A.; Gizińska, M.; Sosnowska, B.; Ozonek, J. Evaluation of the Impact of Wastewater Treatment Plants with Drainage System on the Quality of Groundwater in Dug and Deep Wells. Ecol. Eng. 2014, 39, 74–84. [Google Scholar]
  72. Obarska-Pempkowiak, H.; Gajewska, M.; Wojciechowska, E.; Kołecka, K. Sewage Gardens—Constructed Wetlands for Single Family Households. Environ. Prot. Eng. 2015, 41, 71–82. [Google Scholar] [CrossRef]
  73. Thomas, B.D.; Marks, A.; Smerigan, B.; Aburto-Vazquez, G.; Uludag-Demirer, S.; Dusenbury, J.S.; Liao, W. Life cycle impact and economic assessment of decentralized strategies to treat source-separated wastewater. J. Water Process Eng. 2024, 64, 105550. [Google Scholar] [CrossRef]
  74. Arias, A.; Rama, M.; González-García, S.; Feijoo, G.; Moreira, M.T. Environmental analysis of servicing centralised and decentralised wastewater treatment for population living in neighbourhoods. J. Water Process Eng. 2020, 37, 101469. [Google Scholar] [CrossRef]
  75. Karolinczak, B.; Miłaszewski, R.; Sztuk, A. Cost-Effectiveness Analysis of Different Technological Variants of Single-House Sewage Treatment Plants. Annu. Set Environ. Prot. 2015, 17, 726–746. Available online: http://ros.edu.pl/images/roczniki/2015/044_ROS_V17_R2015.pdf (accessed on 12 September 2025). (In Polish).
  76. Bogon, B.; Cupak, A.; Walega, A. Concept of Improvement of Municipal Sewage Management in Baranów Sandomierski Commune. Infrastruct. Ecol. Rural Areas 2011, 2, 83–97. Available online: http://yadda.icm.edu.pl/agro/element/bwmeta1.element.dl-catalog-bea48829-b3f5-48e1-b40a-3b1959f90a27/c/Bogon.pdf (accessed on 12 September 2025). (In Polish).
  77. Kundziewicz, A.; Miłaszewski, R. Costs-Effectiveness Analysis of Individual Wastewater Disposal and Treatment Systems. Ecol. Eng. Environ. Technol. 2011, 24, 174–183. Available online: https://journals.indexcopernicus.com/search/journal/issue?issueId=109221&journalId=24428 (accessed on 11 September 2025).
  78. Vale, G.B.; Scalize, P.S.; Tonetti, A.L.; Junior, H.C.R. Cost-Effectiveness Study of Septic Tank Management in Rural Communities. Int. J. Environ. Sci. Technol. 2024, 21, 4599–4610. [Google Scholar] [CrossRef]
  79. Rafie, R.; Hardy, A.; Mohamad Zain, N.; Gödeke, S.; Abas, P.E. The Future of Septic Tanks: Uncovering Technological Trends through Patent Analysis. Inventions 2024, 9, 77. [Google Scholar] [CrossRef]
  80. Zhang, R.; Wang, Z.; Cao, Z.; Rousseau, D.P.L.; Van Hulle, S. Addressing the rural wastewater treatment dilemma: A techno-environmental-economic analysis. Chem. Eng. J. 2025, 504, 158905. [Google Scholar] [CrossRef]
  81. Dubber, D.; Gill, L. Application of On-Site Wastewater Treatment in Ireland and Perspectives on Its Sustainability. Sustainability 2014, 6, 1623–1642. [Google Scholar] [CrossRef]
  82. Obarska-Pempkowiak, H.; Kołecka, K.; Gajewska, M.; Wojciechowska, E.; Ostojski, A. Sustainable Wastewater Management Based on the Example of Rural Areas. Annu. Set Environ. Prot. 2015, 17, 585–602. Available online: http://ros.edu.pl/images/roczniki/2015/036_ROS_V17_R2015.pdf (accessed on 12 September 2025).
  83. Digaletos, M.; Ptacek, C.J.; Thomas, J.; Liu, Y.Y. Chemical and Biological Tracers to Identify Source and Transport Pathways of Septic System Contamination to Streams in Areas with Low Permeability Soils. Sci. Total Environ. 2023, 870, 161866. [Google Scholar] [CrossRef] [PubMed]
  84. Mester, T.; Szabó, G.; Sajtos, Z.; Baranyai, E.; Kiss, E.; Balla, D. Assessment of Groundwater Decontamination Processes around a Dismantled Septic Tank Using GIS and Statistical Analysis. Water 2023, 15, 884. [Google Scholar] [CrossRef]
  85. Mattioli, M.C.; Benedict, K.M.; Murphy, J.; Kahler, A.; Kline, K.E.; Longenberger, A.; Mitchell, P.K.; Watkins, S.; Berger, P.; Shanks, O.C.; et al. Identifying Septic Pollution Exposure Routes during a Waterborne Norovirus Outbreak—A New Application for Human-Associated Microbial Source Tracking qPCR. J. Microbiol. Methods 2021, 180, 106091. [Google Scholar] [CrossRef]
  86. Kruszelnicka, I.; Ginter-Kramarczyk, D.; Komorowska-Kaufaman, M. Przydomówki—Bezobsługowo, Tanio, Ekologicznie? Wodociągi Kanaliz. 2013, 1, 30–33. Available online: https://portalkomunalny.pl/plus/artykul/przydomowki-bezobslugowo-tanio-ekologicznie/ (accessed on 12 September 2025). (In Polish).
