An Optimal Two-Stage Tuned PIDF + Fuzzy Controller for Enhanced LFC in Hybrid Power Systems
Abstract
1. Introduction
1.1. General Overview
1.2. Literature Review
1.3. Motivation and Contributions
- Innovative Controller Design: An optimal two-stage LFC configuration is proposed, integrating a PID controller with filtered derivative action (PIDF) and a fuzzy fractional-order controller (Fuzzy FOPI–FOPD). This hierarchical design enhances system stability and reliability, ensuring the control framework remains effective even in the event of partial component failure.
- Dual Optimization Framework: The first stage PIDF is optimized using Particle Swarm Optimization (PSO) for rapid convergence and simplicity. The second-stage Fuzzy FOPI–FOPD controller is tuned using the Catch Fish Optimization Algorithm (CFOA), a novel metaheuristic effective in nonlinear search spaces.
- Comparative Performance Analysis: The proposed method is evaluated against conventional and advanced control techniques. Results confirm its superior ability to minimize transient deviations and maintain stable frequency regulation.
- Robustness Evaluation Under Realistic Conditions: The controller is tested under nonlinearities such as GRC and GDB, as well as system parameter uncertainties. It consistently demonstrates stable operation and low sensitivity to disturbances, confirming its robustness in dynamic and uncertain environments.
1.4. Paper Structure
2. Power Systems Under Study: Modeling and Parameters
2.1. Hybrid Power System One
2.1.1. BES Model
2.1.2. SMES Model
2.1.3. Diesel Generator Model
2.2. GDB and GRC Modeling and Integration
2.3. Hybrid Power System Two
3. The Proposed Controller and Tuning Tool
3.1. Two-Stage Optimized PIDF Plus Fuzzy Architecture
3.2. The Primary PIDF
3.3. PIDF Plus Fuzzy Logic Control with FOPI–FOPD
3.4. The Suggested Tuning Tool: PSO Algorithm
- ⮚
- Particle Numbers: 50 solutions, governing the swarm size to modulate solution diversity and computational burden.
- ⮚
- Inertia weight: Linearly decreases from Wmax = 1.2 (preserving momentum for global exploration) to Wmin = 0.2 (intensifying local exploitation).
- ⮚
- Cognitive coefficient: C1 = 1.2 (attraction to personal best positions).
- ⮚
- Social coefficient: C2 = 1.2 (attraction to swarm optimal solutions).
- ⮚
- Velocity constraints: Confined to ±0.2 (ub − lb) (20% of design variable bounds), preventing oscillatory divergence while maintaining search efficacy.
- ⮚
- Termination criterion: 100 iterations.
3.5. The Suggested Tuning Tool: CFO Algorithm
- (1)
- Exploration Phase
- ⮚
- Independent Search: Agents prioritize personal search efforts, generating disturbances to reveal hidden opportunities.
- ⮚
- Assess Capture Rate (α): A stochastic threshold determines whether agents continue exploring independently or transition to coordinated behavior.
- ⮚
- Update Positions: Based on local success and observed patterns, agents adjust positions dynamically, refining trajectories or relocating as needed.
- (2)
- Exploitation Phase
- ⮚
- Group Formation: Agents cluster in small groups (typically 3–4) around target areas, establishing a centroid reference.
- ⮚
- Coordinated Encirclement: Groups apply Gaussian distributed spatial patterns, with central agents focusing on core targets and peripheral agents intercepting escape paths.
- ⮚
- Global Best Referencing: Position updates are fine-tuned relative to the global best solution, with displacement magnitudes adapting over time to improve precision.
3.6. Cost Function
4. Results and Discussion
4.1. Effectiveness Analysis
