Highlights
What are the main finding?
- The living vegetation volumes of the eight sample areas varied from 2038.73 m3 to 15,032.55 m3.
- Affected by different plant configurations, the living vegetation volumes in the sample areas showed obvious differences with an order of S7 > S2 > S3 > S1 > S5 > S6 > S8 > S4.
What is the implication of the main finding?
- The fitting relationship between living vegetation volumes and PM2.5 concentrations in different road green space is different owing to different compositions of plantings.
Abstract
To study the effects of species diversity of different urban road green space on PM2.5 reduction, and to provide a theoretical basis for the optimal design of urban road plantings. Different combinations of road plantings in Xianlin Avenue of Nanjing were used as sample areas, and 3–6 PM2.5 monitoring points were set up in each sample area. The monitoring points were setup at 10, 20, 30, 40, 50, and 60 m from the roadbed for detecting PM2.5 concentrations in different sample areas. Moreover, the living vegetation volume of each sample area was calculated. The coupling relationship between the living vegetation volumes and PM2.5 concentrations in different sample areas was evaluated by regression fitting and other methods. PM2.5 concentrations among different sample areas were significantly different. PM2.5 concentrations were higher in the morning than in the afternoon, while the differences were not significant. The living vegetation volumes of the eight sample areas varied from 2038.73 m3 to 15,032.55 m3. Affected by different plant configurations, the living vegetation volumes in the sample areas showed obvious differences. The S2 and S6 sample area, which was consisted a large number of shrubshave better PM2.5 reduction capability. The fitting curve of living vegetation volumes and PM2.5 concentrations in sample areas of S1 and S3–S8 can explain 76.4% of the change in PM2.5 concentrations, which showed significant fitting. The fitting relationship between living vegetation volumes and PM2.5 concentrations in different road green space is different owing to different compositions of plantings. With the increase in living vegetation volumes, their fitting functions first increase and then decrease in a certain range. It is speculated that only when the living vegetation volume exceeds a certain range, it will promote PM2.5 reduction.
1. Introduction
In China, increasing human activities have aggravated the haze problem in the central and eastern regions in the past two to three decades [1,2], with motor vehicle exhaust being a major source of PM2.5 [3,4]. Long-term exposure to high concentrations of PM2.5 in the ambient air poses a threat to China’s ecological environment, social economy and people’s health and safety [5,6]. The Nanjing Environmental Status Bulletin [7,8,9,10] showed that the annual average levels of PM2.5 fluctuated slightly in recent years, with an overall decreasing trend. While PM2.5 still exceeded the standard value and was one of the major pollutants of ambient air in Nanjing. Neofytou et al. (2004) revealed that the most serious traffic pollution occurs in the traffic trunk road and in the area 50 m wide and 1.7 m high from the subgrade [11], which is also the typical height range for human breathing [12]. With the increase in urban traffic volume, traffic pollution is getting worse. Road planting can not only beautify the street view, but also make up for the isolation effect of the road system on natural ecological pollutants [13,14]. Road planting can adjust PM2.5 concentrations through absorption and surface attachment [15,16,17]. Cavanagh et al. (2009) concluded that PM2.5 concentrations are higher outside the urban green space than inside the green space [18]. The use of urban green space to regulate PM2.5 concentrations can make one of the effective methods to purify road particulate matter [19]. One of the key quantitative indicators to measure the planting community structure is the living vegetation volume [20].
Therefore, it is important to study the correlation between the living vegetation volume of plantings and PM2.5 concentrations on both sides of the road, on which there are different opinions in academia. Some researchers believe that there is a significant positive correlation between the planting living vegetation volume and PM2.5 concentrations [21], while others argue that the correlation is not obvious [22]. Many studies have claimed that plants could absorb atmospheric particles due to their special leaf surface structures and physiological and biochemical characteristics [23,24], and planting living vegetation volume is often used to describe the spatial distribution of vegetation in green space. The reduction of airborne particulate matter of composite structure of vegetation was better than the single structure of green space [25]. However, different green space structures have different three-dimensional green values, different road types and different levels of urban development, which will have different impacts on environmental particulate matter, and the differences in the correlation research results lie in the different types of green spaces are not known and need to be studied further. Therefore, further investigation is necessary to clarify the relationship between the living vegetation volume and PM2.5 concentrations.
Combined with the 2017 Nanjing Air Pollution Emission Inventory, Luo et al. (2020) found that motor vehicle emission (PMF: 27.33%, CMB: 29.33%) was one of the main sources of PM2.5 in Xianlin area of Nanjing through positive matrix factorization (PMF) and chemical mass balance (CMB) analysis [26]. As a typical ecological landscape avenue in Nanjing, Xianlin Avenue is characterized by high and balanced traffic flow, rich and diverse plant configurations, and an open surrounding environment conducive to air flow. Therefore, typical sample areas and monitoring points of Xianlin Avenue in Qixia District, Nanjing were selected in this study. The variation law of PM2.5 concentrations in different sample areas in the transverse and longitudinal directions of the road during the morning peak and the evening peak was analyzed. The plant communities in different areas were investigated and analyzed, and their living vegetation volumes were calculated by multivariate equations. The correlation between the plant community, living vegetation volume, and PM2.5 concentration in different sample areas was discussed, in order to quantify the contribution rate of three-dimensional green quantity of plants to the reduction of particulate matter. The results of this study can provide theoretical guidance for the optimal design of urban road planting and the spatial layout of green areas around urban roads with the objective of airborne particulate matter purification.
2. Study Sample and Method
2.1. General Description of the Sampling Area
As shown in Figure 1, a typical sample section of Xianlin Avenue in Qixia District, Nanjing, Jiangsu Province, was selected as the research object of this paper. Xianlin Avenue was designed by EDAW in 2003 and completed in 2008, with a total length of 14.5 km. It is an east-west urban trunk road running through Xianlin University Town from the Maqun junction of the Shanghai-Nanjing Expressway and Nanjing Link in the west to the Qixiang River in the east, which is one of the river entry channels of Qinhuai East River. The width of median and lateral zoning is 26 m and 25 m respectively. The total area of Xianlin Avenue is about 1,900,000 m2, of which the green area is about 1,350,000 m2. It is the iconic natural landscape park avenue in Nanjing. Because the sampling plots are arranged on both sides of Xianlin Avenue, the pedestrian flow and traffic conditions are basically consistent. However, Xianlin Avenue is near the campus town school area, and there are no factories and other polluting enterprises nearby, so the impact of industrial pollution can be ignored.
Figure 1.
Location analysis of study area. (A): location analysis of Nanjing in Jiangsu province; (B): location of the sample section of. Xianlin Avenue in Nanjing; (C): enlarged view of sample section.
