Abstract
In this study, we aimed to identify suitable herbicides for quinoa fields in Anhui Province and explore the value of their potential application in order to achieve the sustainable weed management of the crop and tackle the global issue of unregistered herbicides in quinoa fields. Employing a pre-emergence seed soaking method, we evaluated the effects of different herbicides, such as anilofos, prometryn, pendimethalin, and atrazine on the germination inhibition rate of quinoa seeds, as well as their impacts on the growth indicators of quinoa seedlings. Our findings show that, while these herbicides initially suppressed quinoa seed germination, this effect decreased over time, allowing for the successful germination of all seeds, suggesting the existence of a recovery mechanism in quinoa. An increase in herbicide concentration was correlated with significant decreases in the germination vigor and index of quinoa seeds, along with a decrease in plant height, root length, and fresh weight. Notably, anilofos, prometryn, pendimethalin, and atrazine demonstrated significant inhibitory effects on quinoa seedlings, thus providing critical insights into the sensitivity of quinoa to these chemicals. Greenhouse pot experiments showed that pre-emergence herbicides, such as napropamide, pretilachlor, s-metolachlor, and anilofos, and post-emergence herbicides, including fluroxypyr, penoxsulam, clethodim, quizalofop-P-ethyl, oxaziclomefone, metamifop, benzobicyclon, nicosulfuron, and pinoxaden, are safe for quinoa and suitable for further field trials, broadening the options for integrated weed management strategies. The results of the mixture experiments indicated that penoxsulam and metamifop are safe for quinoa at a ratio of 1:4.6, and their combined activities against dominant weeds in quinoa fields in Anhui Province, such as Digitaria sanguinalis, Cyperus iria, and Amaranthus viridis, were higher than those of single-agent doses, with fresh weight inhibition rates ranging from 66.98% to 92.16% and selectivity indexes ranging from 176.88 to 3282.17. Therefore, this mixture offers a promising approach to enhanced weed control in a sustainable manner.
1. Introduction
In modern agricultural practices that pursue ecological sustainability and chemical weed control, quinoa (Chenopodium quinoa Willd.), a precious crop originating from the Andean region of South America and belonging to the Annual Amaranthu Chenopodium family, has garnered global attention for its exceptional nutritional value and environmental adaptability [1]. The United Nations declared 2013 as the International Year of Quinoa, highlighting its significance in the human dietary structure. Quinoa is rich in protein, fiber, and trace elements, making it one of the most highly regarded grains in modern healthy diets [2]. It possesses strong adaptability and resistance to both biotic and abiotic stresses, such as low temperatures, drought, salinity, and poor soil, making it an excellent alternative crop in the context of climate change. However, the sustainable production of quinoa faces the serious challenge of weed infestation, which not only threatens crop yields but also poses a barrier to the sustainability of ecological agriculture.
Currently, weed control in global quinoa fields mainly depends on manual weeding. Jacobsen et al. demonstrated that inter-row hoeing with a 50 cm distance can significantly reduce weeds in quinoa fields [3], but this traditional method is inefficient when dealing with large quinoa fields. Weeds such as grasses and broadleaf species are difficult to eradicate completely, and therefore affect the normal growth of quinoa [4]. Manual weeding is labor-intensive and costly, and it is often abandoned in the later stages, which then severely affect the yield and quality of the quinoa [5]. Since the 1990s, China has been introducing quinoa from abroad and has initiated adaptive cultivation efforts. Presently, regions including Tibet, Gansu, Qinghai, Shanxi, Ningxia, and Hebei are engaged in the introduction of quinoa, as well as in the selection of new varieties and the evaluation of their adaptability, aiming to identify superior quinoa germplasm and new varieties suitable for local cultivation [6]. Due to the lack of specifically registered herbicides for quinoa fields, chemical weed control measures cannot be fully utilized, thus resulting in a void in weed management. This issue not only constrains the development of the quinoa industry but also leaves farmers without effective means through which to combat weeds [7].
While manual weeding is a viable method for small-scale cultivation, the labor intensity and cost-effectiveness issues of this approach become particularly pronounced in large-scale commercial farming. As the cultivation area of quinoa expands, the search for more efficient and economical weed control methods becomes urgent. In this context, chemical weed control, as a potential alternative, has attracted the attention of both agricultural scientists and producers [8].
Chemical weed control can be used to manage weeds through selective herbicides, thereby reducing reliance on labor and increasing the efficiency of weed control operations. However, the implementation of chemical weed control must be approached with caution in order to ensure the selectivity and safety of the herbicides and to prevent damage to the quinoa crop itself. Moreover, the use of chemical herbicides must also take requirements for environmental protection and ecological sustainability into account [9]. Therefore, a comprehensive assessment of the effectiveness and safety of existing and newly developed herbicides is crucial for guiding rational weed management strategies in quinoa cultivation.
To address the global weed control challenges faced by quinoa fields, researchers are actively exploring various innovative methods. In other niche crops, such as Bupleurum chinense DC and Fagopyrum esculentum Moench, there have been experimental advancements in seed treatment with pre-emergence herbicides to assess herbicide stress [10,11]. Through the application of a layer of pre-emergence herbicide to the seed surface, this method can effectively assess the impact of herbicides on crops and is crucial for identifying pre-emergence herbicides that are both safe and effective for specific crop seeds [12]. Introducing this kind of method into the screening of effective herbicides for quinoa weed control could provide new ideas and means for weed management in quinoa fields.
In the context of this study, we evaluated the safety of quinoa through herbicide immersion and greenhouse pot experiments with pre-seedling treatments. This is similar to the study conducted on maize crops by Alptekin et al. [13], who evaluated the efficacy of the combined use of pre-seedling and post-seedling herbicides through field experiments. In these experiments, special attention was paid to the effects of 10 commonly used pre-seedling herbicides and 13 commonly used post-seedling herbicides on the safety of quinoa, as well as the safety and weed control efficacy of penoxsulam in combination with specific herbicides such as metamifop, pinpxaden, and benzobicyclon. Through these experiments, we aim to provide theoretical support for scientific weed management in quinoa fields to ensure the safety of quinoa and effectively control weeds to promote the ecological and sustainable development of the quinoa industry.
2. Materials and Methods
2.1. Tested Materials
The variety of quinoa (Chenopodium quinoa Willd.) used in our experiments was white quinoa, provided by the Academy of Agriculture of Anhui Science and Technology University. The tested weeds included Cyperus iria, Amaranthus viridis, and Digitaria sanguinalis. The weed seeds were collected from uncultivated land in the surrounding area of Fengyang, Anhui Province, in 2021, where no herbicides had previously been applied. After drying, they were stored in a seed refrigerator at 0–5 °C until use.
2.2. Tested Herbicides
2.2.1. Pre-Emergence Herbicides
The following pre-emergence herbicides were tested in these experiments: 50% napropamide WP, purchased from Sichuan Yibin Chuan’an High-tech Agrochemical Co., Ltd., Yibin, China; 300 g/L pretilachlor EC, purchased from Jiangsu Fengshan Biochemical Technology Co., Ltd., Yancheng, China; 960 g/L s-metolachlor EC, purchased from Anhui Jiuyi Agricultural Co., Ltd., Hefei, China; 36% anilofos ME, purchased from Dalian Songliao Chemical Industry Co., Ltd., Dalian, China; 330 g/L pendimethalin EC, purchased from Shandong Zhonghe Chemical Co., Ltd., Jinan, China; 48% butralin EW, purchased from Shandong Aokun Crop Science Co., Ltd., Jinan, China; 40% prometryn WP, purchased from Anhui Jiuyi Agricultural Co., Ltd.; 90% atrazine WG, purchased from Shandong Binnong Technology Co., Ltd., Binzhou, China; 40% pyroxasulfone SC, purchased from Shanghai Qunli Chemical Co., Ltd., Shanghai, China; and 75% thifensulfuron-methyl WG, purchased from Anhui Fengle Agrochemical Co., Ltd., Hefei, China. All herbicides used were commercially available.