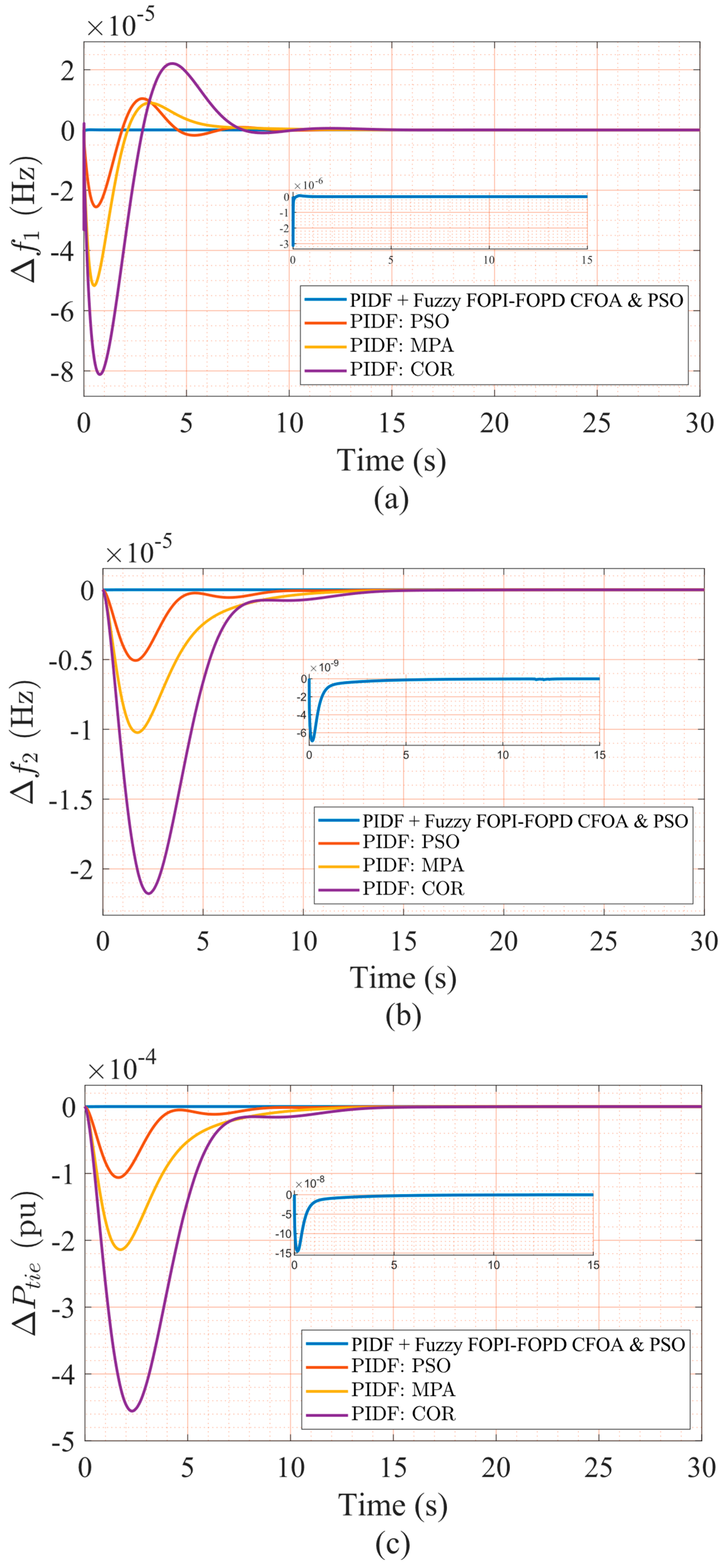
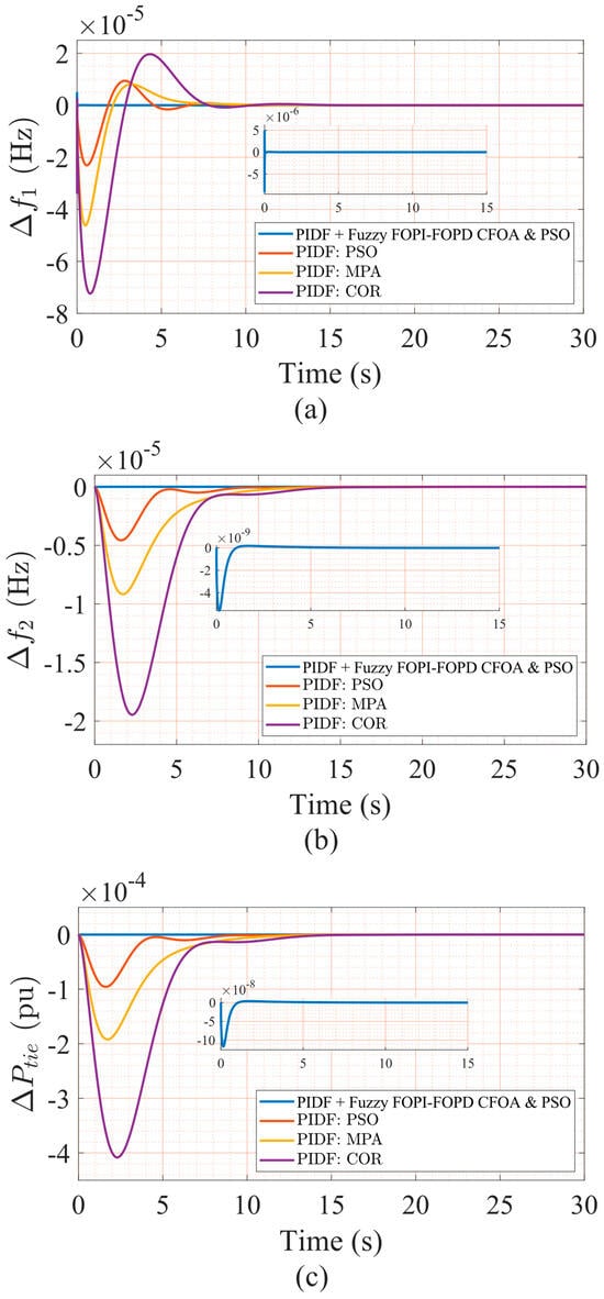
4.1.1. First Hybrid Power System Studied
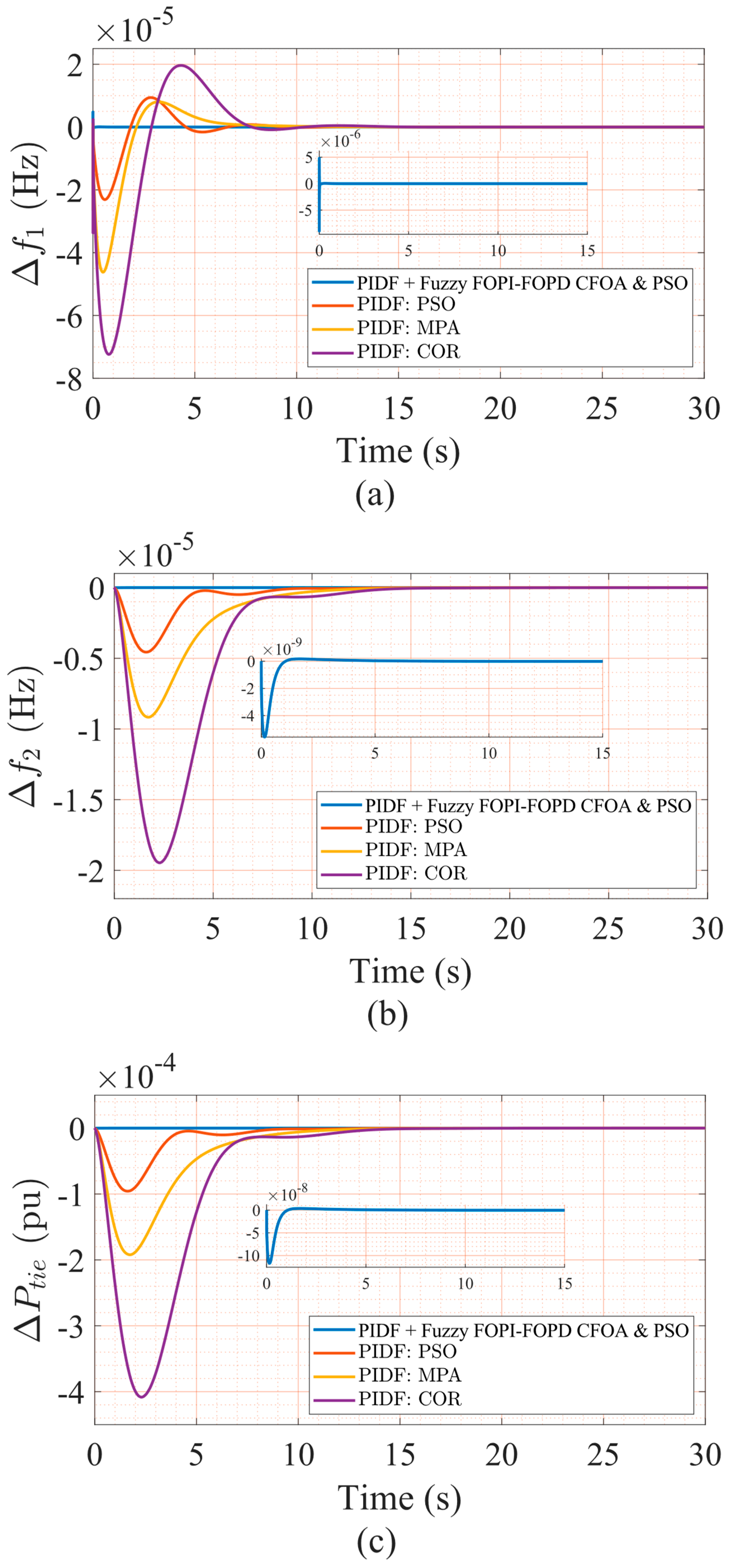
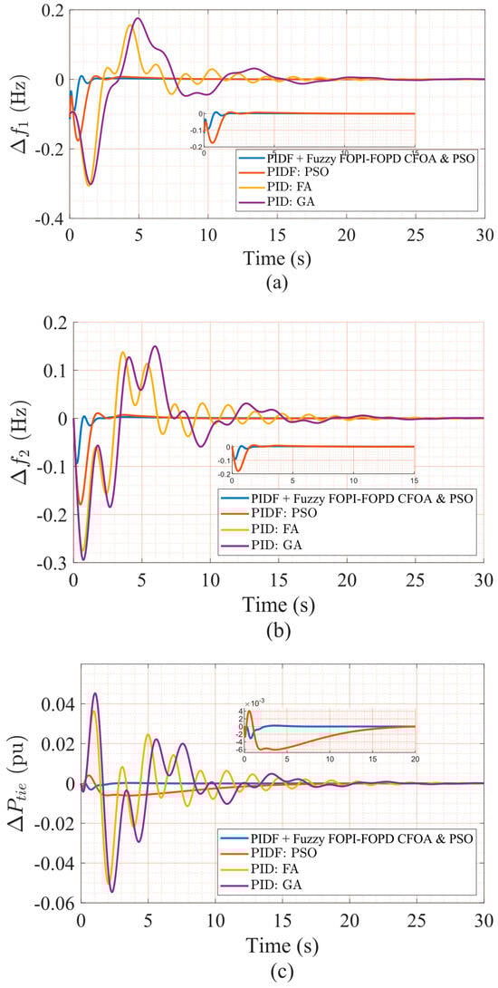
4.1.2. Second Hybrid Power System Studied
4.2. Robustness Analysis
4.2.1. Robustness Against Nonlinearities
4.2.2. Robustness Against Parametric Uncertainty
4.3. Effect of Random Load Disturbance
5. Conclusions and Future Work
Author Contributions
Funding
Data Availability Statement
Acknowledgments
Conflicts of Interest
Abbreviations
| LFC | Load frequency control. |
| FOPID | Fractional order proportional–integral–derivative. |
| PI | Proportional and integral. |
| FLC | Fuzzy logic controller. |
| CFOA | Catch fish optimization algorithm. |
| ITAE | Integral of time-weighted absolute error. |
| GDB | Governor dead band. |
| GRC | Generation rate constraint. |
| PSO | Particle swarm optimization. |
| GA | Genetic algorithm. |
| ITEA | Integral of time multiplied error in area. |
| ACE | Area control error. |
| MF | Membership function. |
| NB | Negative big. |
| NS | Negative small. |
| Z | Zero. |
| PS | Positive small. |
| PB | Positive big. |
| SLP | Step load perturbation. |
| DG | Distributed generation. |
| BES | Battery energy storage. |
| SMES | Superconducting magnetic energy storage. |
| RES | Renewable energy sources. |
| AVR | Automatic voltage regulator. |
| TLBO | Teaching–learning-based optimization. |
| PIDF | Proportional, integral, derivative with filter. |
| FOPI | Fractional order proportional–integral. |
| FOPD | Fractional order proportional–derivative. |
Appendix A
References
- Shouran, M.; Anayi, F.; Packianather, M. A State-of-The-Art Review on LFC Strategies in Conventional and Modern Power Systems. In Proceedings of the 2021 International Conference on Advance Computing and Innovative Technologies in Engineering, ICACITE 2021, Greater Noida, India, 4–5 March 2021; Institute of Electrical and Electronics Engineers Inc.: New York, NY, USA, 2021; pp. 268–277. [Google Scholar] [CrossRef]
- Singh, A.; Yadav, S.; Tiwari, N.; Nishad, D.K.; Khalid, S. Optimized PID controller and model order reduction of reheated turbine for load frequency control using teaching learning-based optimization. Sci. Rep. 2025, 15, 3759. [Google Scholar] [CrossRef] [PubMed]
- El-Rifaie, A.M.; Abid, S.; Ginidi, A.R.; Shaheen, A.M. Fractional Order PID Controller Based-Neural Network Algorithm for LFC in Multi-Area Power Systems. Eng. Rep. 2025, 7, 70028. [Google Scholar] [CrossRef]
- Shah, P.; Agashe, S. Review of fractional PID controller. Mechatronics 2016, 38, 29–41. [Google Scholar] [CrossRef]
- Nassef, A.M.; Abdelkareem, M.A.; Maghrabie, H.M.; Baroutaji, A. Metaheuristic-Based Algorithms for Optimizing Fractional-Order Controllers—A Recent, Systematic, and Comprehensive Review. Multidiscip. Digit. Publ. Inst. 2023, 7, 553. [Google Scholar] [CrossRef]
- Ramesh, M.; Yadav, A.K.; Pathak, P.K. Intelligent adaptive LFC via power flow management of integrated standalone micro-grid system. ISA Trans. 2021, 112, 234–250. [Google Scholar] [CrossRef] [PubMed]
- Dahab, Y.A.; Abubakr, H.; Mohamed, T.H. Adaptive load frequency control of power systems using electro-search optimization supported by the balloon effect. IEEE Access 2020, 8, 7408–7422. [Google Scholar] [CrossRef]
- Van Huynh, V.; Naqvi, S.; Nguyen, B.L.H.; Tran, A.T.; Shim, J.W.; Do, T.D. Robust super-twisting algorithm-based single-phase sliding mode frequency controller in power systems integrating wind turbines and energy storage systems. Sci. Rep. 2025, 15, 19740. [Google Scholar] [CrossRef]