2.2. Distribution of Study Sample Areas and Monitoring Sites
As shown in Figure 2, eight representative sample areas (S1, S2, S3, S4, S5, S6, S7, S8) were selected for PM2.5 concentration monitoring for different planting combinations. Each sample area was 60 m long and 30 m wide. Planting combinations of the sample areas are detailed in Table A1. The six sample areas of S1, S2, S3, S4, S7, S8 were evenly distributed in Xianlin Avenue. For each sample area, six monitoring points were set at 10, 20, 30, 40, 50, and 60 m away from the subgrade respectively. For the two sample areas of S5 and S6, only three monitoring points were set at 10, 20, and 30 m away from the subgrade constrained by the transverse greening area. Due to the constraints of site conditions, the location of some monitoring points may be shifted from the ideal location. For example, the setting of monitoring points in S7 sample area was affected by the river. Monitoring points of S7-2, S7-3, and S7-4 were set at one side of the river and close to each other. The S8 sample area was affected by the subway access and vegetation cover during the setting of monitoring points. The S8-5 and S8-6 monitoring points were far away from other monitoring points. Although some monitoring points in this study were shifted from the original plan, there was no significant difference in vegetation types. Although, the sample size used in the article is small, we have set up several monitoring plots in the experimental sample area, and analyzed and calculated different monitoring data in the sample area, so we can greatly eliminate the impact of small sample size on the experimental results.
Figure 2.
Distribution of 8 sample areas in Xianlin Avenue.
2.3. Data Collection
- (1)
- PM2.5 concentration data collection
The monitoring equipment for this study was provided by the Physical and Chemical Analysis and Testing Center of Nanjing Forestry University. The equipment used was the Braun HOL-series air quality detector (measurement range: 0–999 μg/m3, resolution: 1.00 μg/m3, accuracy: ±15% of reading or ±20 μg/m3, temperature range: 0–50 °C), which was installed on a new-generation Ford Transit to achieve all-weather mobile real-time monitoring. To record the time and location of the collected data, each monitoring site was positioned using an Explorer GPS data logger (model V-1000). The monitoring time was 7:00–11:00 a.m. and 15:00–19:00 p.m. every day from 3 October to 9 October 2018. The monitoring content included PM2.5 concentration, data collection time, and climate index (temperature, humidity, wind direction, wind speed, barometric pressure, precipitation).
- (2)
- vegetation volume data collection
The data collection time for the living vegetation volume was 10:00 a.m. on 27 June 2018. It was the early summer when plants grew vigorously. The wind was small, and the visibility was high. A small fixed-wing UAV of DJI Phantom 4 Pro was used to take photos with 5472 × 3648 pixels and generate digital orthophoto maps (DOM). Combined with manual field investigation, the plant species, quantity, and specifications were determined. The regression models and living vegetation volume calculation equations [27] for different tree species were developed to calculate the living vegetation volume in different sample areas.
2.4. Analysis of PM2.5 Concentration Data
Statistical analysis was performed using Microsoft Office Excel 2016 and SPSS 16.0. One-way ANOVA box diagram linear fitting and t-test were used for comparison of mean PM2.5 concentrations at each monitoring site and significance of differences.
2.5. Calculation of Living Vegetation Volume
In general, commercial or non-commercial satellite may not represent the most current land use and greenery situation, especailly for the city under rapid development such as Nanjing. In order to capture the current situation of vegetation status along the road, an UAV was used to fly the study sites to collect raw images. With orthomosaic technology in Pix4D, we combined the single images into a high spatial resolution (cm level) image. Then the ENVI feature module of tree crown polygon is extracted after image processing. The software can extract spatial, spectral and texture feature images based on objects. After field investigation at each site, the tree species were determined and their crown diameters were verified. The height and surface area of shrubs and grasses shall be measured on site. Then the vegetation volumes of shrubs and grass is estimated by multiplying height and area.
The crown height can be calculated with the crown diameter-crown height experimental equations [28,29,30,31] within the attribute table in GIS environment. Zhou and Sun (1995) found that for each tree species, crown diameter and crown height has strong correlation and the equation [28] is shown as:
where y is the height of tree crown, x is the diameter of crown, a, b and c are constants and they are differ from tree species. The most current research outputs regarding the constants are available from Liang et al. (2017) (Table A3) [31]. After crown height calculation, it can be put into the experimental vegetation volume equations to calculate the volume for each trees. The common vegetation volume equation is:
where d is a constant varies for different tree species. There are other unique vegetation volume equations for certain species (Table A3). So, vegetation volume was calculated for each tree in the study area. For each study site, all the trees’ and shrubs’ vegetation volume were added up. Then vegetation volume per unit area were calculated for further analysis with PM2.5 concentration. When total vegetation volume were available, it is also possible to estimate the ecoservices provided by road greenbelts [32].
3. Results
3.1. Variation of PM2.5 Concentrations at Monitoring Points in Different Sample Areas
During this experiment, the wind level in Nanjing varied from grade 0 to grade 4, with an average of grade 2, which is equivalent to a wind speed of 1.6–3.3 m/s at the standard height of 10 m on open flat ground. Humidity varied from 26% to 95%, with an average of 64%; temperature changed from 13 °C to 26 °C, with an average of 19.7 °C. The wind direction was basically northeast. There was no precipitation at the time of monitoring except for 9 October. The changes in various climate indices were relatively flat and there were no significant extreme climate changes, which had no significant influence on the PM2.5 concentrations collected in this study (p > 0.05). The main tree species on Xianlin Avenue were five species of evergreen trees, including Cinnamomum camphora (L.) presl, Cedrus deodara (Roxb.) G. Don, and Magnolia grandiflora; seven species of deciduous trees, including Ginkgo biloba L. and Styphnolobium japonicum; six species of evergreen shrubs such as Photinia × fraseri Dress and Euonymus Japonicus var. aurea-marginatus; and five species of deciduous shrubs such as Lagerstroemia indica L. and Malus spectabilis. Among them, C. deodara, Osmanthus fragrans, C. camphora, Prunus serrulata var. lannesiana (Carri.) Makino, and Platanus acerifolia (Aiton) Willd. were in the first place in terms of relative abundance among all the trees studied. Camellia japonica var. aurea-marginatus, F. japonica, Ligustrum quihoui Carr., P. × fraseri, and Loropetalum chinense var. rubrum were the most abundant among all shrubs studied.
As shown in Figure 3A, the PM2.5 concentrations in the sample areas of S1, S2, S3, S4, S5, S6, S7 and S8 varied with the distance from the roadbed between 7:00–11:00 a.m. The variation ranges of mean deviation were 0.2–2.3 μg/m3, 0.3–7.5 μg/m3, 0.5–3.7 μg/m3, 1.3–15.0 μg/m3, 0.7–4.2 μg/m3, 1.0–16.5 μg/m3, 0.0–21.7 μg/m3, and 0.7–12.8 μg/m3, respectively. The PM2.5 concentrations varied from 1.0 to 29.3 μg/m3 (p < 0.01). The mean PM2.5 concentration in each sample area was in a descending order of S5 > S1 > S4 > S6 > S3 > S7 > S8 > S2. The S5 sample area had a large lawn area, while S1 and S2 sample areas were set up inside and outside a residential area, respectively. The S5 sample area mainly included Salix babylonica, Cerasus serrulata, Nerium oleander L., and Cynodon dactylon (L.) Pers.. The S1 sample area planting consisted of Celtis sinensis, Salix babylonica L., Populus simonii, Broussonetia papyrifera, O. fragrans, Ligustrum japonicum, Photinia × fraseri, Viburnum odoratissimu, Jasminum mesnyi, and C. dactylon. The S2 sample area was set up inside a residential area and was less disturbed by motor vehicles. Its plantings were mainly Cinnamomum camphora, Ginkgo biloba, O. fragrans, and a variety of small trees and shrubs. During this period, the PM2.5 concentrations at different monitoring points within the sample area did not change significantly as the monitoring location changed. The overall difference between each sample area was not significant.
Figure 3.
