Improvement of Saline Soil Properties and Brassica rapa L. Growth Using Biofertilizers
Abstract
1. Introduction
2. Materials and Methods
2.1. Experimental Design
2.2. Soil Sampling and Physicochemical Properties Analysis
2.3. Soil DNA Extraction and Amplicon Sequencing
2.4. Plant Sampling and Assaying
2.5. Statistical Analysis
3. Results and Discussion
3.1. Amendments of Saline Soil by Biofertilizer
3.2. Response of Plant Physiological Characteristics to Fertilization under Salt Stress
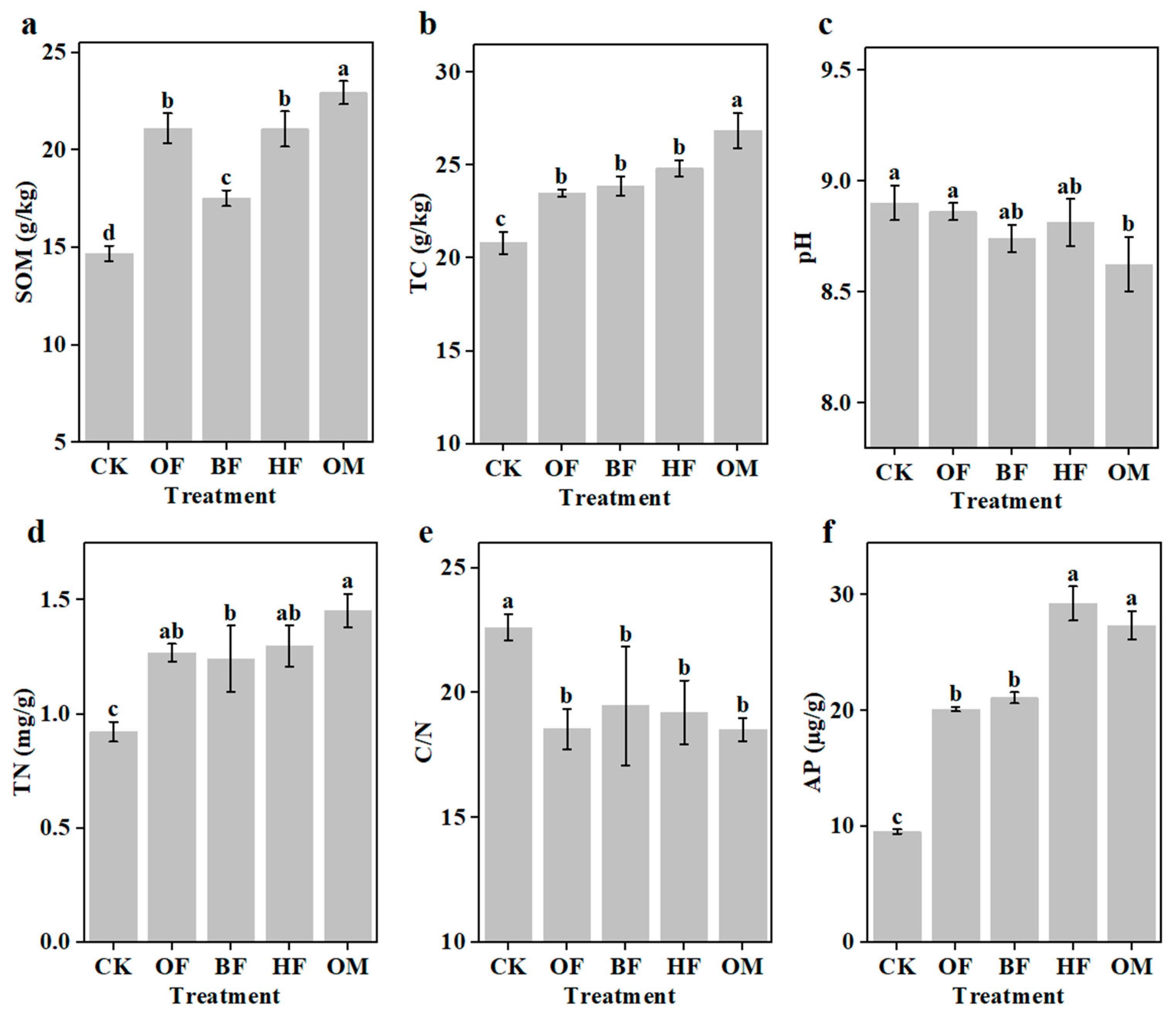
3.3. Improvement of Saline Soil Properties by Biofertilizers
3.4. Alteration of Microbial Communities in Saline Soils by Biofertilizers
3.5. Response of Plant Physiological Characteristics to Fertilization under Salt Stress
4. Conclusions
Supplementary Materials
Author Contributions
Funding
Institutional Review Board Statement
Informed Consent Statement
Data Availability Statement
Acknowledgments
Conflicts of Interest
References
- Ding, Z.; Kheir, A.M.S.; Ali, O.A.M.; Hafez, E.M.; ElShamey, E.A.; Zhou, Z.; Wang, B.; Lin, X.; Ge, Y.; Fahmy, A.E.; et al. A Vermicompost and Deep Tillage System to Improve Saline-Sodic Soil Quality and Wheat Productivity. J. Environ. Manag. 2021, 277, 111388. [Google Scholar] [CrossRef]
- Mohanavelu, A.; Naganna, S.R.; Al-Ansari, N. Irrigation Induced Salinity and Sodicity Hazards on Soil and Groundwater: An Overview of Its Causes, Impacts and Mitigation Strategies. Agriculture 2021, 11, 983. [Google Scholar] [CrossRef]
- FAO. Global Map of Salt Affected Soils; FAO: Rome, Italy, 2021. [Google Scholar]
- Shabala, S.; Wu, H.; Bose, J. Salt Stress Sensing and Early Signalling Events in Plant Roots: Current Knowledge and Hypothesis. Plant Sci. 2015, 241, 109–119. [Google Scholar] [CrossRef]
- FAO. Economical Losses Due to Soil Salinization; FAO: Rome, Italy, 2021. [Google Scholar]
- Leogrande, R.; Vitti, C. Use of Organic Amendments to Reclaim Saline and Sodic Soils: A Review. Arid Land Res. Manag. 2019, 33, 1–21. [Google Scholar] [CrossRef]
- Panico, S.C.; Memoli, V.; Napoletano, P.; Esposito, F.; Colombo, C.; Maisto, G.; De Marco, A. Variation of the Chemical and Biological Properties of a Technosol during Seven Years after a Single Application of Compost. Appl. Soil Ecol. 2019, 138, 156–159. [Google Scholar] [CrossRef]
- Shi, Y.; Liu, X.; Zhang, Q. Effects of Combined Biochar and Organic Fertilizer on Nitrous Oxide Fluxes and the Related Nitrifier and Denitrifier Communities in a Saline-Alkali Soil. Sci. Total Environ. 2019, 686, 199–211. [Google Scholar] [CrossRef]