- Deng, Z.; Xu, C.; Huo, Z.; Han, X.; Xue, F. Sliding Mode Based Load Frequency Control and Power Smoothing of Power Systems with Wind and BESS Penetration. Machines 2022, 10, 1225. [Google Scholar] [CrossRef]
- Gude, J.J.; Kahoraho, E.; Etxaniz, J. Practical aspects of PID controllers: An industrial experience. In Proceedings of the 2006 IEEE Conference on Emerging Technologies and Factory Automation, Prague, Czech Republic, 20–22 September 2006; IEEE: New York, NY, USA, 2006; pp. 870–878. [Google Scholar]
- Tuan, D.H.; Nguyen Ngoc Thanh, V.; Nguyen Chi, D.; Pham, V.H. Improving Frequency Control of Multi-Area Interconnected Hydro-Thermal Power System Using PSO Algorithm. Appl. Sci. 2025, 15, 2898. [Google Scholar] [CrossRef]
- Das, D.C.; Roy, A.K.; Sinha, N. GA based frequency controller for solar thermal-diesel-wind hybrid energy generation/energy storage system. Int. J. Electr. Power Energy Syst. 2022, 43, 262–279. [Google Scholar] [CrossRef]
- Munisamy, V.; Sundarajan, R.S. Hybrid technique for load frequency control of renewable energy sources with unified power flow controller and energy storage integration. Int. J. Energy Res. 2021, 45, 17834–17857. [Google Scholar] [CrossRef]
- Fathy, A.; Kassem, A.; Zaki, Z.A. A Robust Artificial Bee Colony-Based Load Frequency Control for Hydro-Thermal Interconnected Power System. Sustainability 2022, 4, 13569. [Google Scholar] [CrossRef]
- Khalil, A.E.; Boghdady, T.A.; Alham, M.H.; Ibrahim, D.K. Enhancing the Conventional Controllers for Load Frequency Control of Isolated Microgrids Using Proposed Multi-Objective Formulation via Artificial Rabbits Optimization Algorithm. IEEE Access 2023, 11, 3472–3493. [Google Scholar] [CrossRef]
- Mohamed, M.A.E.; Jagatheesan, K.; Anand, B. Modern PID/FOPID controllers for frequency regulation of interconnected power system by considering different cost functions. Sci. Rep. 2023, 13, 14084. [Google Scholar] [CrossRef]
- Dahiya, P.; Saha, A.K. Frequency Regulation of Interconnected Power System Using Black Widow Optimization. IEEE Access 2022, 10, 25219–25236. [Google Scholar] [CrossRef]
- Obma, J.; Audomsi, S.; Ardhan, K.; Sa-Ngiamvibool, W.; Chansom, N. Strategic Chess Algorithm-Based PI Controller Optimization for Load Frequency Control in Two-Area Hybrid Photovoltaic– Thermal Power Systems. Int. J. Robot. Control Syst. 2025, 5, 1156–1171. [Google Scholar] [CrossRef]
- Guha, D.; Roy, P.K.; Banerjee, S. Load frequency control of interconnected power system using grey Wolf optimization. Swarm. Evol. Comput. 2016, 27, 97–115. [Google Scholar] [CrossRef]
- Saleh, B.; Yousef, A.M.; Ebeed, M.; Abo-Elyousr, F.K.; Elnozahy, A.; Mohamed, M.; Abdelwahab, S.A.M. Design of PID Controller with Grid Connected Hybrid Renewable Energy System Using Optimization Algorithms. J. Electr. Eng. Technol. 2021, 16, 3219–3233. [Google Scholar] [CrossRef]
- Shafei, M.A.R.; Alzaher, A.N.A.; Ibrahim, D.K. Enhancing load frequency control of multi-area multi-sources power system including conventional and renewable energy units with nonlinearities. Indones. J. Electr. Eng. Comput. Sci. 2020, 19, 108. [Google Scholar] [CrossRef]
- Sharma, A.; Singh, N. Load frequency control of connected multi-area multi-source power systems using energy storage and lyrebird optimization algorithm tuned PID controller. J. Energy Storage 2024, 100, 113609. [Google Scholar] [CrossRef]
- Lalhmangaihzuala, F.; Datta, S.; Lalngaihawma, S.; Ustun, T.S.; Kalam, A. A renewable integrated multi-area system for LFC incorporating electrical vehicle with SoC estimation. Front. Energy Res. 2024, 12, 1508391. [Google Scholar] [CrossRef]