(A,B) Analysis of the relationship of PM2.5 concentration in different time intervals, (A) represents the morning, (B) represents the afternoon. (Note: Horizontal coordinate: Number of sample plots from S1 to S8. Vertical coordinate: PM2.5 concentration. The histogram with different colors represents the PM2.5 concentration of different distance from the roadway in sample area; The two horizontal lines respectively represent the national standard value of PM2.5 (the limit value of the first and second level standard PM2.5 concentration); the gray lines show the average PM2.5 concentration in each sample area. The same below).
As shown in Figure 3B, the PM2.5 concentrations in the sample areas of S1, S2, S3, S4, S5, S6, S7, and S8 varied with the distance from the roadbed between 3:00–7:00 p.m. The variation rangesof mean deviation were 0.2–3.8 μg/m3, 0.3–3.3 μg/m3, 0.0–4.8 μg/m3, 0.7–5.0 μg/m3, 0.5–2.0 μg/m3, 0.7–2.5 μg/m3, 0.3–3.0 μg/m3, and 0.0–4.7 μg/m3 respectively (p < 0.01). The PM2.5 concentrations varied from 0.2 to 12.5 μg/m3. The mean PM2.5 concentration in each sample area was in a descending order of S8 > S3 > S2 > S4 > S5 = S1 > S7 > S6. The vegetation composition of S3 and S8 sample areas was rich. The S8 sample area mainly included C. camphora, G. biloba, Lagerstroemia indica, C. serrulata, Metasequoia glyptostroboides, Ligustrum × vicaryi, P. × fraseri, Euonymus japonicus var. aurea-marginatus, Fatsia japonica, and C. dactylon. The S3 sample area planting was mainly composed of Ligustrum lucidum, C. serrulata, P. acerifolia, O. fragrans, Triadica sebifera, G. biloba, Ligustrum quihoui, E. japonicus var. aurea-marginatus, F. japonica, Arundo donax, and C. dactylon. There were few vegetation species in the S6 sample area, which were mainly O. fragrans, Oxalis corymbosa DC., and N. oleander along the river. The PM2.5 concentrations at different monitoring points in the sample area did not differ significantly with the change in the distance between the measurement points and the roadbed. The average PM2.5 concentration at the state station of Xianlin University Town in Nanjing in October 2018 was 35.3 μg/m3. The national level-2 limit of 24-h average PM2.5 concentration is 75 μg/m3. Thus, the PM2.5 concentration in each sample area was much higher than the monthly average value in Xianlin University Town (p < 0.01). Moreover, the PM2.5 concentration in the morning was higher than that in the afternoon (p < 0.01). In the morning, PM2.5 concentrations in sample areas of S1, S3, S4, S6, and S7 were higher than the national level 2 limit of 24-h average PM2.5 concentration (Table 1).
Table 1.
Concentration limits of basic items of ambient air pollutant PM2.5.
3.2. Variation of PM2.5 Concentrations at Different Monitoring Points at the Same Distance from the Roadbed
As shown in Figure 4A, with the change of plant community in the sample areas, Mean deviation of PM2.5 concentrations between 7:00–11:00 a.m. at monitoring points 10, 20, 30, 40, 50, and 60 m from the roadbed were in the ranges of 0.8–34.3 μg/m3, 1.0–26.6 μg/m3, 0.0–33.5 μg/m3, 2.0–30.0 μg/m3, 1.2–31.5 μg/m3, and 0.5–27.8 μg/m3, respectively. The differences in PM2.5 concentrations were significant (p < 0.01). The mean PM2.5 concentrations at different distances from the roadbed were in a descending order of 30 m > 20 m > 10 m > 60 m > 50 m > 40 m.
Figure 4.
(A,B) PM2.5 concentrations at different monitoring points in different sample areas in different periods. (A) represents the morning, (B) represents the afternoon. (Note: Horizontal coordinate: the distance from the road side were 10 m, 20 m, 30 m, 40 m, 50 m, 60 m, respectively; Vertical coordinate: PM2.5 concentration. The histogram with different colors represents the PM2.5 concentration in the S1–S8 sample area; the two horizontal lines respectively represent the national standard value of PM2.5 (the limit value of the first and second level standard PM2.5 concentration); the gray lines show the average PM2.5 concentration in each sample area. The same below).
As shown in Figure 4B, with the change of plant community in the sample areas, Mean deviation of PM2.5 concentrations between 3:00–7:00 p.m. at monitoring points 10, 20, 30, 40, 50, and 60 m from the roadbed were in the ranges of 0.5–13.8 μg/m3, 0.3–14.3 μg/m3, 0.2–14.2 μg/m3, 0.1–14.1 μg/m3, 0.2–10.7 μg/m3, and 0.3–13.2 μg/m3, respectively. The differences in PM2.5 concentrations were significant (p < 0.01). The PM2.5 concentrations at each monitoring point at different distances from the roadbed were in the following order: 40 m > 60 m > 10 m > 50 m > 30 m > 20 m. In general, the PM2.5 concentrations in each sample area were much higher than the monthly average concentrations in Xianlin University Town, and the PM2.5 concentrations in the morning were higher than those in the afternoon. Moreover, the PM2.5 concentrations in some sample areas in the morning exceeded the national level-2 limit of 24-h average concentration and were not uniform at different distances from the roadbed.
Figure 3 and Figure 4 show the PM2.5 concentrations at different monitoring points in the eight sample areas. It was found that the PM2.5 concentrations varied significantly among the eight sample areas. From 7:00 to 11:00 a.m., the highest PM2.5 concentration occurred in the sample area S5 (97.9 μg/m3), followed by sample area S1 (96.9 μg/m3). The lowest value was 68.6 μg/m3 in sample area S2. From 3:00 to 7:00 p.m., the highest PM2.5 concentration occurred in the sample area S8 (60.3 μg/m3), followed by sample areas S3 (59.4 μg/m3) and S2 (58.9 μg/m3). The lowest value was 47.7 μg/m3 in the sample area S6.
3.3. Living Vegetation Volume Distribution in Different Sample Areas of Xianlin Avenue
As shown in Figure 5, the living vegetation volume of the eight sample areas varied from 2038.73 m3 to 15,032.55 m3, with significant differences (p < 0.01). The descending order was as follows: S7 > S2 > S3 > S1 > S5 > S6 > S8 > S4. The S7 sample area had the highest living vegetation volume of 15,032.55 m3, while S4 had the lowest living vegetation volume of 2038.73 m3. The living vegetation volumes of S2 and S3 were close, which were 7789.83 m3 and 7358.99 m3, respectively. The mean living vegetation volume of the eight sample areas was 6260.39 m3.
Figure 5.
The distribution of living vegetation volumes of the 8 sample areas.