2.2.2. Post-Emergence Herbicides
The following post-emergence herbicides were tested in these experiments: 200 g/L fluroxypyr EC, purchased from Hubei Best Agrochemical Co., Ltd., Sui county, China; 5% penoxsulam OD, purchased from Nantong Jinling Agrochemical Co., Ltd., Nantong, China; 240 g/L clethodim EC, purchased from Zhejiang Zhongshan Chemical Industry Group Co., Ltd., Changxing, China; 15% quizalofop-P-ethyl EC, purchased from Shandong Biotech Co., Ltd., Weihai, China; 40% bentazone AS, purchased from Jiangsu Sword Agrochemical Co., Ltd., Yancheng, China; 40 g/L nicosulfuron OD, purchased from Zhejiang Tianfeng Bioscience Co., Ltd., Jinhua, China; 5% pinoxaden EC, purchased from Syngenta Crop Protection AG, Basel, Switzerland; 15% oxaziclomefone OD, purchased from Zhejiang Tianfeng Bioscience Co., Ltd.; 10% metamifop EC, purchased from Suzhou Fumate Plant Protection Agent Co., Ltd., Suzhou, China.; 108 g/L haloxyfop-P-methyl EC, purchased from Jiangsu Zhongqi Technology Co., Ltd., Nanjing, China; 60% bensulfuron-methyl WG, purchased from Zhejiang Tianfeng Bioscience Co., Ltd., Jinhua, China; 240 g/L oxyfluorfen EC, purchased from Henan Hansi Crop Protection Co., Ltd., Shangqiu, China; and 25% benzobicyclon SC, purchased from SDS BIOTECH K.K., Tokyo, Japan. All herbicides used were commercially available.
2.3. Test Soil
The ratio of sand soil-to-matrix was 1:1 in the nutrient soil, which was purchased from Shandong Shangdao Biotechnology Co., Ltd., Jinan, China; urea (with a total nitrogen content of ≥42.0%) was purchased from Beijing Jinmei Sunstone Chemical Co., Ltd., Beijing, China.
2.4. Instruments and Equipment
Test equipment: an HC 3000 A type walking spray tower, Kunshan Hengchuangli Technology Co., Ltd., Kunshan, China and a GZL-P 380 B type biochemical incubator, Hefei Huadeli Scientific Equipment Co., Ltd., Hefei, China.
2.5. Experimental Design and Details
2.5.1. Pre-Emergence Herbicide Treatment for Quinoa Seed Soaking Experiment
Initially, seeds of consistent size and plumpness were selected from the provided quinoa seed stock and disinfected using a 70% alcohol solution. Subsequently, the seeds were thoroughly rinsed with distilled water to remove any residual alcohol. The treated seeds were then evenly distributed across sterilized Petri dishes lined with two layers of filter paper (diameter of 9 cm), with 50 seeds per dish. To assess the impact of various herbicide concentrations on quinoa seed germination, five different treatment concentrations were established based on the recommended field application rates of each herbicide and encompassing the highest (A) and lowest (B) recommended doses. The average recommended dose [(A + B)/2] served as the baseline for calculating these concentrations, which corresponded to multiples of the recommended dose, the recommended dose itself, and half (1/2), one-quarter (1/4), and one-eighth (1/8) of the recommended dose, with specific dosages detailed in Table 1. The dishes were then placed in an artificial climate chamber, where the seeds were cultivated under a photoperiod of 12 h light/12 h dark (L/D) at a constant temperature of 25 °C. Throughout the experiment, distilled water was supplemented as needed to maintain optimal humidity conditions. The germination status of the seeds (considered germinated once the radicle ruptured the seed coat) and the growth of the seedlings were observed and recorded daily. After germination, five seedlings were selected each day for the measurement of morphological parameters. If seeds failed to germinate over seven consecutive days, the experiment was considered concluded. On the seventh day of the trial, the germination vigor (GV), germination rate (GR), and germination index (GI) were calculated accordingly [14]. The calculation formula is as follows:
In the formula: n3 is the number of seeds with normal germination within 3 days, N is the number of seeds tested; Gt is the number of germination days in t days; and Dt is the number of germination days in Gt [15].
Table 1.
Pre-emergence herbicide dose settings for quinoa seed soaking method.
Table 2.
Dose settings for laboratory safety evaluation of tested herbicides.
2.5.2. Laboratory Safety Evaluation of Pre- and Post-Emergence Herbicides on Quinoa
Uniformly sized, healthy, and plump quinoa seeds were selected and disinfected twice with 75% alcohol, followed by thorough rinsing with distilled water for later use. Sterilized Petri dishes were lined with two layers of filter paper, and the seeds were placed inside along with 20 mL of a 0.1% gibberellic acid solution to promote seed germination from dormancy. After 24 h of soaking in 0.1% gibberellic acid, the dishes were then incubated in a biochemistry chamber set to a photo period of 12 h/12 h (L/D), with temperatures controlled at 25 °C/20 °C. After germination, seeds were evenly sown in pots (12 cm × 10 cm) containing a 2:1 mixture of sand soil and substrate provided by Shandong Shangdao Biotechnology Co., Ltd., with 10 seeds per pot and a soil cover depth of 0.2 to 0.5 cm. Once the bottoms of the pots were saturated with water, they were transferred to a greenhouse for continued cultivation under a photoperiod of 16 h/8 h (L/D), with temperatures maintained at (25 ± 2) °C and relative humidity kept between 50% and 75%, with researchers ensuring healthy plant growth through routine management. The growth of quinoa was regularly monitored and adjusted until the plants reached the 1 to 2 leaf stage, at which point thinning was conducted to maintain a consistent number of plants per pot for the repeatability of the experiment. On the second day, after sowing, pre-emergence herbicide treatments were initiated at the Biologische Bundesanstalt, Bundessortenamt and Chemical industry (BBCH) stage 00 (when seeds have not yet germinated). Post-emergence herbicide treatments were applied when the plants reached the BBCH stages 12–16 (when the four true leaves are fully expanded) [16] with each treatment repeated four times.
A laboratory safety evaluation was conducted in accordance with the Pesticide Indoor Bioassay Test Guidelines (NY/T 1155.6-2006) and (NY/T 1155.8-2007) [17,18]. The herbicides were prepared using a mother liquor dilution gradient method, with a 0.1% Tween-80–water solution used for dilution and volume adjustment in order to obtain the mother liquor. An equal volume of Tween-80–water solution served as the blank control. Herbicide doses were set according to (Table 2). When the quinoa reached the appropriate stage for spraying, precise application was performed using an HCL 3000 A walking spray tower with a fan-shaped nozzle, set at a spray volume of 450 L/hm2, a spray pressure of 0.275 MPa, and a nozzle-to-plant distance of 50 cm. After spraying, the plants continued to be cultivated in the greenhouse with the same temperature and humidity management. After application, efficacy symptoms were observed, and the growth status of the quinoa (including vigor, leaf color, and any distortion of the heart leaves) was recorded. The effects on the quinoa were observed at 3, 7, 14, 21, and 28 days after spraying; the height and fresh weight of the above-ground parts were measured. The fresh-weight inhibition rate of the herbicide laboratory safety evaluation results is calculated using the following formula:
E (%) = [(X0 − X)/X0] × 100
In this formula, E represents the fresh-weight inhibition rate (%), X0 denotes the fresh weight of the above-ground part for the blank control (g), and X indicates the fresh weight of the above-ground part for each treatment (g). Furthermore, the logarithmic values of the herbicide doses (x) were correlated with the probability values of the fresh-weight inhibition rate (Y) to fit a regression equation (Y = a + bx), which was used to calculate the GR10 (the dose required to inhibit crop growth by 10%) and the 95% confidence limits for both pre-emergence and post-emergence herbicide treatments on quinoa.
