Next Article in Journal
The Impact of Commercial Credit on Firm Innovation: Evidence from Chinese A-Share Listed Companies
Previous Article in Journal
Strategic Turnaround in the Paper Industry: A New Model for the Procurement of Recycled Paper
 
 
Font Type:
Arial Georgia Verdana
Font Size:
Aa Aa Aa
Line Spacing:
Column Width:
Background:
Article

Blockchain Adoption in Agricultural Supply Chain for Better Sustainability: A Game Theory Perspective

1
School of Economics and Management, Beijing Information Science and Technology University, Beijing 100192, China
2
School of Electronic Engineering, Beijing University of Posts and Telecommunications, Beijing 100876, China
3
FedUni Information Engineering Institute, Hebei University of Science and Technology, Shijiazhuang 050018, China
4
Strategy and Social and Environmental Responsibility Department, University of Quebec in Montreal, Montreal, QC H3C 3P8, Canada
*
Author to whom correspondence should be addressed.
Sustainability 2022, 14(3), 1470; https://doi.org/10.3390/su14031470
Submission received: 23 November 2021 / Revised: 18 January 2022 / Accepted: 18 January 2022 / Published: 27 January 2022

Abstract

:
Within the context of the rise of the Internet of Things, blockchain, and other new technologies, telecommunications operators are committed to applying technologies to promote business transformation and upgrading. The government also actively applies technologies to traditional fields to promote social progress. In agriculture, the agricultural supply chain has a low information level and low degree of digitization. The application of blockchain technology in agriculture offers exceptional advantages because of its decentralization, openness, and transparency. Based on the application of blockchain in an agricultural scenario, an evolutionary game model made up of governments, telecom operators, and agricultural enterprises was established to analyze the model’s equilibrium stability and evolutionary stable strategy. Then, numerical simulation was carried out to study the influence of the initial green level, equipment deployment cost, technology operation cost, and other core factors on the tripartite evolution behaviour. The results show that each factor influences the behaviour of a third party in different ways. Finally, according to the simulation results, this paper puts forward practical suggestions, explores the long-term impact of the application cost and sustainable income of blockchain technology on cooperation, and provides new ideas for the governance of China’s traditional fields from the perspective of new technology application.