  87. Van Cuyk, S.; Siegrist, R.; Logan, A.; Masson, S.; Fisher, E.; Figueroa, L. Hydraulic and Purification Behaviors and Their Interaction during Wastewater Treatment in Soil Infiltration Systems. Water Res. 2001, 35, 953–964. [Google Scholar] [CrossRef]
  88. Regulation No1311/2019 of the Minister of Maritime Economy and Inland Navigation on Substances Particularly Harmful to the Aquatic Environment and the Conditions to Be Met When Discharging Sewage into Water or Land, as Well as When Discharging Rainwater or Meltwater into Water or Facilities Water. Available online: https://isap.sejm.gov.pl/isap.nsf/DocDetails.xsp?id=WDU20190001311 (accessed on 12 September 2025). (In Polish)
  89. Regulation No 1566/2017. Water Law. Available online: https://isap.sejm.gov.pl/isap.nsf/DocDetails.xsp?id=WDU20170001566 (accessed on 12 September 2025). (In Polish)
  90. Sha, C.; Shen, S.; Zhang, J.; Zhou, C.; Lu, X.; Zhang, H. A Review of Strategies and Technologies for Sustainable Decentralized Wastewater Treatment. Water 2024, 16, 3003. [Google Scholar] [CrossRef]
  91. Abdallah, M.; Shanableh, A.; Elshazly, D.; Feroz, S. Techno-economic and environmental assessment of wastewater management systems: Life cycle approach. Environ. Impact Assess. Rev. 2020, 82, 106378. [Google Scholar] [CrossRef]
  92. Garrido-Baserba, M.; Vinardell, S.; Molinos-Senante, M.; Rosso, D.; Poch, M. The economics of wastewater treatment decentralization: A techno-economic evaluation. Environ. Sci. Technol. 2018, 52, 8965–8976. [Google Scholar] [CrossRef]
  93. Bioeden. Available online: https://www.bioeden.eu (accessed on 12 September 2025). (In Polish).
  94. Bioires. Available online: https://bioires.pl (accessed on 12 September 2025). (In Polish).
  95. Ecopol. Available online: https://www.ekopol.pl (accessed on 12 September 2025). (In Polish).
  96. Ekodren. Available online: https://ekodren.pl (accessed on 12 September 2025). (In Polish).
  97. Ekohouse. Available online: https://ekohouse-oczyszczalnie.pl (accessed on 12 September 2025). (In Polish).
  98. Haba. Available online: https://haba.pl (accessed on 12 September 2025). (In Polish).
  99. Sedyment. Available online: http://www.sedyment.com.pl (accessed on 12 September 2025). (In Polish).
  100. Directive (EU) 2024/3019 of the European Parliament and of the Council of 27 November 2024 Concerning Urban Wastewater Treatment (Recast) (Text with EEA Relevance). Available online: https://eur-lex.europa.eu/eli/dir/2024/3019/oj/eng (accessed on 12 September 2025).
  101. Bugajski, P.M.; Kurek, K.; Młyński, D.; Operacz, A. Designed and Real Hydraulic Load of Household Wastewater Treatment Plants. J. Water Land Dev. 2019, 40, 155–160. [Google Scholar] [CrossRef]
  102. Adhikari, S.; Halden, R.U. Opportunities and limits of wastewater-based epidemiology for tracking global health and attainment of UN sustainable development goals. Environ. Int. 2022, 163, 107217. [Google Scholar] [CrossRef]
  103. Janković, M.; Bartula, M.; Šekler, I.; Kosanović, N.; Milunović, I. Multi-criteria evaluation: A tool for selecting sustainable wastewater management options in rural areas. Environ. Eng. Manag. J. 2024, 23, 2267–2274. [Google Scholar] [CrossRef]
  104. Regulation No 8 (Item70)/2002 of the Minister of Infrastructure on Determining Average Water Consumption Standards. Available online: https://isap.sejm.gov.pl/isap.nsf/DocDetails.xsp?id=wdu20020080070 (accessed on 12 September 2025). (In Polish)
  105. Daudey, L. The cost of urban sanitation solutions: A literature review. J. Water Sanit. Hyg. Dev. 2018, 8, 176–195. [Google Scholar] [CrossRef]
  106. IRPOL. ‘Concrete Septic Tanks’. Available online: https://szambabetonowe.expert (accessed on 12 September 2025). (In Polish).