2.5.3. Laboratory Safety Evaluation and Efficacy of Penoxsulam Combinations on Quinoa and Weeds
Based on the results of the post-emergence herbicide laboratory safety evaluation on quinoa, the post-emergence herbicides with higher safety for quinoa, namely 5% penoxsulam OD and 25% benzobicyclon SC, 5% pinoxaden EC, and 10% metamifop EC, were selected for combined formulation. The cultivation method for quinoa was the same as described in Section 2.5.2. The application rates for 5% penoxsulam OD were as follows: 5.63, 11.25, 22.50, 45.00, and 90.00 g ai/hm2; for 25% benzobicyclon SC: 46.88, 93.75, 187.50, 375.00, and 750.00 g ai/hm2; for 5% pinoxaden EC: 13.13, 26.25, 52.50, 105.00, and 210.00 g ai/hm2; and for 10% metamifop EC: 26.25, 52.50, 105.00, 210.00, and 420.00 g ai/hm2. Subsequently, 5% penoxsulam OD was formulated in combination with each of the three herbicides, with single-agent treatments set as controls for each combination. There were 36 treatments for each formula, totaling 108 treatments, with four replicates for each treatment.
The effects on the quinoa were observed at 3, 7, 14, 21, and 28 days after spraying, the height and fresh weight of the above-ground parts were measured. The method for calculating the fresh-weight inhibition rate was the same as in Section 2.5.2. The safety of each combination at the provided dosages was comprehensively evaluated.
Building on the results of the combination safety assessments, a mixture of 5% penoxsulam OD and 10% metamifop EC was selected for laboratory bioassay activity testing on weeds at a volumetric ratio of 1:4.6. The application period was set when grassy weeds reached the 3-leaf and 1-heart stage, and broadleaf weeds reached the 4-leaf stage (BBCH stages 13–14) [19]. The cultivation method for the test materials was the same as that described in Section 2.5.2. Weed damage was observed at 3, 7, 14, and 21 days after spraying, and the fresh weight of the above-ground parts of the weeds was measured at 28 days after spraying. The fresh-weight inhibition rate was calculated. A regression analysis was performed using the logarithmic values of the test doses (x) and the probability values of the inhibition rate for 90% of the fresh weight of the weeds (y) and 10% of the crop fresh weight (y) were calculated to fit a toxicity regression equation (y = a + bx). The doses required to inhibit weed growth by 90% (GR90) and to inhibit crop growth by 10% (GR10), along with their 95% confidence limits, were calculated. The ratio of the GR10 for quinoa to the GR90 for the herbicide treatment serves as the selectivity index of the herbicide between quinoa and weeds. The higher the selectivity index, the safer the herbicide is for the crop.
2.6. Statistical Analysis
Our pre-emergence herbicide seed-soaking treatment experiments for quinoa aimed to investigate the effects of pre-emergence herbicides on the germination rate and physiological indicators of quinoa seeds. Researchers collected germination data from seeds treated with different herbicides and processed the data using Microsoft Excel. Subsequently, a single-factor analysis was conducted using DPS 7.05 software, and the Duncan multiple comparison test was applied to assess the significance of differences in average germination rates between treatments. After confirming significant differences through ANOVA, Origin 2019 software was utilized to create bar charts that visually presented the impacts of different pre-emergence herbicide treatments on the germination rate of quinoa seeds.
Laboratory safety evaluation of pre- and post-emergent herbicides for the quinoa experiment focused on assessing the laboratory safety of pre- and post-emergent herbicides for quinoa by evaluating growth indicators such as plant height and fresh weight. The data were also processed through Microsoft Excel and analyzed using DPS 7.05 software for single-factor analysis to test the impact of different treatments on the growth indicators of quinoa. The combination of these two experiments enabled a comprehensive evaluation of the safety and efficacy of herbicides at different stages of quinoa growth.
3. Results
3.1. Pre-Emergence Herbicide Treatment Effects on Quinoa Seed Soaking
3.1.1. Impact of Pre-Emergence Herbicide Concentrations on Quinoa Seed Germination
As the concentration of herbicide solutions increased, the germination rate of the quinoa seeds generally declined (Figure 1). One day after seed imbibition, six herbicides including 960 g/L s-metolachlor EC, 330 g/L pendimethalin EC, 40% prometryn WP, 40% pyroxasulfone SC, and 90% atrazine WG significantly affected the germination rate of quinoa seeds at various dosages. When treated at multiples of the recommended dosage, the average germination rate was below 40%, with 330 g/L pendimethalin EC showing the highest average germination rate at 38.00%, while 960 g/L s-metolachlor EC exhibited the lowest average germination rate, merely 16%. At one-fourth of the recommended dosage, 40% prometryn WP had the highest average effect on the germination rate, reaching 54.67%, and the germination rates with other herbicide treatments were not significantly different from the control group, with average germination rates above 86.67%.

Figure 1.
The effect of pre-emergence herbicide treatment on the germination rate of quinoa seeds. Figure (a–j) illustrate the effects of different pre-emergence herbicides on the germination rate of quinoa seeds, with the vertical axis representing the germination rate, the horizontal axis indicating the number of days after treatment, and the names of the various herbicides labeled below the horizontal axis. In the graph, X is the recommended dose, and different lowercase letters on the bar chart indicate significant differences between treatments (p < 0.05). The same applies to Figure 2.
Four days after seed imbibition, four herbicides including 960 g/L s-metolachlor EC, 330 g/L pendimethalin EC, 40% prometryn WP, and 40% pyroxasulfone SC significantly inhibited the germination rate of quinoa seeds at both the recommended dosage and multiples of the recommended dosage, with average germination rates below 40%. Among them, 40% prometryn WP had the highest average germination rate at 39.33%. The germination rates of other herbicide treatments were not significantly different from the control group.
Seven days after seed imbibition, four herbicides including 50% napropamide WP, 300 g/L pretilachlor EC, 36% anilofos ME, and 75% thifensulfuron-methyl WG did not significantly affect the germination rate of quinoa seeds at both the recommended dosage and multiples of the recommended dosage, with average germination rates above 88%. However, the germination rates of other herbicide treatments showed significant differences compared to the control group, indicating strong inhibitory effects. Notably, 48% butralin EW at multiples of the recommended dosage had the lowest average effect on the germination rate, only 62.67%, while 40% pyroxasulfone SC had a slightly higher average effect on the germination rate of 66.67%. These results indicate that, although the selected pre-emergence herbicides have some inhibitory effect on the germination of quinoa seeds, these inhibitory effects gradually weaken as the germination time extends. With the exceptions of 960 g/L s-metolachlor EC, 330 g/L pendimethalin EC, 40% prometryn WP, and 40%pyroxasulfone SC, the average germination rates of the other herbicide treatments approached 100% after seven days of imbibition, showing no significant difference from the control group. This indicates that these herbicides will not affect the normal germination of quinoa seeds when applied in the field.
3.1.2. Impact of Pre-Emergence Herbicides at Various Concentrations on the Germination Vigor, Germination Index, and Physiological Parameters of Quinoa Seeds
Analysis of the germination vigor and germination index of quinoa seeds, as presented in Table 3, reveals a significant downward trend with the increasing concentration of pre-emergence herbicides. This trend indicates that higher concentrations of pre-emergence herbicides lead to greater suppression of the germination capability of quinoa seeds. In particular, under treatments at double and quadruple the recommended dosages of each herbicide, the germination ability of quinoa seeds was strongly inhibited. This demonstrates the inhibitory effect of pre-emergence herbicides on the germination of quinoa. Moreover, the degree of this inhibitory effect increases with the concentration of pre-emergence herbicides, thereby affecting the growth and development of quinoa.
Table 3.
Effects of pre-emergence herbicides on quinoa seed germination and growth at different concentrations.
Further analysis of plant growth indicators, such as the plant height, root length, and fresh weight of quinoa, shows that these parameters decrease progressively with increasing herbicide concentration. Across all concentrations of the herbicides, the growth and development of quinoa were inhibited to varying degrees, with significant suppression observed under treatments at multiples of the recommended dosages. This observation is consistent with the data analysis of germination vigor and germination index, reinforcing the overall findings.
