No-Tillage Combined with Appropriate Amount of Straw Returning Increased Soil Biochemical Properties
Abstract
:1. Introduction
2. Materials and Methods
2.1. Experimental Site
2.2. Experimental Design
2.3. Measurements
2.4. Statistical Analysis
3. Results
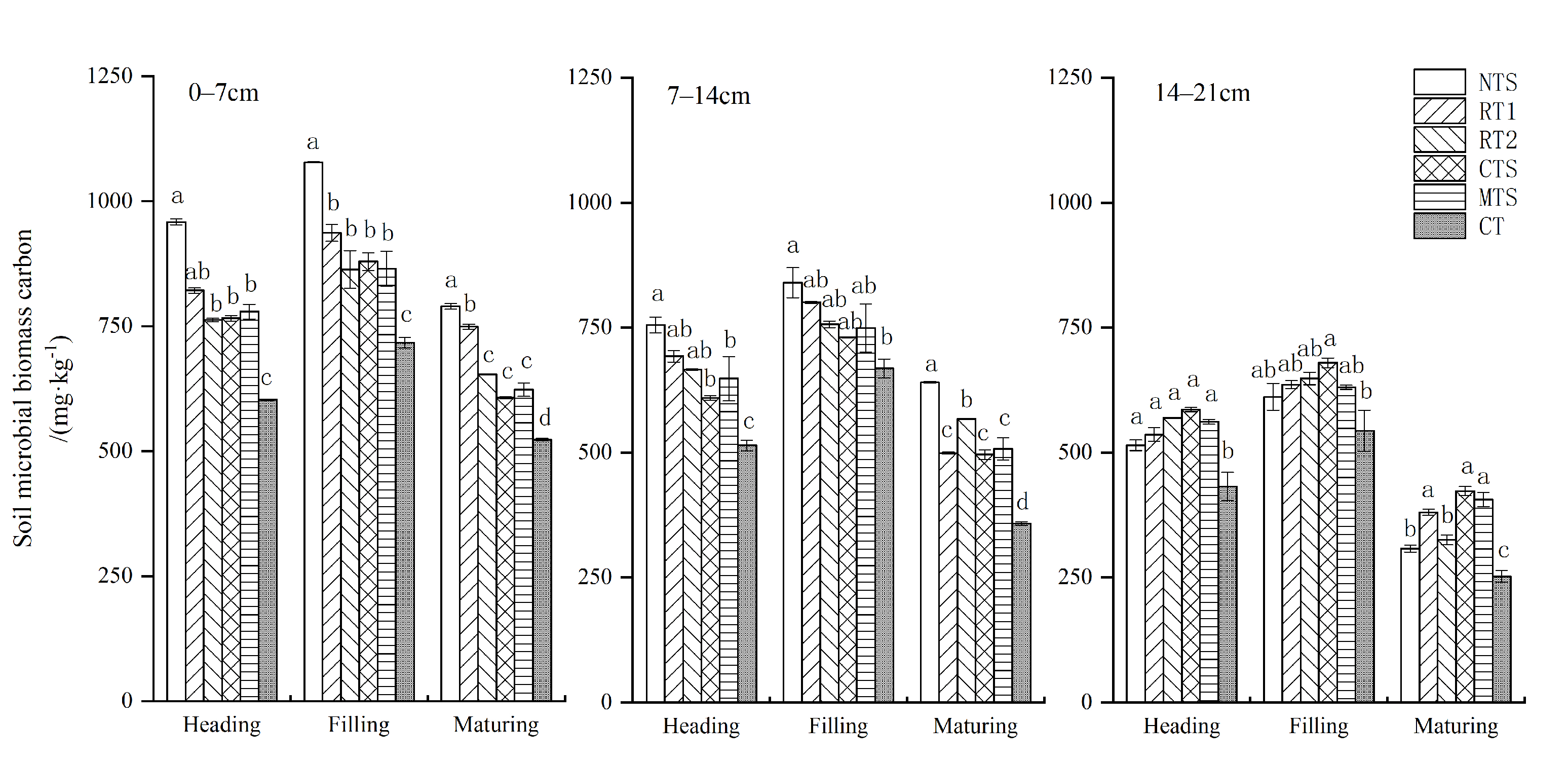
3.1. The Content of SMBC at the Late Growth Stages of Rice
3.2. The Content of SMBN at the Late Growth Stages of Rice
3.3. The Content of TN at the Late Growth Stages of Rice
3.4. The Concentration of SOC at the Late Growth Stages of Rice
3.5. The Ratio of Microbial Biomasses at Rice Maturity
3.6. Rice Yield and Yield Components
4. Discussion
4.1. Effects of Tillage and Straw Returning on SMBC, SMBN, TN, and SOC
4.2. Effects of Tillage and Straw Returning on SMBC/SMBN, SMQ, and SMBN/TN
5. Conclusions
Author Contributions
Funding
Data Availability Statement
Acknowledgments
Conflicts of Interest
References
- Han, Y.; Anderson, A. The Problem of Rice Straw Waste: A Possible Feed through Fermentation. Econ. Bot. 1974, 28, 338–344. [Google Scholar] [CrossRef]
- Jonathan, S.G.; Okorie, A.B.O.; Oyelakin, A.O.; Akinfemi, A. Biodegradation of agricultural wastes (rice straw and sorghum stalk) into substrates of utilizable products using white rot fungus (Pleurotus florida). Nat. Sci. 2012, 10, 131–137. [Google Scholar]
- Ren, J.; Yu, P.; Xu, X. Straw Utilization in China-Status and Recommendations. Sustainability 2019, 11, 1762. [Google Scholar] [CrossRef] [Green Version]
- Lin, P.; Engling, G.; Yu, J.Z. Humic-like substances in fresh emissions of rice straw burning and in ambient aerosols in the Pearl River Delta Region, China. Atmos. Chem. Phys. 2010, 10, 6487–6500. [Google Scholar] [CrossRef] [Green Version]
- Huang, L.; Zhu, Y.; Wang, Q.; Zhu, A.; Liu, Z.; Wang, Y.; Allen, D.T.; Li, L. Assessment of the effects of straw burning bans in China: Emissions, air quality, and health impacts. Sci. Total Environ. 2021, 789, 147935. [Google Scholar] [CrossRef]
- Zhaoqiang, J.; Tariq, S.; Li, Z.; Hongyan, L.; Shaobing, P.; Lixiao, N. Effect of straw returning on soil organic carbon in rice–wheat rotation system: A review. Food Energy Secur. 2020, 9, e200. [Google Scholar]
- Baquy, M.A.; Jiang, J.; Xu, R. Biochars derived from crop straws increased the availability of applied phosphorus fertilizer for maize in Ultisol and Oxisol. Environ. Sci. Pollut. Res. Int. 2020, 27, 5511–5522. [Google Scholar] [CrossRef]