  107. Mamut. Available online: https://szambamamut.pl (accessed on 12 September 2025). (In Polish).
  108. Septic. Two-Chamber Septic Tank. Available online: https://szamba-septic.pl (accessed on 12 September 2025). (In Polish).
  109. Pazdro, Z.; Kozerski, B. General Hydrogeology; Wydawnictwa Geologiczne: Warszawa, Poland, 1990; ISBN 83-220-0357-9. (In Polish) [Google Scholar]
  110. kb.pl (2024) ‘Price List for Septic Tank Removal 2024 in Various Regions of Poland’. Available online: https://kb.pl/budownictwo/szamba-i-oczyszczalnie/cennik-wywozu-szamba-w-roznych-regionach-polski/ (accessed on 12 September 2025). (In Polish).
  111. Extradom.pl. (2024) ‘How Much Does Septic Tank Removal Cost? Available online: https://www.extradom.pl/porady/artykul-ile-kosztuje-wywoz-szamba-cena-za-rok-2022 (accessed on 12 September 2025). (In Polish).
  112. Home Sewage Treatment Plants—Types and Construction Costs. Available online: https://www.morizon.pl/blog/przydomowe-oczyszczalnie-sciekow-rodzaje-i-koszty-budowy/ (accessed on 12 September 2025). (In Polish).
  113. Mishan, E.J.; Quah, E. Cost-Benefit Analysis; Praeger: New York, NY, USA, 1976. [Google Scholar]
  114. Griffin, R.C. The Fundamental Principles of Cost-Benefit Analysis. Water Resour. Res. 1998, 34, 2063–2071. Available online: https://agupubs.onlinelibrary.wiley.com/doi/pdf/10.1029/98WR01335 (accessed on 12 September 2025). [CrossRef]
  115. Musz-Pomorska, A.; Widomski, M.K.; Gołębiowska, J. Financial sustainability of selected rain water harvesting systems for single-family house under conditions of Eastern Poland. Sustainability 2020, 12, 4853. [Google Scholar] [CrossRef]
  116. McPherson, E.G.; Simpson, J.R.; Peper, P.J.; Gardner, S.L.; Vargas, K.E.; Xiao, Q. Northeast Community Tree Guide: Benefits, Costs, and Strategic Planting; Gen. Tech. Rep. PSW-GTR-202; U.S. Department of Agriculture, Forest Service, Pacific Southwest Research Station: Albany, CA, USA, 2010.
  117. Coleman, A.; Grimes, A. Betterment taxes, capital gains and benefit cost ratios. Econ. Lett. 2010, 109, 54–56. [Google Scholar] [CrossRef]
  118. McEwan, P.J. Cost-effectiveness analysis of education and health interventions in developing countries. J. Dev. Eff. 2012, 4, 189–213. [Google Scholar] [CrossRef]
  119. Weingartner, H.M. Some new views on the payback period and capital budgeting decisions. Manag. Sci. 1969, 15, B594. [Google Scholar] [CrossRef]
  120. Boardman, C.M.; Reinhart, W.J.; Celec, S.E. The role of the payback period in the theory and application of duration to capital budgeting. J. Bus. Financ. Account. 1982, 9, 511–522. [Google Scholar] [CrossRef]
  121. Berry, K.; Charnley, G.; Eberstadt, N.; Glantz, M.; Loewen, E.; Moore, T.; Opie, J.; Rutherford, F.; Seitz, F.; Sedjo, R.; et al. Environmental Economics Volume 1: The Essentials; Environmental Literacy Council: Washington, DC, USA, 2007. [Google Scholar]
  122. Locatelli, L.; Guerrero, M.; Russo, B.; Martínez-Gomariz, E.; Sunyer, D.; Martínez, M. Socio-economic assessment of green infrastructure for climate change adaptation in the context of urban drainage planning. Sustainability 2020, 12, 3792. [Google Scholar] [CrossRef]
  123. Rączka, J. The cost-effectiveness analysis—A superior alternative to the cost-benefit analysis of environmental infrastructure investments. In Proceedings of the Fifth European Conference on Evaluation of the Structural Funds: Challenges for Evaluation in an Enlarged Europe, Budapest, Hungary, 26–27 June 2003. [Google Scholar]
  124. Widomski, M.K.; Ładziak, E.; Łagód, G. Economic aspects of sustainable sanitation in rural settlements. Archit. Civ. Eng. Environ. 2017, 10, 153–162. [Google Scholar] [CrossRef]
  125. Tuominen, P.; Reda, F.; Dawoud, W.; Elboshy, B.; Elshafei, G.; Negm, A. Economic appraisal of energy efficiency in buildings using cost-effectiveness assessment. Procedia Econ. Financ. 2015, 21, 422–430. [Google Scholar] [CrossRef]
  126. Vouk, D.; Malus, D.; Halkijevic, I. Neural networks in economic analyses of wastewater systems. Expert Syst. Appl. 2011, 38, 10031–10035. [Google Scholar] [CrossRef]
