Sustainable Treatment of High-Ammonia-Nitrogen Organic Wastewater via Anaerobic Ammonium Oxidation (Anammox) Combined with Effluent Recirculation/Micro-Aeration
Abstract
1. Introduction
2. Materials and Methods
2.1. Reactor Setup and Operation Strategy
2.2. Sludge and Synthetic Wastewater
2.3. Analytical Methods
3. Results and Discussion
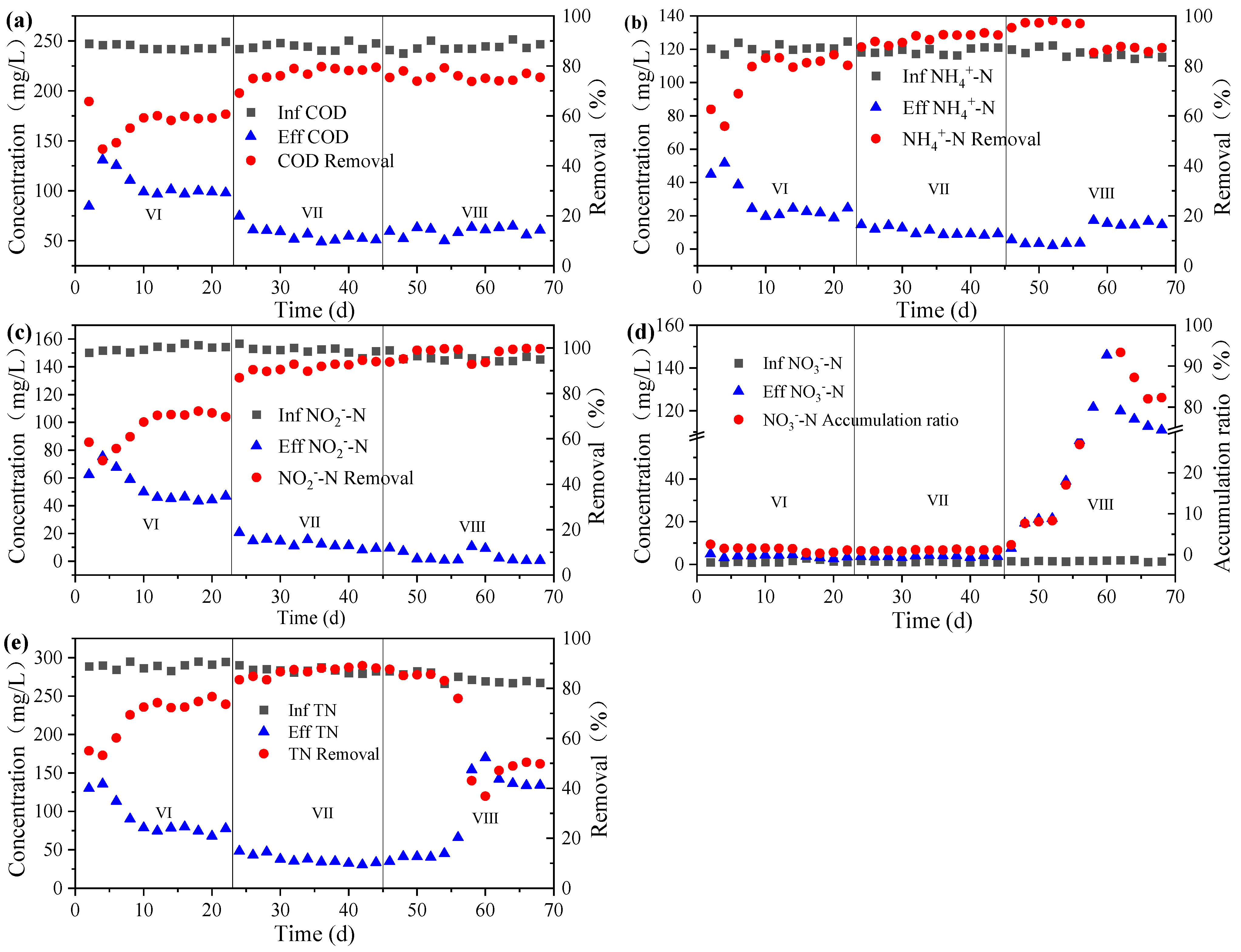
3.1. Influence of Effluent Recirculation Stirring on the Reactor
3.2. Influence of Micro-Aeration Stirring on the Reactor
3.3. Changes in Pollutants at Different Sludge Heights
3.4. Influence of Stirring Methods on Extracellular Polymeric Substances (EPS)
3.5. Influence of Stirring Methods on Microbial Community
3.5.1. Microbial Community at the Door Level
3.5.2. Microbial Community at Genus Level
4. Conclusions
5. Future Perspectives
Author Contributions
Funding
Institutional Review Board Statement
Informed Consent Statement
Data Availability Statement
Acknowledgments
Conflicts of Interest
Abbreviations
| Anammox | Anaerobic ammonium oxidation |
| AOB | Ammonia-oxidizing bacteria |
| NOB | Nitrite-oxidizing bacteria |
| AnAOB | Anaerobic ammonium oxidation bacteria |
| HRT | Hydraulic retention time |
| T | Temperature |
| C/N | Carbon-to-nitrogen |
| EPS | Extracellular polymeric substances |
| PN | Protein |
| PS | Polysaccharide |
| DO | Dissolved oxygen |
References
- Bao, H.; Wu, M.; Meng, X.; Han, H.; Zhang, C.; Sun, W. Application of electrochemical oxidation technology in treating high-salinity organic ammonia-nitrogen wastewater. J. Environ. Chem. Eng. 2023, 11, 110608. [Google Scholar] [CrossRef]
- Zhou, T.; Wang, M.; Zeng, H.; Min, R.; Wang, J.; Zhang, G. Application of physicochemical techniques to the removal of ammonia nitrogen from water: A systematic review. Environ. Geochem. Health 2024, 46, 344. [Google Scholar] [CrossRef]
- Yeganeh, G.; Ramavandi, B.; Esmaeili, H.; Tamjidi, S. Dataset of the aqueous solution and petrochemical wastewater treatment containing ammonia using low cost and efficient bio-adsorbents. Data Brief 2019, 26, 104308. [Google Scholar] [CrossRef]
- Deng, Z.; Sun, C.; Ma, G.; Zhang, X.; Guo, H.; Zhang, T.; Zhang, Y.; Hu, Y.; Li, D.; Li, Y.-Y.; et al. Anaerobic treatment of nitrogenous industrial organic wastewater by carbon–neutral processes integrated with anaerobic digestion and partial nitritation/anammox: Critical review of current advances and future directions. Bioresour. Technol. 2025, 415, 131648. [Google Scholar] [CrossRef]
- Xu, Z.; Cao, J.; Qin, X.; Qiu, W.; Mei, J.; Xie, J. Toxic Effects on Bioaccumulation, Hematological Parameters, Oxidative Stress, Immune Responses and Tissue Structure in Fish Exposed to Ammonia Nitrogen: A Review. Animals 2021, 11, 3304. [Google Scholar] [CrossRef]