When comparing the effects of different pre-emergence herbicides, it was found that each herbicide at various concentrations had an impact on the growth of quinoa. However, the differences in inhibitory effects among the herbicides were also significant. Among them, 960 g/L s-metolachlor EC, 36% anilofos ME, 40% prometryn WP, 330 g/L pendimethalin EC, and 90% atrazine WG showed significant differences in their inhibitory effects on quinoa compared to the control. This suggests that these herbicides have a considerable impacts on the growth and development of quinoa seeds. Notably, at a quadruple the recommended dosage, 330 g/L pendimethalin EC exhibited the highest inhibition rate on quinoa plant height, reaching 83.44%, indicating the most significant inhibitory effect on the growth and development of quinoa seeds. In contrast, the differences between 50% napropamide WP, 300 g/L pretilachlor EC, 30% butralin EW, and 40% pyroxasulfone SC and the control suggest that these pre-emergence herbicides have relatively weaker inhibitory effects on quinoa plant height and root length, with no significant differences observed compared to the control.
3.2. Laboratory Safety Evaluation of Test Herbicides on Quinoa
3.2.1. Laboratory Safety Evaluation of Pre-Emergence Herbicides on Quinoa
As indicated in Table 4, the experimental outcomes demonstrate that within 28 days post-treatment, the growth of quinoa was markedly suppressed under various concentrations of pre-emergence herbicides, such as 40% pyroxasulfone SC, 90% atrazine WG, 40% prometryn WP, and 75% thifensulfuron WG, with a fresh-weight inhibition rate reaching 100%. Within just 7 days after treatment, quinoa displayed severe toxic symptoms, including the failure of the central leaves to unfurl, stem deformities, and shrinkage. After 14 days, all of the quinoa plants had perished.
Table 4.
Effects of pre-emergence herbicides on the plant height and fresh weight of quinoa.
At dosages of one quarter and one half of the recommended amount for 330 g/L pendimethalin EC, the inhibition rates of quinoa fresh weight were relatively low, at only 0.45% and 4.84%, respectively. However, 28 days after treatment with the full recommended dosages, quinoa plants failed to resume normal growth and ultimately succumbed.
In contrast, herbicides such as 50% napropamide WP, 300 g/L pretilachlor EC, 960 g/L s-metolachlor EC, and 36% anilofos ME showed relatively minor inhibition rates on quinoa fresh weight at the recommended dosages, ranging from 5.21% to 8.35%. With increased dosage concentrations, the degree of fresh-weight inhibition also escalated. Notably, under four times the recommended dosage of 50% napropamide WP, the fresh-weight inhibition rate peaked at 27.85%.
A comparative analysis of the results revealed a positive correlation between the degree of height inhibition by pre-emergence herbicides on quinoa and the inhibition of fresh weight. Under the recommended dosages of 40% pyroxasulfone SC, 90% atrazine WG, 40% prometryn WP, and 75% thifensulfuron WG, quinoa growth was significantly hindered, with a noticeable reduction in plant height. Conversely, 50% napropamide WP, 300 g/L pretilachlor EC, 960 g/L s-metolachlor EC, and 36% anilofos ME were deemed relatively safe at the recommended dosages. However, at four times the recommended dosage, all herbicides caused varying degrees of growth inhibition in quinoa, with the highest inhibition rate of 26.68% observed under four times the recommended dosage of 50% napropamide WP.
None of the 48% butralin EW dosages led to the death of quinoa, yet the fresh-weight inhibition rate still surpassed 36%. This indicates that pre-emergence herbicides like 48% butralin EW, 40% pyroxasulfone SC, 90% atrazine WG, 40% prometryn WP, and 75% thifensulfuron WG pose a risk to quinoa.
According to the herbicide tolerance data presented in Table 5, the tested quinoa exhibited a high tolerance to 50% napropamide WP, 300 g/L pretilachlor EC, 960 g/L s-metolachlor EC, and 36% anilofos ME, with GR10 values of 802.11, 1764.72, 2588.82, and 219.47 g a.i/hm2, respectively; all close to or surpassing twice the recommended dosages for each herbicide. This suggests that these four pre-emergence herbicides can be safely applied for weed control in quinoa fields at the recommended dosages.
Table 5.
Tolerance response of quinoa to different pre-emergence herbicides.
3.2.2. Laboratory Safety Evaluation of Post-Emergence Herbicides on Quinoa
As demonstrated in Table 6, the experimental outcomes revealed that 28 days after application, quinoa subjected to post-emergence herbicides such as 60% bensulfuron-methyl WG, 240 g/L oxyfluorfen EC, and 40% bentazone AS, exhibited complete mortality with a 100% fresh-weight inhibition rate. Seven days after application, severe phytotoxic symptoms were observed in quinoa, characterized by plant height suppression and leaf bleaching. By the 14th day, quinoa treated with 240 g/L oxyfluorfen EC and 40% bentazone AS had died across all treatments, while symptoms of herbicide damage became more pronounced in treatments with 60% bensulfuron-methyl WG. At the recommended dosages and at double the recommended dosages, quinoa growth halted, and at quadruple the dosage, the plants perished completely. By day 21 post-application, quinoa treated with 60% bensulfuron-methyl WG were entirely deceased across all treatments.
Table 6.
Effects of post-emergence herbicides on the plant height and fresh weight of quinoa.
Conversely, herbicides such as 5% penoxsulam OD, 240 g/L clethodim EC, 15% quizalofop-P-ethyl EC, 15% oxaziclomefone OD, 10% metamifop EC, 25% benzobicyclon SC, 40 g/L nicosulfuron OD, and 5% pinoxaden EC, when applied at the recommended rates, showed a relatively low inhibition rate on quinoa’s fresh weight, ranging from 6.15% to 7.71%. The degree of fresh-weight suppression escalated with increased concentration. Notably, under a quadruple dosage of 25% benzobicyclon SC, the fresh-weight inhibition rate peaked at 26.89%.
As with pre-emergence herbicides, the suppression of plant height by post-emergence herbicides was positively correlated with the inhibition of fresh weight. At the recommended dosages, post-emergence herbicides, including 60% bensulfuron-methyl WG, 240 g/L oxyfluorfen EC, and 40% bentazone AS, caused significant growth inhibition in quinoa, marked by a notable decrease in plant height. In contrast, herbicides such as 5% penoxsulam OD, 240 g/L clethodim EC, 15% quizalofop-P-ethyl EC, 15% oxaziclomefone OD, 10% metamifop EC, 25% benzobicyclon SC, 40 g/L nicosulfuron OD, and 5% pinoxaden EC were relatively safe at their recommended dosage. However, at quadruple the recommended dosage, all herbicides suppressed quinoa growth to varying extents, with the highest inhibition rate of 44.78% observed under the quadruple dosage of 200 g/L fluroxypyr EC.
At the recommended dosage, 108 g/L haloxyfop-P-methyl EC did not result in quinoa mortality but caused a fresh-weight inhibition rate of 23.35% and a plant height inhibition rate of 11.31%. At a quadruple dosage, quinoa experienced complete mortality. This indicates that post-emergence herbicides like 60% bensulfuron-methyl WG, 240 g/L oxyfluorfen EC, 40% bentazone AS, and 108 g/L haloxyfop-P-methyl EC are not suitable for use on quinoa due to their phytotoxicity.
According to the herbicide tolerance data presented in Table 7, the tested quinoa exhibited a significant level of tolerance to herbicides such as 200 g/L fluroxypyr EC, 5% penoxsulam OD, 240 g/L clethodim EC, 15% quizalofop-P-ethyl EC, 15% oxaziclomefone OD, 10% metamifop EC, 25% benzobicyclon SC, 40 g/L nicosulfuron OD, and 5% pinoxaden EC. The GR10 values for these herbicides were determined to be 132.83, 31.24, 315.17, 230.98, 43.51, 449.38, 174.60, 42.19, and 162.81 g (a.i.)/hm2, respectively. These values are close to or exceed twice the recommended dosages, indicating that these nine post-emergence herbicides can be effectively applied for weed control in quinoa fields without causing excessive harm to the crop. On the other hand, 108 g/L haloxyfop-P-methyl EC showed a lower level of tolerance with a GR10 value of 34.71 g (a.i.)/hm2, which is approximately half the recommended dosage. This suggests that this particular herbicide may not be suitable for weed management in quinoa fields due to its potential to adversely affect the crop.
Table 7.