  127. Commission Delegated Regulation No 480/2014. Supplementing Regulation (EU) No 1303/2013 of the European Parliament and of the Council Laying down Common Provisions on the European Regional Development Fund, the European Social Fund, the Cohesion Fund, the European Agricultural Fund for Rural Development and the European Maritime and Fisheries Fund and Laying down General Provisions on the European Regional Development Fund, the European Social Fund, the Cohesion Fund and the European Maritime and Fisheries Fund. Available online: https://www.funduszeeuropejskie.gov.pl/media/5190/NOWE_RD_480_2014.pdf (accessed on 12 September 2025). (In Polish)
  128. European Funds Portal. Guidelines on Issues Related to the Preparation of Investment Projects (Including Hybrid Ones) for the Years 2021–2027. Available online: https://www.funduszeeuropejskie.gov.pl/ (accessed on 30 October 2025). (In Polish)
  129. Wasiluk, J.; Hołota, E. Economic efficiency assessment of expanding sewage system in a rural area located in a mountainous region. Gaz Woda I Tech. Sanit. 2024, 11, 9–13. (In Polish) [Google Scholar] [CrossRef]
  130. Janicka, K.; Iwanek, M. Economic profitability analysis of selected sanitary sewage systems for suburban conditions. Gaz Woda I Tech. Sanit. 2021, 7–8, 18–21. (In Polish) [Google Scholar]
  131. Jin, Y.; Lee, S.; Kang, T.; Park, J.; Kim, Y. Capacity Optimization of Rainwater Harvesting Systems Based on a Cost–Benefit Analysis: A Financial Support Program Review and Parametric Sensitivity Analysis. Water 2023, 15, 186. [Google Scholar] [CrossRef]
  132. James, D.; Francisco, H.A. (Eds.) Cost-Benefit Studies of Natural Resource Management in Southeast Asia; Springer: Singapore, 2015. [Google Scholar] [CrossRef]
  133. Castillo, J.G.; Zhangallimbay, D. The Social Discount Rate in the Evaluation of Investment Projects: An Application for Ecuador. CEPAL Rev. 2021, 134, 75–95. [Google Scholar] [CrossRef]
  134. Zhuang, J.; Liang, Z.; Lin, T.; De Guzman, F. Theory and Practice in the Choice of Social Discount Rate for Cost-Benefit Analysis: A Survey; Technical Report; ERD Working Paper Series No. 94; Asian Development Bank (ADB): Metro Manila, Philippines, 2007. (In Polish) [Google Scholar]
  135. PGE. Tariff Offer. Available online: https://www.gkpge.pl/dla-domu/oferta/oferta-taryfowa (accessed on 30 October 2025). (In Polish).
  136. Mehri, M.; Shahdany, S.M.H.; Javadi, S.; Movahedinia, M.; Berndtsson, R. Block-scale use of bioretention cells to restore the urban water balance: A case study in Tehran metropolis. J. Hydrol. Reg. Stud. 2024, 51, 101621. [Google Scholar] [CrossRef]
  137. Yazdi, M.N.; Ketabchy, M.; Sample, D.J.; Scott, D.; Liao, H. An evaluation of HSPF and SWMM for simulating streamflow regimes in an urban watershed. Environ. Model. Softw. 2019, 118, 211–225. [Google Scholar] [CrossRef]
  138. Lewicka, A.; Widomski, M.K.; Łagód, G. Economic analyses in sewage system designing for rural settlements—Case study. Archit. Civ. Eng. Environ. 2016, 2, 145–152. [Google Scholar] [CrossRef]
  139. Peter, G.; Nkambule, S.E. Factors affecting sustainability of rural water schemes in Swaziland. Phys. Chem. Earth A/B/C 2012, 50–52, 196–204. [Google Scholar] [CrossRef]
  140. William, F.; Mozumder, V.P.; Hernández-Arce, J.; Berrens, R.P. Willingness to pay for safe drinking water: Evidence from Parral, Mexico. J. Environ. Manag. 2009, 90, 3391–3400. [Google Scholar] [CrossRef] [PubMed]
  141. Kwangware, J.; Mayo, A.; Hoko, Z. Sustainability of donor-founded rural water supply and sanitation projects in Mbire district, Zimbabwe. Phys. Chem. Earth A/B/C 2014, 76–78, 134–139. [Google Scholar] [CrossRef]
  142. POIiŚ (2016) ‘Feasibility Study. Priority Axis 2.3. Construction of a Sanitary Sewage System with Connections in the Town of Radków. Stage V, VI, VII’. Available online: https://www.google.com/url?sa=t&rct=j&q=&esrc=s&source=web&cd=&ved=2ahUKEwi_ovG3guv0AhVJxIsKHVX8CXkQFnoECAIQAQ&url=https%3A%2F%2Fwww.prawomiejscowe.pl%2Fapi%2Ffile%2FGetZipxAttachment%2F8%2F35207%2Fpreview&usg=AOvVaw054GP5a7tDUqAfCiBP3qx5 (accessed on 12 September 2025). (In Polish).