3.4. Analysis of Living Vegetation Volumes and PM2.5 Concentrations
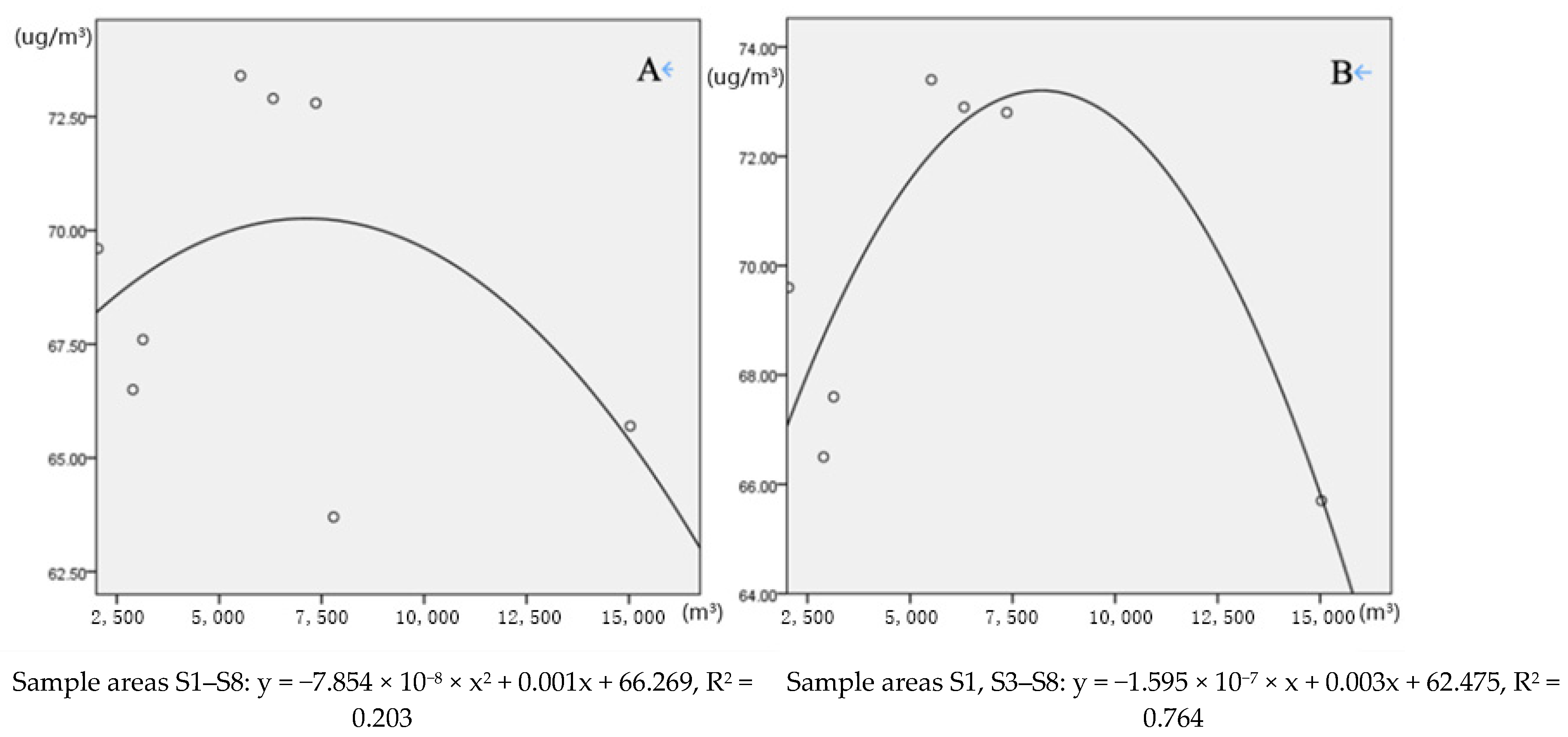
As shown in Figure 6, through systematic analysis of the three-dimensional green quantity and particulate matter concentration in 8 sample areas, the correlation between the three-dimensional green quantity and particulate matter is preliminarily estimated. In order to further clarify the correlation between the two, SPSS software is used to conduct multiple regression analysis and establish the regression model of PM2.5 concentration in the sample area. To study whether the quadratic function can better fit the relationship between the three-dimensional green quantity and PM2.5 concentration in the 8 sample areas. According to the regression equation, both living vegetation volumes and particulate matter concentration are important indicators. The determination coefficient R2 of living vegetation volumes in sample area S1–S8 is 0.203, indicating that it can explain 20.3% of PM2.5 concentration change, but it is not significant. After the removal of sample area S2, that is, the sample area less affected by motor vehicle exhaust compared with the other 7 sample areas, the living vegetation volumes of sample areas S1, S3–S8 and PM2.5 concentration were fitted. The determination coefficient R2 was found to be 0.764, which explained 76.4% of PM2.5 concentration change, and the regression relationship reached a very significant level. It shows that the regression equation has included the main sample areas and pollutants which can show the correlation between the two. It was found that after the removal of S2 sample area, the determination coefficients R2 all achieved a good function fitting, indicating that these sample areas can be used to accurately evaluate the contribution rate and correlation of living vegetation volumes corresponding to different green space plant configurations to the concentration of PM2.5 purification through the regression equation.
Figure 6.
The fitting relationship between the living vegetation volume and PM2.5 concentration in different sample areas.
4. Discussion
4.1. Variability Analysis of PM2.5 Concentrations at Different Monitoring Points in the Eight Sample Areas
The difference in the PM2.5 concentration between different monitoring points in each sample area was not significant as the PM2.5 concentration between 8 sample area. The analysis suggested that 3 main reasons to explain why The concentration of pollutants at different sampling points on the same road will vary greatly. The first one was the variability of planting community. Former research suggested that Different vegetation structure, plant species and vegetation coverage will affect the settlement capacity of road greenbelt to pollutants [33]. From 7:00 to 11:00 a.m, the highest PM2.5 concentration occurred in the sample area S5 (97.9 μg/m3). The lowest value was 68.6 μg/m3 in sample area S2. They had same plant structure, but the difference in plant species between S2 and S5 sampling points is reflected in that s2 is evergreen deciduous mixed forest, and S5 is broadleaf coniferous mixed forest [34]. Therefore, it can be analyzed that the ability of deciduous trees to reduce pm is stronger than that of coniferous trees. The second was the surrounding environment. The PM2.5 concentration of sample area inside the residential area (S8) is lower than that outside the residential area (S3), This is mainly because there are relatively few motor vehicles near the experimental area in the residential area, and the flow of polluted air is weak [35]. The last one was the Different interferences during data collection, such as visitors flowrate, Wind speed, etc. [36].
In addition, we found that the PM2.5 concentrations monitored in the morning were higher than those in the afternoon (p < 0.01). It was argued that PM2.5 is an aerosol substance with a certain gravity. At night, it settles near the ground and accumulates. On sunny days, it rises with the increase in ground temperature and the formation of warm air masses [37]. Zhang et al. (2019) also suggested that PM2.5 concentrations are high in the morning and start to decrease at noon and reach a minimum in the evening [38]. This explained why PM2.5 concentrations in the morning were higher than those in the afternoon in the sample areas.
The monitoring periods were the morning peak and the evening peak, with extensive motor vehicles, especially during the National Day holiday. In the morning peak, the PM2.5 concentrations were higher in S1, S4, S5 (sample areas in the northeast direction). In the evening peak, the PM2.5 concentrations were higher in S2, S3, S8 (sample areas in the southwest direction). It was caused by the west-south local dominant wind direction. This result was also consistent with the PM2.5 concentration variation trend in the eight sample areas. In addition, during the monitoring period, the average PM2.5 concentration in all sample areas of Xianlin Avenue was 69 μg/m3, which was much higher than the average PM2.5 concentration in Nanjing in October (34 μg/m3) (p < 0.01). The pollutants exceeded the standard.