- Peng, W.; Chu, C.; Zhong, Y.; Lai, W.; Zhang, H.; Huang, L.; Shi, X.; Wei, J. Effect of Sweet Corn Straw Returning to the Field on Soil Fertility, Yield and Benefit. Meteorol. Environ. Res. 2016, 7, 59–63. [Google Scholar]
- Malhi, S.S.; Nyborg, M.; Solberg, E.D.; Dyck, M.F.; Puurveen, D. Improving crop yield and N uptake with long-term straw retention in two contrasting soil types. Field Crops Res. 2011, 124, 378–391. [Google Scholar] [CrossRef]
- Berhane, M.; Xu, M.; Liang, Z.; Shi, J.; Wei, G.; Tian, X. Effects of long-term straw return on soil organic carbon storage and sequestration rate in North China upland crops: A meta-analysis. Glob. Chang. Biol. 2020, 26, 2686–2701. [Google Scholar] [CrossRef]
- Bai, N.; Zhang, H.; Zhou, S.; Sun, H.; Zhao, Y.; Zheng, X.; Li, S.; Zhang, J.; Lv, W. Long-term effects of straw return and straw-derived biochar amendment on bacterial communities in soil aggregates. Sci. Rep. 2020, 10, 7891. [Google Scholar] [CrossRef]
- Dobermann, A.; Cassman, K.G.; Cruz, P.C.; Adviento, M.A.; Pampolino, M.F. Fertilizer inputs, nutrient balance, and soil nutrient-supplying power in intensive, irrigated rice systems. II: Effective soil K-supplying capacity. Nutr. Cycl. Agroecosyst. 1996, 46, 11–21. [Google Scholar] [CrossRef]
- Campbell, C.A.; Biederbeck, V.O.; Mcconkey, B.G.; Curtin, D.; Zentner, R.P. Soil quality—Effect of tillage and fallow frequency. Soil organic matter quality as influenced by tillage and fallow frequency in a silt loam in southwestern Saskatchewan. Soil Biol. Biochem. 1999, 31, 1–7. [Google Scholar] [CrossRef]
- Muhammad, A.; Rattan, L. Tillage and drainage impact on soil quality: II. Tensile strength of aggregates, moisture retention and water infiltration. Soil Tillage Res. 2008, 103, 364–372. [Google Scholar]
- Naijuan, H.; Baojun, W.; Zehai, G.; Baorui, T.; Zhengwen, Z.; Shuijin, H.; Liqun, Z.; Yali, M. Effects of different straw returning modes on greenhouse gas emissions and crop yields in a rice–wheat rotation system. Agric. Ecosyst. Environ. 2016, 223, 115–122. [Google Scholar]
- Margaret, S.T.; Susan, E.T.; Oliver, A.C.; Peter, M.V.; David, M.H. Mineral control of soil organic carbon storage and turnover. Nat. Int. Wkly. J. Sci. 1997, 389, 170–173. [Google Scholar]
- Vásquez-Murrieta, M.S.; Govaerts, B.; Dendooven, L. Microbial biomass C measurements in soil of the central highlands of Mexico. Appl. Soil Ecol. 2006, 35, 432–440. [Google Scholar] [CrossRef]
- Marumoto, T.; Anderson, J.P.E.; Domsch, K.H. Mineralization of nutrients from soil microbial biomass. Pergamon 1982, 14, 469–475. [Google Scholar] [CrossRef]