- Sobhy, M.A.; Abdelaziz, A.Y.; Hasanien, H.M.; Ezzat, M. Marine predators algorithm for load frequency control of modern interconnected power systems including renewable energy sources and energy storage units. Ain Shams Eng. J. 2021, 12, 3843–3857. [Google Scholar] [CrossRef]
- Khadanga, R.K.; Kumar, A.; Panda, S. A novel modified whale optimization algorithm for load frequency controller design of a two-area power system composing of PV grid and thermal generator. Neural. Comput. Appl. 2020, 32, 8205–8216. [Google Scholar] [CrossRef]
- Almutairi, S.Z.; Moustafa, G.; Hakmi, S.H.; Shaheen, A.M. Bonobo Optimizer Inspired PI-(1+DD) Controller for Robust Load Frequency Management in Renewable Wind Energy Systems. Int. J. Energy Res. 2025, 2025, 6874402. [Google Scholar] [CrossRef]
- Hasanien, H.M.; El-Fergany, A.A. Salp swarm algorithm-based optimal load frequency control of hybrid renewable power systems with communication delay and excitation cross-coupling effect. Electr. Power Syst. Res. 2019, 176, 105938. [Google Scholar] [CrossRef]
- Patel, S.; Mohanty, B.; Simhadri, K.S. Frequency Stability Analysis of Power System Using Competition Over Resources Technique Optimized PIDA Controller. Iran. J. Sci. Technol. Trans. Electr. Eng. 2022, 46, 57–75. [Google Scholar] [CrossRef]
- Elsaied, M.M.; Attia, M.A.; Mostafa, M.A.; Mekhamer, S.F. Application of Different Optimization Techniques to Load Frequency Control with WECS in a Multi-Area System. Electr. Power Compon. Syst. 2018, 46, 739–756. [Google Scholar] [CrossRef]
- Qingchao, L.; Jingjuan, W.; Qiang, L.; Fuling, W.; Yuanfang, C. Sediment Instability Caused by Gas Production from Hydrate-Bearing Sediment in Northern South China Sea by Horizontal Wellbore: Sensitivity Analysis. Nat. Resour. Res. 2025, 34, 1667–1699. [Google Scholar] [CrossRef]
- Li, Q.; Li, Q.; Wang, F.; Xu, N.; Wang, Y.; Bai, B. Settling behavior and mechanism analysis of kaolinite as a fracture proppant of hydrocarbon reservoirs in CO2 fracturing fluid. Colloids Surf. A Physicochem. Eng. Asp. 2025, 724, 137463. [Google Scholar] [CrossRef]
- Izci, D.; Ekinci, S.; Çelik, E.; Bajaj, M.; Blazek, V.; Prokop, L. Dynamic load frequency control in Power systems using a hybrid simulated annealing based Quadratic Interpolation Optimizer. Sci. Rep. 2024, 14, 26011. [Google Scholar] [CrossRef]
- Raju, M.; Saikia, L.C.; Sinha, N. Automatic generation control of a multi-area system using ant lion optimizer algorithm based PID plus second order derivative controller. Int. J. Electr. Power Energy Syst. 2016, 80, 52–63. [Google Scholar] [CrossRef]
- Gupta, D.K.; Dei, G.; Soni, A.K.; Jha, A.V.; Appasani, B.; Bizon, N.; Srinivasulu, A.; Nsengiyumva, P. Fractional order PID controller for load frequency control in a deregulated hybrid power system using Aquila Optimization. Results Eng. 2024, 23, 102442. [Google Scholar] [CrossRef]
- Shouran, M.; Anayi, F.; Packianather, M.; Habil, M. Load frequency control based on the bees algorithm for the great britain power system. Designs 2021, 5, 50. [Google Scholar] [CrossRef]
- Fathy, A.; Rezk, H.; Ferahtia, S.; Ghoniem, R.M.; Alkanhel, R.; Ghoniem, M.M. A New Fractional-Order Load Frequency Control for Multi-Renewable Energy Interconnected Plants Using Skill Optimization Algorithm. Sustainability 2022, 14, 14999. [Google Scholar] [CrossRef]
- Limon, M.F.A.; Upoma, R.S.; Sinha, N.; Swarna, S.R.; Nath, B.K.; Khanum, K.; Rahman, J.; Iqbal, S. Grey wolf optimization-based fuzzy-PID controller for load frequency control in multi-area power systems. J. Autom. Intell. 2025, 4, 145–159. [Google Scholar] [CrossRef]