- Trivedi, P.; Singh, K.; Pankaj, U.; Verma, S.K.; Verma, R.K.; Patra, D.D. Effect of Organic Amendments and Microbial Application on Sodic Soil Properties and Growth of an Aromatic Crop. Ecol. Eng. 2017, 102, 127–136. [Google Scholar] [CrossRef]
- Saberi Riseh, R.; Ebrahimi-Zarandi, M.; Tamanadar, E.; Moradi Pour, M.; Thakur, V.K. Salinity Stress: Toward Sustainable Plant Strategies and Using Plant Growth-Promoting Rhizobacteria Encapsulation for Reducing It. Sustainability 2021, 13, 12758. [Google Scholar] [CrossRef]
- Sun, B.; Gu, L.; Bao, L.; Zhang, S.; Wei, Y.; Bai, Z.; Zhuang, G.; Zhuang, X. Application of Biofertilizer Containing Bacillus subtilis Reduced the Nitrogen Loss in Agricultural Soil. Soil Biol. Biochem. 2020, 148, 107911. [Google Scholar] [CrossRef]
- Wezel, A.; Casagrande, M.; Celette, F.; Vian, J.-F.; Ferrer, A.; Peigné, J. Agroecological Practices for Sustainable Agriculture. A Review. Agron. Sustain. Dev. 2014, 34, 1–20. [Google Scholar] [CrossRef]
- Zhang, F.; Xu, X.; Wang, G.; Wu, B.; Xiao, Y. Medicago Sativa and Soil Microbiome Responses to Trichoderma as a Biofertilizer in Alkaline-Saline Soils. Appl. Soil Ecol. 2020, 153, 103573. [Google Scholar] [CrossRef]
- Ferreira, M.J.; Silva, H.; Cunha, A. Siderophore-Producing Rhizobacteria as a Promising Tool for Empowering Plants to Cope with Iron Limitation in Saline Soils: A Review. Pedosphere 2019, 29, 409–420. [Google Scholar] [CrossRef]
- Tejada, M.; Garcia, C.; Gonzalez, J.L.; Hernandez, M.T. Use of Organic Amendment as a Strategy for Saline Soil Remediation: Influence on the Physical, Chemical and Biological Properties of Soil. Soil Biol. Biochem. 2006, 38, 1413–1421. [Google Scholar] [CrossRef]
- Jiménez-Mejía, R.; Medina-Estrada, R.I.; Carballar-Hernández, S.; Orozco-Mosqueda, M.d.C.; Santoyo, G.; Loeza-Lara, P.D. Teamwork to Survive in Hostile Soils: Use of Plant Growth-Promoting Bacteria to Ameliorate Soil Salinity Stress in Crops. Microorganisms 2022, 10, 150. [Google Scholar] [CrossRef]
- Muras, A.; Romero, M.; Mayer, C.; Otero, A. Biotechnological Applications of Bacillus licheniformis. Crit. Rev. Biotechnol. 2021, 41, 609–627. [Google Scholar] [CrossRef]
- Zhou, C.; Zhu, L.; Xie, Y.; Li, F.; Xiao, X.; Ma, Z.; Wang, J. Bacillus licheniformis SA03 Confers Increased Saline–Alkaline Tolerance in Chrysanthemum Plants by Induction of Abscisic Acid Accumulation. Front. Plant Sci. 2017, 8, 1143. [Google Scholar] [CrossRef] [PubMed]