- Xiaohua, W.; Haishui, Y.; Jian, L.; Junsong, W.; Weiping, C.; Jie, W.; Liqun, Z.; Xinmin, B. Effects of ditch-buried straw return on soil organic carbon and rice yields in a rice–wheat rotation system. Catena 2015, 127, 56–63. [Google Scholar]
- Claudia, P.J.S.; Henrique, P.D.S.; Rainoldo, K.; Bruno, J.R.A.; Segundo, U.; Robert, M.B. Change in carbon and nitrogen stocks in soil under 13 years of conventional or zero tillage in southern Brazil. Soil Tillage Res. 2003, 76, 39–58. [Google Scholar]
- Tristram, O.W.; Wilfred, M.P. Soil Organic Carbon Sequestration Rates by Tillage and Crop Rotation. Soil Sci. Soc. Am. J. 2002, 66, 1930–1946. [Google Scholar]
- Henriksen, T.M.; Breland, T.A. Carbon mineralization, fungal and bacterial growth, and enzyme activities as affected by contact between crop residues and soil. Biol. Fert. Soils 2002, 35, 41–48. [Google Scholar] [CrossRef]
- Balesdent, J.; Chenu, C.; Balabane, M. Relationship of soil organic matter dynamics to physical protection and tillage. Soil Tillage Res. 2000, 53, 215–230. [Google Scholar] [CrossRef]
- Beare, M.H.; Hendrix, P.F.; Cabrera, M.L.; Coleman, D.C. Aggregate-Protected and Unprotected Organic Matter Pools in Conventional- and No-Tillage Soils. Soil Sci. Soc. Am. J. 1994, 58, 787–795. [Google Scholar] [CrossRef]
- Jianling, F.; Weixin, D.; Jian, X.; Shenwu, Q.; Jiabao, Z.; Noura, Z. Carbon sequestration in an intensively cultivated sandy loam soil in the North China Plain as affected by compost and inorganic fertilizer application. Geoderma 2014, 230–231, 22–28. [Google Scholar]
- Bremner, J.M. Determination of nitrogen in soil by the Kjeldahl method. J. Agric. Sci. 1960, 55, 11–33. [Google Scholar] [CrossRef]
- Bremner, J.M.; Jenkinson, D.S. Determination of organic carbon in soil:i.Oxidation by dichromate of organic matter in soil and plant materials. Eur. J. Soil Sci. 2010, 11, 394–402. [Google Scholar] [CrossRef]
- Jenkinson, D.S.; Powlson, D.S. The effects of biocidal treatments on metabolism in soil—V: A method for measuring soil biomass. Pergamon 1976, 8, 209–213. [Google Scholar]
- Nie, J.; Zhou, J.; Wang, H.; Chen, X.; Du, C.W. Effect of long-term rice straw return on soil glomalin, carbon and nitrogen. Pedosphere 2007, 17, 295–302. [Google Scholar] [CrossRef]
- Teo, Y.H.; Beyrouty, C.A.; Norman, R.J.; Gbur, E.E. Nutrient uptake relationship to root characteristics of rice. Plant Soil 1995, 171, 297–302. [Google Scholar] [CrossRef]
