Abstract
Food losses in developing countries occur predominantly during harvest and post-harvest stages due to inadequate infrastructure for processing agricultural produce into value-added products with an extended shelf life. Dehydration represents an effective method for preserving and enhancing the value of fruits and vegetables; however, conventional techniques entail significant energy expenditure, necessitating research into more sustainable and efficient processes. Solar dehydration emerges as a particularly suitable method due to its ability to utilize renewable energy resources, despite persistent technical constraints limiting its widespread implementation. This study presents the design, construction, and performance evaluation of a novel solar dryer incorporating both a drying chamber and an integrated photovoltaic system. The photovoltaic component powers a mechanical system that facilitates the removal of exhaust air, the introduction of fresh air, and homogeneous air circulation through the induction of turbulent flow patterns within the chamber. The results demonstrate that the optimal drying efficiency in solar dehydration systems is primarily contingent upon effective air homogenization and the systematic removal of moisture-laden air. The findings suggest that optimized solar dehydration technology can be considered as a technically viable and economically beneficial approach to mitigating post-harvest losses while simultaneously enhancing agricultural economic sustainability in developing regions.
Keywords:
photovoltaic energy; forced air; clean energy; food losses; food processing; mango; drying process 1. Introduction
Food losses in developing countries exceed 40%, caused by inadequate practices in handling and conservation [1]. The loss of marketable food reduces producers’ incomes and increases consumer expenses. Fruits and vegetables are the main food group contributing to these losses, as they are highly perishable. However, they are also rich sources of vitamins and minerals, and their consumption has been associated with the prevention of chronic diseases [2]. These losses increase food insecurity, hunger, and poverty, principally in rural areas characterized by limited access to technologies for conservation and transformation [3]. This is the case for mango, one of the most consumed tropical fruits in the world. In Colombia, its seasonal production results in vast food losses, as appropriate technologies are not available for farmers to transform or extend the shelf life of this fruit. Therefore, a technical alternative to extending its shelf life is of paramount importance.
There is a wide range of techniques available to preserve foods, mostly based on drying, cooling, a modified atmosphere, and chemical treatments [4]. Drying is the preferred method for preserving agricultural produce. Drying reduces the water content and water activity, which inhibits subsequent deterioration by preventing harmful microbial and physicochemical reactions [5]. These conditions facilitate transport and storage, thereby increasing the shelf life [6]. However, conventional drying technologies are hot-air-based systems, characterized by intensive energy processes with high Greenhouse Gas (GHG) emissions [7], as most of these dryers are powered electrically or by fossil-based fuels. Electricity is extremely expensive, and fossil-based energy sources have a negative impact on environmental systems [8]. Additionally, conventional drying systems are time-consuming, lead to a non-homogeneous product quality, and have low energy efficiency. Therefore, the food industry is looking for lower-cost drying technologies that improve the product quality. The current trend towards clean energy has highlighted the cost-effectiveness and efficiency of solar energy as a clean, inexhaustible energy source for drying food systems. It can be effective for drying foods, but its efficiency and potential application depend on various factors, such as the characteristics of the product to be dried, the type of dryer, the implementation and operational costs, and the availability of irradiation, among other factors.
Solar dryers can be classified based on their heating mode, into direct, indirect, mixed, and hybrid types, and based on the airflow into natural convection (passive) and forced convection (active) systems [9]. Direct solar dryers expose the product directly to the sun, and the airflow is driven by natural convection; therefore, the drying rates, efficiency, and product quality are low. They are suitable for small-scale farmers. Indirect solar dryers are more commonly used to protect the product from direct solar radiation [10]. In this system, the air is heated by solar collectors and then circulated into the chamber where the product is stored. This model shows faster drying times and a superior drying quality, and is recommended for drying large amounts of food. Indirect solar drying can be performed in a natural or forced convection mode. In natural convection solar dryers, the thermal gradient induces the flow of heated air, while in forced convection dryers or active dryers, the air is moved by a fan. Therefore, airflow rates are higher and the drying conditions can be controlled [11]. Among indirect-type equipment, greenhouse dryers have gained interest due to their simple design and ease of fabrication [12]. Finally, hybrid systems combine renewable energy and conventional energy sources to provide a uniform air temperature for higher-quality end products and a better control of the drying conditions.
For mango, a high-moisture-content fruit, forced convection drying offers greater appeal due to its enhanced performance and accelerated drying rate, which reduces the drying time [13]. Four stages can be distinguished in a convection fruit-drying process. The first one is very short and consists of stabilizing and heating the product. The second stage is characterized by the rapid movement of moisture from the center to the surface of the fruit. The diffusion of water through the product is faster than the diffusion of water vapor through the air layer. This causes a thicker air layer, which delays the dehydration process [5,14,15]. Therefore, to increase the efficiency of these processes, it is imperative to break down this air layer or reduce its thickness by flowing air at high velocities. The third stage occurs at the end of the drying process. The movement of remaining water in the product towards its surface becomes slow and, thus, a dry structure like a crust is formed on the surface. This crust has low permeability, leading to a dry surface and wet core. Therefore, low airflow should be applied in this stage to avoid the formation of a crust structure [8,14].
Mango is cultivated in regions with average temperatures of 25–27 °C, more than seven hours of sunlight, and an average radiation of 4.5 KW/m2h [16,17]. Therefore, the design and construction of a solar dehydrator are proposed to add value to the mango, which is usually lost because of low prices during harvest time. The average irradiation and temperature typical of this region make solar dehydration a feasible alternative to drying mangoes and adding value to them. In collaboration with the producers, a pilot solar dryer was built to evaluate the feasibility of this type of technology in reducing mango losses. In addition to generating information that allows for the improvement of the design of solar dryers, as their design and construction remain empirical [18], most existing information has been derived from modeling studies [19,20,21,22,23], with few of these studies being concerned with their practical application [24]. The most common drying equipment used by farmers is solar cabinet dryers that use traditional airflow systems, with which the drying of mangoes takes 2–3 days [9], or, under better dryer conditions, between 23 and 26 h [25]. In contrast, forced-airflow systems could reduce the drying time. Other studies, such as [26], have highlighted the advantages of combining passive and photovoltaic energy to increase the efficiency of solar drying. The aim of this study is to increase the efficiency of the solar dehydration process by using passive energy to heat the air in the drying chamber and photovoltaic energy to generate electrical energy to homogenize the air in the chamber, thereby generating a turbulent flow and facilitating the replacement of moist air with fresh air.
To achieve this, the drying chamber was coupled with a photovoltaic module, and the system was evaluated under different conditions in order to offer farmers a feasible technical alternative to reduce food losses, improve their incomes, and contribute to the food security of the population.
2. Materials and Methods
2.1. Materials
Mango: For the technical evaluation of the solar dehydrator, partially ripe Yulima mangoes were harvested directly from mango trees at the farm in Espinal, Tolima, Colombia, where the dryer was built. The mangoes were then washed, disinfected, peeled, and sliced manually to maximize pulp utilization.
Solar photovoltaic dryer. This consists of two sections: the drying chamber and the photovoltaic module. The design was based on the raw and final product conditions. Accordingly, the chamber was designed for a total capacity of 50 kg of fresh mangoes, with a yield of 72% pulp and 86% moisture. However, this could be affected by the mango variety, as some varieties have more pulp than others (60–72%). A target moisture content of 12% was established. To determine this final point, an indirect method based on the weight lost by the mango was used. The initial mango mass was recorded, and then the maximum final mass required to stop the drying process was calculated. At the end of the drying process, mango samples were weighed, packed, and taken to a Memmert oven (Memmert 854 Shcwabach, Western Germany) to determine the final moisture content. Based on these considerations, the drying chamber was built with a length of 9 m and a width of 2.9 m. The western wall was 2.1 m high and the eastern wall was 1.6 m high. The cover had an arched or vaulted configuration. The chamber was equipped with 18 square trays, one meter per side, made of stainless steel with 6 mm perforations. These 18 trays were distributed in two 9-tray sets, A and B, along the chamber and separated by a 0.85 m corridor, “C”. Section A was placed at a 1.38 m height, while section B was placed at 0.8 m in height. A geomembrane, “G”, was installed 0.25 m below the tray sets to reduce energy losses to the ground, as shown in Figure 1. The walls and covers were made of 4 mm alveolar polycarbonate. The 18 mesh trays were loaded through 18 corresponding side windows, 9 on each side of the drying chamber, to reduce losses from opening the front door. However, the chamber had a central door to allow the workers to clean and maintain the chamber.

Figure 1.
Solar dryer. (a) Front. (b) Internal view from the back to the front. (c) Position at “y” axis (M, MG, GS, and S) with A6GSC register, located at the A section, between the geomembrane and the ground by the corridor side, and just below tray 6. (d) Lateral view.
Two mechanical systems were included to increase the efficiency of the dryer. The first one was to refresh the exhausted or moist air with fresh air, composed of three 12-inch, 220 V exhaust fans, located at the top of the wall to remove the moist air, and six 6-inch frontal fans that inject fresh air. The second one broke down the thick air layer deposited on the mango surface, which became a controlling step in the dehydration process. To achieve this, a turbulent air flow was generated by the action of a 24-inch central rotary fan (Katana 24, with 2.3 m3/s, 1/3 hp, and air velocity of 5.2 m/s and 1.68 m/s at 0 m and at 6 m, respectively, the distance between the door and the fan). This increased the mass and heat transfer coefficients, homogenizing the air conditions inside the chamber, as the air reached every point in the chamber, reducing the dead spots with enough velocity to break down the air layer on the mango slices.
Finally, the dehydrator was complemented by a PLC to control the photovoltaic module that supplied the energy for all mechanical and exhaust fans to improve the solar dryer’s performance. Figure 1 shows the frontal and top views of the dryer chamber.
Location: The dryer was installed at the mango farm located at 04°09′21.6″ N, 74°55′55.8″ W, in the municipality of Espinal, Department of Tolima. This region is characterized by a high solar radiation intensity of 4.5 KW/m2-h [27], with an average temperature throughout the year of 28 °C +/−5 °C, a temperature difference between day and night of 8 °C, relative humidity of 70%, six hours of solar irradiance, and 5694 heat units (°C) [28].