4.2. Fitting Analysis of Living Vegetation Volumes and PM2.5 Concentrations in the Sample Areas
In this study, we selected sample areas with different configurations of trees, shrubs, and herbs with high, medium, and low relative abundance on Xianlin Avenue. Considering the influence of pedestrian and vehicle flow on motorways and bicycle lanes, S1 and S2 sample areas located inside and outside the residential area were setup in the study areas for comparative analysis. The S1 sample area was composed of a river, a pedestrian bridge connecting the community and Xianlin Avenue and plantings on both sides. The S2 sample area was composed of driveways, sidewalks, and road planting on both sides. As the entrance and exit of the community in the sample area were prohibited from motor vehicles, the S2 sample area was less disturbed by motor vehicles, which can be used as the control group for comparative analysis with other sample areas [23]. Among them, S1, S5, S6, and S7 had a certain area of water surface, which reduced the distribution of living vegetation volume within the sample area [39]. Many low herbs and a few trees and shrubs were planted in sample areas of S4 and S5. Due to their low height, herbs were regarded as 2D plane (lawn coverage) in the calculation of living vegetation volumes. The living vegetation volumes of S4 and S5 sample areas were 2038.73 m3 and 2891.348 m3, respectively. For S3, S4, and S8 sample areas, the configuration of trees, shrubs, and grasses and the different plant forms were the reasons for the variation of living vegetation volumes [40]. The S8 sample area was set inside the residential area and included roads and road plantings. The road plantings were rich in composition and consisted of roadside trees and shrubs and grass under trees. While other sample areas were mainly composed of green space [41]. The calculated living vegetation volume was 7789.836 m3.
As shown in Figure 6 and Figure 7, with the increase in living vegetation volume, the quadratic function increases monotonically in a certain interval and then decreases monotonically. It was speculated that only when it exceeds a certain range, the living vegetation volume will promote the reduction in PM2.5. Some sample areas are far from the regression curve, especially the sample area S2. The living vegetation volume in the S2 sample area ranked second among the eight sample areas, and its PM2.5 concentration was the lowest. This was related to the internal residential environment [42]. The S2 sample area was inside the residential area next to the green belt of Xianlin Avenue, mainly including motorways, sidewalks, and green belts on both sides of the road. Since motor vehicles were prohibited at the entrance and exit close to the green belt, the PM2.5 emissions from motor vehicles inside the sample area were less, thus the PM2.5 concentration was the lowest. Liu et al. (2015) found that the plant community with dense foliage was most effective in removing PM2.5 from the air [43], however, the plant community with high canopy density will lead to the accumulation of pollutants that cannot be spread. so that PM2.5 concentrations gradually decreased with the increase of living vegetation volume in a certain range [6].
Figure 7.
Relationship between vegetation volume and PM2.5 concentration.
5. Conclusions
By analyzing the PM2.5 concentrations at different monitoring points in eight sample areas, it was found that there were significant differences in PM2.5 concentrations among different sample areas (p < 0.01). From 7:00 to 11:00 a.m., the highest PM2.5 concentrations were found in S5 (97.9 μg/m3), followed by S1 (96.9 μg/m3). The lowest value was found in S2 (68.6 μg/m3). From 3:00 to 7:00 p.m., the highest PM2.5 concentrations were found in S8 (60.3 μg/m3), followed by sample areas S3 (59.4 μg/m3) and S2 (58.9 μg/m3). The lowest value was found in the sample area S6 (47.7 μg/m3). The difference of PM2.5 concentrations between different monitoring points in each sample area was not obvious (p > 0.05). The PM2.5 concentration at each monitoring point was higher in the morning than in the afternoon (p < 0.01).
Based on the UAV images, the field data, the method of “volume estimation based on the plane” and the “canopy diameter—canopy height” regression equation, the living vegetation volume was calculated and the correlation between the living vegetation volume and the variation of PM2.5 concentration in different areas were studied. The living vegetation volume in eight sample areas ranged from 2038.73 m3 to 15,032.55 m3, in the order of S7 > S2 > S3 > S1 > S5 > S6 > S8 > S4. Affected by different plant configurations, the living vegetation volumes in the sample areas were significantly different. The S6 and S7 sample areas were mainly composed of trees, the S1 sample area was mainly composed of trees and shrubs, the S3–S5 and S8 sample areas were mainly composed of trees, shrubs, and herbs, and the S2 sample area was mainly composed of roads, trees, and shrubs. The fitted curves of living vegetation volumes and PM2.5 concentrations in S1 and S3–S8 sample areas explained 76.4% of the variation in PM2.5 concentration. With the increase of living vegetation volume, the quadratic function was monotonically increasing and then monotonically decreasing in a certain interval. It was speculated that only beyond a certain range, the living vegetation volume would have a certain contribution to the reduction of PM2.5. Sowe proposed that the government can plan a fixed proportion of arbor, shrub and grass communities in road greening policy formulation, and the green amount of green space should also be controlled within a certain range, and plant planting should not be too intensive. We also hope that the research results can provide reference for the local government’s eco-environment-related policies.
Author Contributions
C.L.: Data curation, Software, Writing—Review & Editing, Visualization. A.D.: Formal analysis, Writing—Original Draft, Validation. H.Z.: Investigation. Q.S.: Funding acquisition, Methodology, Supervision. Z.Z.: Conceptualization, Project administration, Resources. All authors have read and agreed to the published version of the manuscript.
Funding
This research was supported by the Social Science Foundation Project of Jiangsu Province (21GLC002), Ministry of Education Humanities and Social Sciences Research “Study on the new mechanism of urban green space ecological benefit Measurement and high-quality collaborative development: A case study of Nanjing Metropolitan Area” (21YJCZH131), The Natural Science Foundation of the Jiangsu Higher Education Institutions of China (21KJB220008), National Natural Science Foundation of China (32101582), Natural Science Foundation of Jiangsu Province of China (BK20210613).
Institutional Review Board Statement
Not applicable.
Informed Consent Statement
Not applicable.
Data Availability Statement
The datasets used and/or analyzed during the current study are available from the corresponding author on reasonable request.
Conflicts of Interest
The authors declare that they have no known competing interest.
Appendix A
Table A1.
Land cover types in sample areas.
Table A1.
Land cover types in sample areas.