- Pedro, L.O.D.A.; Carlos, A.S. Soil management under no-tillage systems in the tropics with special reference to Brazil. Nutr. Cycl. Agroecosys. 2001, 61, 119–130. [Google Scholar]
- Huang, J.; Ming-Hua, G.; Shi-Hong, X.; Wei-Fang, Y.; Li-Geng, J. Effects of No-Tillage and Rice-Seedling Casting with Rice Straw Returning on Content of Nitrogen, Phosphorus and Potassium of Soil Profiles. Sci. Agric. Sin. 2012, 45, 2648–2657. [Google Scholar]
- Liu, S.; Su, Y.; Huang, D.; Xiao, H.; Wu, J. Response of C_(mic)-to-C_(org) to Land Use and Fertilization in Subtropical Region of China. Sci. Agric. Sin. 2006, 39, 1411–1418. [Google Scholar]
- João, C.M.S.; Carlos, C.C.; Warren, A.D.; Rattan, L.; Solismar, P.V.F.; Marisa, C.P.; Brigitte, E.F. Organic Matter Dynamics and Carbon Sequestration Rates for a Tillage Chronosequence in a Brazilian Oxisol. Soil Sci. Soc. Am. J. 2001, 65, 1486–1499. [Google Scholar]
- Blanco-Canqui, H.; Lal, R. No-tillage and soil-profile carbon sequestration: An on-farm assessment. Soil Sci. Soc. Am. J. 2008, 72, 693–701. [Google Scholar] [CrossRef] [Green Version]
- Wang, X.; Wei, C.; Ji, R.T.; He, C.L.; Zhu, A.; Wang, F.; Zhu, L. Effects of Straw Returning and Conservation Tillage Patterns on the Contents of Organic Matter and Nitrogen Nutrient in the Lime Concretion Black Soil. Soils 2015, 47, 483–489. [Google Scholar]
- Luo, Z.; Wang, E.; Osbert, J.S. Can no-tillage stimulate carbon sequestration in agricultural soils? A meta-analysis of paired experiments. Agric. Ecosyst. Environ. 2010, 139, 224–231. [Google Scholar] [CrossRef]
- Lu, F.; Wang, X.; Han, B.; Ouyang, Z.; Duan, X.; Zheng, H.; Miao, H. Soil carbon sequestrations by nitrogen fertilizer application, straw return and no-tillage in China’s cropland. Glob. Chang. Biol. 2009, 15, 281–305. [Google Scholar] [CrossRef]




| Treatment | Tillage Methods | The Amount of Straw Returning |
|---|---|---|
| NTS | No-tillage with all straw returning | 4500 kg ha−1 per season |
| RT1 | Wheat plow tillage and rice no-tillage with half straw returning | 3000 kg ha−1 in the rice season |
| RT2 | Wheat no-tillage and rice plow tillage with half straw returning | 3000 kg ha−1 in the wheat season |
| CTS | Plow tillage with all straw returning | 4500 kg ha−1 per season |
| MTS | Less tillage with half straw returning | 3000 kg ha−1 per season |
| CT | Plow tillage with no straw returning | No straw returning |
| Soil Depth (cm) | Treatments | SMBC/SMBN | SMQ (%) | SMBN/TN (%) |
|---|---|---|---|---|
| 0–7 | NTS | 7.87 a | 3.58 ab | 8.38 a |
| RT1 | 7.97 a | 4.02 a | 8.56 a | |