  143. Li, W.; Liu, Z. A method of SVM with normalization in intrusion detection. Procedia Environ. Sci. 2011, 11, 256–262. [Google Scholar] [CrossRef]
  144. Balaha, H.M.; Hassan, A.E. Framework for segmentation, optimization, and recognition of multivariate brain tumors. In Advances in Neural Engineering, Signal Processing Strategies; El-Baz, A.S., Suri, J.S., Eds.; Academic Press: Cambridge, MA, USA, 2025; pp. 1–32. [Google Scholar] [CrossRef]
  145. Wu, S.; He, B.-J. Assessment of Economic, Environmental, and Technological Sustainability of Rural Sanitation and Toilet Infrastructure and Decision Support Model for Improvement. Sustainability 2024, 16, 4384. [Google Scholar] [CrossRef]
  146. Lourenço, N.; Nunes, L.M. Review of Dry and Wet Decentralized Sanitation Technologies for Rural Areas: Applicability, Challenges and Opportunities. Environ. Manag. 2020, 65, 642–664. [Google Scholar] [CrossRef]
  147. Tomczuk, B.; Ochrymiuk, D. Effectiveness of Vertical Flow Constructed Wetlands Based on Results of the Annual Research Project. Inż. Ekol. 2012, 28, 57–67. Available online: http://yadda.icm.edu.pl/baztech/element/bwmeta1.element.baztech-article-BPWR-0003-0055 (accessed on 11 September 2025). (In Polish).
  148. Jóźwiakowski, K.; Mucha, Z.; Generowicz, A.; Baran, S.; Bielińska, J. The Use of Multi-Criteria Analysis for Selection of Technology for a Household WWTP Compatible with Sustainable Development. Arch. Environ. Prot. 2015, 41, 76–82. [Google Scholar] [CrossRef]
  149. Perks, A.; Johnson, T. Review of On-Site and Communal Water and Sanitation Systems for Remote Communities. WIT Trans. Ecol. Environ. 2008, 108, 275–283. [Google Scholar] [CrossRef]
  150. Mucha, Z.; Mikosz, J. Rational Application of Small Wastewater Treatment Plants According to Sustainability Criteria. Czas. Tech. Politech. Krak. 2009, 2, 92–100. Available online: https://repozytorium.biblos.pk.edu.pl/redo/resources/33404/file/suwFiles/MuchaZ_RacjonalneStosowanie.pdf (accessed on 12 September 2025). (In Polish).
  151. Watabe, S.; Lohman, H.A.C.; Li, Y.; Morgan, V.L.; Rowles, L.S.; Stephen, T.; Shyu, H.-Y.; Bair, R.A.; Castro, C.J.; Cusick, R.D.; et al. Advancing the Economic and Environmental Sustainability of the NEWgenerator Nonsewered Sanitation System. ACS Environ. Au 2023, 3, 209–222. [Google Scholar] [CrossRef]
  152. Schwetschenau, S.E.; Kovankaya, Y.; Elliott, M.A.; Allaire, M.; White, K.D.; Lall, U. Optimizing Scale for Decentralized Wastewater Treatment: A Tool to Address Failing Wastewater Infrastructure in the United States. ACS EST Eng. 2023, 3, 1–14. [Google Scholar] [CrossRef]
  153. Hughes, J.; Cowper-Heays, K.; Olesson, E.; Bell, R.; Stroombergen, A. Impacts and implications of climate change on wastewater systems: A New Zealand perspective. Clim. Risk Manag. 2021, 31, 100262. [Google Scholar] [CrossRef]
Figure 1. On-site household wastewater treatment bioreactor devices under study: (a) single-chamber tank with aerated trickling filter, (b) three-chamber tank with active sludge and aerated trickling filter, (c) five-chamber tank with active sludge and aerated trickling filter, (d) three-chamber tank with anaerobic treatment, aerated active sludge and secondary chambers, (e) six-chamber vertical tank with anaerobic treatment, aerated active sludge, secondary sludge and clarification chambers, (f) six-chamber cylindrical vertical bioreactor with low-loaded activated sludge, dual recirculation and aeration systems, (g) conical two-chamber tank with active sludge and aerated trickling filter, (h) single-chamber septic tank.