- Mohanty, D.; Giri, A.; Panda, S. Frequency regulation by optimized fuzzy based self-adaptive virtual inertia control for microgrid with variable renewable penetration. J. Energy Storage 2024, 104, 114433. [Google Scholar] [CrossRef]
- Nayak, P.C.; Prusty, R.C.; Panda, S. Adaptive fuzzy approach for load frequency control using hybrid moth flame pattern search optimization with real time validation. Evol. Intell. 2024, 17, 1111–1126. [Google Scholar] [CrossRef]
- Abdelghany, M.A.; Syam, F.A.; Aly, A.M.; Abido, M.A.; Ibrahim, S.O. Load frequency and virtual inertia control for power system using fuzzy self-tuned PID controller with high penetration of renewable energy. J. Electr. Syst. Inf. Technol. 2024, 11, 50. [Google Scholar] [CrossRef]
- Aljohani, T. Intelligent Type-2 Fuzzy Logic Controller for Hybrid Microgrid Energy Management with Different Modes of EVs Integration. Energies 2024, 17, 2949. [Google Scholar] [CrossRef]
- Almutairi, S.; Anayi, F.; Packianather, M.; Shouran, M. An Innovative LFC System Using a Fuzzy FOPID- Enhanced via PI Controller Tuned by the Catch Fish Optimization Algorithm Under Nonlinear Conditions. Sustainability 2025, 17, 5966. [Google Scholar] [CrossRef]
- Ranjan, M.; Shankar, R. Effect of Electric Vehicles and Renewable Sources on Frequency Regulation in Hybrid Power System Using QOAOA Optimized Type-2 Fuzzy Fractional Controller. Int. J. Fuzzy Syst. 2024, 26, 825–848. [Google Scholar] [CrossRef]
- Elkasem, A.H.A.; Kamel, S.; Khamies, M.; Nasrat, L. Frequency regulation in a hybrid renewable power grid: An effective strategy utilizing load frequency control and redox flow batteries. Sci. Rep. 2024, 14, 9576. [Google Scholar] [CrossRef]
- Jalilian, M.; Rastgou, A.; Kharrati, S.; Hosseini-Hemati, S. Load frequency control resilience of hybrid power system with renewable energy sources and superconducting magnetic energy storage using FO-Fuzzy-PID controller. Results Eng. 2025, 27, 105961. [Google Scholar] [CrossRef]
- Yuan, Z.L.; Zhang, C.K.; Shangguan, X.C.; Fan, Y.L.; He, Y. T-S Fuzzy-Based Load Frequency Control of Multiarea Power System with Hybrid Delays: Performance Analysis and Improvement. IEEE Trans. Fuzzy Syst. 2024, 32, 6939–6950. [Google Scholar] [CrossRef]
- Türk, İ.; Kılıç, H.; Haydaroğlu, C.; Top, A. Robust Load Frequency Control in Hybrid Microgrids Using Type-3 Fuzzy Logic Under Stochastic Variations. Symmetry 2025, 17, 853. [Google Scholar] [CrossRef]
- Yakout, A.H.; Kotb, H.; Hasanien, H.M.; Aboras, K.M. Optimal Fuzzy PIDF Load Frequency Controller for Hybrid Microgrid System Using Marine Predator Algorithm. IEEE Access 2021, 9, 54220–54232. [Google Scholar] [CrossRef]
- SAbd-Elazim, M.; Ali, E.S. Load frequency controller design of a two-area system composing of PV grid and thermal generator via firefly algorithm. Neural. Comput. Appl. 2018, 30, 607–616. [Google Scholar] [CrossRef]
- Shouran, M.; Alsseid, A. Particle Swarm Optimization Algorithm-Tuned Fuzzy Cascade Fractional Order PI-Fractional Order PD for Frequency Regulation of Dual-Area Power System. Processes 2022, 10, 477. [Google Scholar] [CrossRef]
- Jia, H.; Wen, Q.; Wang, Y.; Mirjalili, S. Catch fish optimization algorithm: A new human behavior algorithm for solving clustering problems. Clust. Comput. 2024, 27, 13295–13332. [Google Scholar] [CrossRef]



















| Ref. | Year | Control Technique | Optimization Tool |
|---|---|---|---|
| [2] | 2025 | PID | TLBO |
| [3] | 2025 | FOPID | NNA |
| [6] | 2021 | Adaptive control | I-InC |