2.2. Methods
- Solar photovoltaic dryer design
Based on the basic requirements for the dryer capacity and the environmental conditions, a solar photovoltaic dryer was designed, evaluated, and characterized using Computational Fluid Dynamics (CFD) (ANSYS Fluent 2024 (ANSYS Inc., Canonsburg, PA, USA). Environmental conditions included the average maximum and minimum monthly temperatures, hourly temperature, cloud cover, daylight throughout the year, and wind behavior and velocity, as all these parameters affect the irradiance. Additionally, key parameters of the dryer chamber were included, such as the total enclosure volume (44.03 m3), volumetric airflow (223.08 m3/h), and inlet air velocity (2.61 m/s), ensuring adequate air replacement and optimal thermal balance. Once the system geometry was defined, an unstructured mesh composed of approximately three million elements was generated. This allowed for the capture and modeling of the areas with the greatest thermal and aerodynamic gradients. Local refinements were employed in critical areas such as the airflow inlet and outlet, as well as on surfaces exposed to solar radiation.
Once the requirements for heat and energy were estimated, the photovoltaic system was calculated and installed.
- Characterization of the solar photovoltaic dryer
The trays were coded and numbered in the drying chamber according to section P(s) A or B, and their position within P(x) from position 1 (the tray closest to the door) to position 9 (the furthest). To evaluate the homogeneity of air characteristics inside the drying chamber, eight temperature and relative humidity dataloggers were installed: these recorded air conditions every 20 min. Two additional dataloggers were placed outside the chamber. The dataloggers were distributed in either of the two sections P(s) A or B, along the “x” axis of the chamber P(x) at nine levels (1 to 9), and in two positions P(l)—corridor C or lateral L—as shown in Figure 1b, and along the “y” axis, P(h) at four levels—M (above the trays), MG (between the tray and the geomembrane); GS (between the geomembrane and the ground), and S (in contact with the ground), as illustrated in Figure 1c.
The positions for the datalogger placement inside the dehydrator were B1 MC, A1 MC, A3 MGL, B4 MG, B4 SC, A6 GSC, B8 GSC, and A9 MGL. To illustrate this, Figure 1c includes the position of the datalogger A6 GSC, which means it is located under tray number 6 of the A tray section, between the geomembrane and the ground, and close to the corridor.
The dryer was operated under three conditions: The first was with the drying chamber without photovoltaic module support, where air replenishment was performed by opening the door for 10 min, OM1. The second involved the incorporation of exhaust fans and intake fans for the mechanical replenishment of exhausted air, and the central fan to homogenize the air inside the chamber, OM2. The third operation mode involved the incorporation of only the central fan to homogenize the air inside, while air replenishment was performed manually by opening the door for 10 min, OM3.
The dehydrator evaluation was performed under two conditions: loaded (L1) with mango and unloaded (L2), with the empty drying chamber under the three OM operation modes. In both cases, the response variables were the temperature and relative humidity of the air at different chamber positions. Approximately 2 kg of mango slices were placed on each tray, leaving space between the slices to allow air to flow through the tray. Six of the eighteen trays were selected to develop the mango dehydration model. For this purpose, a specific area was marked on each tray, and approximately 200 g of mango slices were placed on the marked area and weighed periodically during the evaluation of the process. The initial and final weights of the mangoes on the trays were also recorded.
2.3. Statistical Analysis
- Behavior of humidity and temperature variables based on factors
The temperature (T°) and relative humidity (RH) profiles inside and outside the dry chamber were taken as the response variables, and the evaluation factors considered were 1. the position with two levels: inside and outside; 2. the position with respect to section P(s): A or B; 3. the position along the main axis P(x) determined by the tray number with nine values (1–9); 4. the location P(l) with respect to the corridor C or side wall L; 5. the location with respect to height P(h) at the four levels M, MG, GS, and S, corresponding to the location above the tray (M), between the tray and geomembrane (MG), between the geomembrane and ground (GS), and in contact with the ground (GS); and, finally, 6. under the three operation modes, OM1, OM2, and OM3. In all cases, an analysis of variance and Tukey’s multiple comparison tests were performed.
- Solar dehydration model
For each system operation mode and tray position, the fruit weight loss over time was calculated and three standard or thin-layer mathematical drying models were evaluated: the Henderson and Pabis Model (MR = a × exp(−kt)), the Page Model (MR = exp(−kt^n)), and the Lewis or Newton Model (MR = exp(−kt)). The Marquardt method was used for a parameter estimation using least squares in nonlinear models. For each model, the predicted values, residuals, sum of squared errors (SSEs), mean squared error (MSE), and root mean squared error (RMSE) were calculated. The selection of the most appropriate model was based on the lowest MSE and RMSE values.
All analyses were performed at a significance level of 0.05 using the SAS 9.4 statistical software.
3. Results and Discussion
3.1. Solar Photovoltaic Dryer Design
Local environmental conditions show an average temperature of 27 °C throughout the year, with more cloudy days between November and February and the brightest between June and September. This means that the highest availability of radiation occurs from June to September. The longest daylight period occurs in June, with 12 h and 22 min, while in December, daylight extends for 11 h and 53 min. The wind velocity reaches its highest value in August (8 km/h) and its lowest in December (4 km/h). These climatic conditions are summarized in Table 1. Mango production takes place from September to December. These conditions and key variables, such as the airflow velocity, temperature distribution, and moisture extraction efficiency, were also considered as input conditions in the CFD analysis (ANSYS Fluent 2024 (ANSYS Inc., Canonsburg, PA, USA) to evaluate and simulate the aerodynamic and thermal behavior of the solar dehydrator. Thermal gradients were predicted under different design configurations using turbulence and heat transfer models. This facilitated the selection of operating conditions to optimize the heat and mass transfer, reduce drying times, and improve the thermal homogeneity within the system. Figure 2 shows the temperature profile, while Figure 3 shows the airflow profile.
Table 1.
Environmental conditions in Espinal.
Figure 2.
Temperature profile inside the dryer chamber.
Figure 3.
Airflow profile resulting from forced air and thermal effects.
- Photovoltaic module design.
To determine the requirements for the photovoltaic module, the energy requirements for the exhaust fans, intake fans, and PLC were calculated and are summarized in Table 2. An operation time of 10 min/hour was considered for both exhaust fans and intake fans, as preliminary tests showed that this time was enough to reach appropriate and homogeneous air conditions inside the chamber regarding T and RH, maintaining a reasonable driving force and low energy consumption, as the air temperature remained high while RH showed low values. The experiment lasted 10 h per day, as preliminary tests showed that 8 h of drying without the photovoltaic system were enough to reduce the moisture content of the mango slices to less than 12%. An additional 2 h were included as a security factor.
Table 2.
Energy requirements for feeding the mechanical compounds and PLC of the solar dryer.
The average irradiation reported for Espinal, shown in Table 1, is 4 kWh/m2 and 4 sun hours per day. Based on the average energy availability and requirements, a photovoltaic module of 1100 W was installed on the solar dryer. The module consists of a pair of JA Solar® 550W JAM72S30-550/MR monocrystalline PERC panels (manufactured by JA Solar Technology Co., Ltd., Beijing, China), which have 144 cells (6 × 24), with a maximum nominal power of 550 W. This module has a conversion efficiency of 20.56% and an irradiance of 1000 W/m2. The panel has a length of 2 278 mm by 113 mm, a height of 30 mm, and weighs 27.3 kg. A GEL battery of 12 VDC-250 Ah Tensite® (Tensite®, manufactured by Shenzhen Tensite New Energy Co., Ltd., Shenzhen, China) was installed to ensure one day of self-sufficiency, along with an SPF 3000TL LVM-ES inverter with a nominal power of 3000 W and maximum efficiency of 97%. Compatible with 48 V batteries, it has an 80 A MPPT controller and 40 A charger, allowing it to operate without batteries.
3.2. Dryer Performance
For an evaluation of the dryer, the conditions inside and outside the chamber were monitored to determine the dryer’s efficiency, considering the differences in the temperature (DifT) and the differences in the relative humidity (DifH) inside and outside the chamber.
The results for T° and RH under different evaluation factors showed highly significant differences (p < 0.0001) in the temperature profiles for the four evaluation factors: the position (inside and outside the chamber), hour of the day (HH), operation mode (OM), and load of the drying chamber (L). The interactions position*HH (p < 0.0001), OM*load (p = 0.0084), and position*OM (p < 0.0212) were also significant. Table A1, Table A2 and Table A3 in Appendix A show the statistical groupings from Tukey’s multiple comparison tests for these factors and the interactions that were significant. While the effect of the position*HH interaction led to a discriminating temperature in 23 groups throughout the day (Table A1), three marked temperature stages can be distinguished in Figure 4a. The first stage occurs between 7 and 14 h, where both external and internal temperatures increase rapidly, reaching their peak around 14 h. Next, a second stage occurs between 14 and 18 h, during which temperatures decrease rapidly and, finally, a third stage occurs between 18 and 7 h, during which both temperatures decrease slowly. In the first two stages, a large delta between the two temperatures (external and internal) is maintained, while the difference is minimal in the third stage.
Figure 4.
Internal and external air conditions throughout the day. (a) Temperature profile. (b) Relative humidity profile.
A similar case was found with the relative humidity behavior, in which all evaluation factors (the position, time, operational mode, and load) were significant (p < 0.0001), as were the interactions of the position*Operation mode, Operation mode*load (p < 0.0001), and position*HH (p = 0.004). Details of the different groups discriminated by these factors and their interactions are listed in Table A4, Table A5 and Table A6 in Appendix A, which show statistical groupings from Tukey’s multiple comparison tests. In this case, 40 different groups were identified, as shown in Table A4. Figure 4b shows the relative humidity profiles of the internal and external dryer chambers throughout the day. From Figure 4b, three stages can be distinguished, similar to those identified in the T° profile. The first stage, between 7 h and 15 h, shows a rapid decrease in the relative humidity. The second stage, between 15 and 19 h, shows that RH increases rapidly, and finally, the third stage, between 19 and 7 h, shows that RH increases slowly.