Tolerance response of quinoa to different pre-emergence herbicides.
3.3. The Combined Effect of Mixing Penoxsulam with Metamifop, Pinpxaden, or Benzobicyclon on the Safety of Quinoa and Its Activity against Weeds
3.3.1. Evaluation of the Safety of Post-Emergence Herbicides on Quinoa
In the thorough analysis of experimental data from Table 8, Table 9 and Table 10, there is a notable difference in the varying effects of different herbicide treatments on quinoa growth. In particular, it is worth noting that the lowest dose combination of penoxsulam and metamifop, seen in Table 8, demonstrates a relatively lower degree of inhibition on both plant height and fresh weight in quinoa, demonstrating an enhanced safety profile when compared with the other mixtures presented in Table 9 and Table 10. The inhibition rates, as presented in Table 8, demonstrate 3.77% for plant height and 6.7% for fresh weight, reflecting a more favorable safety profile for this particular herbicide mixture at the given time. In contrast, the remaining mixtures in Table 9 and Table 10, particularly at higher doses, demonstrate a more significant and intense impact on quinoa growth, with correspondingly higher inhibition rates. For instance, in the combination of penoxsulam with pinoxaden, presented in Table 9, and benzobicyclon, presented in Table 10, as the dosage is progressively increased, the inhibition rates become notably higher, approaching total suppression of growth at the highest doses tested (Table 8). With their lower inhibition rates, it may be possible to conclude that this particular mixture and dosage is a viable option for quinoa cultivation, while the higher-dose combinations detailed in Table 9 and Table 10 may be less suitable due to their increased phytotoxicity, which lead to potential damage to quinoa crops.
Table 8.
Effects of penoxsulam and metamifop on the plant height and fresh weight of quinoa.
Table 9.
Effects of penoxsulam and pinpxaden on the plant height and fresh weight of quinoa.
Table 10.
Effects of penoxsulam and benzobicyclon on the plant height and fresh weight of quinoa.
3.3.2. The Impact of the Safe Ratio Combination of Penoxsulam and Metamifop on the Fresh Weight and Plant Height of Crop and Weeds
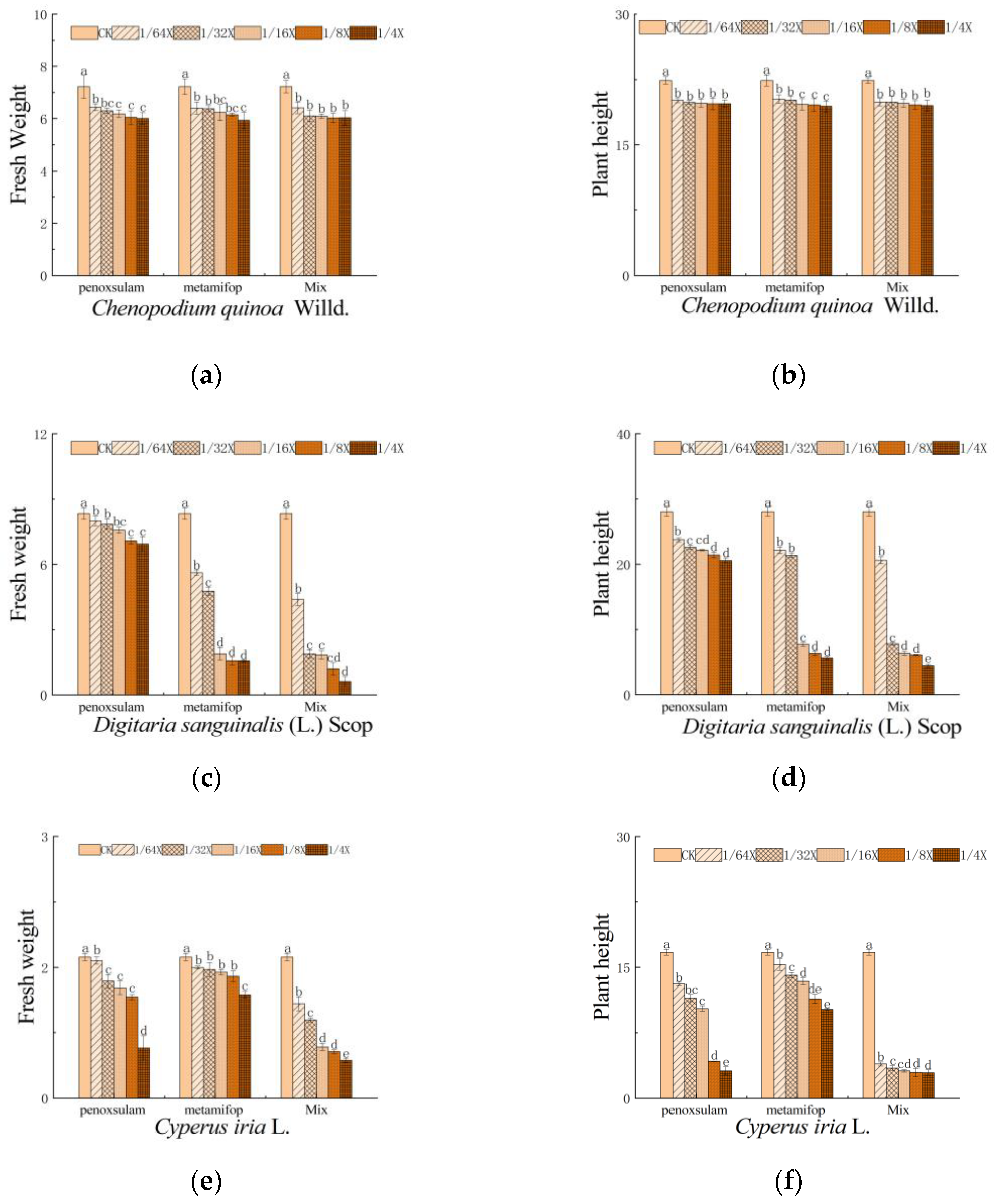
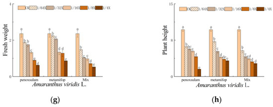
From Figure 2, it can be observed that at safe ratios, both single-agent and mixed applications have no significant impact on the plant height and fresh weight of quinoa compared to the control (CK). On the other hand, for the grassy weed Digitaria sanguinalis, the mixed application significantly reduces its fresh weight and plant height compared to single-agent application and the control. The same is true for both the sedge weed Cyperus iria and the broadleaf weed Amaranthus viridis. As the dosage decreases, both fresh weight and plant height show some recovery. At the safest ratio, the fresh-weight inhibition rates for these three weeds reach 92.61%, 77.42%, and 66.98%, respectively, indicating that the efficacy against them at this dosage is higher than that of the single-agent application.
From Table 11, it can be observed that the single application of penoxsulam exhibits high biological activity against Digitaria sanguinalis, with a GR90 of 14,935.73 g·hm−2 for the active ingredient. Its activity against Cyperus iria and Amaranthus viridis is comparable, with GR90 values of 21.54 and 19.96 g·hm−2 for the active ingredient, respectively. The selectivity index between quinoa and the three weeds ranges from 2.99 to 2240.85. Metamifop shows better activity against Digitaria sanguinalis, with a GR90 of 29.09 g·hm−2 for the active ingredient. Its activity against Cyperus iria is higher than that against Amaranthus viridis, with GR90 values of 104.35 and 692.17 g·hm−2 for the active ingredient, respectively. The selectivity index between quinoa and the three weeds ranges from 69 to 247.71. After the combination of the two, it ranges from 176.88 to 468.00. Compared to the single application, the selectivity index of the combined herbicide against the tested weeds shows an upward trend, indicating that the combination of penoxsulam and metamifop can enhance their safety for quinoa.
Table 11.
Selectivity index between quinoa and weeds of penoxsulam mixed with metamifop.

Figure 2.
The impact of the safe ratio combination of penoxsulam and metamifop on the fresh weight and plant height of the crop and weeds. The pictures depict the effects of the safe ratio combination of penoxsulam and metamifop on the fresh weight and plant height of quinoa (a,b), Digitaria sanguinalis (c,d), Cyperus iria (e,f), and Amaranthus viridis (g,h). In the figure, ‘X’ represents the recommended dosage, and different lowercase letters on the bar chart indicate significant differences between treatments (p < 0.05).