- Zhou, C.; Li, F.; Xie, Y.; Zhu, L.; Xiao, X.; Ma, Z.; Wang, J. Involvement of Abscisic Acid in Microbe-Induced Saline-Alkaline Resistance in Plants. Plant Signal. Behav. 2017, 12, e1367465. [Google Scholar] [CrossRef]
- Goswami, D.; Dhandhukia, P.; Patel, P.; Thakker, J.N. Screening of PGPR from Saline Desert of Kutch: Growth Promotion in Arachis hypogea by Bacillus licheniformis A2. Microbiol. Res. 2014, 169, 66–75. [Google Scholar] [CrossRef] [PubMed]
- Ren, M.; Zhang, Z.; Wang, X.; Zhou, Z.; Chen, D.; Zeng, H.; Zhao, S.; Chen, L.; Hu, Y.; Zhang, C.; et al. Diversity and Contributions to Nitrogen Cycling and Carbon Fixation of Soil Salinity Shaped Microbial Communities in Tarim Basin. Front. Microbiol. 2018, 9, 431. [Google Scholar] [CrossRef]
- Sun, B.; Bai, Z.; Li, Y.; Li, R.; Song, M.; Xu, S.; Zhang, H.; Zhuang, X. Emission Mitigation of CH4 and N2O during Semi-Permeable Membrane Covered Hyperthermophilic Aerobic Composting of Livestock Manure. J. Clean. Prod. 2022, 379, 134850. [Google Scholar] [CrossRef]
- Sun, B.; Li, Y.; Song, M.; Li, R.; Li, Z.; Zhuang, G.; Bai, Z.; Zhuang, X. Molecular Characterization of the Composition and Transformation of Dissolved Organic Matter during the Semi-Permeable Membrane Covered Hyperthermophilic Composting. J. Hazard. Mater. 2022, 425, 127496. [Google Scholar] [CrossRef] [PubMed]
- Yan, N.; Marschner, P.; Cao, W.; Zuo, C.; Qin, W. Influence of Salinity and Water Content on Soil Microorganisms. Int. Soil Water Conserv. Res. 2015, 3, 316–323. [Google Scholar] [CrossRef]
- Sun, B.; Bai, Z.; Bao, L.; Xue, L.; Zhang, S.; Wei, Y.; Zhang, Z.; Zhuang, G.; Zhuang, X. Bacillus subtilis Biofertilizer Mitigating Agricultural Ammonia Emission and Shifting Soil Nitrogen Cycling Microbiomes. Environ. Int. 2020, 144, 105989. [Google Scholar] [CrossRef] [PubMed]
- HJ 704-2014; Soil Quality—Determination of Available Phosphorus—Sodium Hydrogen Carbonate Solution-Mo-Sb Anti Spectrophotometric Method. Ministry of Ecology and Environment of the People’s Republic of China: Beijing, China, 2014.
- HJ 761-2015; Solid Waste-Determination of Organic Matter-Ignition Loss Method. Ministry of Ecology and Environment of the People’s Republic of China: Beijing, China, 2015.
- NY 1121.16-2006; Description (Translated English), Soil Testing. Part 16: Method for Determination of Total Water-Soluble Salt. Ministry of Agriculture: Beijing, China, 2006.