These results confirm the inverse relationship between T° and RH, whose correlation coefficient was 0.98. The increase in temperature under the same water content and total pressure conditions leads to a reduction in the partial pressure of water vapor, as evidenced by the decrease in the RH.
To reduce the effect and noise that changing climate conditions introduce to the analysis, a new variable was created based on the difference between the external and internal temperature (DifT) and relative humidity (DifH) conditions in the drying chamber. The statistical analysis considering these two variables showed significant differences for DifH due to the time of day (HH), operation mode OM (p < 0.0001), and their interaction OM*HH (p = 0.042). Table A7 shows the OM*HH interactions that show significant differences. Similar behavior was found for T°, for which the operation mode (OM), time (HH), and their interaction OM*HH were highly significant (p < 0.0001). The load (p = 0.0276) and the interaction OM*load (p = 0.0364) were also significant. Figure 5 illustrates the temperature dynamics throughout the day under different OMs, while Table A8 in Appendix A shows the statistical groupings from Tukey’s multiple comparison tests for the significant interactions. Similarly, Table A9 shows the effect of the OM*load interaction on DifT.
Figure 5.
Temperature dynamics under three operation modes. Slot interaction: time slot during which there are significant differences due to the individual factor HH. Time slot factor: time of day when there are significant differences due to the OM*Load interaction.
Figure 5 shows the T° dynamic throughout the day under different operational conditions and highlights two time slots. The first, indicated by purple lines between 8 and 17 h, represents the time slot during which DifT is affected significantly by the hour of the day (HH), while the time slot between the two vertical blue lines (9 to 17 h) indicates the time slot during which the DifT presents significant differences due to the interaction HH*OM. According to this analysis, the performance evaluation of the dehydrator was conducted between 9 h and 17 h, the time slot when significant differences occur in both T° and RH.
Homogeneity of the air inside the drying chamber. T° and RH inside the dryer chamber were recorded under different evaluation factors, such as the operation modes, OM (OM1, OM2, and OM3), fruit load (L2: without mango and L1: with mango), and the spatial location inside the drying chamber, P(s), P(x), P(l), and P(h).
Analysis of the effect of P(s): This factor showed significant differences in the relative humidity (p = 0.0039), as did the time of day (HH) (p < 0.0001), while the interaction P(s)*HH was not significant (p = 0.8000). The OM (p < 0.0001) and load L (p = 0.0080) also affected the RH profile, as well as the interactions P(s)*OM (p = 0.0201), P(s)*L (p = 0.0006), and OM*L (p = 0.0005). Figure 6 shows the effect of the time of day (HH) and the interactions that had significant effects on the RH profiles.
Figure 6.
Effect of evaluation parameters on the relative humidity of air inside the chamber. (a) Effect of time, (b) effect of P(s)*OM interaction, (c) effect of OM*Load interaction, and (d) effect of Load*P(s) interaction. Groups with different letters are significantly different from each other, while groups sharing the same letter are not significantly different.
Figure 6a shows that the highest RH is found at the boundaries of the evaluation time frame (9 and 17 h), while the lowest values are found between 13 and 15 h. Regarding the P(s)*OM interaction, the highest RH was reported for OM1 and the trays located in section B (Figure 6b). Regarding the OM*L interaction, it was found that a mango-loaded chamber combined with operation mode OM2 gives the lowest RH, while the highest relative humidity is obtained under OM1. This result suggests that OM1 is the least efficient OM since OM1 reports the highest RH inside the chamber even when the chamber is empty. In contrast, OM2 gives the lowest RH when the drying chamber is loaded with mangoes, as shown in Figure 6c.
Regarding the most favorable conditions for system operation, the P(s)*Load interaction showed that section B trays present higher RH than those located in section A when the dehydrator is empty, and this difference disappears when the chamber is loaded with fruits (Figure 6d).
Similar to the RH analysis, the temperature was also affected by factors such as the time of the day, HH (p < 0.0001), load, L (p = 0.0044), and interactions P(s)*OM (p = 0.0403), P(s)*L (p = 0.0059), OM*L (p = 0.0117), and P(s)*OM*L (p = 0.0334). Figure 7 shows the behavior of the temperature under the influence of these factors.
Figure 7.
Effect of evaluation factors on temperature inside the drying chamber: (a) Effect of time (HH); (b) effect of OM*P(s)*(L) interaction. Groups with different letters are significantly different from each other, while groups sharing the same letter are not significantly different.
Figure 7a shows that the lowest temperature is also found at the boundaries of the evaluation time frame (9 and 17 h), and the highest temperature is found at 13 h, which is in line with the behavior observed for RH. This confirms the inverse correlation between these two variables; thus, the subsequent analysis focused on the behavior of the temperature. Figure 7b indicates that trays located in section A report the highest temperature values compared with those reported for trays located in section B. This can be explained by the greater exposure to solar irradiation presented by section A trays, which are located in the highest part of the chamber. Additionally, section B trays are close to the ground, which is not insulated, causing high energy losses in this area, resulting in temperature decreases. These findings confirm the effects of factors such as the solar radiation availability, airflow, and the position within the dryer on the efficiency of the dehydration process [10]. According to Figure 7b, when the dryer is loaded with mangoes, there is no difference in the temperature in section A due to the OM, while for the temperature profile in section B, the OM2 reports a higher temperature than those reached under OM1 and OM3 operations. When the drying chamber is empty, the highest temperature is found in section B under OM3, while in section A and the lowest temperature is found under OM3. These results are explained by the fact that under OM3, the air inside the system is homogenized regularly, which reduces the overall temperature as the temperature is lower near the ground than in the rest of the air mass.
Vertical Profile P(h). Significant differences were found for P(h) (p < 0.0001), time (HH), and OM (p < 0.0001) on RH, and for the interactions P(h)*OM (p = 0.0019) and the interaction HH*OM*Load (p = 0.0037). Similarly, a temperature analysis showed significant differences due to time (HH), P(h) (p < 0.0001), and the interactions P(h)*HH (p = 0.0125) and P(h)*OM (p = 0.0231), which are illustrated in Figure 8.
Figure 8.
Effect of evaluation factors on the internal temperature of the drying chamber. (a) Effect of the P(h)*OM interaction. (b) Effect of the HH*P(h) interaction. Groups with different letters are significantly different from each other, while groups sharing the same letter are not significantly different.
Figure 8a shows a temperature gradient from the top of the drying chamber (MC) to the floor (SC). The same figure shows how the OM affects the T° profile: OM3 reduces the gradient, while OM1 increases it. This confirms the homogenizing effect of OM3. Another point to highlight is the small difference found between the MG and GS in the dryer chamber, which highlights the insulating function that the geomembrane offers to avoid energy loss toward the ground. However, the highest temperature differences were found between the MG and GS, which also indicates that the geomembrane acts as a barrier to the homogenization of air properties within the drying chamber. Therefore, the geomembrane position should be evaluated. Figure 8b shows that the highest temperatures are found between 11 and 14 h, for positions MC and MG, without showing significant differences between them, as shown in Table A10. Based on these results, we recommend carrying out the dehydration process between 11 and 15 h to increase its performance. In other studies, variations of up to 20 °C and 20% RH have been found between trays located in the highest and lowest parts of the dehydrator [21]. Based on these results, it can be postulated that the dryer in the present study offers homogeneous conditions, particularly when the dryer is operated under OM2 and OM3.
- Analysis of the P(l) factor shows a significant effect on the RH P(l) (p = 0.0149) and the T° (p = 0.0329). The RH in the corridor was significantly higher than at the lateral sides, and consistent with this, T° was higher at the side walls than in the corridor. Concerning OM, OM1 had the highest RH, followed by OM3; OM2 had the lowest RH.
- A similar analysis for temperature confirmed the influence of HH (p < 0.0001) and identified the effect of the P(l) (p = 0.0329) on the temperature profile. The effect of the P(l) indicates that there is a temperature gradient across the width of the dehydrator, where the highest temperatures are achieved near the walls and the lowest in the central corridor. This can be explained by the fact that walls contribute to the energy transfer by conduction in addition to heat transfer by convection, which increases the temperature more quickly in areas near the dehydrator walls, while in the center or corridor, the heat transfer occurs only by convection, which is a slower energy transfer method that increases the temperature more gradually. Additionally, the corridor has a large space that is not insulated, leading to high temperatures. The high temperatures achieved between 11 and 15 h of the day are correlated with the high irradiation that occurs at this time of day and with the direct incidence of solar rays on the drying chamber during this period.
- Analysis of Factor P(x). This parameter represents the tray position along the “x” axis, from position 1 to 9. The results showed that position P(x), time HH, and OM (p < 0.0001), as well as interactions HH*Load (p = 0.0154) and OM*Load (p < 0.0001), had significant differences in the relative humidity. The trays close to the ends of the dryer chamber had a lower RH compared with those located towards the center of the chamber. The interaction P(s)*OM*L showed that OM2 with the chamber loaded resulted in the lowest RH, while the highest RH was found for OM1.
Performing a similar analysis with the temperature, time HH, and position P(x) showed significant effects (p < 0.0001). Consistent with the results found for the RH, the highest temperatures were found in the trays close to the front and to the back of the drying chamber; this was in trays three and nine, while tray six had the lowest temperature. This behavior could be due to the chamber’s position, as the front wall receives sunlight in the morning and the back wall in the afternoon, more than those located at the center of the drying chamber. Additionally, the central rotary fan can reduce the temperature profile of the central trays as it is located between positions six and seven.
3.3. Mango Drying Rate
The analyses showed that the OM1 mode resulted in a final moisture content of approximately 17%, while operation modes OM2 and OM3 achieved a 7% moisture content. The dehydration process under mode OM1 lasted for eight hours. Under OM2 and OM3, the dehydration process was stopped after six hours of dehydration. The water activity of the dehydrated mangoes ranged between 0.65 and 0.72.