4. Discussion
In this study, we conducted an in-depth analysis of the effects of different pre-emergence herbicides on the germination rate and physiological indicators of quinoa seed (Chenopodium quinoa Willd.) to assess their potential application value [20]. Our results showed that although some herbicides initially inhibited quinoa seed germination, this effect diminished over time [21]. This is consistent with previous research, indicating that quinoa has a certain level of tolerance and can recover growth after herbicide treatment. McGinty, E.M. et al. found that seed coat thickness is an important morphological variable affecting the dormancy strength of quinoa seeds, which may be one of the reasons why quinoa seeds are not affected by germination under herbicide stress [22].
When evaluating the impacts of pre-emergence herbicides on the physiological indicators of quinoa seed, we found that an increase in herbicide concentration led to a significant decrease in both the germination vigor and germination index of quinoa seeds and, at the same time, plant height, root length, and fresh weight also decreased. This finding suggests that while pre-emergence herbicides can effectively control weeds, they may also exert some growth pressure on the crop itself. In particular, herbicides such as 36% anilofos ME, 40% prometryn WP, 330 g/L pendimethalin EC, and 90% atrazine WG showed significant inhibitory effects on quinoa seedlings, which requires attention in future research [23]. It is recommended to deepen the burial depth in field applications in order to prevent these types of herbicides from directly contacting quinoa seeds, which could lead to a decrease in the germination rate and growth inhibition of quinoa seedlings [24].
In response to the suggestion to elaborate on the impacts of various herbicides on quinoa and to discuss the preparatory work for potential field trials, we conducted the following detailed analysis. The laboratory safety evaluations of both pre-emergence and post-emergence herbicides were conducted under controlled conditions to assess their effects on quinoa. Our findings indicate that quinoa demonstrated a higher level of tolerance to specific pre-emergence herbicides, including 50% napropamide WP, 300 g/L pretilachlor EC, 960 g/L s-metolachlor EC, and 36% anilofos ME. These agents have shown minimal adverse effects on quinoa; therefore, they are considered suitable candidates for future field trials [25].
For post-emergence applications, our laboratory evaluations identified a subset of herbicides that exhibit good safety profiles for quinoa. These include 200 g/L fluroxypyr EC, 5% penoxsulam OD, 240 g/L clethodim EC, 15% quizalofop-P-ethyl EC, 15% oxaziclomefone OD, 10% metamifop EC, 25% benzobicyclon SC, 40 g/L nicosulfuron OD, and 5% pinoxaden EC. The safety of these herbicides for quinoa cultivation suggests their potential for integrated weed management strategies in quinoa fields.
However, it is important to note that certain post-emergence herbicides, such as 60% bensulfuron-methyl WG, 240 g/L oxyfluorfen EC, 40% bentazone AS, and 108 g/L haloxyfop-P-methyl EC, have been found to be unsafe for quinoa. These results underscore the need for caution when selecting herbicides for chemical weed control in quinoa fields.
The experimental design utilized by Franzoni et al. for soybean crops [26], which included the application of biostimulants alongside herbicides, provides a valuable framework that could be adapted for future quinoa field trials. As demonstrated by Imran and Amanullah [27], the combined application of pre- and post-emergence herbicides showed promising weed control in maize, which may also guide weed management strategies in quinoa systems. In preparation for field trials, we recommend a thorough evaluation of the environmental conditions, including the soil type, climate, and potential interactions with other agronomic practices. Additionally, the establishment of a robust monitoring plan through which to assess the long-term effects of these herbicides on soil ecology, crop yield, and overall sustainability is essential. This will ensure that our recommendations are not only effective for weed control but also aligned with the principles of sustainable agriculture.
In the testing of mixed herbicides, we found that the combination of 5% penoxsulam OD and 10% metamifop EC was relatively safe for quinoa at certain ratios, but the efficacy against weeds needs to be improved [28]. This indicates that when developing mixed herbicides, it is necessary to balance the safety for the crop and the activity against weeds. For laboratory bioassay tests on weed species, we found that mixed herbicides had good control effects against Digitaria sanguinalis and Cyperus iria, but lower efficacy against Amaranthus viridis [29]. This finding suggests that future research directions should include the development of more effective control strategies for broadleaf weeds.
The efficacy of herbicides is intrinsically linked to their application rates. Lower rates may compromise weed control effectiveness, particularly against weeds with higher tolerance levels [30]. However, if a low-rate mixture ensures the safety of crops like quinoa and provides a baseline level of weed control without causing crop damage, it can be considered a viable strategy. It is important that effective weed control does not necessarily require complete eradication; suppression to manageable levels can still be deemed successful, especially when integrated with other weed management practices [31]. The goal of mixing herbicides is to harness synergistic effects that enhance weed control. At lower rates, the interactions between active ingredients may need to be reevaluated to ensure that the mixture is optimized for its intended purpose. This could involve adjusting the ratios of the components or exploring additional combinations that could be effective at lower rates. The use of low-rate herbicide mixtures should be assessed within the context of an integrated weed management (IWM) system [32]. Beyond chemical control, mechanical, and biological methods should be employed to effectively manage weeds. Practices such as crop rotation, cover cropping, mechanical cultivation, and the introduction of natural enemies can complement chemical approaches and contribute to a more sustainable weed management strategy [33]. From an environmental and sustainability perspective, employing lower rates of herbicides can reduce overall chemical input, thus alleviating environmental stress and can slow the development of herbicide resistance in weeds to help preserve the biodiversity and health of the agroecosystem. By adopting this approach, we can develop strategies that balance the need for weed management with the goal of maintaining a productive and healthy agricultural ecosystem.
In summary, the current study offers valuable insights into the application of pre-and post-emergence herbicides for quinoa field management within a controlled greenhouse environment in Anhui Province, China. Our findings contribute to a better understanding of how different herbicide treatments can impact the germination and physiological indicators of quinoa, a crop of significant importance to global food security. However, since the specific environmental conditions of Anhui Province may not be fully representative of other regions, the practicality and sustainability of these findings necessitate further validation through field trials in diverse geographical locations and under various environmental conditions.
Future research should aim to expand these initial findings by incorporating a wider range of environmental variables and conducting trials in different agroecological zones. This approach will help to ascertain the adaptability of the developed weed management strategies and ensure their effectiveness and environmental friendliness across different agricultural contexts. Additionally, the optimization of herbicide formulations and a thorough assessment of their environmental impacts will be crucial steps towards the development of sustainable agricultural practices. Considering the growing importance of quinoa in the global diet, these efforts will not only aid in the sustainable cultivation of this valuable crop but also contribute to the broader goals of sustainable agricultural development.
By adopting a comprehensive and adaptive approach to weed management, researchers and practitioners can work towards strategies that balance the need for effective weed control with the preservation of biodiversity and ecological health [34], which will ultimately support the long-term productivity and resilience of agricultural ecosystems to climate change and other environmental challenges [35].
5. Conclusions
This study represents a significant advancement in the agricultural management of quinoa through evaluation of the laboratory safety and herbicidal activity of pre- and post-emergence herbicides for quinoa, leading to the following conclusions:
- Quinoa seeds have shown tolerance to specific pre-emergence herbicides, which may cause delayed germination but allow recovery in subsequent growth stages. Notably, 36% anilofos ME, 40% prometryn WP, 330 g/L pendimethalin EC, and 90% atrazine WG have significant inhibitory effects on quinoa seedlings, necessitating increased seeding depth when these herbicides are applied. Therefore, it is recommended that pre-emergence herbicides be used with caution in quinoa cultivation and that consideration be given to increasing seeding depth to minimize the impact on seedling growth.