- Scherger, L.E.; Zanello, V.; Lexow, C. Impact of Urea and Ammoniacal Nitrogen Wastewaters on Soil: Field Study in a Fertilizer Industry (Bahía Blanca, Argentina). Bull. Environ. Contam. Toxicol. 2021, 107, 565–573. [Google Scholar] [CrossRef]
- Fu, Y.; Li, C.; Zhao, G.; Li, D.; Sun, Z.; Yang, J. Research on Treatment Technology of High Ammonia Nitrogen Wastewater from Shale Refinery. IOP Conf. Ser. Earth Environ. Sci. 2021, 826, 12037–12050. [Google Scholar]
- Akdemir, E.O.; Ayğan, E. Pretreatment of olive mill wastewater by ultrafiltration process using chitosan. Desalin. Water Treat. 2019, 142, 49–55. [Google Scholar] [CrossRef]
- Gu, A.; Li, Y.; Yao, W.; Zhang, A.; Chai, Z.; Zheng, M. Isolation and nitrogen removal characteristics of a novel aerobic denitrifying strain Achromobacter xylosoxidans GR7397. bioRxiv 2023, 542219. [Google Scholar] [CrossRef]
- Sun, Y.; Guan, Y.; Pan, M.; Zhan, X.; Hu, Z.; Wu, G. Enhanced biological nitrogen removal and N2O emission characteristics of the intermittent aeration activated sludge process. Rev. Environ. Sci. Bio/Technol. 2017, 16, 761–780. [Google Scholar] [CrossRef]
- Li, Z.; Wang, J.; Liu, J.; Chen, X.; Lei, Z.; Yuan, T.; Shimizu, K.; Zhang, Z.; Lee, D.-J.; Lin, Y.; et al. Highly efficient carbon assimilation and nitrogen/phosphorus removal facilitated by photosynthetic O2 from algal-bacterial aerobic granular sludge under controlled DO/pH operation. Water Res. 2023, 238, 120025. [Google Scholar] [CrossRef] [PubMed]
- Baumgartner, T.; Jahn, L.; Parravicini, V.; Svardal, K.; Krampe, J. Efficiency of Sidestream Nitritation for Modern Two-Stage Activated Sludge Plants. Int. J. Environ. Res. Public Health 2022, 19, 12871. [Google Scholar] [CrossRef]
- Peng, Y.-Z.; Shang, H.L.; Zhang, J.-R.; Wang, S.Y. Effects of Ρ(c)/ρ(n) on N2O Production During Denitrification. J. Beijing Univ. Technol. 2010, 36, 517–522. [Google Scholar]
- Ge, G.; Zhao, J.; Li, X.; Ding, X.; Chen, A.; Chen, Y.; Hu, B.; Wang, S. Effects of influent COD/N ratios on nitrous oxide emission in a sequencing biofilm batch reactor for simultaneous nitrogen and phosphorus removal. Sci. Rep. 2017, 7, 7417. [Google Scholar] [CrossRef] [PubMed]
- Yan, X.; Zheng, J.; Han, Y.; Liu, J.; Sun, J. Effect of influent C/N ratio on NO emissions from anaerobic/anoxic/oxic biological nitrogen removal processes. Environ. Sci. Pollut. Res. 2017, 24, 23714–23724. [Google Scholar] [CrossRef]
- Li, Y. Technology review and selection guide for industry wastewater treatment. Comput. Water Energy Environ. Eng. 2020, 9, 22–36. [Google Scholar] [CrossRef]
- Singh, P.; Bisen, M.; Kulshreshtha, S.; Kumar, L.; Choudhury, S.R.; Nath, M.J.; Mandal, M.; Kumar, A.; Patel, S.K. Advancement in Anaerobic Ammonia Oxidation Technologies for Industrial Wastewater Treatment and Resource Recovery: A Comprehensive Review and Perspectives. Bioengineering 2025, 12, 330. [Google Scholar] [CrossRef] [PubMed]