Three mathematical models were evaluated to model the weight loss of the mango slices during solar drying under the three operation modes: Henderson and Pabis, Page, and Lewis or Newton. For each model, the residual values, sum of squared errors (SSEs), mean squared error, and root mean squared error (RMSE) were calculated using the Marquardt method for the parameter estimation by least squares in nonlinear models. Of these three models, the Page model gave the lowest values for the SSE, MSE, and RMSE parameters in all systems (OM1, OM2, and OM3) (Table A11), meaning it provides the most accurate predictions with minimal error. The Page model was used to estimate the drying curve, as illustrated in Figure 9, for both OM1 and OM3, with its parameters shown in Table 3. The Page model is commonly used to model the drying of agricultural products, including pulps and seeds, among others. It generally has a better fit to curves generated from experimental drying data of agricultural products, such as mango pulp, rice, passion fruits, and mangoes, among others, with R2 values greater than 0.9, which are similar to the results obtained in [22].
Figure 9.
Mango dehydration curves for two operation modes: (a) OM1 with only passive solar energy, and (b) OM2 with passive solar and photovoltaic energy to support the mechanical system of air replenishment and homogenization in the chamber.
Table 3.
Values of parameters k and n for the corresponding mathematical model of mango solar dehydration.
Figure 9 illustrates the dynamics of mango dehydration under the two operation modes, OM1 and OM2, which represent contrasting conditions. The first one, OM1, operates without any forced airflow and uses only passive energy to heat the air; the second one, OM2, uses passive energy but also incorporates forced airflow, making use of photovoltaic energy to operate the fans responsible for renewing and homogenizing the air.
The curves in Figure 9 show better performance of the solar dryer operated under OM2, as it reduces dehydration time by 50%. In the first hour, the weight loss exceeded 60% when operated under OM2 and 25% when operated under OM1. After 200 min, the differences between these two modes of operation were reduced; the weight loss reached 80% with OM2 and 60% with OM1. At the beginning of the process, the drying rate increased gradually with the increasing temperature and decreasing RH. However, once the temperature stabilized, the drying of the mango slices increased the RH, and the drying rate gradually decreased [22,23,29]. From Figure 9, it is also possible to identify the positive effect of a high airflow on the mass and energy transfer processes. In OM2, the central rotary fan increases the airflow and air velocity, probably enough to remove the air layer on the mango slice surface, which is the controlling step in the drying process. This can be observed in Figure 9, where, in the first two hours, OM2 shows a higher dehydration rate than OM1, which has no rotary fan. Additionally, the rotary fan prevents dead spots and the formation of T° and RH gradients in the drying chamber, which enhances the mass and energy transfer. The periodic replacement of moist air with fresh air by the intake fans and exhaust fan system also maintains the driving force at a high level. Finally, the exhaust fan at the top of the side wall of the drying chamber promotes the movement through the trays.
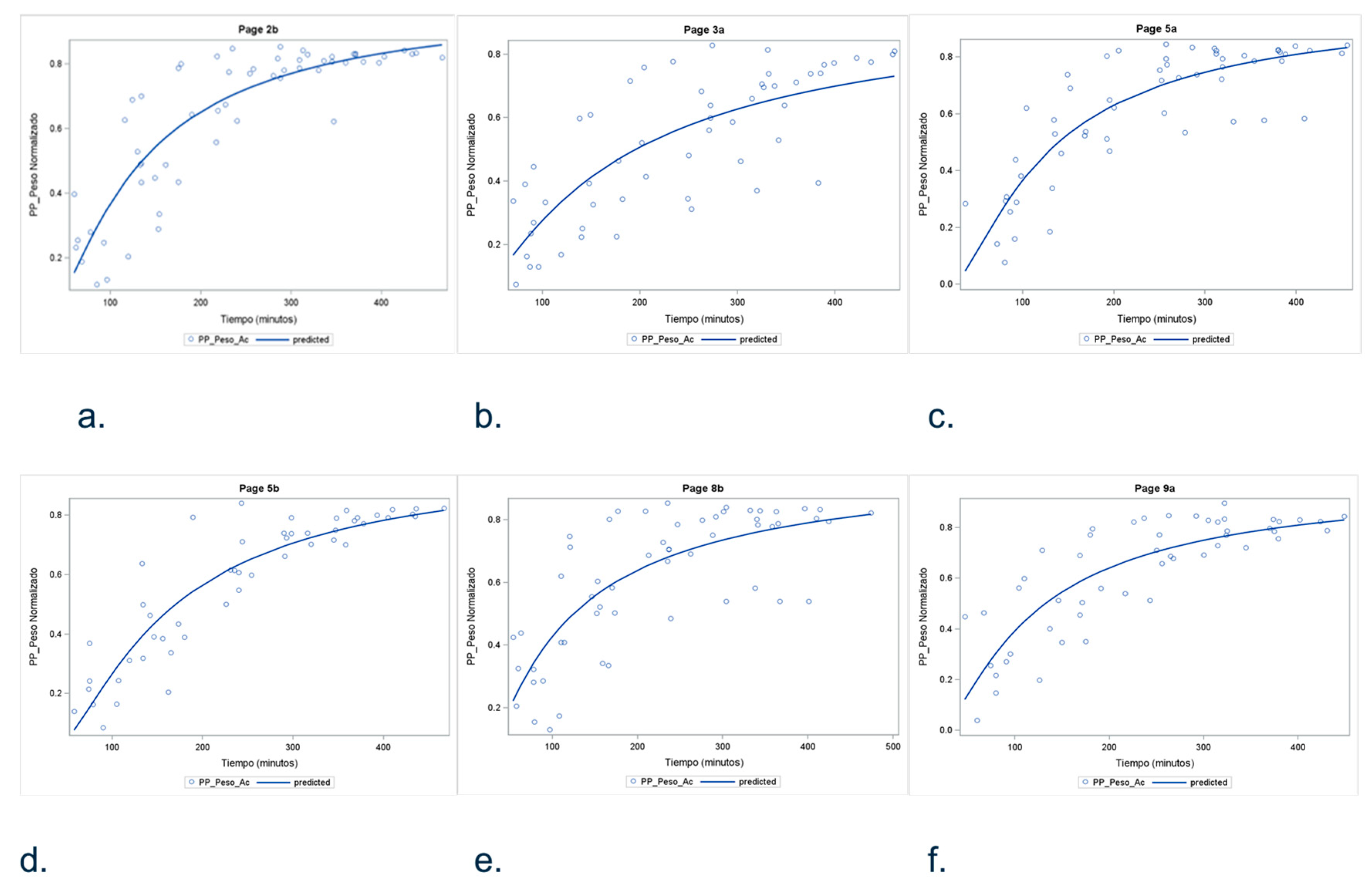
The homogeneity of the drying chamber is summarized in Figure 10, where the drying curves from six trays located at different positions in the chamber (2b, 3a, 5a, 5b, 8b, and 9a) were evaluated. The Page model was used to analyze the data obtained. Based on the lower variability and greater stability during the process, the tray in position 5 seemed to have more stable drying rates, although the drying in all trays showed a similar performance. The use of the central rotary fan is probably sufficiently efficient to homogenize the air conditioning within the drying chamber, eliminating the differences in temperature profiles identified in the chamber when it was operated under OM1.
Figure 10.
Drying curves of samples monitored during the mango solar dehydration process: (a) 2b, (b) 3a, (c) 5a, (d) 5b, (e) 8b, (f) 9a.
3.4. Sustainability Analysis
Based on all the results found, the dehydration of mango slices under operation mode OM1 resulted in moisture contents of 17% and 12% after six and seven hours of dehydration, respectively. Under operation modes OM3 and OM2, the final moisture contents ranged between 6.5 and 7% after the same time of dehydration. In most cases, the water activity recorded values lower than 0.7, which are conditions that prevent food spoilage and deterioration. From these results, it can be proposed that the combined use of passive and photovoltaic energy (OM2 and OM3) represents more efficient drying processes. Photovoltaic energy supplies the energy needed to operate the exhaust, intake, and rotary fans, which remove and replenish the exhausted and moist air with fresh air, homogenizes the air mass conditions inside the drying chamber, and generates a strong airflow that improves the mass and energy transfer coefficients and, thus, the mass and energy transfer processes [23,30].
OM1 had a lower drying efficiency compared with OM2 and OM3, as depicted in Figure 6, Figure 7, Figure 8 and Figure 9; however, its efficiency is still high, with a drying rate of 0.12 kg/Kg h b.w for 12% of the final moisture, 18 m2, and eight hours of drying. Comparing these results with other similar studies is not easy, as the drying performance depends on different factors, such as the type of product, initial moisture content, type of dryer, climate conditions, and airflow [7]. Based on these considerations, the results were compared with those reported for apples, eggplants, and potatoes dried in open dryers after eight hours of drying in open dryers, where drying rates of 0.088 kg/kg h and 0.03 kg/kg h were reported for open and convective dryers, respectively, for the same period of eight hours and final moisture of 12%. However, it is important to mention that these processes have been conducted on a small scale. Similar studies on peppermint and potatoes [11] conducted in open dryers also achieved a 12% final moisture in eight hours of drying, and another study reported 12 h [31] for drying mango slices. There are several studies on solar dehydration [7], but most of them are at laboratory or smaller scales. Few studies have been conducted on medium or large scales to compare or validate these results. A 50 m2 solar greenhouse-type tunnel drying unit without a forced ventilation system [25] was evaluated for drying mangoes, reporting drying times of between 23 and 27 h and a final moisture content lower than 12%, which highlights the efficiency of the solar dryer evaluated in the present study.
The results show that the best conditions for dehydration are achieved between 11 and 15 h—a time frame during which the outside temperature is high and the inside temperature is even higher due to the close relationship between these two temperatures and drying chamber conditions. A more accurate estimation of this drying rate reduces the variation in the final moisture content, thus improving the product quality [21]. To achieve a more efficient dehydration process, it is recommended that the fruit be dehydrated in this time slot, or between 10 and 16 h, the period of the day when the dehydration rate is high. The results also showed that stopping the process before 10 h or continuing the process beyond 16 h is not a prudent or effective decision. This is in accordance with other studies in which the process was conducted from 8 to 16 h and from 9 to 17 h. The shorter time found here for the OM2 and OM3 operation modes significantly reduces labor costs and produces higher-quality products, among other advantages.