1. Introduction

The current lack of guarantees on the quality and safety of agricultural products and the imbalance between supply and demand hinder the sustainable development of agriculture [1]. Research shows that the level of informatization has a positive impact on the sustainable development of an agricultural economy [2]. Many countries are committed to improving the level of informatization and transparency of agricultural supply chains based on the 2030 Agenda for Sustainable Development. As a result, China formulated the National Agricultural Sustainable Development Experimental Demonstration Zone Construction Plan to actively explore sustainability solutions [3]. In recent years, the rise of new technologies, such as blockchain and the Internet of Things (IoT), has provided new ideas to improve the sustainability of agriculture. As a distributed storage database, blockchain is regarded as an emerging industry with national strategic significance by many countries and businesses. In 2017, the US Congress announced the establishment of the Congressional Blockchain Decision Committee. In 2019, President Emmanuel Macron of France delivered a speech encouraging European countries to use blockchain for innovative supply chain management in the agricultural industry. In 2020, China issued the Digital Agriculture and Rural Development Plan (2019–2025), which highlights the need to promote the application of blockchain technology in quality and safety traceability and transparent supply chains [4]. In 2020, the US proposed to use the implementation of blockchain technology to track its supply chain for organic foods. With its decentralization, data sharing and data tampering prevention capabilities, blockchain may be applied to eliminate information asymmetry to the greatest extent and improve supply chain sustainability.
At present, academic communities have contributed to a great deal of research on the application of blockchain technology in supply chain management innovation. Saberi et al. [5] introduced four blockchain technology adoption barrier categories that are inter-organizational, intra-organizational, and technical. Caldarelli et al. [6] conducted a case study in light of the divergence in motives for the adoption of blockchain and offered an insight into how sustainable innovations can also be economically viable. The primary focus of Kouhizadeh and Sarkis [7] was identifying potential uses across the spectrum of green supply chain management functions and activities, specifically on environmental sustainability in the supply chain. The application of such technologies as blockchain, Internet-of-Things, wireless sensor networks, cloud computing, and machine learning can improve the agri-food supply chain efficiency and quality management [8]. Köhler and Pizzol [9] studied six cases of blockchain-based technologies in the food supply chain and provided a deeper understanding of the state-of-the-art role of blockchain-based technologies in food supply chains. Bellavista et al. [10] studied the popular blockchain systems (e.g., Ethereum, Bitcoin, and Monero) [11] and found that the proposed solution adopts an off-chain secure computation element invoked by a smart contract on a blockchain to securely communicate with its peered counterpart. The basic idea behind this is to divide the blockchain network into multiple committees, proposing a taxonomy based on committee formation and intra-committee consensus [12].
Traceability refers to the nature of all kinds of information generated in each link of agricultural products from raw material production, processing and listing to final consumption of finished products. Governments and academics all over the world have carried out research and experiments on the traceability of agricultural products. Marco [13] used the traditional traceability concept to determine the environmental impact of the entire supply chain and then applied that to the leather shoe supply chain. Literature reviews and research have shown that consumers’ awareness of improving the transparency of the agricultural supply chain is constantly increasing, giving impetus to the further adoption of blockchain technology to improve the green level and sustainability of the supply chain. Rijswijk [14] studied consumer information needs and requirements regarding traceability, and many participants believed the key need is traceability for fresh and perishable products such as meat, dairy, fruits and vegetables, fish, and eggs. Myae [15] investigated the importance of traceability in verifying environmentally sustainable production practices, and the results showed that 50% of Canadians and 30–50% of Americans believed that traceability is very important to ensure environmentally sustainable production. Lu [16] assessed the preferences and needs of Chinese consumers for traceable pork attributes and pointed out that consumers pay the most attention to the certification of traceable information. In recent years, governments have been actively exploring the implementation of agricultural traceability projects. In 2017, China announced the establishment of a unified national traceability management information platform, system specifications, and technical standards [17]. In the Pinghu region of China, China Mobile adopted blockchain technology in a traceability project for a local seed company. Farmers can open a mini program to search for detailed information on crops. Moreover, China Mobile also created a “5G + Blockchain + IoT” anti-counterfeiting traceability system. By scanning the exclusive QR code on agricultural products, consumers can access all related information.