- Laboratory safety evaluation has shown that quinoa exhibits a high level of tolerance to pre-emergence herbicides such as 50% napropamide WP, 300 g/L pretilachlor EC, 960 g/L s-metolachlor EC, and 36% anilofos ME. A study by Xie et al. shows that the chiral forms of napropamide significantly affected its inhibitory effect on Echinochloa crus-galli, with R-napropamide demonstrating stronger inhibition compared to other enantiomers, and Dhanda et al. found that pretilachlor has been recognized for its effectiveness in controlling a variety of annual weeds in paddy fields, including Echinochloa species, Leptochloa species, Cyperus iria, and other species. Moreover, Clapp et al. conducted an assessment on the efficacy of s-metolachlor within flue-cured tobacco weed management programs, discovering that applications of s-metolachlor enhanced weed control throughout the growing season and introduced an additional mode of action for weed management [36,37,38]. These previous results show that these pre-emergence herbicides have good weed control effects in the field. Combined with the conclusions of this article, they show that these herbicides can achieve a good level of weed control without reaching a level that would cause damage to quinoa. Therefore, these pre-seedling herbicides can be recommended for field experiments.
- Additionally, our study extends the application scope of post-emergence herbicides, including 200 g/L fluroxypyr EC, 5% penoxsulam OD, 240 g/L clethodim EC, 15% quizalofop-P-ethyl EC, 15% oxaziclomefone OD, 10% metamifop EC, 25% benzobicyclon SC, 40 g/L nicosulfuron OD, and 5% pinoxaden EC, which are safe for use on quinoa. Among them, 240 g/L clethodm EC, 15% quizalofop-P-ethyl EC, 10% metamifop EC, and 5% pinoxaden EC cause the inhibition of Acetyl CoA Carboxylase. Liu et al. noted, in their research on herbicide resistance in China, that ACCase-inhibitor herbicides are predominantly effective against gramineous weeds. The impact of these herbicides on broadleaf crops such as quinoa are typically less significant due to the specific mode of action targeting the fatty acid synthesis pathway in gramineous plants [39]. According to the EFSA Scientific Report, the evaluation of penoxsulam as a herbicide was based on its representative use in rice for the control of Echinochloa crus-galli, sedge, as well as broadleaf weeds. In our study, the effect of penoxsulam on quinoa did not meet the criteria for victimization and fell within the acceptable risk range [40]. Meanwhile, 60% bensulfuron-methyl WG, 240 g/L oxyfluorfen EC, 40% bentazone AS, and 108 g/L haloxyfop-P-methyl EC are not recommended for use on quinoa. Although this study provides important insights into the application of herbicides in quinoa fields, it is limited to the experimental conditions in the greenhouse within Anhui province. Further field trials may be necessary in other regions to validate these findings and researchers should consider evaluating the effects of these herbicides under different climatic and soil conditions, as well as monitoring their long-term impact on soil ecology and crop yield.
- The combination of 5% penoxsulam OD and 10% metamifop EC is relatively safe for quinoa but requires an increase in its effectiveness against weeds. Mixed herbicides show effective control over certain weeds such as Digitaria sanguinalis but have lower efficacy against Cyperus iria and are almost ineffective against Amaranthus viridis. Given that the combined use of penoxsulam and metamifop has shown little threat against quinoa in this study, it is recommended to evaluate the control effect of these herbicides on specific weeds in further field trials.
- Our results clarified the safety and efficacy of these herbicides and provided new solutions for weed management in quinoa fields. These findings have important practical application value for quinoa growers and provide a scientific basis for further field trials and pesticide registration. In addition, this study also provides a new perspective for the development and application of herbicides in quinoa fields around the world.
Author Contributions
Conceptualization, H.X. and Y.B.; funding acquisition, Y.B.; investigation, H.X., X.T., and M.Y.; methodology, H.X. and Y.B.; project administration, H.X.; supervision, H.X. and Y.B.; validation, C.L. and X.T.; statistical analysis, M.F. and M.Y.; writing—original draft, H.X.; writing–review and editing, C.L., M.F., and Y.B. All authors have read and agreed to the published version of the manuscript.
Funding
This work was supported by the National Key Research and Development Program of China (2023YFD1400501) and the Key Discipline Construction Funds for Crop Science of Anhui Sciences and Technology University (No. XK-XJGF001).
Institutional Review Board Statement
Not applicable.
Data Availability Statement
The data presented in this study are available on request from the corresponding author. The data are not publicly available due to privacy concerns.
Conflicts of Interest
The authors declare no conflicts of interest.
References
- Irfan, A.; Basra, S.M.A.; Rehman, H.U.; Iqbal, S.; Bazile, D. Trends and Limits for Quinoa Production and Promotion in Pakistan. Plants 2022, 11, 1603. [Google Scholar] [CrossRef] [PubMed]
- Chen, X.; Zhang, Y.; Cao, B.; Wei, X.; Shen, Z.; Su, N. Assessment and comparison of nutritional qualities of thirty quinoa (Chenopodium quinoa Willd.) seed varieties. Food Chem. X 2023, 19, 100808–100817. [Google Scholar] [CrossRef] [PubMed]
- Jacobsen, S.; Christiansen, L.J.; Rasmussen, J. Weed Harrowing and Inter-Row Hoeing in Organic Grown Quinoa (Chenopodium quinoa Willd.). Outlook Agric. 2010, 39, 223–227. [Google Scholar] [CrossRef]
- Merino, J.; Pedreros, A.; Fischer, S.; López, M.D. Effect of post-emergence herbicides on stress indicators in quinoa. Chil. J. Agric. Res. 2020, 80, 21–29. [Google Scholar] [CrossRef]
- Wu, X.; He, C.; Hu, J.; Ma, C. Mechanized production mode of quinoa in Qaidam Basin. Agric. Eng. 2022, 12, 5–10. [Google Scholar]
- Chen, C.; Yan, D.; Zuo, H.; Gao, S.; Zhang, S.; Liu, Y. Analysis on the agronomic characters of 47 samples of Chenopodium quinoa Willd. germplasm resources in Qinghai province. J. Qinghai Univ. 2021, 39, 18–25. [Google Scholar]
- Langeroodi, S.R.A.; Mancinelli, R.; Radicetti, E. How Do Intensification Practices Affect Weed Management and Yield in Quinoa (Chenopodium quinoa Willd) Crop? Sustainability 2020, 12, 6103. [Google Scholar] [CrossRef]
- Katsenios, N.; Sparangis, P.; Vitsa, S.; Leonidakis, D.; Efthimiadou, A. Application of Biostimulants and Herbicides as a Promising Co-Implementation: The Incorporation of a New Cultivation Practice. Agronomy 2023, 13, 2634. [Google Scholar] [CrossRef]
- Astaykina, A.; Elansky, S.; Kubarev, E.; Semeniushkin, D.; Smirnova, I.; Chudinova, E.; Demin, V.; Nikolaev, A.; Shoba, S. Identifying the Best Herbicides for Weed Control in Chicory (Cichorium intybus). Agriculture 2023, 13, 1152. [Google Scholar] [CrossRef]
- Pu, T.; Zhang, S.; Feng, Z. Safety screening and field weeding effect of post-emergence herbicides in Bupleurum chinense DC. Field Agrochem. 2022, 61, 295–300. [Google Scholar]
- Wang, X. Effects of Herbicides on Weed Control and Growth and Development of Buckwheat in Buckwheat Field. Master’s Thesis, Northwest A&F University, Yangling, China, 2019. [Google Scholar]
- Zhang, J.; He, J.; Zhang, X.; Zhang, S.H.; Zhang, H.; Li, Y.X. Three forage extract, germination, and seedling growth of recipient plants under herbicide stress. Acta Agrestia Sin. 2021, 29, 1719–1728. [Google Scholar]
- Alptekin, H.; Ozkan, A.; Gurbuz, R.; Kulak, M. Management of Weeds in Maize by Sequential or Individual Applications of Pre- and Post-Emergence Herbicides. Agriculture 2023, 13, 421. [Google Scholar] [CrossRef]
- Kader, A.M. A Comparison of Seed Germination Calculation Formulae and the Associated Interpretation of Resulting Data. J. Proc. R. Soc. N. S. W. 2005, 138, 65–75. [Google Scholar] [CrossRef]
- Huang, Y.M.; Deng, C.X.; Li, J.P.; Ye, T.; Wei, H.; Sang, T.; Xie, W. Effects of herbicides on seed germination and seedling physiological characteristics of Festuca arundinacea and Dichondra repens. Pratacult. Sci. 2020, 37, 872–881. [Google Scholar]
- Sosa-Zuniga, V.; Brito, V.; Fuentes, F.; Steinfort, U. Phenological growth stages of quinoa (Chenopodium quinoa) based on the BBCH scale. Ann. Appl. Biol. 2017, 171, 117–124. [Google Scholar] [CrossRef]
- NY/T 1155.6-2006; Guidelines for Pesticide Indoor Bioassay Tests: Part 6—Safety of Herbicides to Crops by Soil Spray Method. Ministry of Agriculture of the People’s Republic of China: Beijing, China, 2006.