The temperature and relative humidity profiles show that the dehydrator’s capacity can be increased by increasing the number of trays, as the air mass never reached saturation conditions, and throughout the evaluation period (9 to 16 h), the DifT remained sufficiently high, meaning that it is possible to increase the mango load by including additional trays. However, it is not recommended that the mango load per tray be increased, as this would reduce the free space in each tray and, thus, the dehydration rate.
Air homogenization plays an important role in the dryer’s efficiency, as it was evident that the rotary central fan (OM2 and OM3) eliminates the temperature and relative humidity gradients that are generated when the system is operated under OM1.
Other important findings relate to the absence of thermal insulation on the dehydrator floor, which generates energy losses through this area. This was reflected in lower temperatures in this zone and in the lower-temperature profile when the rotary central fan operates (OM2 and OM3), as this homogenizes the air conditioning throughout the dryer chamber. However, the geomembrane was also found to be a good insulator, as the temperatures at MC and MG are quite similar and significantly higher than those of GS and SC; thus, this geomembrane can be used as an insulating layer on the ground.
Although the system operated under OM2 had the best results in terms of the drying speed and time, it is necessary to optimize its performance based on the air replenishment frequency, considering different factors, such as the hour of the day, DifT, and DifRH, to maintain the highest driving force.
Finally, it is important to emphasize the importance of continuing to work on these solar processes, which are aligned with clean energy and sustainable food production. The foods produced using this type of process are recognized as natural and green products with longer shelf lives, which confers important added value on mangoes and other food products. However, the analysis should consider other aspects, such as the quality of the fruit and the performance of the dryer, the complexity of its construction, and its sustainability. Under this premise, it is crucial to recognize that every solar dryer possesses unique attributes that require careful consideration when choosing the optimal model to align with the desired goals to reduce food losses and add value.
Although open dryers and direct solar dryers are characterized by lower costs, the product quality is low due to the direct exposure of the product to sun rays and their effect on color and other quality traits. Indirect solar dryers offer better-quality products; however, the complexity of constructing them and their costs depend on their specific characteristics. While mixed dryers, such as those that combine passive energy with photovoltaic energy, offer higher efficiencies in terms of drying rates and good-quality products, these dryers also show some traits that could be disadvantageous, such as high initial investment costs, the need for technical personnel to construct them, and the need for training to operate and maintain them.
Attention should be paid to the sustainability of these photovoltaic dryers because although they use clean energy, a comprehensive life-cycle analysis may indicate that their environmental impacts are not as sustainable as initially perceived due to the photovoltaic module production and disposal of their residues after they reach the end of their useful life [32,33]. From this point of view, greenhouse dryers offer important advantages such as low prices, ease of operation and maintenance, acceptable drying rates, good-quality products, and a lower environmental impact.
Based on this premise, it can be postulated that the solar dryer analyzed in the present study, operated in OM1 mode, is the best alternative for mango farmers, with the lowest environmental impact. Solar dryers operated under OM2 and OM3 led to more efficient processes and good-quality products (color, texture, and nutritional content), and an economic and financial analysis showed positive results for farmers. Although the color, texture, and nutritional content analyses were not conducted with the technical rigor required, the results were positive.
This allows us to recommend delving deeper into this topic, which is crucial to proposing solar drying as a feasible alternative to reduce food losses, add value, and contribute to food security. If this drying process can ensure the sensory and nutritional quality of food products, then, combined with its sustainability of the process, solar drying can be proposed as a feasible alternative to increase the shelf life of nutritious products for most of the population, increase the incomes of small-scale farmers, and facilitate transport, storage, and distribution, meaning that they can reach remote communities, thus contributing to reducing food insecurity and reducing chronic illnesses associated with the low consumption of fruits and vegetables.
Finally, dried mangoes expand the dried mango market with a higher value and lower risk. The selling price per kg of dried mango can range between USD 25 and 30, while 1 kg of fresh mangoes costs between USD 2 and 3.
4. Conclusions
The results showed that the use of passive and photovoltaic energy to dry mangoes could be a feasible alternative to add value and reduce mango losses.
The combination of thermal and photovoltaic energy allows for the use of mechanical accessories to force air in at higher velocities, homogenize the air conditions, and replace the exhausted moist air with fresh air. All these conditions increase the drying efficiency, which supports the better performance reached for the dryer operating under the OM2 mode (drying chamber with exhaust fans, intake fans, and the central fan for mechanical replenishment and air homogenization inside the chamber).
Based on the evaluation of the solar dryer, section A (high section) gave better results than section B (low section) in terms of their temperature profiles. Furthermore, the operation mode and load showed significant differences in section B, conversely to section A, where these factors showed no significant differences. The central rotary fan played a crucial role in homogenizing the air’s relative humidity and temperature in the drying chamber. The temperature profile in the “y” axis showed more significant differences for OM1 (the drying chamber without photovoltaic module support) than those found for OM2 and OM3 (the drying chamber with a central fan for mechanical air homogenization inside the chamber). Although the geomembrane offered good thermal insulation, it is recommended that it be put on the ground to avoid a loss of energy to the surrounding ground.
Author Contributions
M.C.G.-M., conceptualization, methodology, formal analysis, supervision, writing—review and editing, funding acquisition; Y.R.-B., data curation, writing—original draft, formal analysis, visualization; K.J.P.-B., investigation, methodology; E.V., investigation, writing—review and editing; L.F.A.-S., validation; J.J.E.-G., validation and visualization. The authors declare that they have no known competing financial interests or personal relationships that could have appeared to influence the work reported in this paper. All authors have read and agreed to the published version of the manuscript.
Funding
This work was developed as part of the Food Loss Reduction project, executed by the Corporacion Colombiana de Investigación Agropecuaria AGROSAVIA and supported by Region Administrativa y de Planeación Especial (RAPE) Central Region, under Agreement RAPE—AGROSAVIA number 2172 of 2023.
Data Availability Statement
The database can be found at https://doi.org/10.17632/85566M8BPN.1, accessed on 6 April 2025.
Acknowledgments
The authors thank the Asociación de productores de mango Mangovipaz for their help during the mango dehydration tests and Region Administrativa y de Planeación Especial (RAPE) Región Central for their financial support.
Conflicts of Interest
Maria Cristina García-Muñoz, Yajaira Romero-Barrera, Fernando Amortegui-Sánchez, Edwin Andrés Villagrán-Munar, John Javier Espitia-González and Kelly Johana Pedroza-Berrio were employed by the AGROSAVIA. The remaining authors declare that the research was conducted in the absence of any commercial or financial relationships that could be construed as a potential conflict of interest.
Appendix A
Table A1.
Significant differences in temperature based on Tukey grouping for P(s)* HH for temperature.
Table A1.
Significant differences in temperature based on Tukey grouping for P(s)* HH for temperature.
| P(s) | HH | Average Temperature | Group |
|---|---|---|---|
| Inside | 0 | 28.26161 | IJKLMN |
| Inside | 1 | 28.04051 | IJKLMNO |
| Inside | 2 | 27.85408 | IJKLMNO |
| Inside | 3 | 27.60360 | IJKLMNO |
| Inside | 4 | 27.27071 | IJKLMNO |
| Inside | 5 | 27.06800 | IJKLMNO |
| Inside | 6 | 27.39659 | IJKLMNO |
| Inside | 7 | 30.29105 | GHIJ |
| Inside | 8 | 35.15964 | E |
| Inside | 9 | 41.60681 | D |
| Inside | 10 | 46.44095 | BC |
| Inside | 11 | 49.31326 | AB |
| Inside | 12 | 50.68872 | A |
| Inside | 13 | 51.97508 | A |
| Inside | 14 | 52.51275 | A |
| Inside | 15 | 50.35712 | AB |
| Inside | 16 | 42.93524 | CD |
| Inside | 17 | 36.30989 | E |
| Inside | 18 | 32.38851 | EFGH |
| Inside | 19 | 30.91392 | FGHI |
| Inside | 20 | 30.28116 | GHIJ |
| Inside | 21 | 29.81736 | GHIJK |
| Inside | 22 | 29.43969 | GHIJK |
| Inside | 23 | 28.99765 | HIJKL |
| Outside | 0 | 25.19558 | LMNO |
| Outside | 1 | 25.01518 | LMNO |
| Outside | 2 | 24.89017 | MNO |
| Outside | 3 | 24.62809 | NO |
| Outside | 4 | 24.34403 | NO |
| Outside | 5 | 24.18952 | O |
| Outside | 6 | 24.37834 | NO |
| Outside | 7 | 25.98080 | KLMNO |
| Outside | 8 | 28.74184 | HIJKLM |
| Outside | 9 | 30.45954 | GHIJ |
| Outside | 10 | 32.30372 | EFGH |
| Outside | 11 | 34.57821 | EF |
| Outside | 12 | 35.83285 | E |
| Outside | 13 | 35.69601 | E |
| Outside | 14 | 35.37435 | E |
| Outside | 15 | 34.52652 | EF |
| Outside | 16 | 33.13491 | EFG |
| Outside | 17 | 30.91611 | FGHI |
| Outside | 18 | 28.41411 | HIJKLMN |
| Outside | 19 | 27.44181 | IJKLMNO |
| Outside | 20 | 27.07017 | IJKLMNO |
| Outside | 21 | 26.72817 | IJKLMNO |
| Outside | 22 | 26.36527 | JKLMNO |
| Outside | 23 | 25.97349 | KLMNO |
Means with the same letter are not significantly different.
Table A2.
Significant differences in temperature based on Tukey grouping for OM* Load.
Table A2.