The agricultural supply chain consists of farmers, agricultural product processors, agricultural product retailers, and consumers. Agricultural products processors purchase raw materials from farmers and then sell them to various retailers. In practice, processing and retailing are often conducted by the same organization, which are collectively referred to as agricultural enterprises [18]. For agricultural enterprises, using blockchain technology requires huge technical cost, but it also promotes the production of green agricultural products. Consumers often prefer green and traceable agricultural products, and agricultural enterprises can earn greater profits while bearing the cost of technology application. At present, blockchain service providers mainly include telecom operators and technology service providers, which are mainly Internet enterprises. Telecom operators have been committed to the integration and development of 5G networks, IoT, blockchain, and other internet technologies. Based on their 5G networks, telecom operators can directly deploy blockchain technology with lower deployment costs [19]. Therefore, as a provider of blockchain technology services, telecom operators have incomparable advantages. For telecom operators, providing blockchain technology services requires significant research investment, but it also brings innovative business development, increased sustainable revenue and facilitates digital transformation. For the government, to encourage the application of new technologies such as blockchain, incentive policies, such as subsidies and tax relief, are required [20]. At the same time, the application of new technology can enhance the level of agricultural information, promote social progress, and indirectly improve the environment. As a result, a tripartite partnership was formed in which telecom operators provide blockchain technology services, the government provides technical subsidies and agricultural enterprises adopt blockchain technology for supply chain innovation. This paper discusses how the government, agricultural enterprises, and telecom operators can establish a stable tripartite cooperative relationship under the influence of a sustainable profit model and relevant strategic factors based on their own interests and demands under the scenario of the innovative application of blockchain technology in agricultural supply chain.
To answer those questions, this paper investigated and summarizes the main obstacles that have emerged in the implementation of current projects. According to the China Institute of Information and Communication Technology, since blockchain, the technology that underpins Bitcoin, has become popular, there have been more than 80,000 projects around the world claiming to use blockchain technology. Among these projects, only 8% survive, and their average life span is approximately 1.22 years [21]. For instance, two leading companies in China’s agricultural industry jointly built the world’s first large blockchain farm in 2017. However, in 2018, despite their investment of approximately 170 million yuan, the initiative has yet to generate revenue. Finally, one company has announced the divestiture of the blockchain business to reduce investment risks in new industries. As a result, most of the existing blockchain application solutions have long cost–return cycles and low revenue sustainability problems. In response to the long cost return period, evolutionary game theory has been widely used in practical problems in economics and other social sciences as an emerging game theory [22]. It takes the limited rational group of participants as the research object and uses dynamic analysis methods to incorporate various factors that affect the behaviours of participants in its model. With its dynamic evolution process, it is more in line with objective reality than general game theory. Applying evolutionary game theory to blockchain application schemes can lead to the dynamic evolution of the game process: analyzing the cost–return cycle according to the change trend of each parameter, providing theoretical data reference for the cost return of the actual blockchain application, and avoiding certain risks. In addition, in response to the problem of low revenue sustainability, computing-first networking (CFN) interconnects dynamically distributed computing resources based on network connections. Through the unified management and coordinated scheduling of multi-dimensional resources, such as network, storage, and computing power, a large number of applications can become computing resources to realize the global optimization of connection and computing power in the networks. The computing power is based on computer equipment, which has significant commercial value as an efficient resource [23,24]. This leads to the concept of computing power income that idle equipment will take the income from a network’s shared computing power as one of the sustainable incomes to improve the sustainability of income. In this paper, gains from the sharing of computing power are added to the evolutionary game model as one of the main parameter indicators.
One of the main contributions is the exploration of the long-term impact of costs and sustainable benefits of the adoption of blockchain technology. Consequently, in the long-term development, the paper considered the impact of various technical indicators, such as blockchain adoption cost, computing power sharing, and network revenue, on the tripartite cooperation relationship. As a game theory of bounded rationality, evolutionary game has a wide range of applications in many fields including economics, politics, and management. However, there are few studies on the application of technology adoption in the agricultural supply chain. In view of the research gaps, this research focused on resolving these questions:
  • With the participation of the government, what is the evolutionary trend of blockchain adoption in the agricultural supply chain?
  • What factors influence the evolutionary stability of long-term cooperation significantly?
  • What is the impact of sustainable incomes, such as computing power-sharing income, on the adoption of blockchain technology?