| Type of Land Cover | ||||||
|---|---|---|---|---|---|---|
| Sample Area | Tree | Shrub | Herb | Road | River | Living Vegetation Volume Distribution in Sample Areas |
| S1 | Celtis sinensis, Salix babylonica, Populus simonii, Broussonetia papyrifera, Osmanthus fragrans | Ligustrum japonicum, Photinia × fraseri, Viburnum odoratissimum, Jasminum mesnyi | Cynodon dactylon | Bicycle lane, sidewalk | Yes | ![]() |
| S2 | Cinnamomum camphora, Ginkgo biloba, Osmanthus fragrans, Amygdalus persica, Myrica rubra | Loropetalum chinense var. rubrum, Nandina domestica, Euonymus japonicus var. aurea-marginatus, Prunus cerasifera f. atropurpurea, Rhododendron simsii, Ligustrum quihoui, Pittosporum tobira | Ophiopogon japonicus | Motorway, bicycle lane, sidewalk | No | ![]() |
| S3 | Ligustrum lucidum, Cerasus serrulata, Platanus acerifolia, Osmanthus fragrans, Triadica sebifera, Ginkgo biloba | Ligustrum quihoui, Euonymus japonicus var. aurea-marginatus, Fatsia japonica, Arundo donax, Rosa chinensis, Pittosporum tobira | Cynodon dactylon | Bicycle lane, sidewalk | No | ![]() |
| S4 | Cinnamomum camphora, Cedrus deodara | Euonymus japonicus var. aurea-marginatus, Platycladus orientalis, Photinia × fraseri, Acer palmatum, Pittosporum tobira | Oxalis corymbosa, Coreopsis basalis, Pennisetum alopecuroides, Senecio cineraria, Miscanthus sacchariflorus | Bicycle lane, sidewalk | No | ![]() |
| S5 | Salix babylonic, Cerasus serrulata | Nerium oleander | Cynodon dactylon | Bicycle lane, sidewalk | Yes | ![]() |
| S6 | Osmanthus fragrans, Broussonetia papyrifera | Nerium oleander | Oxalis corymbosa | Bicycle lane, sidewalk | Yes | ![]() |
| S7 | Platanus acerifolia, Cedrus deodara, Pterocarya stenoptera, Metasequoia glyptostroboides | Photinia serratifolia, Boehmeria nivea | Cynodon dactylon | Bicycle lane, sidewalk | Yes | ![]() |
| S8 | Cinnamomum camphora, Ginkgo biloba, Lagerstroemia. indica, Cerasus serrulata, Metasequoia glyptostroboides | Ligustrum × vicaryi, Photinia× fraseri, Euonymus japonicus var. aurea -marginatus, Fatsia japonica, Rhododendron simsii, Yucca gloriosa, Gardenia jasminoides, Hypericum monogynum, Pittosporum tobira | Cynodon dactylon | Bicycle lane, sidewalk | No | ![]() |
Table A2.
Equation of “crown diameter-crown height” for 23 tree species.
Table A2.
Equation of “crown diameter-crown height” for 23 tree species.
| NO. | Tree Species | Equation | Parameter | Correlation Coefficient | Crown Polygon Range (m) | |||
|---|---|---|---|---|---|---|---|---|
| a | b | c | R | R2 | ||||
| 1 | Salix babylonica | 0.832 | 0.042 | 0.758 | 0.758 | 0.575 ** | 1.95–10.67 | |
| 2 | Platanus acerifolia | −9.507 | 0.805 | - | - | 0.647 ** | 4.62–20.18 | |
| 3 | Pterocarya stenoptera | −4.23 | 0.592 | - | - | 0.350 ** | 3.0–19.35 | |
| 4 | Osmanthus fragrans | 11.296 | 0.004 | 0.918 | 0.918 | 0.843 ** | 1.25–10 | |
| 5 | Sophora japonica Linn. | 0.654 | 0.311 | 0.634 | 0.634 | 0.402 ** | 3.96–9.93 | |
| 6 | Magnolia grandiflora L. | −5.383 | 0.858 | - | - | 0.737 ** | 2.8–8.45 | |
| 7 | Acer palmatum | 1.927 | 0.604 | 0.926 | 0.926 | 0.858 ** | 0.8–7.25 | |
| 8 | Nerium oleander | 0.632 | 0.116 | 0.831 | 0.831 | 0.691 ** | 1.1–4.45 | |
| 9 | Ligustrum japonicum | 0.846 | 0.95 | - | - | 0.902 ** | 1.3–8.57 | |
| 10 | Cinnamomum camphora | 0.837 | 0.381 | 0.883 | 0.883 | 0.779 ** | 1.9–15.29 | |
| 11 | Cedrus deodara | −7.922 | 0.873 | - | - | 0.762 ** | 3.4–9.6 | |
| 12 | Ginkgo biloba | 0.304 | 0.603 | 0.891 | 0.891 | 0.793 ** | 1.3–22.68 | |
| 13 | Cerasus serrulata | 0 | 0 | - | - | 0 | 1.35–7.99 | |
| 14 | Lagerstroemia. indica | 1.172 | 0.305 | 0.381 | 0.381 | 0.145 ** | 1.1–2.5 | |
| 15 | Prunus cerasifera f. atropurpurea | −1.421 | 0.733 | - | - | 0.538 ** | 1.63–6.1 | |
| 16 | Triadica sebifera | 0.426 | 0.285 | 0.752 | 0.752 | 0.566 ** | 2.65–11.8 | |
Note: x is the crown diameter; Y is crown height; y = 1/Y; b is the regression coefficient; a, c is the coefficient; R is the correlation coefficient; ** Indicates that the level of p < 0.01 is extremely significant.
Table A3.
Formula table of canopy volume in different canopy forms.
Table A3.
Formula table of canopy volume in different canopy forms.
| NO. | Shape of Canopy | Formula of Canopy Volume | Species |
|---|---|---|---|
| 1 | Ovoid | Broussonetia papyrifera, Ulmus pumilaL., Acer monoMaxim., Malus halliana Koehne | |
| 2 | Conic | Sabina chinensis (L.) Ant., Metasequoia glyptostroboides, Ilex latifolia Thunb. | |
| 3 | Spherical | Celtis sinensis Pers, PhotiniaserrulataLindl., Prunus persica ‘Duplex’, Eriobotrya japonica (Thunb.) Lindl | |
| 4 | Hemispherical | Ailanthus altissima (Mill.) Swingle | |
| 5 | Spheric fan-shaped | Melia azedarach L., Albizia julibrissin Durazz., Armeniaca mume Sieb. | |
| 6 | Bulbous imperfection | —— | |
| 7 | Cylindrical | —— |
Note: x—crown width (m), y—crown height (m).
Table A4.
Table of One-way ANOVA.
Table A4.
Table of One-way ANOVA.
| ANOVA | ||||||
|---|---|---|---|---|---|---|
| Sum of Squares | Variance | Mean Square | F | Data Significance | ||
| S7 | Between groups | 15,553.871 | 33 | 471.329 | 1.711 | 0.217 |
| Within group | 2203.600 | 8 | 275.450 | |||
| total | 17,757.471 | 41 | ||||
| S1 | Between groups | 19,877.905 | 33 | 602.361 | 3.273 | 0.041 |
| Within group | 1472.500 | 8 | 184.063 | |||
| total | 21,350.405 | 41 | ||||
| S3 | Between groups | 48,437.494 | 33 | 1467.803 | 13.894 | 0.000 |
| Within group | 845.125 | 8 | 105.641 | |||
| total | 49,282.619 | 41 | ||||
| S4 | Between groups | 49,636.476 | 33 | 1504.136 | 1.990 | 0.154 |
| Within group | 6046.000 | 8 | 755.750 | |||
| total | 55,682.476 | 41 | ||||
| S8 | Between groups | 57,022.601 | 33 | 1727.958 | 11.607 | 0.001 |
| Within group | 1191.000 | 8 | 148.875 | |||
| total | 58,213.601 | 41 | ||||
| S5 | Between groups | 53,684.294 | 33 | 1626.797 | 2.493 | 0.088 |
| Within group | 5219.569 | 8 | 652.446 | |||
| total | 58,903.863 | 41 | ||||
| S6 | Between groups | 22,810.476 | 33 | 691.227 | 2.589 | 0.080 |
| Within group | 2136.000 | 8 | 267.000 | |||
| total | 24,946.476 | 41 | ||||
Table A5.
Table of Single sample statistics.
Table A5.