- Ma, W.J.; Li, G.F.; Huang, B.C.; Jin, R.C. Advances and challenges of mainstream nitrogen removal from municipal wastewater with anammox-based processes. Water Environ. Res. 2020, 92, 1899–1909. [Google Scholar] [CrossRef]
- You, Q.-G.; Wang, J.-H.; Qi, G.-X.; Zhou, Y.-M.; Guo, Z.-W.; Shen, Y.; Gao, X. Anammox and partial denitrification coupling: A review. RSC Adv. 2020, 10, 12554–12572. [Google Scholar] [CrossRef]
- Fu, W.; Zhu, R.; Lin, H.; Zheng, Y.; Hu, Z. Effect of organic concentration on biological activity and nitrogen removal performance in an anammox biofilm system. Water Sci. Technol. 2021, 84, 725–736. [Google Scholar] [CrossRef]
- Zhang, Z.; Xing, W.; Lu, J.; Gao, X.; Jia, F.; Yao, H. Nitrogen removal and nitrous oxide emission in the partial nitritation/anammox process at different reflux ratios. Sci. Total Environ. 2024, 906, 167520. [Google Scholar] [CrossRef] [PubMed]
- Meng, J.; Li, J.; Li, J.; Deng, K.; Nan, J.; Xu, P. Effect of reflux ratio on nitrogen removal in a novel upflow microaerobic sludge reactor treating piggery wastewater with high ammonium and low COD/TN ratio: Efficiency and quantitative molecular mechanism. Bioresour. Technol. 2017, 243, 922–931. [Google Scholar] [CrossRef] [PubMed]
- Liu, J.; Tian, Z.; Zhang, P.; Qiu, G.; Wu, Y.; Zhang, H.; Xu, R.; Fang, W.; Ye, J.; Song, Y.; et al. Influence of reflux ratio on two-stage anoxic/oxic with MBR for leachate treatment: Performance and microbial community structure. Bioresour. Technol. 2018, 256, 69–76. [Google Scholar] [CrossRef]
- Fu, K.M.; Su, S.-Y.; Wang, W.H.; Zhou, Z.H. Effects of internal recycle on the nitrogen removal performance of an ANAMMOX UASB reactor. China Environ. Sci. 2016, 36, 3560–3566. [Google Scholar]
- Xu, H.; Wang, X.; Wang, M.; Wu, J.; Zhang, B.; Wang, J.; Zhang, Q.; Lin, B.; Chen, S. Metatranscriptomics provides an in-depth perspective on the resistance and detoxification of anammox bacteria to dissolved oxygen in a pilot CANON process. Water Res. 2025, 268, 122613. [Google Scholar] [CrossRef] [PubMed]
- Yan, Z.; Pei, Z. Light enables partial nitrification and algal-bacterial consortium in rotating biological contactors: Performance and microbial community. Sustainability 2024, 16, 5538. [Google Scholar] [CrossRef]
- Water Quality—Determination of the Chemical Oxygen Demand—Fast Digestion-Spectrophotometric Method. Available online: https://www.mee.gov.cn/ywgz/fgbz/bz/bzwb/jcffbz/201801/W020180108515369922932.pdf (accessed on 1 March 2008).