- Edgar, R.C. Accuracy of Taxonomy Prediction for 16S rRNA and Fungal ITS Sequences. PeerJ 2018, 6, e4652. [Google Scholar] [CrossRef]
- Rognes, T.; Flouri, T.; Nichols, B.; Quince, C.; Mahé, F. VSEARCH: A Versatile Open Source Tool for Metagenomics. PeerJ 2016, 4, e2584. [Google Scholar] [CrossRef]
- Bolyen, E.; Rideout, J.R.; Dillon, M.R.; Bokulich, N.A.; Abnet, C.C.; Al-Ghalith, G.A.; Alexander, H.; Alm, E.J.; Arumugam, M.; Asnicar, F.; et al. Reproducible, Interactive, Scalable and Extensible Microbiome Data Science Using QIIME 2. Nat. Biotechnol. 2019, 37, 852–857. [Google Scholar] [CrossRef]
- Chavoushi, M.; Najafi, F.; Salimi, A.; Angaji, S.A. Effect of Salicylic Acid and Sodium Nitroprusside on Growth Parameters, Photosynthetic Pigments and Secondary Metabolites of Safflower under Drought Stress. Sci. Hortic. 2020, 259, 108823. [Google Scholar] [CrossRef]
- Wang, T.; Chen, Y.; Zhang, M.; Chen, J.; Liu, J.; Han, H.; Hua, X. Arabidopsis AMINO ACID PERMEASE1 Contributes to Salt Stress-Induced Proline Uptake from Exogenous Sources. Front. Plant Sci. 2017, 8, 2182. [Google Scholar] [CrossRef]
- Zou, P.; Tian, X.; Dong, B.; Zhang, C. Size Effects of Chitooligomers with Certain Degrees of Polymerization on the Chilling Tolerance of Wheat Seedlings. Carbohydr. Polym. 2017, 160, 194–202. [Google Scholar] [CrossRef]
- You, X.; Yin, S.; Suo, F.; Xu, Z.; Chu, D.; Kong, Q.; Zhang, C.; Li, Y.; Liu, L. Biochar and Fertilizer Improved the Growth and Quality of the Ice Plant (Mesembryanthemum crystallinum L.) Shoots in a Coastal Soil of Yellow River Delta, China. Sci. Total Environ. 2021, 775, 144893. [Google Scholar] [CrossRef]
- de Azevedo Neto, A.D.; Prisco, J.T.; Enéas-Filho, J.; de Abreu, C.E.B.; Gomes-Filho, E. Effect of Salt Stress on Antioxidative Enzymes and Lipid Peroxidation in Leaves and Roots of Salt-Tolerant and Salt-Sensitive Maize Genotypes. Environ. Exp. Bot. 2006, 56, 87–94. [Google Scholar] [CrossRef]
- Tseng, M.J.; Liu, C.-W.; Yiu, J.-C. Enhanced Tolerance to Sulfur Dioxide and Salt Stress of Transgenic Chinese Cabbage Plants Expressing Both Superoxide Dismutase and Catalase in Chloroplasts. Plant Physiol. Biochem. 2007, 45, 822–833. [Google Scholar] [CrossRef] [PubMed]
- He, J.; Zhang, N.; Muhammad, A.; Shen, X.; Sun, C.; Li, Q.; Hu, Y.; Shao, Y. From Surviving to Thriving, the Assembly Processes of Microbial Communities in Stone Biodeterioration: A Case Study of the West Lake UNESCO World Heritage Area in China. Sci. Total Environ. 2022, 805, 150395. [Google Scholar] [CrossRef]
- Alkhayyal, S.; Bajaba, S. The Impact of E-Leadership Competencies on Workplace Well-Being and Job Performance: The Mediating Role of E-Work Self-Efficacy. Sustainability 2023, 15, 4724. [Google Scholar] [CrossRef]
- Liao, H.; Zhao, Q.; Cui, P.; Chen, Z.; Yu, Z.; Geisen, S.; Friman, V.-P.; Zhou, S. Efficient Reduction of Antibiotic Residues and Associated Resistance Genes in Tylosin Antibiotic Fermentation Waste Using Hyperthermophilic Composting. Environ. Int. 2019, 133, 105203. [Google Scholar] [CrossRef]
- Lima, D.L.D.; Santos, S.M.; Scherer, H.W.; Schneider, R.J.; Duarte, A.C.; Santos, E.B.H.; Esteves, V.I. Effects of Organic and Inorganic Amendments on Soil Organic Matter Properties. Geoderma 2009, 150, 38–45. [Google Scholar] [CrossRef]