2. Literature Review

At present, academics have carried out abundant research on sustainable development from the perspective of game theories, and the related literature may be classified as follows: (1) games in Agricultural Supply Chains; (2) new technology application; (3) competition and cooperation game between telecom operators and supply chain participants.

2.1. Games in Agricultural Supply Chains

Through the classification and summary of relevant literature on agricultural sustainability, it was found that the current research accounts for the greenness level of agriculture, consumer preferences, and other related factors. Tan [25] developed a Stackelberg game model between producers and retailers to study their optimal decision making and ultimate profitability considering the sensitivity of agricultural products’ greenness level, green investment, the sensitivity to freshness of agricultural products, etc. He [26] discussed the impact of changes in consumer preferences on green innovation for manufacturers and suppliers and introduced consumer’s green preferences, reference price effect, green innovation efforts, and cost of green innovation. It was found that the change in consumer’s preferences is an important factor in motivating supply chain members to make green innovation efforts. Liu [27] established a game model of agricultural enterprises, governments, and farmers based on evolutionary game theory and simulated the impact of innovation subsidies, carbon tax, and subsidies on low-carbon agricultural innovation dissemination. The research shows that the cost of low-carbon innovation, the increase in low-carbon innovation income, and government regulations are the main affecting factors and effective means to promote the dissemination of low-carbon technology.
Current research mainly focuses on the green sustainability and profitability of the agricultural supply chain and constructs the game model of the upstream and downstream entities of the agricultural supply chain in which the innovation cost, cost sharing, and other parameters are constructed. However, only a few studies have examined the collaborative innovation relationship between the government and agricultural supply chain members. Meanwhile, in terms of green innovation, current research mainly targets the green innovation of the product itself, neglecting the potential of new technologies, such as blockchain, for better sustainability.