- Babu, M.S.; Sreelakshmi, S.; Vinod Chandra, S.S.; Sunitha, V.; Shaji, E. Advancing Water Quality Assessment and Monitoring with a Robust Stacked Ensemble Method. Water Resour. Manag. 2025, 39, 2197–2215. [Google Scholar] [CrossRef]
- Lu, J. Study on the Release Characteristics of N2O During the Treatment of High Ammoniaum Waste-Water by CANON Process. Master’s Thesis, Beijing Jiaotong University, Beijing, China, 2022. [Google Scholar]
- Zhang, S.-y.; Wu, P.; Song, Y.-l.; Shen, Y.-l.; Zhang, T. Nitrogen Removal Using ANAMMOX and Denitrification for Treatment of Municipal Sewage. Environ. Sci. 2015, 36, 4174–4179. [Google Scholar]
- Xiao, R.; Ni, B.-J.; Liu, S.; Lu, H. Impacts of organics on the microbial ecology of wastewater anammox processes: Recent advances and meta-analysis. Water Res. 2021, 191, 116817. [Google Scholar] [CrossRef]
- Liu, X. Experimental testing and modeling of partial nitrification at different temperatures. Environ. Sci. Pollut. Res. 2018, 24, 3539–3549. [Google Scholar] [CrossRef]
- Kallscheuer, N.; Wiegand, S.; Peeters, S.H.; Jogler, M.; Boedeker, C.; Heuer, A.; Rast, P.; Jetten, M.S.; Rohde, M.; Jogler, C. Description of three bacterial strains belonging to the new genus Novipirellula gen. nov., reclassificiation of Rhodopirellula rosea and Rhodopirellula caenicola and readjustment of the genus threshold of the phylogenetic marker rpoB for Planctomycetaceae. Antonie Van Leeuwenhoek 2020, 113, 1779–1795. [Google Scholar] [CrossRef] [PubMed]
- Huang, S.; Kong, Y.; Chen, Y.; Huang, X.; Ma, P.; Liu, X. Microbial denitrification characteristics of typical decentralized wastewater treatment processes based on 16S rRNA sequencing. Front. Microbiol. 2023, 14, 1242506–1242518. [Google Scholar] [CrossRef]
- Schwartz, S.L.; Momper, L.; Rangel, L.T.; Magnabosco, C.; Amend, J.P.; Fournier, G.P. Novel nitrite reductase domain structure suggests a chimeric denitrification repertoire in the phylum Chloroflexi. MicrobiologyOpen 2022, 11, e1258. [Google Scholar] [CrossRef]
- Stevens, H.; Stübner, M.; Simon, M.; Brinkhoff, T. Phylogeny of Proteobacteria and Bacteroidetes from oxic habitats of a tidal flat ecosystem. FEMS Microbiol. Ecol. 2005, 54, 351–365. [Google Scholar] [CrossRef]
- Dong, K.; Feng, X.; Wang, W.; Chen, Y.; Hu, W.; Li, H.; Wang, D. Simultaneous partial nitrification and denitrification maintained in membrane bioreactor for nitrogen removal and hydrogen autotrophic denitrification for further treatment. Membranes 2021, 11, 911. [Google Scholar] [CrossRef]
- Begmatov, S.; Beletsky, A.V.; Mardanov, A.V.; Ravin, N.V. Genomic Analysis of the Uncultured AKYH767 Lineage from a Wastewater Treatment Plant Predicts a Facultatively Anaerobic Heterotrophic Lifestyle and the Ability to Degrade Aromatic Compounds. Water 2025, 17, 1061–1075. [Google Scholar] [CrossRef]