| [7] | 2020 | Adaptive control | ESO |
| [8] | 2025 | SMC | ISTA |
| [9] | 2022 | AF-SSMC | STA |
| [11] | 2025 | PID | PSO |
| [12] | 2012 | PID | GA |
| [13] | 2021 | PID | MASAAI |
| [14] | 2022 | PID | ABC |
| [15] | 2023 | PID | ARO |
| [16] | 2023 | PID | ASIA |
| [17] | 2022 | PID | BWOA |
| [18] | 2025 | PI | CA |
| [19] | 2016 | PID | GWO |
| [20] | 2021 | PID | LAPO |
| [21] | 2020 | PID | LBBO |
| [22] | 2024 | PID | LOA |
| [23] | 2024 | PID | MBA |
| [24] | 2021 | PID | MPA |
| [25] | 2020 | PID | MWOA |
| [26] | 2025 | PID | SABO |
| [27] | 2019 | PID | SSA |
| [28] | 2021 | PIDA | COR |
| [29] | 2018 | PIDA | TLBO |
| [32] | 2024 | PIDF | hSA-QIO |
| [33] | 2016 | PIDD2 | ALO |
| [34] | 2024 | FOPID | AO |
| [35] | 2021 | FOPID | BA |
| [36] | 2022 | FOPID | SOA |
| [37] | 2025 | FuzzyPID | GWO |
| [38] | 2024 | FuzzyPID | AOA |
| [39] | 2024 | FuzzyPID | h-MFO-PS |
| [40] | 2024 | FuzzyPID | GWO |
| [41] | 2024 | IT2FLC | - |
| [42] | 2025 | FuzzyFOPID-PI | CFOA |
| [43] | 2024 | IT2FFOPIDN | QOAOA |
| [44] | 2024 | FuzzyPID–TIDµ | COA |
| [45] | 2025 | FO-FuzzyPID | PSO |
| [46] | 2024 | T–S Fuzzy(H∞) | - |
| [47] | 2025 | T3-FLC | - |
| Component | Transfer Function | Design Parameters |
|---|---|---|
| Diesel generator | KDG1 = KDG2 = 1 TDG1 = TDG2 = 0.5 | |
| Valve actuator | KV1 = KV2 = 1 TV1 = TV2 = 0.05 | |
| Wind turbine | KWT = 1 TWT = 1.5 | |
| SMES | KSMES = 0.98 TSMES = 0.03 | |
| PV | KPV = 1 TPV = 0.03 | |
| BES | KBES = 1.8 TBES = 0 | |
| Area swing | KAS1 = KAS2 = 1 TAS1 = TAS2 = 3 | |
| Synchronizing coefficient | K12 = 1.4π | |
| Speed drops | R1, R2 | R1 = R2 = 0.05 |
| Frequency bias coefficients | B1, B2 | B1 = B2 = 21 |
| Error | Change of Error | ||||
|---|---|---|---|---|---|
| NB | NS | Z | PS | PB | |
| NB | NB | NB | NB | NS | Z |
| NS | NB | NB | NS | Z | PS |
| Z | NB | NS | Z | BS | PB |
| PS | NS | Z | PS | PB | PB |
| PB | Z | PS | PB | PB | PB |
| Parameter | Value |
|---|---|
| No. of Particles | 50 |
| Wmax | 1.2 |
| Wmin | 0.2 |
| C1 | 1.2 |
| C2 | 1.2 |
| Vmax | (ub − lb) × 0.2 |
| Vmin | −Vmax |
| Termination Criterion | 100 iterations |
| Area | Controller | Algorithm | Parameters | |||
|---|---|---|---|---|---|---|
| Area One | PIDF | KP1 | Ki1 | Kd1 | KF1 | |
| MPA | 17.87 | 18.11 | 10.17 | 198 | ||
| COR | 8.56 | 8.26 | 9.13 | 134 | ||
| Area Two | PIDF | KP2 | Ki2 | Kd2 | KF2 | |
| MPA | 19.98 | 19.98 | 11.61 | 199 | ||
| COR | 15.36 | 13.86 | 10.62 | 138 | ||
| Area | Controller | Parameters | ||||
|---|---|---|---|---|---|---|
| Area One | PIDF | First stage | Kp1 | Ki1 | Kd1 | Kf1 |
| 25.197 | 49.99 | 25.11 | 499 | |||
| Area Two | Kp2 | Ki2 | Kd2 | Kf2 | ||
| 40.25 | 43.707 | 32.289 | 220 | |||
| Area | Controller | Parameters | |||||||||
|---|---|---|---|---|---|---|---|---|---|---|---|
| Area One | Fuzzy FOPI–FOPD | Second stage | K1 | K2 | K3 | Kp1 | Ki1 | λ | Kp2 | Ki2 | μ |
| 47.67 | 3.890 | 0.347 | 4.098 | 49.99 | 0.999 | 37.22 | 8.6736 | 0.0032 | |||
| Area Two | K1 | K2 | K3 | Kp1 | Ki1 | λ | Kp2 | Ki2 | μ | ||
| 3.912 | 4.436 | 0.694 | 20.048 | 5.548 | 0.088 | 26.632 | 24.509 | 0.5202 | |||
| Controller | F1 | F2 | Tie Line | ITAE | ||||
|---|---|---|---|---|---|---|---|---|
| OS | US | ST | US | ST | US | ST | ||
| PIDF + fuzzy | 4.7885 × 10−6 | −8.94 × 10−6 | 0.0405 | −5.580 × 10−9 | 3.1315 | −1.17 × 10−7 | 3.1511 | 0.0000001608 |
| PIDF; PSO | 9.3999 × 10−6 | −2.30 × 10−5 | 8.5606 | −4.564 × 10−6 | 8.7889 | −9.57 × 10−5 | 8.8000 | 0.0007891 |
| PIDF; MPA | 8.0426 × 10−6 | −4.62 × 10−5 | 6.7298 | −9.168 × 10−6 | 11.0128 | −1.92 × 10−4 | 11.0139 | 0.002438 |