2.2. New Technology Application

Based on game theory, domestic and foreign literature has built models to analyze the innovative application of new technologies such as blockchain. Yu [28] constructed a model of an R&D (research and development) cooperative alliance relationship between an automobile manufacturer and a battery manufacturer. In the model, the initial technical value of green technology, cost of R&D, technical uncertainty of green product development, and other parameters were considered. Gopalakrishnan [29] applied blockchain technology to waste traceability and proposed a solid waste management model that considers the number of blockchain users, cloud storage capacity, waste quantity, and the cost of using blockchain. With regard to blockchain technology cost, the initial fixed cost, storage quantity, waste quantity, and other parameters were considered, and the blockchain cost was positively correlated with the storage quantity and waste quantity. In addition to the cost, other constraints, such as reliability, security, and response time, must also be considered when comparing blockchain platforms. Ko et al. [30] studied how companies can achieve real-time transparency and cost saving by using blockchain technology and established a model for two competing companies. For blockchain costs, they pointed out that the early costs of their applications may be regarded as one-time costs and further set the cost as a certain proportion of the company’s profits. Moreover, Osmani et al. [31] analyzed the costs, benefits, risks, and opportunities of blockchain applied in the banking and financial fields. According to the application scenario, the operating costs of blockchain are divided into transaction costs, energy costs, and storage costs. After analysis, the energy costs and storage costs were found to be directly related to the number of transactions, while transaction cost was affected by energy cost and storage cost. De Giovanni [32] proposed a game composed of suppliers, enterprises, and retailers evaluating the operation and economic benefits of supply chain members when they transfer from the traditional platform to blockchain. The parameters of marginal revenue, marginal purchase cost, marginal transaction cost, and blockchain cost are constructed. The blockchain cost includes information verification and recording, data calculation, and storage costs.
Most of the research focuses on traditional manufacturing and retailing in which the R&D cost, blockchain cost, and other parameters are constructed. However, it does not introduce evolutionary game theory into new technology adoption. Compared with industrial manufacturing, retailing, and other fields, the agricultural industry has a lower degree of informatization and acceptance of new technologies. Therefore, the risk of new technology application is higher, and current research has limited reference significance for practical problems. Moreover, in terms of costs, key indicators of technical costs require further discussion.

2.3. Competition and Cooperation Game

With the rise of new technologies, telecom operators are eager to embrace digital transformation and business innovation. As a well-developed research method, game theories are applied to study the competition and cooperation between telecom operators and their supply chain partners. Wang [33] established an evolutionary game model to study the competition and cooperation behaviours between telecom operators and over the top (OTT) service providers considering the influence of strategic factors, network externality intensity, independent R&D revenue, cost allocation, and other parameters. The simulation results show that the cooperation probability was affected by these parameters. Patra [34] studied the optimal decisions of mobile phone manufacturers and service operators. This paper analyzed the green smart phone supply chain under three different Stackelberg game settings. In the traditional supply chain structure, green parameters are introduced, such as greening improvement level and greening investment parameters, smart phone retail price, smart phone demand, and bundle sales revenue. The effects of greening investment and customer sensitivity to greening improvement levels on subsidy amounts were studied. The results suggested the best choice to maximize the overall profit of the supply chain.
Current studies discuss the competition and cooperation between telecom operators, OTT service providers, and mobile phone manufacturers and look at cost sharing, R&D investment, and other parameters to create the model. However, the research focuses on the cooperation and competition between traditional telecom operators and their supply chain participants with very little consideration for the business innovation of telecom operators or the cooperative relationship. In addition, with regard to model construction, the studies all describe current business incomes but do not explore the incomes from sustainability improvements.

3. Materials and Methods

3.1. Description of the Behaviours of All Parties

This paper studies the process of sustainable supply chain management based on blockchain technology and analyzes the interaction mechanism of each participant in the process. The interaction between the government, agricultural enterprises, and telecom operators is in line with the basic assumption of bounded rationality. All parties in the game adjust their own strategies to make the optimal decision through trial and learning. The basic assumptions of the model are as follows.
It is assumed that the game players are the government, agricultural supply chain participants (i.e., agricultural enterprises), and technology providers (i.e., telecom operators). They all have two strategies in the game. The government can choose to back blockchain adoption through subsidies and preferential policies or not; agricultural enterprises can choose to adopt blockchain technology or not; telecom operators can choose to invest and deploy blockchain technology or not. The three parties are bound and rational, and all aim to maximize their own interests. The government is more concerned about the sustainability of the agricultural industry including social sustainability, environmental sustainability, and technological sustainability. Social sustainability refers to whether the participants in agricultural products are produced in accordance with the regulations. Environmental sustainability refers to whether the life cycle of agricultural products consciously minimizes environmental impacts. Technology sustainability refers to whether the cost of technology adoption is proportionate to the improvement in the information level of the entire industry. Agricultural enterprises and telecom operators are more concerned about economic benefits and their reputation and image.