Significant differences in temperature based on Tukey grouping for OM* Load.
| Operation Mode (OM) | Load | Average Temperature | Group |
|---|---|---|---|
| OM1 | L1—With load | 31.86736 | C |
| OM1 | L2—Without load | 31.67409 | C |
| OM2 | L1—With load | 34.02250 | A |
| OM2 | L2—Without load | 32.84541 | B |
| OM3 | L1—With load | 32.48841 | BC |
| OM3 | L2—Without load | 31.49006 | C |
Means with the same letter are not significantly different.
Table A3.
Significant differences in temperature based on Tukey grouping for OM*P(s).
Table A3.
Significant differences in temperature based on Tukey grouping for OM*P(s).
| P(s) | OM | Average Temperature | Group |
|---|---|---|---|
| Inside | OM1 | 35.56143 | B |
| Inside | OM2 | 36.76900 | A |
| Inside | OM3 | 35.53506 | B |
| Outside | OM1 | 27.98002 | D |
| Outside | OM2 | 30.09892 | C |
| Outside | OM3 | 28.44341 | D |
Means with the same letter are not significantly different.
Table A4.
Significant differences in relative humidity based on Tukey grouping for P(s)*HH.
Table A4.
Significant differences in relative humidity based on Tukey grouping for P(s)*HH.
| P(s) | HH | Average Relative Humidity | Group |
|---|---|---|---|
| Inside | 0 | 75.86041 | GHIJKLMN |
| Inside | 1 | 76.95715 | GHIJKLMN |
| Inside | 2 | 77.69579 | GHIJKLM |
| Inside | 3 | 78.30313 | GHIJKLM |
| Inside | 4 | 79.35842 | FGHIJKLM |
| Inside | 5 | 80.12441 | DEFGHIJKL |
| Inside | 6 | 79.76525 | EFGHIJKL |
| Inside | 7 | 73.05478 | HIJKLMN |
| Inside | 8 | 60.79073 | OPQRST |
| Inside | 9 | 48.74966 | TUV |
| Inside | 10 | 40.78995 | UVW |
| Inside | 11 | 36.15810 | WX |
| Inside | 12 | 33.22525 | WX |
| Inside | 13 | 30.55791 | WX |
| Inside | 14 | 28.64268 | X |
| Inside | 15 | 29.42893 | WX |
| Inside | 16 | 37.81089 | VWX |
| Inside | 17 | 50.48288 | TU |
| Inside | 18 | 60.27898 | OPQRST |
| Inside | 19 | 64.88579 | NOPQRS |
| Inside | 20 | 67.08361 | MNOPQR |
| Inside | 21 | 68.25909 | KLMNOPQ |
| Inside | 22 | 70.14750 | JKLMNOP |
| Inside | 23 | 71.76002 | IJKLMNO |
| Outside | 0 | 90.94233 | ABCDEF |
| Outside | 1 | 91.67190 | ABCDE |
| Outside | 2 | 92.10984 | ABCD |
| Outside | 3 | 92.87518 | ABC |
| Outside | 4 | 93.65659 | AB |
| Outside | 5 | 94.19960 | A |
| Outside | 6 | 94.09750 | A |
| Outside | 7 | 91.16479 | ABCDEF |
| Outside | 8 | 81.21215 | JCDEFGHI |
| Outside | 9 | 73.88402 | HIJKLMN |
| Outside | 10 | 67.42541 | MNOPQ |
| Outside | 11 | 60.81795 | OPQRST |
| Outside | 12 | 56.32022 | QRST |
| Outside | 13 | 54.96175 | RST |
| Outside | 14 | 54.27604 | ST |
| Outside | 15 | 54.84604 | RST |
| Outside | 16 | 59.32074 | PQRST |
| Outside | 17 | 67.91556 | LMNOPQ |
| Outside | 18 | 76.31512 | GHIJKLMN |
| Outside | 19 | 80.74240 | CDEFGHIJK |
| Outside | 20 | 81.68285 | JBCDEFGHI |
| Outside | 21 | 83.05841 | ABCDEFGHI |
| Outside | 22 | 85.14794 | ABCDEFGH |
| Outside | 23 | 86.62933 | ABCDEFG |
Means with the same letter are not significantly different.
Table A5.
Significant differences in relative humidity based on Tukey grouping for P(s)*OM.
Table A5.
Significant differences in relative humidity based on Tukey grouping for P(s)*OM.
| P(s) | Operational Mode (OM) | Average Relative Humidity | Group |
|---|---|---|---|
| Inside | OM1 | 63.09211 | D |
| Inside | OM2 | 54.97066 | F |
| Inside | OM3 | 59.45865 | E |
| Outside | OM1 | 83.31582 | A |
| Outside | OM2 | 70.63407 | C |
| Outside | OM3 | 79.20932 | B |
Means with the same letter are not significantly different.
Table A6.
Significant differences in relative humidity based on Tukey grouping for OM*L.
Table A6.
Significant differences in relative humidity based on Tukey grouping for OM*L.
| Operational Mode (OM) | Load | Average Relative Humidity | Group |
|---|---|---|---|
| OM1 | L1—With load | 73.40983 | A |
| OM1 | L2—Without load | 72.99810 | A |
| OM2 | L1—With load | 60.91386 | C |
| OM2 | L2—Without load | 64.69086 | B |
| OM3 | L1—With load | 66.76558 | B |
| OM3 | L2—Without load | 71.90238 | A |
Means with the same letter are not significantly different.
Table A7.
Significant differences in DifH based on Tukey grouping for OM*HH.
Table A7.
Significant differences in DifH based on Tukey grouping for OM*HH.
| HH | Operational Mode (OM) | DifH | Group |
|---|---|---|---|
| 0 | OM1 | 3.031918 | FG |
| 0 | OM2 | 3.198210 | FG |
| 0 | OM3 | 2.967956 | FG |
| 1 | OM1 | 3.012898 | FG |
| 1 | OM2 | 3.106440 | FG |
| 1 | OM3 | 2.956647 | FG |
| 2 | OM1 | 2.972031 | FG |
| 2 | OM2 | 2.989234 | FG |
| 2 | OM3 | 2.930456 | FG |
| 3 | OM1 | 2.968588 | FG |
| 3 | OM2 | 3.010994 | FG |
| 3 | OM3 | 2.946958 | FG |
| 4 | OM1 | 2.923073 | FG |
| 4 | OM2 | 2.964530 | FG |
| 4 | OM3 | 2.892427 | FG |
| 5 | OM1 | 2.872491 | G |
| 5 | OM2 | 2.886256 | FG |
| 5 | OM3 | 2.876687 | FG |
| 6 | OM1 | 2.975196 | FG |
| 6 | OM2 | 3.138317 | FG |
| 6 | OM3 | 2.941237 | FG |
| 7 | OM1 | 4.112956 | FG |
| 7 | OM2 | 4.535800 | FG |
| 7 | OM3 | 4.282002 | FG |
| 8 | OM1 | 5.693128 | EFG |
| 8 | OM2 | 7.630935 | DEFG |
| 8 | OM3 | 5.929365 | DEFG |
| 9 | OM1 | 11.284221 | CDEF |
| 9 | OM2 | 10.281216 | CDEF |
| 9 | OM3 | 11.876389 | BCDEF |
| 10 | OM1 | 15.533910 | ABC |
| 10 | OM2 | 12.015545 | BCDE |
| 10 | OM3 | 14.862236 | ABCD |
| 11 | OM1 | 15.975973 | ABC |
| 11 | OM2 | 13.370555 | BCDE |
| 11 | OM3 | 14.858631 | ABCD |
| 12 | OM1 | 16.025309 | ABC |
| 12 | OM2 | 14.776636 | ABCD |
| 12 | OM3 | 13.765675 | ABCDE |
| 13 | OM1 | 17.497650 | AB |
| 13 | OM2 | 15.158391 | ABC |
| 13 | OM3 | 16.181171 | ABC |
| 14 | OM1 | 19.733331 | A |
| 14 | OM2 | 14.886418 | ABC |
| 14 | OM3 | 16.795437 | ABC |
| 15 | OM1 | 17.623139 | AB |
| 15 | OM2 | 13.942077 | ABCD |
| 15 | OM3 | 15.926587 | ABC |
| 16 | OM1 | 11.599434 | CDEF |
| 16 | OM2 | 8.395491 | DEFG |
| 16 | OM3 | 9.406061 | CDEFG |
| 17 | OM1 | 6.058594 | DEFG |
| 17 | OM2 | 5.048781 | FG |
| 17 | OM3 | 5.073958 | EFG |
| 18 | OM1 | 4.137123 | FG |
| 18 | OM2 | 3.831606 | FG |
| 18 | OM3 | 3.954464 | FG |
| 19 | OM1 | 3.458624 | FG |
| 19 | OM2 | 3.343401 | FG |
| 19 | OM3 | 3.614286 | FG |
| 20 | OM1 | 3.237849 | FG |
| 20 | OM2 | 2.987970 | FG |
| 20 | OM3 | 3.407143 | FG |
| 21 | OM1 | 3.126354 | FG |
| 21 | OM2 | 2.815613 | G |
| 21 | OM3 | 3.325595 | FG |
| 22 | OM1 | 3.093312 | FG |
| 22 | OM2 | 2.895853 | FG |
| 22 | OM3 | 3.234077 | FG |
| 23 | OM1 | 3.006832 | FG |
| 23 | OM2 | 2.871615 | G |
| 23 | OM3 | 3.194048 | FG |
Means with the same letter are not significantly different.
Table A8.
Significant differences in DifT based on Tukey grouping for HH*OM.
Table A8.