- Singh, M.; Awasthi, A.; Soni, S.K.; Singh, R.; Verma, R.K.; Kalra, A. Complementarity among Plant Growth Promoting Traits in Rhizospheric Bacterial Communities Promotes Plant Growth. Sci. Rep. 2015, 5, 15500. [Google Scholar] [CrossRef]
- Desale, P.; Patel, B.; Singh, S.; Malhotra, A.; Nawani, N. Plant Growth Promoting Properties of Halobacillus Sp. and Halomonas Sp. in Presence of Salinity and Heavy Metals. J. Basic Microbiol. 2014, 54, 781–791. [Google Scholar] [CrossRef]
- Qi, R.; Lin, W.; Gong, K.; Han, Z.; Ma, H.; Zhang, M.; Zhang, Q.; Gao, Y.; Li, J.; Zhang, X. Bacillus Co-Inoculation Alleviated Salt Stress in Seedlings Cucumber. Agronomy 2021, 11, 966. [Google Scholar] [CrossRef]
- Backer, R.; Rokem, J.S.; Ilangumaran, G.; Lamont, J.; Praslickova, D.; Ricci, E.; Subramanian, S.; Smith, D.L. Plant Growth-Promoting Rhizobacteria: Context, Mechanisms of Action, and Roadmap to Commercialization of Biostimulants for Sustainable Agriculture. Front. Plant Sci. 2018, 9, 1473. [Google Scholar] [CrossRef]
- Sudhir, P.; Murthy, S.D.S. Effects of Salt Stress on Basic Processes of Photosynthesis. Photosynthetica 2004, 42, 481–486. [Google Scholar] [CrossRef]
- Munns, R.; Tester, M. Mechanisms of Salinity Tolerance. Annu. Rev. Plant Biol. 2008, 59, 651–681. [Google Scholar] [CrossRef] [PubMed]
- Rady, M.M.; Elrys, A.S.; Selem, E.; Mohsen, A.A.A.; Arnaout, S.M.A.I.; El-Sappah, A.H.; El-Tarabily, K.A.; Desoky, E.-S.M. Spirulina platensis Extract Improves the Production and Defenses of the Common Bean Grown in a Heavy Metals-Contaminated Saline Soil. J. Environ. Sci. 2023, 129, 240–257. [Google Scholar] [CrossRef]
- Amirnia, R.; Ghiyasi, M.; Moghaddam, S.S.; Rahimi, A.; Damalas, C.A.; Heydarzadeh, S. Nitrogen-Fixing Soil Bacteria plus Mycorrhizal Fungi Improve Seed Yield and Quality Traits of Lentil (Lens Culinaris Medik). J. Soil Sci. Plant Nutr. 2019, 19, 592–602. [Google Scholar] [CrossRef]
- Vidal, C.; González, F.; Santander, C.; Pérez, R.; Gallardo, V.; Santos, C.; Aponte, H.; Ruiz, A.; Cornejo, P. Management of Rhizosphere Microbiota and Plant Production under Drought Stress: A Comprehensive Review. Plants 2022, 11, 2437. [Google Scholar] [CrossRef] [PubMed]
- Seyed Sharifi, R.; Khalilzadeh, R.; Jalilian, J. Effects of Biofertilizers and Cycocel on Some Physiological and Biochemical Traits of Wheat (Triticum Aestivum L.) under Salinity Stress. Arch. Arch. Agron. Agron. Soil Sci. Sci. 2017, 63, 308–318. [Google Scholar] [CrossRef]
- Szabados, L.; Savouré, A. Proline: A Multifunctional Amino Acid. Trends Plant Sci. 2010, 15, 89–97. [Google Scholar] [CrossRef]
- Gadallah, M.a.A. Effects of Proline and Glycinebetaine on Vicia Faba Responses to Salt Stress. Biol. Plant. 1999, 42, 249–257. [Google Scholar] [CrossRef]
- Wang, X.; Bian, Q.; Jiang, Y.; Zhu, L.; Chen, Y.; Liang, Y.; Sun, B. Organic Amendments Drive Shifts in Microbial Community Structure and Keystone Taxa Which Increase C Mineralization across Aggregate Size Classes. Soil Biol. Biochem. 2021, 153, 108062. [Google Scholar] [CrossRef]
- Barrón, C.; Duarte, C.M.; Frankignoulle, M.; Borges, A.V. Organic Carbon Metabolism and Carbonate Dynamics in a Mediterranean Seagrass (Posidonia oceanica), Meadow. Estuaries Coasts J. ERF 2006, 29, 417–426. [Google Scholar] [CrossRef]
- Zhang, X.; Xu, S.; Li, C.; Zhao, L.; Feng, H.; Yue, G.; Ren, Z.; Cheng, G. The Soil Carbon/Nitrogen Ratio and Moisture Affect Microbial Community Structures in Alkaline Permafrost-Affected Soils with Different Vegetation Types on the Tibetan Plateau. Res. Microbiol. 2014, 165, 128–139. [Google Scholar] [CrossRef]