3.2. Basic Assumptions

When setting the hypothetical environment, this paper conducted research on existing game models based on blockchain technology and agricultural product supply chains. In existing research on applications involving blockchain cost, based on research by Gopalakrishnan [29] and Osmani [31], the storage capacity of blockchain technology was taken as an important index parameter of its installation cost and correlated the amount of data with the operational cost of blockchain technology. In addition, none of these studies conducted detailed research on the technical indicators of blockchain technology. This study focused on this and took it as one of the main innovations. Combined with the actual situation, the blockchain technology cost was summarized into installation cost and operation cost, and the installation cost was associated with storage capacity, operation cost, and technical security as the main parameters of blockchain technology application cost. Based on Nielsen [35] and Zhang [36], the market demand was associated with green level and product price, the government subsidy was set as a certain proportion of technology R&D cost, the technology R&D cost was associated with green level, and basic parameters such as product unit price and product unit cost are set. In addition, combined with the current development of computing power networks and based on the research of Chen [37], we took computing power revenue as a sustainable revenue index and associated the computing power of equipment with storage capacity to improve the sustainability of blockchain technology applications. Thus, the basic hypothetical environment obtained was as follows.
Hypothesis 1 (H1).
The game model involves three types of players: government, agricultural enterprises, and telecom operators. The government’s strategy set is {support, not support}, the probability of action is x, and the probability of not support is 1 − x. The strategy set of agricultural enterprises is {adopt, not adopt}, the probability of adopting is y, the probability of not adopting is 1 − y. The strategy set of telecom operators is {deploy, not deploy}, the probability of operators taking action is z, and the probability of not taking action is 1 − z.
Hypothesis 2 (H2).
The performances of the blockchain technology mainly include block cost, security, ratio, delay and execution time. In the sustainable supply chain, blockchain technology is deployed to monitor the use of agricultural pesticides, fertilizer consumption and other indicators relating to the greenness of agricultural products so as to guarantee the transparency and security of information sharing in the agricultural supply chain. Therefore, the amount of data in the blockchain is directly related to production. In current research, the majority of studies only consider some relevant indicators of blockchain technology. In the existing application research involving the cost of blockchain, Praveen Kumare Gopalakrishnan [30]considered the initial fixed cost, storage quantity, waste quantity, and other parameters for the application cost of blockchain, positively correlated the blockchain cost with the storage quantity and waste quantity, and pointed out, in addition to the cost, reliability security, response time, and other restrictions. Meanwhile, Osmani [32]divided the operation cost of blockchain into transaction cost, energy cost, and storage cost according to the application scenarios in the financial field. After analysis, it was pointed out that energy cost and storage cost are directly related to the transaction volume, and the transaction cost is affected by energy cost and storage cost.Therefore, this paper considered storage capacity (sc) and security level (sl), in which sc is related to the amount of data (the market demand) and has the following relationship: sc = θ× D. Blockchain cost may be divided into installation cost (TI) and operation cost (TO). According to the scenario, installation cost may be further divided into equipment installation cost (Te) and network installation cost (Tn). When the telecom operators participate, they will provide equipment rental services, and the equipment installation cost is Te1. When the telecom operators do not participate, agricultural companies must buy equipment, and the equipment installation cost is Te2. The equipment installation cost is related to its own storage capacity, which has the following relationship: Te = ν× Tp, where Tp is the calculation force of equipment and ν is the cost coefficient of equipment installation. Operating costs are related to data volume and technical safety level and have the following relationships: TO = δ× D× sl, where δ is the operating cost coefficient, D is the market demand, and sl is the safety level. In this model, the installation cost is shared by the government and agricultural enterprises, and the operation cost is borne by the agricultural enterprises.
Hypothesis 3 (H3).
The government is the supervising party of the sustainable supply chain. The government hopes to promote social progress by supporting the application of blockchain technology in agriculture so as to improve reputation (Rb) and sustainable income (R). Sustainable income includes the improvement of agricultural informatization and environmental sustainability, which are related as follows: ΔR = α× g + β× D, where α is the gain coefficient of agricultural informatization, g is the green level, β is the environmentally sustainable gain coefficient, and D is the market demand. In order to further support the sustainable supply chain and reduce the economic pressure of agricultural enterprises and telecom operators, the government provides subsidies (S) for agricultural enterprises and telecom operators participating in the sustainable supply chain. Similar to the research by Nielsen [36], the subsidies are a certain proportion of technology R&D costs, namely, S = γψg2, where ψg2 is the cost of technology research and development, and γ is the incentive coefficient of R&D investment. Subsidies are allocated in a certain proportion (λ) to agricultural enterprises and telecom operators.
Hypothesis 4 (H4).
Agricultural enterprises are the initiators of the sustainable supply chain. Agricultural enterprises hope to improve the green degree of raw materials through the application of blockchain technology. The higher the green degree (g), the higher the price (P) of processed products, so as to obtain greater economic benefits. When agricultural enterprises participate, the price of their products is related to green degree (g) and installation cost, and the relationship is as follows: P1 = P0 + ρ × g, where P0 is the initial product price when not participating, and ρ is the technical sensitivity coefficient. In addition, similar to Nielsen [36], it is assumed that market demand decreases linearly with product and price and increases linearly with green degree. The relationship is as follows: D = a − b × P + c × g, where a is the internal demand of the market, b is price sensitivity, P is product price, c is the sensitivity of green degree, and g is the green degree. In addition to the revenue from product sales, agricultural enterprises can also obtain the computing power revenue (Tp) of blockchain equipment. The computing power of a computer is directly related to its computing speed. Chen [38] Pointed out that the factors affecting the computing speed include the performance of the central processing unit and the storage capacity of the computer. Therefore, we associate the computing power with the storage capacity of the device itself, which has the following relationship: Tp = Tp0 + μ × sc, where Tp0 is the base of calculation force, μ is the force gain coefficient, and sc is the storage capacity. The calculation benefit is related to the calculation force of the equipment and has the following relationship: Rc = ω × Tp, where Tp is the calculation force, and ω is the conversion coefficient of the calculation force income.
Hypothesis 5 (H5).
Telecom operators are the technology providers of the sustainable supply chain. They can obtain certain technology benefits by providing technology to agricultural enterprises, namely, technology installation cost (TI) and technology operation cost (TO). At the same time, telecom operators must spend a lot of cost CT in the early stage of technology R&D. Similar to Nielsen [35]and Zhang [36], the relationship between technology R&D cost and green level is as follows: CT=ψg2, where g is the green degree, and ψ is the R&D investment coefficient.
In this model, x (0 < x < 1), y (0 < y < 1), and z (0 < z < 1) were set as the probability of government, agricultural enterprises, and telecommunication operators participating in the sustainable supply chain. The parameters used in modeling are shown in Table 1.
Thus, according to the game situation for all parties, the model was constructed by assuming the indicators of income, cost, technology, and other aspects. For the government, its benefits mainly included reputation gain, agricultural informatization gain, and environmental sustainability gain, and its costs mainly included subsidies to agricultural enterprises and telecom operators that adopt the technology and the cost of technology installation. For agricultural enterprises, their income mainly included sales income of agricultural products, subsidies, and calculation income, and their cost mainly included planting cost and technology cost. For telecom operators, their income mainly included technology installation cost, operating costs of technology, and subsidy, which are also technology R&D costs.