Figure 1. On-site household wastewater treatment bioreactor devices under study: (a) single-chamber tank with aerated trickling filter, (b) three-chamber tank with active sludge and aerated trickling filter, (c) five-chamber tank with active sludge and aerated trickling filter, (d) three-chamber tank with anaerobic treatment, aerated active sludge and secondary chambers, (e) six-chamber vertical tank with anaerobic treatment, aerated active sludge, secondary sludge and clarification chambers, (f) six-chamber cylindrical vertical bioreactor with low-loaded activated sludge, dual recirculation and aeration systems, (g) conical two-chamber tank with active sludge and aerated trickling filter, (h) single-chamber septic tank.
Sustainability 17 10241 g001
Figure 2. Proposed infiltration devices for permeable and poorly permeable soils: (a) drainage pipes in excavation, (b) drainage pipes in embankment, (c) drainage packages in excavation, (d) drainage packages in embankment.
Figure 2. Proposed infiltration devices for permeable and poorly permeable soils: (a) drainage pipes in excavation, (b) drainage pipes in embankment, (c) drainage packages in excavation, (d) drainage packages in embankment.
Sustainability 17 10241 g002
Figure 3. Calculated values of Payback Period indicator for all tested variants of on-site household sanitation.
Figure 3. Calculated values of Payback Period indicator for all tested variants of on-site household sanitation.
Sustainability 17 10241 g003
Figure 4. Calculated values of Net Present Value indicator for all tested variants of on-site household sanitation and discount rate of 5%, threshold of profitability NPV > 0.0, error bars: results of sensitivity analysis for discount rates of 4 and 6%.
Figure 4. Calculated values of Net Present Value indicator for all tested variants of on-site household sanitation and discount rate of 5%, threshold of profitability NPV > 0.0, error bars: results of sensitivity analysis for discount rates of 4 and 6%.
Sustainability 17 10241 g004
Figure 5. Calculated values of Benefits–Costs Ratio indicator for all tested variants of on-site household sanitation, threshold of profitability BCR > 1.0, error bars: results of sensitivity analysis for discount rates of 4 and 6%.
Figure 5. Calculated values of Benefits–Costs Ratio indicator for all tested variants of on-site household sanitation, threshold of profitability BCR > 1.0, error bars: results of sensitivity analysis for discount rates of 4 and 6%.
Sustainability 17 10241 g005
Figure 6. Determined values of Dynamic Generation Cost for all tested variants of on-site household sanitation, error bars: results of sensitivity analysis for discount rates of 4 and 6%.
Figure 6. Determined values of Dynamic Generation Cost for all tested variants of on-site household sanitation, error bars: results of sensitivity analysis for discount rates of 4 and 6%.
Sustainability 17 10241 g006
Figure 7. Factors affecting economic efficiency of studied on-site household bioreactors equipped with different filtration devices on permeable and poorly permeable soils: (a) relation between BCR and investment cost components, (b) relation between BCR and operation and maintenance cost components.
Figure 7. Factors affecting economic efficiency of studied on-site household bioreactors equipped with different filtration devices on permeable and poorly permeable soils: (a) relation between BCR and investment cost components, (b) relation between BCR and operation and maintenance cost components.
Sustainability 17 10241 g007
Figure 8. Factors affecting cost-efficiency of studied on-site household bioreactors equipped with different filtration devices on permeable and poorly permeable soils: (a) relation between DGC and investment costs, (b) relation between DGC and operation and maintenance costs.
Figure 8. Factors affecting cost-efficiency of studied on-site household bioreactors equipped with different filtration devices on permeable and poorly permeable soils: (a) relation between DGC and investment costs, (b) relation between DGC and operation and maintenance costs.
Sustainability 17 10241 g008
Figure 9. Results of weighted sum model calculations performed for all tested variants of on-site sewage management; note that rescaling max normalization was applied.
Figure 9. Results of weighted sum model calculations performed for all tested variants of on-site sewage management; note that rescaling max normalization was applied.
Sustainability 17 10241 g009
Table 1. Studied on-site household sanitation devices.
Table 1. Studied on-site household sanitation devices.