- Thiele-Bruhn, S.; Zhang, W. Influence of Manure as a Complex Mixture on Soil Sorption of Pharmaceuticals—Studies with Selected Chemical Components of Manure. Int. J. Environ. Res. Public Health 2023, 20, 6154. [Google Scholar] [CrossRef] [PubMed]
- Liu, Z.; Shang, H.; Han, F.; Zhang, M.; Li, Q.; Zhou, W. Improvement of Nitrogen and Phosphorus Availability by Pseudoalteromonas Sp. during Salt-Washing in Saline-Alkali Soil. Appl. Soil Ecol. 2021, 168, 104117. [Google Scholar] [CrossRef]
- Li, Y.; Zhang, J.; Zhang, J.; Xu, W.; Mou, Z. Characteristics of Inorganic Phosphate-Solubilizing Bacteria from the Sediments of a Eutrophic Lake. Int. J. Environ. Res. Public Health 2019, 16, 2141. [Google Scholar] [CrossRef]
- Orhan, F. Potential of Halophilic/Halotolerant Bacteria in Enhancing Plant Growth under Salt Stress. Curr. Microbiol. 2021, 78, 3708–3719. [Google Scholar] [CrossRef] [PubMed]
- Yang, W.; Gong, T.; Wang, J.; Li, G.; Liu, Y.; Zhen, J.; Ning, M.; Yue, D.; Du, Z.; Chen, G. Effects of Compound Microbial Fertilizer on Soil Characteristics and Yield of Wheat (Triticum aestivum L.). J. Soil Sci. Plant Nutr. 2020, 20, 2740–2748. [Google Scholar] [CrossRef]
- Li, N.; Shao, T.; Zhou, Y.; Cao, Y.; Hu, H.; Sun, Q.; Long, X.; Yue, Y.; Gao, X.; Rengel, Z. Effects of Planting Melia azedarach L. on Soil Properties and Microbial Community in Saline-Alkali Soil. Land Degrad. Dev. 2021, 32, 2951–2961. [Google Scholar] [CrossRef]
- Mohammadi, K.; Heidari, G.; Khalesro, S.; Sohrabi, Y. Soil Management, Microorganisms and Organic Matter Interactions: A Review. Afr. J. Biotechnol. 2011, 10, 19840–19849. [Google Scholar] [CrossRef]
- Shi, S.; Tian, L.; Nasir, F.; Bahadur, A.; Batool, A.; Luo, S.; Yang, F.; Wang, Z.; Tian, C. Response of Microbial Communities and Enzyme Activities to Amendments in Saline-Alkaline Soils. Appl. Soil Ecol. 2019, 135, 16–24. [Google Scholar] [CrossRef]
- Larsbrink, J.; McKee, L.S. Bacteroidetes Bacteria in the Soil: Glycan Acquisition, Enzyme Secretion, and Gliding Motility. In Advances in Applied Microbiology; Gadd, G.M., Sariaslani, S., Eds.; Academic Press: Cambridge, MA, USA, 2020. [Google Scholar]
- Wang, X.; Hu, M.; Xia, Y.; Wen, X.; Ding, K. Pyrosequencing Analysis of Bacterial Diversity in 14 Wastewater Treatment Systems in China. Appl. Environ. Microbiol. 2012, 78, 7042–7047. [Google Scholar] [CrossRef]
- Radhakrishnan, R.; Hashem, A.; Abd_Allah, E.F. Bacillus: A Biological Tool for Crop Improvement through Bio-Molecular Changes in Adverse Environments. Front. Physiol. 2017, 8, 667. [Google Scholar] [CrossRef]
- Rajput, L.; Imran, A.; Mubeen, F.; Hafeez, F.Y. Salt-Tolerant Pgpr Strain Planococcus Rifietoensis Promotes the Growth and Yield of Wheat (Triticum aestivum L.) Cultivated in Saline Soil. Pak. J. Bot. 2013, 45, 1955–1962. [Google Scholar] [CrossRef]
- Qurashi, A.W.; Sabri, A.N. Bacterial Exopolysaccharide and Biofilm Formation Stimulate Chickpea Growth and Soil Aggregation under Salt Stress. Braz. J. Microbiol. 2012, 43, 1183–1191. [Google Scholar] [CrossRef]
- Siddikee, M.A.; Chauhan, P.S.; Anandham, R.; Han, G.-H.; Sa, T. Isolation, Characterization, and Use for Plant Growth Promotion under Salt Stress, of ACC Deaminase-Producing Halotolerant Bacteria Derived from Coastal Soil. J. Microbiol. Biotechnol. 2010, 20, 1577–1584. [Google Scholar] [CrossRef] [PubMed]