- NY/T 1155.8-2007; Guidelines for Pesticide Indoor Bioassay Tests: Part 8—Safety of Herbicides to Crops by Post-Emergence Spray Method. Ministry of Agriculture of the People’s Republic of China: Beijing, China, 2007.
- Weed BBCH Scale. Available online: https://www.bionity.com/en/encyclopedia/BBCH-scale_(weed).html (accessed on 10 September 2023).
- Patiballa, M.; Ravindra, U.; Benherlal, P.S.; Subbarayappa, C.T.; Shivakumar, N.; S., M.H.; Vijayalaxmi, K.G. Effect of Soaking and Germination on Antinutritional Factors of Quinoa (Chenopodium quinoa). Int. J. Plant Soil Sci. 2024, 36, 120–130. [Google Scholar] [CrossRef]
- Abbaspoor, M. Herbicide Screening for Weed Control in Quinoa (Chenopodium quinoa Willd.). J. Plant Prod. 2022, 29, 89–104. [Google Scholar]
- McGinty, E.M.; Craine, E.B.; Miller, N.D.; Ocana-Gallegos, C.; Spalding, E.P.; Murphy, K.M.; Hauvermale, A.L. Evaluating relationships between seed morphological traits and seed dormancy in Chenopodium quinoa Willd. Front. Plant Sci. 2023, 1425, 1161165. [Google Scholar] [CrossRef]
- Hakim, M.A.; Juraimi, A.S.; Karim, S.M.R.; Khan, M.S.I.; Islam, M.S.; Choudhury, M.K.; Soufan, W.; Alharby, H.; Bamagoos, A.; Iqbal, M.A.; et al. Effectiveness of Herbicide to Control Rice Weeds in Diverse Saline Environments. Sustainability 2021, 13, 2053. [Google Scholar] [CrossRef]
- McGinty, E.M.; Murphy, K.M.; Hauvermale, A.L. Seed Dormancy and Preharvest Sprouting in Quinoa (Chenopodium quinoa Willd). Plants 2021, 10, 458. [Google Scholar] [CrossRef]
- Ribeiro, V.H.V.; Maia, L.G.S.; Arneson, N.J.; Oliveira, M.C.; Read, H.W.; Ane, J.M.; dos Santos, J.B.; Werle, R. Influence of PRE-emergence herbicides on soybean development, root nodulation and symbiotic nitrogen fixation. Crop Protect. 2020, 144, 105576. [Google Scholar] [CrossRef]
- Franzoni, G.; Bulgari, R.; Florio, F.E.; Gozio, E.; Villa, D.; Cocetta, G.; Ferrante, A. Effect of biostimulant raw materials on soybean (Glycine max) crop, when applied alone or in combination with herbicides. Front. Agron. 2023, 5, 1238273. [Google Scholar] [CrossRef]
- Imran, A.; Amanullah. Assessment of chemical and manual weed control approaches for effective weed suppression and maize productivity enhancement under maize-wheat cropping system. Gesunde Pflanz. 2022, 74, 167–176. [Google Scholar] [CrossRef]
- Bianchi, L.; Anunciato, V.M.; Gazola, T.; Perissato, S.M.; Dias, R.C.; Tropaldi, L.; Carbonari, C.A.; Velini, E.D. Effects of glyphosate and clethodim alone and in mixture in sourgrass (Digitaria insularis). Crop Protect. 2020, 138, 105322. [Google Scholar] [CrossRef]
- Baek, Y.; Bobadilla, L.K.; Giacomini, D.A.; Montgomery, J.S.; Murphy, B.P.; Tranel, P.J. Evolution of Glyphosate-Resistant Weeds. Rev. Environ. Contam. Toxicol. 2021, 255, 93–128. [Google Scholar] [PubMed]
- Brunharo, C.A.C.G.; Gast, R.; Kumar, V.; Mallory-smith, C.A.; Tidemann, B.D.; Beckie, H.J. Western United States and Canada perspective: Are herbicide-resistant crops the solution to herbicide-resistant weeds? Weed Sci. 2022, 70, 272–286. [Google Scholar] [CrossRef]
- Saravanane, P.; Bajwa, A.A.; Djanaguiraman, M.; Adkins, S.W. Biological Response of Invasive Parthenium Weed to Elevated Concentration of Atmospheric Carbon Dioxide and Soil Salinity. Sustainability 2023, 15, 1025. [Google Scholar] [CrossRef]
- Heap, I. The International Survey of Herbicide Resistance. Available online: https://www.weedscience.com (accessed on 9 May 2023).
- Powles, S.B.; Lorraine-Colwill, D.F. The evolution of herbicide resistance in weeds: A global perspective. Weed Res. 2019, 59, 232–248. [Google Scholar]
- Nowak, V.; Charrondiere, U.R. Assessment of the nutritional composition of quinoa (Chenopodium quinoa Willd.). Food Chem. 2016, 193, 47–54. [Google Scholar] [CrossRef] [PubMed]
- Calizaya, F.; Gómez, L.; Zegarra, J.; Pozo, M.; Mindani, C.; Caira, C.; Calizaya, E. Unveiling Ancestral Sustainability: A Comprehensive Study of Economic, Environmental, and Social Factors in Potato and Quinoa Cultivation in the Highland Aynokas of Puno, Peru. Sustainability 2023, 15, 13163. [Google Scholar] [CrossRef]
- Xie, J.; Tang, W.; Zhao, L.; Liu, S.; Liu, K.; Liu, W. Enantioselectivity and allelopathy both have effects on the inhibition of napropamide on Echinochloa crus-galli. Sci. Total Environ. 2019, 682, 151–159. [Google Scholar] [CrossRef] [PubMed]
- Dhanda, V.; Kumar, R.; Yadav, N.; Sangwan, S.; Duhan, A. Ultimate fate, transformation, and toxicological consequences of herbicide pretilachlor to biotic components and associated environment: An overview. J. Appl. Toxicol. 2024, 44, 41–65. [Google Scholar] [CrossRef] [PubMed]
- Clapp, A.M.; Vann, M.C.; Cahoon, C.W.; Jordan, D.L.; Fisher, L.R.; Inman, M.D. Evaluations of S-metolachlor in flue-cured tobacco weed management programs. Agron. J. 2022, 114, 1246–1254. [Google Scholar] [CrossRef]
- Liu, X.; Xiang, S.; Zong, T.; Ma, G.; Wu, L.; Liu, K.; Zhou, X.; Bai, L. Herbicide Resistance in China: A Quantitative Review. Weed Sci. 2019, 67, 605–612. [Google Scholar] [CrossRef]
- European Food Safety Authority (EFSA). Peer review of the pesticide risk assessment of the active substance penoxsulam. EFSA Sci. Rep. 2009, 343, P33. [Google Scholar]
Disclaimer/Publisher’s Note: The statements, opinions and data contained in all publications are solely those of the individual author(s) and contributor(s) and not of MDPI and/or the editor(s). MDPI and/or the editor(s) disclaim responsibility for any injury to people or property resulting from any ideas, methods, instructions or products referred to in the content. |
© 2024 by the authors. Licensee MDPI, Basel, Switzerland. This article is an open access article distributed under the terms and conditions of the Creative Commons Attribution (CC BY) license (https://creativecommons.org/licenses/by/4.0/).