Table of Single sample statistics.
| Single Sample Statistics | ||||
|---|---|---|---|---|
| Number of Cases | Average Value | Standard Deviation | Mean Value of Standard Error | |
| S7 | 42 | 82.9857 | 20.81127 | 3.21125 |
| S1 | 42 | 96.8810 | 22.81976 | 3.52117 |
| S4 | 42 | 89.4762 | 36.85253 | 5.68647 |
| S8 | 42 | 72.7262 | 37.68082 | 5.81428 |
| S2 | 42 | 68.5952 | 40.83701 | 6.30129 |
| S6 | 42 | 87.4762 | 24.66679 | 3.80617 |
| S3 | 42 | 86.2619 | 34.67009 | 5.34971 |
| S5 | 42 | 73.3690 | 37.90356 | 5.84865 |
Table A6.
Table of Single sample test.
Table A6.
Table of Single sample test.
| Single Sample Test | ||||||
|---|---|---|---|---|---|---|
| Inspection Value = 0 | ||||||
| t | Variance | Sig. (Double) | Mean Value Difference | 95% Confidence Interval of Difference | ||
| Lower Limit | Upper Limit | |||||
| S7 | 25.842 | 41 | 0.000 | 82.98571 | 76.5005 | 89.4710 |
| S1 | 27.514 | 41 | 0.000 | 96.88095 | 89.7698 | 103.9921 |
| S4 | 15.735 | 41 | 0.000 | 89.47619 | 77.9921 | 100.9602 |
| S8 | 12.508 | 41 | 0.000 | 72.72619 | 60.9840 | 84.4684 |
| S2 | 10.886 | 41 | 0.000 | 68.59524 | 55.8695 | 81.3209 |
| S6 | 22.983 | 41 | 0.000 | 87.47619 | 79.7895 | 95.1629 |
| S3 | 16.125 | 41 | 0.000 | 86.26190 | 75.4579 | 97.0659 |
| S5 | 12.545 | 41 | 0.000 | 73.36905 | 61.5575 | 85.1806 |
References
- Zhang, X.Y.; Sun, J.Y.; Wang, Y.Q.; Li, W.J.; Zhang, Q.; Wang, W.G.; Quan, J.N.; Cao, G.L.; Wang, J.Z.; Yang, Y.Q.; et al. Factors contributing to haze and fog in China. Chin. Sci. Bull. 2013, 58, 1178–1187. [Google Scholar] [CrossRef]
- Jia, C.; Tong, S.; Zhang, X. Atmospheric oxidizing capacity in autumn Beijing: Analysis of the O3 and PM2.5 episodes based on observation-based model. J. Environ. Sci. 2023, 124, 557–569. [Google Scholar] [CrossRef] [PubMed]
- Wang, Y.N.; Jia, C.H.; Tao, J.; Zhang, L.; Liang, X.; Ma, J.; Gao, H.; Huang, T.; Zhang, K. Chemical characterization and source apportionment of PM2.5 in a semi-arid and petrochemical-industrialized city Northwest China. Sci. Total Environ. 2016, 573, 1031–1040. [Google Scholar] [CrossRef] [PubMed]
- Xu, X.M.; Zhang, H.F.; Chen, J.M.; Li, Q.; Wang, X.; Wang, W.; Zhang, Q.; Xue, L.; Ding, A.; Mellouki, A. Six sources mainly contributing to the haze episodes and health risk assessment of PM2.5 at Beijing suburb in winter 2016. Ecotoxicol. Environ. Saf. 2018, 166, 146–156. [Google Scholar] [CrossRef]
- Wang, S. Effects of COVID-19 Control Measures on the Concentration and Composition of PM2.5-Bound Polycyclic Aromatic Hydrocarbons in Shanghai. Atmosphere 2023, 14, 95. [Google Scholar]
- Li, Y.; Liao, Q.; Zhao, X.G.; Bai, Y.; Tao, Y. Influence of PM2.5 pollution on health burden and economic loss in China. Environ. Sci. 2020, 42, 1688–1695. [Google Scholar] [CrossRef]
- Nanjing Ecological Environment Bureau. 2016 Nanjing Environment Status Bulletin. Available online: http://hbj.nanjing.gov.cn/njshjbhj/201706/t20170605_1325805.html (accessed on 19 December 2020).
- Nanjing Ecological Environment Bureau. 2017 Nanjing Environment Status Bulletin. (2018-06-05). Available online: Refhttp://hbj.nanjing.gov.cn/njshjbhj/201806/t20180605_1325808.html (accessed on 19 December 2020).
- Nanjing Ecological Environment Bureau. 2018 Nanjing Environment Status Bulletin. (2019-06-05). Available online: http://hbj.nanjing.gov.cn/njshjbhj/201906/t20190605_1559172.html (accessed on 19 December 2020).
- Nanjing Ecological Environment Bureau. 2019 Nanjing Environment Status Bulletin. (2020-06-03). Available online: http://hbj.nanjing.gov.cn/njshjbhj/202006/t20200603_1903785.html (accessed on 19 December 2020).
- Neofytou, P.; Venetsanos, A.G.; Rafailidis, S.; Bartzis, J.G. Numerical investigation of the pollution dispersion in an urban street canyon. Environ. Model. Softw. 2004, 21, 525–531. [Google Scholar] [CrossRef]
- Maji, K.J.; Ye, W.F.; Arora, M.; Nagendra, S.S. PM2.5-related health and economic loss assessment for 338 Chinese cities. Environ. Int. 2018, 121, 392–403. [Google Scholar] [CrossRef]
- Liu, C.Z.; Dai, A.Q.; Ji, Y.; Sheng, Q.Q.; Zhu, Z.L. Effect of Different Plant Communities on Fine Particle Removal in an Urban Road Greenbelt and Its Key Factors in Nanjing, China. Sustainability 2023, 15, 156. [Google Scholar] [CrossRef]
- Su, T.H.; Lin, C.S.; Lu, S.Y.; Lin, J.C.; Wang, H.H.; Liu, C.P. Effect of air quality improvement by urban parks on mitigating PM2.5 and its associated heavy metals: A mobile-monitoring field study. J. Environ. Manag. 2022, 323, 116283. [Google Scholar] [CrossRef]
- Beckett, K.P.; Freer-Smith, P.H.; Taylor, G. Effective tree species for local air quality management. J. Arboric. 2000, 26, 12–19. [Google Scholar]
- Freer-Smith, P.H.; El-Khatib, A.; Taylor, G. Capture of particulate pollution by trees: A comparison of species typical of semi-arid Areas (Ficus nitida and Eucalyptus globulus) with European and North American species. Water Air Soil Pollut. 2004, 155, 173–187. [Google Scholar] [CrossRef]
- Nowak, D.J.; Hirabayashi, S.; Bodine, A.; Hoehn, R. Modeled PM2.5 Removal by trees in ten US cities and associated health effects. Environ. Pollut. 2013, 178, 395–402. [Google Scholar] [CrossRef]
- Cavanagh, J.A.E.; Zawar-Reza, P.; Wilson, J.G. Spatial attenuation of ambient particulate matter air pollution within an urbanised native forest patch. Urban For. Urban Green. 2009, 8, 21–30. [Google Scholar] [CrossRef]
- Shu, M.; Si, R.M.J.; Jiang, T.; Zhao, X.L.; Yang, M.; Jin, C.Y.; Li, K.X.; Sun, M.Y. Retention capacity of the main urban afforest plant species for atmospheric particles in northwest of Liaoning province. J. Soil Water Conserv. 2018, 32, 297–303+309. [Google Scholar] [CrossRef]
- Li, X.X.; Tang, L.Y.; Peng, W.; Chen, J.X.; Ma, X. Estimation method of urban green space living vegetation volume based on backpack light detection and ranging. J. Appl. Ecol. 2022, 33, 2777–2784. [Google Scholar] [CrossRef]