Significant differences in DifT based on Tukey grouping for HH*OM.
| HH | Operational Mode (OM) | DifT | Group |
|---|---|---|---|
| 0 | OM1 | −15.23689 | ABCDE |
| 0 | OM2 | −14.76617 | ABCDE |
| 0 | OM3 | −15.24272 | ABCDE |
| 1 | OM1 | −14.95869 | ABCDE |
| 1 | OM2 | −14.30580 | ABCD |
| 1 | OM3 | −14.87976 | ABCDE |
| 2 | OM1 | −14.51110 | ABCD |
| 2 | OM2 | −13.95235 | ABC |
| 2 | OM3 | −14.77870 | ABCDE |
| 3 | OM1 | −14.35325 | ABCD |
| 3 | OM2 | −14.19499 | ABCD |
| 3 | OM3 | −15.16788 | ABCDE |
| 4 | OM1 | −14.02651 | ABCD |
| 4 | OM2 | −14.21391 | ABCD |
| 4 | OM3 | −14.65410 | ABCDE |
| 5 | OM1 | −13.61214 | AB |
| 5 | OM2 | −14.01117 | ABCD |
| 5 | OM3 | −14.60225 | ABCDE |
| 6 | OM1 | −13.69265 | AB |
| 6 | OM2 | −14.06689 | ABCD |
| 6 | OM3 | −15.23720 | ABCDE |
| 7 | OM1 | −17.51699 | ABCDEF |
| 7 | OM2 | −17.44196 | ABCDEF |
| 7 | OM3 | −19.37110 | ABCDEFG |
| 8 | OM1 | −18.83189 | ABCDEF |
| 8 | OM2 | −21.83720 | BCDEFG |
| 8 | OM3 | −20.59517 | ABCDEFG |
| 9 | OM1 | −26.33582 | CDEFG |
| 9 | OM2 | −21.93492 | BCDEFG |
| 9 | OM3 | −27.13236 | CDEFG |
| 10 | OM1 | −30.57814 | FG |
| 10 | OM2 | −20.59918 | ABCDEFG |
| 10 | OM3 | −28.72907 | EFG |
| 11 | OM1 | −27.02768 | CDEFG |
| 11 | OM2 | −19.77947 | ABCDEFG |
| 11 | OM3 | −27.17241 | CDEFG |
| 12 | OM1 | −25.44385 | BCDEFG |
| 12 | OM2 | −18.60875 | ABCDEF |
| 12 | OM3 | −25.23231 | BCDEFG |
| 13 | OM1 | −28.25777 | EFG |
| 13 | OM2 | −17.48823 | ABCDEF |
| 13 | OM3 | −27.46549 | DEFG |
| 14 | OM1 | −32.02917 | G |
| 14 | OM2 | −17.78665 | ABCDEF |
| 14 | OM3 | −27.08426 | CDEFG |
| 15 | OM1 | −31.95738 | G |
| 15 | OM2 | −18.56008 | ABCDEF |
| 15 | OM3 | −25.73386 | BCDEFG |
| 16 | OM1 | −27.03505 | CDEFG |
| 16 | OM2 | −15.94490 | ABCDE |
| 16 | OM3 | −21.54961 | ABCDEFG |
| 17 | OM1 | −21.75633 | BCDEFG |
| 17 | OM2 | −13.07667 | AB |
| 17 | OM3 | −17.46503 | ABCDEF |
| 18 | OM1 | −18.86922 | ABCDEF |
| 18 | OM2 | −12.40170 | AB |
| 18 | OM3 | −16.83750 | ABCDE |
| 19 | OM1 | −17.02628 | ABCDE |
| 19 | OM2 | −13.16023 | AB |
| 19 | OM3 | −17.38333 | ABCDEF |
| 20 | OM1 | −15.97603 | ABCDE |
| 20 | OM2 | −11.33896 | A |
| 20 | OM3 | −16.48274 | ABCDE |
| 21 | OM1 | −15.65808 | ABCDE |
| 21 | OM2 | −11.55835 | A |
| 21 | OM3 | −17.18155 | ABCDEF |
| 22 | OM1 | −15.43500 | ABCDE |
| 22 | OM2 | −12.43638 | AB |
| 22 | OM3 | −17.12996 | ABCDEF |
| 23 | OM1 | −15.24326 | ABCDE |
| 23 | OM2 | −12.45692 | AB |
| 23 | OM3 | −16.90774 | ABCDE |
Means with the same letter are not significantly different
Table A9.
Significant differences in DifT based on Tukey grouping for OM* Load.
Table A9.
Significant differences in DifT based on Tukey grouping for OM* Load.
| Operational Mode (OM) | Load | DifT | Group |
|---|---|---|---|
| OM1 | L1—With load | −19.44173 | B |
| OM1 | L2—Without load | −21.00570 | C |
| OM2 | L1—With load | −15.84195 | A |
| OM2 | L2—Without load | −15.48487 | A |
| OM3 | L1—With load | −18.85056 | B |
| OM3 | L2—Without load | −20.65079 | BC |
Means with the same letter are not significantly different.
Table A10.
Significant differences in dryer temperature based on Tukey grouping for P(h)*HH.
Table A10.
Significant differences in dryer temperature based on Tukey grouping for P(h)*HH.
| P(h) | HH | Average Dryer Temperature | Standard Error | Group |
|---|---|---|---|---|
| GSC | 9 | 39.9305448 | 1.3721347 | KLM |
| GSC | 10 | 43.9070863 | 1.3721347 | FGHIJKL |
| GSC | 11 | 46.0451341 | 1.3720155 | CDEFGHIJK |
| GSC | 12 | 48.1872559 | 1.3720155 | BCDEFGHIJ |
| GSC | 13 | 50.4471006 | 1.3720155 | ABCDEF |
| GSC | 14 | 49.9034333 | 1.3720155 | ABCDEFG |
| GSC | 15 | 47.8324059 | 1.3720155 | BCDEFGHIJ |
| GSC | 16 | 41.8087759 | 1.3720155 | IJKLM |
| GSC | 17 | 36.2334909 | 1.4893864 | LM |
| MC | 9 | 43.4402248 | 1.3713809 | FGHIJKL |
| MC | 10 | 49.3868971 | 1.3713809 | ABCDEFGH |
| MC | 11 | 52.9148546 | 1.3713809 | ABC |
| MC | 12 | 54.3531896 | 1.3713809 | AB |
| MC | 13 | 54.0837181 | 1.3713809 | AB |
| MC | 14 | 55.7614660 | 1.3713809 | A |
| MC | 15 | 53.7996335 | 1.3713809 | AB |
| MC | 16 | 44.9153541 | 1.3713809 | EFGHIJK |
| MC | 17 | 35.6144198 | 1.4312960 | M |
| MG | 9 | 43.3405660 | 1.3713809 | FGHIJKL |
| MG | 10 | 48.7672084 | 1.3713809 | ABCDEFGHI |
| MG | 11 | 52.2061291 | 1.3713809 | ABCDE |
| MG | 12 | 52.9446239 | 1.3713809 | ABC |
| MG | 13 | 54.0849188 | 1.3713809 | AB |
| MG | 14 | 55.0951011 | 1.3713809 | AB |
| MG | 15 | 52.6258010 | 1.3713809 | ABCD |
| MG | 16 | 43.7486943 | 1.3713809 | FGHIJKL |
| MG | 17 | 36.6424044 | 1.4312960 | LM |
| SC | 9 | 36.3010646 | 1.4320183 | LM |
| SC | 10 | 39.3978464 | 1.4320183 | KLM |
| SC | 11 | 41.1068520 | 1.4320183 | JKLM |
| SC | 12 | 42.2382618 | 1.4320183 | HIJKLM |
| SC | 13 | 45.0826305 | 1.4320183 | DEFGHIJK |
| SC | 14 | 44.6051352 | 1.4320183 | EFGHIJK |
| SC | 15 | 42.5579095 | 1.4320183 | GHIJKLM |
| SC | 16 | 39.2580403 | 1.4382865 | KLM |
| SC | 17 | 36.5603335 | 1.4894962 | LM |
Table A11.
Parameters for determining the quality of the model’s fit.
Table A11.
Parameters for determining the quality of the model’s fit.
| Model | System | SSE | MSE | RMSE | Value Ranking | Number of Parameters |
|---|---|---|---|---|---|---|
| Henderson and Pabis | OM2 | 0.28 | 0.0121 | 0.1101 | 2 | |
| Page | OM2 | 0.06 | 0.0027 | 0.0515 | Lowest value | 2 |
| Lewis | OM2 | 1.86 | 0.0775 | 0.2783 | Highest value | 1 |
| Henderson and Pabis | OM1 | 3.39 | 0.0181 | 0.1344 | 2 | |
| Page | OM1 | 1.83 | 0.0097 | 0.0987 | Lowest value | 2 |
| Lewis | OM1 | 24.71 | 0.1308 | 0.3616 | Highest value | 1 |
| Henderson and Pabis | OM3 | 0.67 | 0.0137 | 0.1171 | 2 | |
| Page | OM3 | 0.56 | 0.0115 | 0.1072 | Lowest value | 2 |
| Lewis | OM3 | 2.89 | 0.0578 | 0.2404 | Highest value | 1 |
References
- Gustavsson, J.; Cederberg, C.; Sonesson, U.; van Otterdijk, R.; Meybeck, A. GLOBAL Food Losses and Food Waste; Food and Agriculture Organization of the United Nations: Rome, Italy, 2012; Available online: https://www.fao.org/4/mb060e/mb060e.pdf (accessed on 10 February 2025).