| PIDF; COR | 1.9621 × 10−5 | −7.24 × 10−5 | 7.2976 | −1.947 × 10−5 | 11.6136 | −4.08 × 10−4 | 11.6281 | 0.005587 |
| Area | Controller | Algorithm | Parameters | |
|---|---|---|---|---|
| Area One | PI | KP1 | Ki1 | |
| FA | −0.8811 | −0.5765 | ||
| GA | −0.5663 | −0.4024 | ||
| Area Two | PI | KP2 | Ki2 | |
| FA | −0.7626 | −0.8307 | ||
| GA | −0.5127 | −0.7256 | ||
| Area | Controller | Parameters | ||||
|---|---|---|---|---|---|---|
| Area One | PIDF | First stage | Kp1 | Ki1 | Kd1 | Kf1 |
| −0.747 | −0.115 | −2 | 355 | |||
| Area Two | Kp2 | Ki2 | Kd2 | Kf2 | ||
| −2 | −2 | −0.272 | 228 | |||
| Area | Controller | Parameters | |||||||||
|---|---|---|---|---|---|---|---|---|---|---|---|
| Area One | Fuzzy FOPI–FOPD | Second stage | K1 | K2 | K3 | Kp1 | Ki1 | λ | Kp2 | Ki2 | μ |
| 1.3641 | 1.8818 | 0.57589 | −0.801 | −2 | 1 | 1.7476 | 0.87945 | 0.77132 | |||
| Area Two | K1 | K2 | K3 | Kp1 | Ki1 | λ | Kp2 | Ki2 | μ | ||
| −2 | −2 | 0.19747 | −0.415 | −2 | 0.97064 | −2 | −2 | 0.78568 | |||
| Controller | F1 | F2 | Tie Line | ITAE | ||||||
|---|---|---|---|---|---|---|---|---|---|---|
| OS | US | ST | OS | US | ST | OS | US | ST | ||
| PIDF + fuzzy | 0.0095 | −0.1131 | 5.0958 | 0.0042 | −0.0935 | 6.3095 | 2.28 × 10−4 | −0.0031 | 5.7514 | 0.2683 |
| PIDF; PSO | 0.0094 | −1.8 × 10−1 | 6.4480 | 0.0107 | −1.79 × 10−1 | 5.6136 | 0.0040 | −0.0061 | 19.2522 | 0.8844 |
| PI; FA | 0.1565 | −3.1 × 10−1 | 16.2936 | 0.1376 | −0.2756 | 19.1663 | 0.0364 | −0.0505 | 19.8215 | 7.373 |
| PI; GA | 0.1759 | −5.5 × 10−2 | 18.0475 | 0.1499 | 2.94 × 10−1 | 18.4134 | 1.75 × 10−1 | −3.1 × 10−1 | 19.8593 | 11.88 |
| Controller | F1 | F2 | Tie Line | ITAE | ||||
|---|---|---|---|---|---|---|---|---|
| OS | US | ST | US | ST | US | ST | ||
| PIDF + fuzzy | 6.3036 × 10−8 | −3.11 × 10−6 | 0.3527 | −6.912 × 10−9 | 4.6528 | −1.45 × 10−7 | 4.6090 | 0.0000002835 |
| PIDF; PSO | 1.0409 × 10−5 | −2.56 × 10−5 | 8.5716 | −5.066 × 10−6 | 8.7912 | −1.06 × 10−4 | 8.8054 | 0.0008833 |
| PIDF; MPA | 8.9886 × 10−6 | −5.17 × 10−5 | 6.7109 | −1.023 × 10−5 | 11.0196 | −2.14 × 10−4 | 11.0312 | 0.002717 |
| PIDF; COR | 2.2041 × 10−5 | −8.11 × 10−5 | 7.2657 | −2.177 × 10−5 | 11.6244 | −4.56 × 10−4 | 11.6456 | 0.006218 |
| Case Number | Parameter | Areas 1 and 2 | Variation | Area 1 and 2 Results |
|---|---|---|---|---|
| Case 1 | TAS | 3 | +40% | 4.2 |
| Case 2 | B | 21 | −40% | 12.6 |
| Case 3 | TV | 0.05 | +40% | 0.07 |
| Case 4 | TAS | 3 | −40% | 1.8 |
| Case 5 | B | 21 | +40% | 29.4 |
| Case 6 | TV | 0.05 | −40% | 0.03 |
| Case 7 | B | 21 | −40% | 12.6 |
| TAS | 3 | +40% | 4.2 | |
| R | 0.05 | −40% | 0.03 | |
| KAS | 1 | −40% | 0.6 |
| Case Number | Controller | F1 | F2 | Tie Line | ITAE | ||||
|---|---|---|---|---|---|---|---|---|---|
| OS | US | ST | US | ST | US | ST | |||
| Case 1 | PIDF + fuzzy PIDF; PSO PIDF; MPA PIDF; COR | 3.446 × 10−6 9.454 × 10−6 8.073 × 10−6 1.970 × 10−5 | −7.616 × 10−6 −2.313 × 10−5 −4.622 × 10−5 −7.235 × 10−5 | 0.0485 8.5638 6.7203 7.2951 | −5.924 × 10−9 −4.572 × 10−6 −9.179 × 10−5 −1.948 × 10−5 | 1.238 8.777 11.19 11.62 | −1.244 × 10−7 −9.588 × 10−5 −1.923 × 10−4 −4.086 × 10−4 | 1.234 8.787 11.01 11.63 | 1.497 × 10−7 0.0007898 0.002438 0.005588 |
| Case 2 | PIDF + fuzzy PIDF; PSO PIDF; MPA PIDF; COR | 4.782 × 10−6 1.074 × 10−5 9.429 × 10−6 2.137 × 10−5 | −8.945 × 10−6 −2.506 × 10−5 −5.012 × 10−5 −7.814 × 10−5 | 0.0431 8.4989 6.3192 7.1001 | −5.864 × 10−9 −4.834 × 10−6 −9.655 × 10−6 −2.022 × 10−5 | 6.337 8.546 10.73 11.41 | −1.231 × 10−7 −1.013 × 10−4 −2.020 × 10−4 −4.235 × 10−4 | 6.355 8.560 10.73 11.43 | 2.893 × 10−7 0.0007716 0.002367 0.005436 |