- Chen, M.; Dai, F. Vegetation quantity in urban neighborhoods and its regulating effect on PM2.5: The case of Wuhan City. Chinese Society of Landscape Architecture. In Proceedings of the 2018 Annual Conference of the Chinese Society of Landscape Architecture, Guiyang, China, 20–22 October 2018. [Google Scholar]
- Miao, C.; Yu, S.; Zhang, Y.; Hu, Y.; He, X.; Chen, W. Assessing outdoor air quality vertically in an urban street canyon and its response to microclimatic factors. J. Environ. Sci. 2023, 124, 923–932. [Google Scholar] [CrossRef]
- Sheng, Q.Q. Practical evaluation of the capability of garden plants to reduce atmospheric NO2 and experimental study on the tolerance mechanism. Nanjing For. Univ. 2018, 46, 127–134. [Google Scholar]
- Leonard, R.J.; McArthur, C.; Hochuli, D.F. Particulate matter deposition on roadside plants and the importance of leaf trait combinations. Urban For. Urban Green. 2016, 20, 249–253. [Google Scholar] [CrossRef]
- Song, C.; He, J.; Wu, L.; Jin, T.; Chen, X.; Li, R.; Ren, P.; Zhang, L.; Mao, H. Health burden attributable to ambient PM2.5 in China. Environ. Pollut. 2017, 223, 575–586. [Google Scholar] [CrossRef]
- Luo, G.; Wang, T.J.; Zhao, M.; Wang, D.Y.; Cao, Y.Q.; Chen, C. Chemical composition and source apportionment of fine particulate matter in Xianlin area of Nanjing based on on-line measurement. China Environ. Sci. 2020, 40, 1857–1868. [Google Scholar] [CrossRef]
- Guo, H.W.; Ding, G.D.; Zhao, Y.Y.; Gao, G.L.; Chen, M.X.; Wang, H.Y.; Lai, W.H. Diurnal variations in the mass concentration of suspended particulate matter (PM2.5) of different urban green space. Sci. Soil Water Conserv. 2013, 11, 99–103. [Google Scholar] [CrossRef]
- Zhou, J.; Sun, T. Study on remote sensing model of three dimensional green biomass and the estimation of environmental benefits of greenery. Remote Sens. Environ. 1995, 10, 162–174. [Google Scholar]
- Zhou, J. Study on the indexes of urban plant community. J. Chin. Landsc. Archit. 1998, 14, 61–63. [Google Scholar]
- Zhou, Y.; Zhou, J. The urban eco-environ-mental estimating system based on 3-dimension vegetation quantity. J. Chin. Landsc. Archit. 2001, 5, 78–80. [Google Scholar]
- Liang, H.; Li, W.; Zhang, Q.; Zhu, W.; Chen, D.; Liu, J.; Shu, T. Using unmanned aerial vehicle data to assess the three-dimension green quantity of urban green space: Acase study in Shanghai, China. Landsc. Urban Plan. 2017, 164, 81–90. [Google Scholar] [CrossRef]
- Sheng, Q.; Zhang, Y.; Zhu, Z.; Li, W.; Xu, J.; Tang, R. An experimental study to quantify road greenbelts and their association with PM2.5 concentration along city main roads in Nanjing, China. Sci. Total Environ. 2019, 667, 710–717. [Google Scholar] [CrossRef]
- Zhang, L.Y.; Qin, H. Analysis of dust-retention effect on PM2.5 and its variation in green belts of urban roads. Chin. Lands. Archit. 2015, 31, 106–110. [Google Scholar] [CrossRef]
- Kim, S.; Lee, S.; Hwang, K.; An, K. Exploring sustainable street tree planting patterns to be resistant against fine particles (PM2.5). Sustainability 2017, 9, 1709. [Google Scholar] [CrossRef]
- Viljami, V.; Thomas, H.W.; Zhao, W.L.; Yli-Pelkonen, V.; Mikola, J.; Pouyat, R.; Setälä, H. The effects of trees on air pollutant levels in peri-urban near-road environments. Urban For. Urban Green. 2018, 30, 62–71. [Google Scholar] [CrossRef]
- Jeanjean, A.P.R.; Monks, P.S.; Leigh, R.J. Modelling the effectiveness of urbantrees and grass on PM2.5 reduction via dispersion and deposition at a cityscale. Atmos. Environ. 2016, 147, 1–10. [Google Scholar] [CrossRef]
- Wang, J.J.; Xia, X.S.; Cheng, X.F. Temporal and spatial distribution characteristics and influencing factors of PM2.5 concentrations in Hefei City. Resour. Environ. Yangtze Basin 2020, 29, 1413–1421. [Google Scholar] [CrossRef]
- Zhang, B.B.; Wu, W.Z.; Sun, F.B.; Qi, F.; Yan, H.; Shao, F. A study of mutative factors to PM2.5 in green spaces with different arrangements of plants in winter. J. Chin. Urban For. 2019, 17, 25–30. [Google Scholar]
- Li, X.Y.; Zhao, S.T.; Li, Y.M.; Guo, J. The evaluation of particulate matter retention capability of common ornamental plants in the north of China. Chin. Landsc. Archit. 2015, 3, 72–75. [Google Scholar] [CrossRef]
- Wang, F.; Xiong, S.G.; Li, H.Y.; Li, L.L.; Zhang, Q.M.; He, M.X. Study on dust-retention capacity of major afforestation tree species in Tianjin Airport Economic Zone. J. Arid. Land Resour. Environ. 2015, 29, 100–104. [Google Scholar] [CrossRef]
- Sun, X.D.; Li, H.M.; Guo, X. Atmospheric particulate retention capacity of ten shrub species. Chin. Environ. Eng. 2017, 11, 1047–1054. [Google Scholar] [CrossRef]
- Lu, W.; Wang, H.L.; Zhu, B.; Shi, S.S.; Kang, H. Distribution characteristics of PM2.5 mass concentration and their impacting factors including meteorology and transmission in North Suburb of Nanjing during 2014 to 2016. Acta Sci. Circumst. 2019, 39, 1039–1048. [Google Scholar] [CrossRef]
- Liu, X.H.; Yu, X.X.; Zhang, Z.M. PM2.5 concentration differences between various forest types and its correlation with forest structure. Atmosphere 2015, 6, 1801–1815. [Google Scholar] [CrossRef]
Disclaimer/Publisher’s Note: The statements, opinions and data contained in all publications are solely those of the individual author(s) and contributor(s) and not of MDPI and/or the editor(s). MDPI and/or the editor(s) disclaim responsibility for any injury to people or property resulting from any ideas, methods, instructions or products referred to in the content. |
© 2023 by the authors. Licensee MDPI, Basel, Switzerland. This article is an open access article distributed under the terms and conditions of the Creative Commons Attribution (CC BY) license (https://creativecommons.org/licenses/by/4.0/).