- Volk, T.J. Fungi. In Encyclopedia of Biodiversity, 2nd ed.; Levin, S.A., Ed.; Academic Press: Waltham, MA, USA, 2013; pp. 624–640. ISBN 9780123847201. [Google Scholar]
- Ribes, J.A.; Vanover-Sams, C.L.; Baker, D.J. Zygomycetes in Human Disease. Clin. Microbiol. Rev. 2000, 13, 236–301. [Google Scholar] [CrossRef]
- Kean, T.; Thanou, M. Biodegradation, Biodistribution and Toxicity of Chitosan. Adv. Drug Deliv. Rev. 2010, 62, 3–11. [Google Scholar] [CrossRef] [PubMed]
- Gu, Y.; Dong, K.; Geisen, S.; Yang, W.; Yan, Y.; Gu, D.; Liu, N.; Borisjuk, N.; Luo, Y.; Friman, V.-P. The Effect of Microbial Inoculant Origin on the Rhizosphere Bacterial Community Composition and Plant Growth-Promotion. Plant Soil 2020, 452, 105–117. [Google Scholar] [CrossRef]
- Jiang, Z.; Lu, Y.; Xu, J.; Li, M.; Shan, G.; Li, Q. Exploring the Characteristics of Dissolved Organic Matter and Succession of Bacterial Community during Composting. Bioresour. Technol. 2019, 292, 121942. [Google Scholar] [CrossRef] [PubMed]
- Li, F.; Chen, L.; Zhang, J.; Yin, J.; Huang, S. Bacterial Community Structure after Long-Term Organic and Inorganic Fertilization Reveals Important Associations between Soil Nutrients and Specific Taxa Involved in Nutrient Transformations. Front. Microbiol. 2017, 8, 187. [Google Scholar] [CrossRef] [PubMed]
- Visioli, G.; Sanangelantoni, A.M.; Vamerali, T.; Dal Cortivo, C.; Blandino, M. 16S rDNA Profiling to Reveal the Influence of Seed-Applied Biostimulants on the Rhizosphere of Young Maize Plants. Molecules 2018, 23, 1461. [Google Scholar] [CrossRef] [PubMed]
- Kolton, M.; Harel, Y.M.; Pasternak, Z.; Graber, E.R.; Elad, Y.; Cytryn, E. Impact of Biochar Application to Soil on the Root-Associated Bacterial Community Structure of Fully Developed Greenhouse Pepper Plants. Appl. Environ. Microbiol. 2011, 77, 4924–4930. [Google Scholar] [CrossRef] [PubMed]
- Bondarenko, S.A.; Ianutsevich, E.A.; Danilova, O.A.; Grum-Grzhimaylo, A.A.; Kotlova, E.R.; Kamzolkina, O.V.; Bilanenko, E.N.; Tereshina, V.M. Membrane Lipids and Soluble Sugars Dynamics of the Alkaliphilic Fungus Sodiomyces tronii in Response to Ambient pH. Extremophiles 2017, 21, 743–754. [Google Scholar] [CrossRef]
- Munchan, C.; Kurata, O.; Hatai, K.; Hashiba, N.; Nakaoka, N.; Kawakami, H. Mass Mortality of Young Striped Jack Pseudocaranx Dentex Caused by a Fungus Ochroconis humicola. Fish Pathol. 2006, 41, 179–182. [Google Scholar] [CrossRef][Green Version]
- Velez, M.L.; Marfetan, J.A.; Salgado Salomon, M.E.; Taccari, L.E. Mortierella Species from Declining Araucaria araucanatrees in Patagonia, Argentina. For. Pathol. 2020, 50, e12591. [Google Scholar] [CrossRef]
- Bardgett, R.D.; van der Putten, W.H. Belowground Biodiversity and Ecosystem Functioning. Nature 2014, 515, 505–511. [Google Scholar] [CrossRef]
- Francioli, D.; Schulz, E.; Lentendu, G.; Wubet, T.; Buscot, F.; Reitz, T. Mineral vs. Organic Amendments: Microbial Community Structure, Activity and Abundance of Agriculturally Relevant Microbes Are Driven by Long-Term Fertilization Strategies. Front. Microbiol. 2016, 7, 1446. [Google Scholar] [CrossRef] [PubMed]
- Maynard, D.S.; Bradford, M.A.; Covey, K.R.; Lindner, D.; Glaeser, J.; Talbert, D.A.; Tinker, P.J.; Walker, D.M.; Crowther, T.W. Consistent Trade-Offs in Fungal Trait Expression across Broad Spatial Scales. Nat. Microbiol. 2019, 4, 846–853. [Google Scholar] [CrossRef]