VariantDescriptionInvestment Costs
(Euro)
Annual Mean O&M Costs
(Euro)
1Single-chamber tank, aerated trickling filter, length 2.15 m, width 1.24 m, earthworks volume 19.68 m3
Energy consumption 0.72 kWh/day
Sludge transport once per 24 months
a 5178.98
b 5644.09
c 4788.44
d 5329.14
a and c 119.26
b and d 209.49
2Three-chamber tank, active sludge and aerated trickling filter, volume 2.3 m3, length 1.8 m, width 1.6 m, height 1.45 m, earthworks volume 20.75 m3
Energy consumption 0.69 kWh/day
Sludge transport once per 6 months
a 4135.12
b 4704.88
c 3744.58
d 4389.93
a and c 213.91
b and d 304.13
3Five-chamber tank, active sludge and aerated trickling filter, length 2.46 m, width 1.42 m, height 1.7 m, earthworks volume 22.63 m3
Energy consumption 0.9 kWh/day
Sludge transport once per 12 months
a 4335.58
b 4905.35
c 3945.05
d 4590.40
a and c 131.07
b and d 221.30
4Three-chamber bioreactor tank, anaerobic treatment, aerated active sludge, secondary chambers, length
2.3 m, width 1.7 m, height 1.1 m, earthworks volume 18.71 m3
Energy consumption 0.60 kWh/day
Sludge transport once per 9 months
a 4511.79
b 5081.56
c 4121.26
d 4766.61
a and c 157.85
b and d 248.07
5Six-chamber vertical bioreactor tank, anaerobic treatment, aerated active sludge, secondary sludge and clarification chambers, length 1.8 m, diameter 1.41 m3, volume 1.79 m3, earthworks volume 10.07 m3
Energy consumption 0.60 kWh/day
Sludge transport once per year
a 4405.16
b 4974.93
c 4014.63
d 4659.98
a and c 173.11
b and d 263.34
6Six-chamber cylindrical vertical bioreactor, low-loaded activated sludge, dual recirculation and aeration systems, diameter 1.4 m, height 1.8 m, earthworks volume 14.77 m3
Energy consumption 0.90 kWh/day
Sludge transport once per year
a 4610.79
b 5180.56
c 4220.26
d 4865.61
a and c 173.11
b and d 263.34
7Conical two-chamber tank, active sludge and aerated trickling filter, diameter 1.7 m, height 2.85 m, earthworks volume 14.53 m3
Energy consumption 1.42 kWh/day
Sludge transport once per 18 months
a 4821.79
b 5180.56
c 4447.14
d 5092.49
a and c 298.34
b and d 388.57
8Single-chamber tank, volume 2.3 m3, length 1.61 m, width 1.91 m, height 1.5 m,
earthworks volume 19.99 m3
Drainage filter and pipelines flushing once per 12 months
Sludge transport once per 24 months
Filtration layer exchange after 20 years
a 5157,00
b 5416.07
c 2898.56
d 3401.47
a 202.29
b 345.32
c 154.78
d 297.80
Table 2. The declared reduction and the reduction reported in the literature of BOD5, COD, and TSS for the studied devices of on-site household sanitation [93,94,95,96,97,98,99,106,107,108].
Table 2. The declared reduction and the reduction reported in the literature of BOD5, COD, and TSS for the studied devices of on-site household sanitation [93,94,95,96,97,98,99,106,107,108].
Reduction (%)
VariantBOD5CODTSS
Variant 19997.494.6
Variant 2939296
Variant 3978692
Variant 492.98892.4
Variant 598.294.497.2
Variant 6979295
Variant 792.48491
Variant 89083.570
Table 3. Assumed input data for sensitivity analysis for economic profitability and cost-efficiency determination.
Table 3. Assumed input data for sensitivity analysis for economic profitability and cost-efficiency determination.
Input DataInitial ValueMinimal ValueMaximum Value
Discount rate (%)546
Energy price (EUR/kWh)0.290.140.44
System lifetime (years)302040
Mean price of sewage and sludge transport (EUR/m3)11.868.9014.83
Table 4. Assumed weight factors for assessed economic criteria.
Table 4. Assumed weight factors for assessed economic criteria.
IndicatorWeight Factor (%)
Profitability60
Cost-efficiency40
Table 5. Sensitivity coefficient values calculated for variable discount rates and all tested variants of on-site wastewater management systems.
Table 5. Sensitivity coefficient values calculated for variable discount rates and all tested variants of on-site wastewater management systems.
VariantSensitivity Coefficient for Variable Discount Rate
ProfitabilityCost-Efficiency
abcdabcd
Variant 1−0.389−0.333−0.381−0.3260.3880.3330.3800.325
Variant 2−0.290−0.260−0.276−0.2510.2890.2600.2760.250
Variant 3−0.358−0.308−0.347−0.2990.3580.3070.3460.299
Variant 4−0.341−0.297−0.329−0.2890.3400.2970.3290.289
Variant 5−0.326−0.287−0.314−0.2780.3250.2860.3130.278
Variant 6−0.337−0.296−0.325−0.2870.3360.2950.3250.287
Variant 7−0.266−0.246−0.255−0.2380.2660.2460.2550.238
Variant 8−0.326−0.262−0.286−0.2200.3260.2620.2850.220
Table 6. Sensitivity coefficient values calculated for variable energy prices and all tested variants of on-site wastewater management systems.