| Case 3 | PIDF + fuzzy PIDF; PSO PIDF; MPA PIDF; COR | 4.753 × 10−6 1.501 × 10−5 1.253 × 10−5 2.729 × 10−5 | −1.168 × 10−5 −3.661 × 10−5 −7.337 × 10−5 −1.122 × 10−4 | 0.0527 8.2576 5.5842 9.0048 | −1.641 × 10−8 −1.044 × 10−5 −2.049 × 10−5 −4.143 × 10−5 | 2.750 7.621 6.619 8.351 | −2.068 × 10−7 −1.316 × 10−4 −2.587 × 10−4 −5.246 × 10−4 | 2.762 7.633 6.460 8.394 | 2.053 × 10−7 0.0007804 0.001808 0.005303 |
| Case 4 | PIDF + fuzzy PIDF; PSO PIDF; MPA PIDF; COR | 2.849 × 10−6 9.455 × 10−6 8.081 × 10−6 1.966 × 10−5 | −7.010 × 10−6 −2.312 × 10−5 −4.619 × 10−5 −7.225 × 10−5 | 0.0527 8.5678 6.7191 7.3037 | −6.078 × 10−8 −4.571 × 10−6 −9.179 × 10−6 −1.948 × 10−5 | 1.565 8.776 11.01 11.63 | −1.276 × 10−7 −9.589 × 10−5 −1.924 × 10−4 −4.085 × 10−4 | 1.557 8.785 11.01 11.64 | 1.733 × 10−7 0.0007898 0.002438 0.00559 |
| Case 5 | PIDF + fuzzy PIDF; PSO PIDF; MPA PIDF; COR | 4.783 × 10−6 9.513 × 10−6 8.095 × 10−6 1.967 × 10−5 | −8.944 × 10−6 −2.341 × 10−5 −4.689 × 10−5 −7.296 × 10−5 | 0.0422 8.5402 6.6871 7.2809 | −5.711 × 10−8 −4.588 × 10−6 −9.193 × 10−6 −1.951 × 10−5 | 4.353 8.747 10.99 11.59 | −1.199 × 10−7 −9.621 × 10−5 −1.926 × 10−4 −4.091 × 10−4 | 4.363 8.759 10.99 11.61 | 1.862 × 10−7 0.000787 0.00243 0.005569 |
| Case 6 | PIDF + fuzzy PIDF; PSO PIDF; MPA PIDF; COR | 4.788 × 10−6 9.314 × 10−6 7.743 × 10−6 1.850 × 10−5 | −8.944 × 10−6 −2.309 × 10−5 −4.605 × 10−5 −7.173 × 10−5 | 0.0405 8.5308 6.8490 7.4225 | −5.580 × 10−8 −4.545 × 10−6 −9.057 × 10−6 −1.909 × 10−5 | 3.160 8.806 11.01 11.44 | −1.171 × 10−7 −9.552 × 10−5 −1.908 × 10−4 −4.033 × 10−4 | 3.176 8.816 10.98 11.44 | 1.61 × 10−7 0.0007879 0.002439 0.00559 |
| Case 7 | PIDF + fuzzy PIDF; PSO PIDF; MPA PIDF; COR | 1.353 × 10−6 1.481 × 10−5 1.200 × 10−5 2.527 × 10−5 | −7.847 × 10−6 −3.639 × 10−5 −7.253 × 10−5 −1.101 × 10−4 | 0.0698 8.2304 5.6627 6.9571 | −1.748 × 10−8 −1.035 × 10−5 −2.016 × 10−5 −4.031 × 10−5 | 1.037 7.609 6.646 8.591 | −2.202 × 10−7 −1.310 × 10−4 −2.567 × 10−4 −5.162 × 10−4 | 1.036 7.636 6.389 8.623 | 1.867 × 10−7 0.0007722 0.001812 0.005299 |
Disclaimer/Publisher’s Note: The statements, opinions and data contained in all publications are solely those of the individual author(s) and contributor(s) and not of MDPI and/or the editor(s). MDPI and/or the editor(s) disclaim responsibility for any injury to people or property resulting from any ideas, methods, instructions or products referred to in the content. |
© 2025 by the authors. Licensee MDPI, Basel, Switzerland. This article is an open access article distributed under the terms and conditions of the Creative Commons Attribution (CC BY) license (https://creativecommons.org/licenses/by/4.0/).
Share and Cite
Almutairi, S.; Anayi, F.; Packianather, M.; Shouran, M. An Optimal Two-Stage Tuned PIDF + Fuzzy Controller for Enhanced LFC in Hybrid Power Systems. Sustainability 2025, 17, 9109. https://doi.org/10.3390/su17209109
Almutairi S, Anayi F, Packianather M, Shouran M. An Optimal Two-Stage Tuned PIDF + Fuzzy Controller for Enhanced LFC in Hybrid Power Systems. Sustainability. 2025; 17(20):9109. https://doi.org/10.3390/su17209109
Chicago/Turabian StyleAlmutairi, Saleh, Fatih Anayi, Michael Packianather, and Mokhtar Shouran. 2025. "An Optimal Two-Stage Tuned PIDF + Fuzzy Controller for Enhanced LFC in Hybrid Power Systems" Sustainability 17, no. 20: 9109. https://doi.org/10.3390/su17209109
APA StyleAlmutairi, S., Anayi, F., Packianather, M., & Shouran, M. (2025). An Optimal Two-Stage Tuned PIDF + Fuzzy Controller for Enhanced LFC in Hybrid Power Systems. Sustainability, 17(20), 9109. https://doi.org/10.3390/su17209109