| RT2 | 7.83 a | 3.46 bc | 7.82 a | |
| CTS | 7.11 a | 3.31 bc | 7.92 a | |
| MTS | 7.16 a | 3.16 b | 7.76 a | |
| CT | 7.24 a | 2.95 c | 7.84 a | |
| 7–14 | NTS | 7.43 b | 4.22 a | 11.16 a |
| RT1 | 7.25 b | 3.18 b | 6.90 b | |
| RT2 | 7.97 a | 3.04 b | 7.92 b | |
| CTS | 6.86 c | 2.80 b | 6.84 b | |
| MTS | 7.67 ab | 2.78 b | 6.06 b | |
| CT | 6.67 c | 2.08 c | 6.10 b | |
| 14–21 | NTS | 7.46 a | 2.27 a | 5.71 ab |
| RT1 | 7.68 a | 2.09 a | 4.98 b | |
| RT2 | 7.21 a | 2.42 a | 6.39 a | |
| CTS | 7.15 a | 2.46 a | 5.68 ab | |
| MTS | 8.09 a | 2.35 a | 4.76 b | |
| CT | 6.97 a | 1.54 b | 4.52 b |
| Treatments | Ear Number | Grains Per Spike | 1000-Grain Weight | Theoretical Yield | Actual Yield |
|---|---|---|---|---|---|
| (104 ha−1) | (g) | (kg ha−1) | (kg ha−1) | ||
| NTS | 295.93 a | 139.57 b | 25.50 a | 9956.84 b | 9145.67 ab |
| RT1 | 247.49 a | 148.00 ab | 25.07 a | 8658.75 b | 7288.13 b |
| RT2 | 247.01 a | 152.57 ab | 25.61 a | 8759.01 b | 8403.87 ab |
| CTS | 262.18 a | 182.33 a | 25.42 a | 11,273.50 a | 9629.31 a |
| MTS | 238.20 a | 172.47 ab | 25.46 a | 9518.11 b | 9515.10 a |
| CT | 242.62 a | 174.17 ab | 25.16 a | 9487.27 b | 8468.85 ab |
Publisher’s Note: MDPI stays neutral with regard to jurisdictional claims in published maps and institutional affiliations. |
© 2022 by the authors. Licensee MDPI, Basel, Switzerland. This article is an open access article distributed under the terms and conditions of the Creative Commons Attribution (CC BY) license (https://creativecommons.org/licenses/by/4.0/).
Share and Cite
Chen, W.; Yuan, W.; Wang, J.; Wang, Z.; Zhou, Z.; Liu, S. No-Tillage Combined with Appropriate Amount of Straw Returning Increased Soil Biochemical Properties. Sustainability 2022, 14, 4875. https://doi.org/10.3390/su14094875
Chen W, Yuan W, Wang J, Wang Z, Zhou Z, Liu S. No-Tillage Combined with Appropriate Amount of Straw Returning Increased Soil Biochemical Properties. Sustainability. 2022; 14(9):4875. https://doi.org/10.3390/su14094875
Chicago/Turabian StyleChen, Wanhua, Wei Yuan, Jie Wang, Ziyang Wang, Zhengping Zhou, and Shiping Liu. 2022. "No-Tillage Combined with Appropriate Amount of Straw Returning Increased Soil Biochemical Properties" Sustainability 14, no. 9: 4875. https://doi.org/10.3390/su14094875
APA StyleChen, W., Yuan, W., Wang, J., Wang, Z., Zhou, Z., & Liu, S. (2022). No-Tillage Combined with Appropriate Amount of Straw Returning Increased Soil Biochemical Properties. Sustainability, 14(9), 4875. https://doi.org/10.3390/su14094875