Table 6. Sensitivity coefficient values calculated for variable energy prices and all tested variants of on-site wastewater management systems.
VariantSensitivity Coefficient for Variable Energy Prices
ProfitabilityCost-Efficiency
abcdabcd
Variant 1−0.177−0.302−0.187−0.3140.1750.2950.1860.306
Variant 2−0.158−0.277−0.167−0.2860.1570.2710.1650.319
Variant 3−0.245−0.363−0.261−0.3780.2410.3510.2570.364
Variant 4−0.148−0.276−0.156−0.2860.1450.2700.1530.280
Variant 5−0.145−0.271−0.153−0.2810.1440.2660.1520.275
Variant 6−0.216−0.328−0.228−0.3400.2130.3190.2250.330
Variant 7−0.259−0.341−0.269−0.3510.2540.3310.2640.340
Variant 80.000−0.1300.000−0.1740.0000.1290.0000.173
Table 7. Sensitivity coefficient values calculated for variable systems lifetime and all tested variants of on-site wastewater management systems.
Table 7. Sensitivity coefficient values calculated for variable systems lifetime and all tested variants of on-site wastewater management systems.
VariantSensitivity Coefficient for Variable System Lifetime
ProfitabilityCost-Efficiency
abcdabcd
Variant 10.3190.2760.3120.270−0.343−0.293−0.215−0.184
Variant 20.2420.2180.2310.210−0.255−0.229−0.156−0.142
Variant 30.2950.2560.2860.249−0.316−0.271−0.196−0.169
Variant 40.2810.2480.2720.241−0.206−0.262−0.186−0.163
Variant 50.1740.1560.1690.151−0.197−0.253−0.177−0.157
Variant 60.2780.2460.2700.240−0.204−0.261−0.184−0.162
Variant 70.2230.2070.2140.200−0.234−0.217−0.144−0.134
Variant 80.2700.2190.2380.186−0.287−0.231−0.161−0.124
Table 8. Sensitivity coefficient values calculated for variable sewage and sludge transport costs and all tested variants of on-site wastewater management systems.
Table 8. Sensitivity coefficient values calculated for variable sewage and sludge transport costs and all tested variants of on-site wastewater management systems.
VariantSensitivity Coefficient for Variable Sewage and Sludge Transport Costs
ProfitabilityCost-Efficiency
abcdabcd
Variant 10.9200.9370.9160.9350.1110.1410.1050.136
Variant 20.7050.7670.6890.7590.4750.6030.4510.583
Variant 30.9410.9550.9380.9540.0670.0880.0630.085
Variant 40.7880.8350.7750.8290.2950.3790.2780.366
Variant 50.8440.8780.8350.8740.2250.2890.2130.279
Variant 60.8460.8790.8370.8750.2280.2920.2160.282
Variant 70.8250.8560.8180.8520.4530.5500.4360.535
Variant 80.8660.8970.7920.8630.2640.3450.1690.258
Disclaimer/Publisher’s Note: The statements, opinions and data contained in all publications are solely those of the individual author(s) and contributor(s) and not of MDPI and/or the editor(s). MDPI and/or the editor(s) disclaim responsibility for any injury to people or property resulting from any ideas, methods, instructions or products referred to in the content.

Share and Cite

MDPI and ACS Style

Widomski, M.K.; Musz-Pomorska, A. Economic Sustainability of Selected Individual On-Site Systems of Rural Sanitation Under Conditions in Poland. Sustainability 2025, 17, 10241. https://doi.org/10.3390/su172210241

AMA Style

Widomski MK, Musz-Pomorska A. Economic Sustainability of Selected Individual On-Site Systems of Rural Sanitation Under Conditions in Poland. Sustainability. 2025; 17(22):10241. https://doi.org/10.3390/su172210241

Chicago/Turabian Style

Widomski, Marcin K., and Anna Musz-Pomorska. 2025. "Economic Sustainability of Selected Individual On-Site Systems of Rural Sanitation Under Conditions in Poland" Sustainability 17, no. 22: 10241. https://doi.org/10.3390/su172210241

APA Style

Widomski, M. K., & Musz-Pomorska, A. (2025). Economic Sustainability of Selected Individual On-Site Systems of Rural Sanitation Under Conditions in Poland. Sustainability, 17(22), 10241. https://doi.org/10.3390/su172210241

Note that from the first issue of 2016, this journal uses article numbers instead of page numbers. See further details here.

Article Metrics

Back to TopTop