- Xu, Y.; Zhang, R.; Li, Q.; Liu, K.; Jiao, N. Marivirga lumbricoides Sp. Nov., a Marine Bacterium Isolated from the South China Sea. Int. J. Syst. Evol. Microbiol. 2015, 65, 452–456. [Google Scholar] [CrossRef]
- Hao, X.; Zhang, W.; Zhao, L.; Shen, L.; Zhu, L.; Zeng, B.; Jiang, D.; Bai, L. Bacillus subtilis Reduces Antibiotic Resistance Genes of Animal Sludge in Vermicomposting by Improving Heat Stress Tolerance of Eisenia Foetida and Bacterial Community Adjustment. Environ. Res. 2023, 219, 115088. [Google Scholar] [CrossRef]
- Liu, Q.; Tang, J.; Liu, X.; Song, B.; Zhen, M.; Ashbolt, N.J. Vertical Response of Microbial Community and Degrading Genes to Petroleum Hydrocarbon Contamination in Saline Alkaline Soil. J. Environ. Sci. 2019, 81, 80–92. [Google Scholar] [CrossRef]
- Kulczycki, G. The Effect of Elemental Sulfur Fertilization on Plant Yields and Soil Properties. In Advances in Agronomy; Sparks, D.L., Ed.; Academic Press: Cambridge, MA, USA, 2021; Volume 167, pp. 105–181. [Google Scholar]








| Treatment | Chao Index | Shannon Index | Shannoneven Index | |||
|---|---|---|---|---|---|---|
| Bacteria | Fungi | Bacteria | Fungi | Bacteria | Fungi | |
| CK | 2378 ± 100 c | 415 ± 7 a | 6.23 ± 0.04 a | 4.09 ± 0.14 a | 0.83 ± 0.01 a | 0.06 ± 0.01 a |
| OF | 2729 ± 13 a | 394 ± 25 a | 6.11 ± 0.07 a | 3.07 ± 0.48 a | 0.76 ± 0.02 a | 0.03 ± 0.01 a |
| BF | 2609 ± 131 a | 458 ± 24 a | 6.13 ± 0.27 a | 3.65 ± 0.10 a | 0.81 ± 0.03 a | 0.04 ± 0.01 a |
| HF | 2563 ± 56 b | 410 ± 75 a | 5.89 ± 0.62 a | 2.90 ± 0.73 a | 0.78 ± 0.01 a | 0.02 ± 0.01 a |
| OM | 2555 ± 68 b | 407 ± 23 a | 6.01 ± 0.64 a | 3.23 ± 0.13 a | 0.79 ± 0.02 a | 0.03 ± 0.01 a |
Disclaimer/Publisher’s Note: The statements, opinions and data contained in all publications are solely those of the individual author(s) and contributor(s) and not of MDPI and/or the editor(s). MDPI and/or the editor(s) disclaim responsibility for any injury to people or property resulting from any ideas, methods, instructions or products referred to in the content. |
© 2024 by the authors. Licensee MDPI, Basel, Switzerland. This article is an open access article distributed under the terms and conditions of the Creative Commons Attribution (CC BY) license (https://creativecommons.org/licenses/by/4.0/).
Share and Cite
Li, R.; Sun, B.; Song, M.; Yan, G.; Hu, Q.; Bai, Z.; Wang, J.; Zhuang, X. Improvement of Saline Soil Properties and Brassica rapa L. Growth Using Biofertilizers. Sustainability 2024, 16, 2196. https://doi.org/10.3390/su16052196
Li R, Sun B, Song M, Yan G, Hu Q, Bai Z, Wang J, Zhuang X. Improvement of Saline Soil Properties and Brassica rapa L. Growth Using Biofertilizers. Sustainability. 2024; 16(5):2196. https://doi.org/10.3390/su16052196
Chicago/Turabian StyleLi, Rui, Bo Sun, Manjiao Song, Gaojun Yan, Qing Hu, Zhihui Bai, Jiancheng Wang, and Xuliang Zhuang. 2024. "Improvement of Saline Soil Properties and Brassica rapa L. Growth Using Biofertilizers" Sustainability 16, no. 5: 2196. https://doi.org/10.3390/su16052196
APA StyleLi, R., Sun, B., Song, M., Yan, G., Hu, Q., Bai, Z., Wang, J., & Zhuang, X. (2024). Improvement of Saline Soil Properties and Brassica rapa L. Growth Using Biofertilizers. Sustainability, 16(5), 2196. https://doi.org/10.3390/su16052196