- Boeing, H.; Bechthold, A.; Bub, A.; Ellinger, S.; Haller, D.; Kroke, A.; Leschik-Bonnet, E.; Müller, M.J.; Oberritter, H.; Schulze, M.; et al. Critical Review: Vegetables and Fruit in the Prevention of Chronic Diseases. Eur. J. Nutr. 2012, 51, 637–663. [Google Scholar] [CrossRef] [PubMed]
- Muñoz, G.; Cristina, M.; Rodríguez, J.E.A. Reflexiones Sobre El Rol Del Manejo Poscosecha En La Reducción de Las Pérdidas de Alimentos y La Inseguridad Alimentaria; Corporación Colombiana de Investigación Agropecuaria (AGROSAVIA): Bogotá, Colombia, 2024. [Google Scholar] [CrossRef]
- Ganesh, R.; Breaz, T.O.; Al Mahrouqi, A.W.A.; Al Zakwani, N.A.; Al Fahdi, M.H.; Al Shuraiqi, A.S.; Al Awamri, S.A.; Al Aamri, R.S.; Karthikeyan, K.R. A Comparative Management Analysis on the Performance of Different Solar Drying Methods for Drying Vegetables and Fruits. Sustainability 2024, 16, 775. [Google Scholar] [CrossRef]
- Mirian, P.; Vargas-Ramella, M.; Franco, D.; da Cruz, A.G.; Zengin, G.; Kumar, M.; Dhama, K.; Lorenzo, J.M. The Role of Emerging Technologies in the Dehydration of Berries: Quality, Bioactive Compounds, and Shelf Life. Food Chem. 2022, 16, 100465. [Google Scholar] [CrossRef]
- Forero, P.; Esperanza, L.; Azain, B.L.B.; Rodríguez, J.M.M.; Redondo, C.A.G.; Rodríguez, J.E.A.; Muñoz, M.C.G. Aspectos Normativos y Técnicos Claves Para La Vinculación de Emprendedores Del Sector Hortofrutícola a Cadenas de Valor de Alimentos Procesados; Corporación Colombiana de Investigación Agropecuaria (AGROSAVIA): Bogotá, Colombia, 2024. [Google Scholar] [CrossRef]
- Venkata, S.B.; Shireesha, Y.; Kishore, T.S.; Dwivedi, G.; Haghighi, A.T.; Patro, E.R. Natural Energy Materials and Storage Systems for Solar Dryers: State of the Art. Sol. Energy Mater. Sol. Cells 2023, 255, 112276. [Google Scholar] [CrossRef]
- EL-Mesery, H.S.; EL-Seesy, A.I.; Hu, Z.; Li, Y. Recent Developments in Solar Drying Technology of Food and Agricultural Products: A Review. Renew. Sustain. Energy Rev. 2022, 157, 112070. [Google Scholar] [CrossRef]
- Weiwei, C.; Sørensen, K.M.; Mongi, R.J.; Ndabikunze, B.K.; Chove, B.E.; Sun, D.-W.; Engelsen, S.B. A Comparative Study of Mango Solar Drying Methods by Visible and Near-Infrared Spectroscopy Coupled with ANOVA-Simultaneous Component Analysis (ASCA). LWT 2019, 112, 108214. [Google Scholar] [CrossRef]
- Debashree, B.; Mohanty, R.; Mohanty, A. Performance Evaluation of Indirect Type Forced Convection Solar Mango Dryer: A Sustainable Way of Food Preservation. Therm. Sci. 2023, 27, 1659–1672. [Google Scholar] [CrossRef]
- Eltawil, M.A.; AbouZaher, S.E.; El-Hadad, W.Z. Solar-Wind Ventilation to Enhance the Cabinet Dryer Performance for Medicinal Herbs and Horticultural Products. Agric. Eng. Int. 2012, 14, 56–74. [Google Scholar]
- Nadiya, P.; Duraipandi, S.; Sreekumar, A. Techno-Economic Analysis of Greenhouse Solar Dryer for Drying Agricultural Produce. Renew. Energy 2022, 199, 613–627. [Google Scholar] [CrossRef]
- Kumar, S.M.; Kumar, A. Designs, Performance and Economic Feasibility of Domestic Solar Dryers. Food Eng. Rev. 2023, 15, 156–186. [Google Scholar] [CrossRef]
- Oumar, D.A.; Desmorieux, H.; Koulidiati, J. A Convective Thin Layer Drying Model with Shrinkage for Kent Mango Slices. Adv. Chem. Eng. Sci. 2016, 6, 20–28. [Google Scholar] [CrossRef]
- Santis-Espinosa, L.; Perez-Sariñana, B.; Guerrero-Fajardo, C.; Saldaña-Trinidad, S.; Lopéz-Vidaña, E.; Sebastian, P. Drying Mango (Mangifera indica L.) with Solar Energy as a Pretreatment for Bioethanol Production. BioResources 2015, 10, 6044–6054. [Google Scholar] [CrossRef]
- UPME; IDEAM. Atlas de Radiación Solar de Colombia; Ministry of Mines and Energy: Bogotá, Colombia, 2005. Available online: https://repositoriobi.minenergia.gov.co/handle/123456789/2414 (accessed on 12 February 2025).
- Jairo, G.L.; González, C.A.A.; Velasco, J.E.R. Modelo Productivo Para El Cultivo de Mango En El Valle Del Alto Magdalena Para El Departamento Del Tolima; Corporación Colombiana de Investigación Agropecuaria (Agrosavia): Bogotá, Colombia, 2017. [Google Scholar] [CrossRef]
- Belessiotis, V.; Delyannis, E. Solar Drying. Sol. Energy 2011, 85, 1665–1691. [Google Scholar] [CrossRef]
- Rajesh, K.; Sivakumaran, N.; Radhakrishnan, K.; Nayak, P.K. Performance Analysis of Solar Tunnel Dryer with Thermal Storage and Photovoltaic System for Drying Star Fruit. IOP Conf. Ser. Earth Environ. Sci. 2020, 463, 012138. [Google Scholar] [CrossRef]
- Lopes, L.L.S.; da Silva, W.P.; Pereira, J.C.A.; Silva, C.M.D.P.S.E. Study of Continuous and Intermittent Drying of Pear Through Mathematical and Diffusion Models. J. Agric. Stud. 2021, 10, 29. [Google Scholar] [CrossRef]
- Ross, W.; Brusey, J.; Gaura, E. Modelling Uncontrolled Solar Drying of Mango Waste. J. Food Eng. 2018, 237, 44–51. [Google Scholar] [CrossRef]
- Getachew, D.G.; Keneni, Y.G.; Gebremariam, S.N.; Marchetti, J.M. Drying Kinetics and Mathematical Modeling of Seeds of Two Mango Varieties at Different Temperatures and with Different Pretreatments. Biofuels Bioprod. Biorefin. 2024, 18, 899–926. [Google Scholar] [CrossRef]
- Suherman, S.; Hadiyanto, H.; Asy-Syaqiq, M.A.; Brastayudha, A.A.; Fahrudin, M.W. Drying Banana Slices Using Photovoltaic Ventilation Solar Dryer. Food Res. 2024, 8 (Suppl. S1), 90–102. [Google Scholar] [CrossRef]
- Laurent, R.E.; Marwa, J.; Kichonge, B.; Kivevele, T. Development and Performance Evaluation of a Novel Solar Dryer Integrated with Thermal Energy Storage System for Drying of Agricultural Products. ACS Omega 2023, 8, 43304–43317. [Google Scholar] [CrossRef]
- Salazar-Camacho, N.A.; Sanchez-Echeverri, L.A.; Fonseca, F.J.; Falguera, V.; Castro-Bocanegra, D.; Tovar-Perilla, N.J. Mango (Mangifera indica L.) Dehydration as a Women Entrepreneurship Alternative in Vulnerable Communities. Sustainability 2022, 14, 1548. [Google Scholar] [CrossRef]
- Khalil, A.; Khaira, A.M.; Abu-Shanab, R.H.; Abdelgaied, M. A Comprehensive Review of Advanced Hybrid Technologies That Improvement the Performance of Solar Dryers: Photovoltaic/Thermal Panels, Solar Collectors, Energy Storage Materials, Biomass, and Desalination Units. Sol. Energy 2023, 253, 154–174. [Google Scholar] [CrossRef]
- Henry, B.; Simbaqueva, O.; Zapata, H. Atlas de Radiación Solar, Ultravioleta y Ozono de Colombia; Instituto de Hidrología, Meteorología y Estudios Ambientales (IDEAM): Bogotá, Colombia, 2017. Available online: https://www.andi.com.co/uploads/radiacion.compressed.pdf (accessed on 9 January 2025).
- García-Muñoz, M.C.; Henao-Rojas, J.C.; Moreno-Rodríguez, J.M.; Botina-Azain, B.L.; Romero-Barrera, Y. Effect of Rootstock and Environmental Factors on Fruit Quality of Persian Lime (Citrus latifolia Tanaka) Grown in Tropical Regions. J. Food Compos. Anal. 2021, 103, 104081. [Google Scholar] [CrossRef]
- Elwakeel, A.E.; Gameh, M.A.; Oraiath, A.A.T.; Eissa, A.S.; Elsayed, S.; Elmessery, W.M.; Mostafa, M.B.; Alhag, S.K.; Al-Shuraym, L.A.; Moustapha, M.E.; et al. Development and Techno-Economic Analysis of a Tracked Indirect Forced Solar Dryer Integrated Photovoltaic System for Drying Tomatoes. Sustainability 2024, 16, 7008. [Google Scholar] [CrossRef]
- Devan, P.K.; Bibin, C.; Shabrin, I.A.; Gokulnath, R.; Karthick, D. Solar Drying of Fruits—A Comprehensive Review. Mater. Today Proc. 2020, 33, 253–260. [Google Scholar] [CrossRef]
- MSodha, S.; Dang, A.; Bansal, P.K.; Sharman, S.B. An Analytical and Experimental Study of Open Sun Drying and a Cabinet Tyre Drier. Energy Convers. Manag. 1985, 25, 263–271. [Google Scholar] [CrossRef]
- Haiyan, Z.; Yu, Z.; Zhu, C.; Yang, R.; Yan, B.; Jiang, G. Green or Not? Environmental Challenges from Photovoltaic Technology. Environ. Pollut. 2023, 320, 121066. [Google Scholar] [CrossRef]
- Dismas, K.; Nyangarika, A.; Kivevele, T. Uncovering Socioeconomic Insights of Solar Dryers for Sustainable Agricultural Product Preservation: A Systematic Review. Heliyon 2024, 10, e40726. [Google Scholar] [CrossRef]
Disclaimer/Publisher’s Note: The statements, opinions and data contained in all publications are solely those of the individual author(s) and contributor(s) and not of MDPI and/or the editor(s). MDPI and/or the editor(s) disclaim responsibility for any injury to people or property resulting from any ideas, methods, instructions or products referred to in the content. |
© 2025 by the authors. Licensee MDPI, Basel, Switzerland. This article is an open access article distributed under the terms and conditions of the Creative Commons Attribution (CC BY) license (https://creativecommons.org/licenses/by/4.0/).