- Yuanwei, L.; Hao, K.; Guo, M.; You, J.; Zong, Y. Characteristics of the community-structure of A2O processes under different dissolved oxygen conditions in plateau areas. IOP Conf. Ser. Earth Environ. Sci. 2021, 657, 012030–012042. [Google Scholar] [CrossRef]
- Chen, Y.; Feng, X.; He, Y.; Wang, F. Genome analysis of a Limnobacter sp. identified in an anaerobic methane-consuming cell consortium. Front. Mar. Sci. 2016, 3, 257–270. [Google Scholar] [CrossRef]
- Mehrani, M.-J.; Sobotka, D.; Kowal, P.; Guo, J.; Mąkinia, J. New insights into modeling two-step nitrification in activated sludge systems—The effects of initial biomass concentrations, comammox and heterotrophic activities. Sci. Total Environ. 2022, 848, 157628–157640. [Google Scholar] [CrossRef]
- Wang, B.; Wang, Z.; Wang, S.; Qiao, X.; Gong, X.; Gong, Q.; Liu, X.; Peng, Y. Recovering partial nitritation in a PN/A system during mainstream wastewater treatment by reviving AOB activity after thoroughly inhibiting AOB and NOB with free nitrous acid. Environ. Int. 2020, 139, 105684–105695. [Google Scholar] [CrossRef]







Disclaimer/Publisher’s Note: The statements, opinions and data contained in all publications are solely those of the individual author(s) and contributor(s) and not of MDPI and/or the editor(s). MDPI and/or the editor(s) disclaim responsibility for any injury to people or property resulting from any ideas, methods, instructions or products referred to in the content. |
© 2025 by the authors. Licensee MDPI, Basel, Switzerland. This article is an open access article distributed under the terms and conditions of the Creative Commons Attribution (CC BY) license (https://creativecommons.org/licenses/by/4.0/).
Share and Cite
Yan, Z.; Zeng, R.; Yang, H. Sustainable Treatment of High-Ammonia-Nitrogen Organic Wastewater via Anaerobic Ammonium Oxidation (Anammox) Combined with Effluent Recirculation/Micro-Aeration. Sustainability 2025, 17, 5926. https://doi.org/10.3390/su17135926
Yan Z, Zeng R, Yang H. Sustainable Treatment of High-Ammonia-Nitrogen Organic Wastewater via Anaerobic Ammonium Oxidation (Anammox) Combined with Effluent Recirculation/Micro-Aeration. Sustainability. 2025; 17(13):5926. https://doi.org/10.3390/su17135926
Chicago/Turabian StyleYan, Zichun, Rong Zeng, and Hao Yang. 2025. "Sustainable Treatment of High-Ammonia-Nitrogen Organic Wastewater via Anaerobic Ammonium Oxidation (Anammox) Combined with Effluent Recirculation/Micro-Aeration" Sustainability 17, no. 13: 5926. https://doi.org/10.3390/su17135926
APA StyleYan, Z., Zeng, R., & Yang, H. (2025). Sustainable Treatment of High-Ammonia-Nitrogen Organic Wastewater via Anaerobic Ammonium Oxidation (Anammox) Combined with Effluent Recirculation/Micro-Aeration. Sustainability, 17(13), 5926. https://doi.org/10.3390/su17135926