3.3. Payment Matrix

The income matrix of all parties in the participation strategy of agricultural enterprises is shown in Table 2.
The income matrix of all parties under the strategy of non-participation of agricultural enterprises is shown in Table 3.

4. Model Stability Analysis

4.1. Expected Revenue and Replication Dynamic System

Assuming the government’s participation, non-participation, and average expected revenue functions are UG1, UG2, and ŪG, respectively, they may be formulated as follows:
UG1 = yzUG11 + y(1 − z) UG12 + (1 − y) zUG13 + (1 − y)(1 − z) UG14
= Rb + y∆R − (1 − y) TOyz(S + kTe1) − y(1 − z)(λS + kTe2 + kTn)
− (1 − y)z [(1 − λ)S + Te1] − (1 − y)(1 − z)(Te2 + Tn),
UG2 = yzUG21 + y(1 − z) UG22 + (1 − y) zUG23 + (1 − y)(1 − z) UG24 = 0,
ŪG = xUG1 + (1 − x) UG2.
The participating, non-participating and average expected income functions of agricultural enterprises are UE1, UE2, and ŪE, respectively. They may be formulated as follows:
UE1 = xzUE11 + x(1 − z) UE12 + (1 − x) zUE13 + (1 − x)(1 − z) UE14 = D (PgC0) + RcTO
+ xλSxz(1 − k) Te1x(1 − z)(1 − k)(Te2 + Tn) − (1 − x) zTe1 − (1 − x)(1 − z)(Te2 + Tn),
UE2 = xzUE21 + x(1 − z)UE22 + (1 − x) zUE23 + (1 − x)(1 − z) UE24 = D(P0C0),
ŪE = yUE1 + (1 − y) UE2.
The participating, non-participating, and average expected revenue functions of telecom operators are UT1, UT2, and UT, respectively. They may be formulated as follows:
UT1 = xyUT11 + (1 − x) yUT12 + x(1 − y) UT13 + (1 − x)(1 − y) UT14 = −CT + y(Te1 + TO)
+ x (1 − λ) S + x(1 − y)(Te1 + TO) − (1 − x)(1 − y)(Te1 + TO),
UT2 = xyUT21 + (1 − x) yUT22 + x(1 − y)UT23 + (1 − x)(1 − y) UT24 = −CT + y(Tn + TO)
+ x(1 − y)(Tn + TO),
ŪT = zUT1 + (1 − z) UT2.
According to the dynamic formula of evolutionary game, the replication dynamic system of government, agricultural enterprises, and telecom operators is:
FG(x) = x(UG1− UG) = x(1 − x) h(y,z),
FE(y) = y(UE1UE) = y(1 − y) g(x,z),
FT(z) = z(UT1UT) = z(1 − z) f(x,y),
where f(x,y), g(x,z), and h(y,z) are specific as:
f(x,y) = UT1UT2 = y(Te1 + TO) + x(1 − λ) S + x(1 − y)(Te1 + TO)
−(1 − x)(1 − y)(Te1 + TO) − y(Tn + TO) − x(1 − y)(Tn + TO),
g(x,z) = UE1UE2 = D(PgP0) + RcTO + xλSxz (1 − k) Te1
−x(1 − z)(1 − k)(Te2 + Tn) − (1 − x) zTe1 − (1 − x)(1 − z)(Te2 + Tn),
h(y,z) = UG1UG2 = Rb + y∆R − (1 − y)TOyz(S + kTe1)
y (1 − z)(λS + kTe2 + kTn) − (1 − y) z[(1 − λ) S + Te1] − (1 − y)(1 − z)(Te2 + Tn).
The replication dynamic system of government, agricultural enterprises, and telecom operators may be described as follows:
{ F G ( x ) = x ( 1 x ) h ( y , z ) F E ( y ) = y ( 1 y ) g ( x , z ) F T ( z ) = z ( 1 z ) f ( x , y ) .

4.2. Equilibrium Stability and ESS

According to the replicated dynamic system Equation (16), when FG(x) = FF(y) = FE(z) = 0, eight unconditional equilibrium points in the evolutionary game system may be obtained, namely, E1 = (0,0,0), E2 = (0,0,1), E3 = (0,1,0), E4 = (0,1,1), E5 = (1,0,0), E6 = (1,0,1), E7 = (1,1,0), and E8 = (1,1,1).
Through the derivation of Equation (16), the following results may be obtained:
{ F G ( x ) = ( 1 2 x ) h ( y , z ) F F ( y ) = ( 1 2 y ) g ( x , z ) F T ( z ) = ( 1 2 z ) f ( x , y ) .
According to the linearization theorem and Friedman’s method, if an equilibrium point and its linearization are asymptotically stable, then any eigenvalue of Jacobian matrix has no strictly positive real part. The ESS of system Equation (16) may be obtained. After the local stability analysis of Jacobian matrix, it may be extended to:
J = [ F G ( x ) x ( 1 x ) h y ( y , z ) x ( 1 x ) h z ( y , z ) y ( 1 y ) g x ( x , z ) F F ( y ) y ( 1 y ) g z ( x , z ) z ( 1 z ) f x ( x , y ) z ( 1 z ) f y ( x , y ) F E ( z ) ] .
In real life, if the interests of various subjects when participating in cooperation are less than those when not participating in cooperation, the possibility of cooperation is very low, because various subjects cannot protect their own interests in cooperation. From this, in order to respond to the actual situation, we must make further assumptions.
It is assumed that the total cost of installation and operation of blockchain technology is greater than the social benefits obtained by the government. That is, Rb < Te2 + Tn + TO, and the sum of social reputation benefits, agricultural informatization, and environmental benefits obtained by the government is greater than the sum of equipment installation costs and subsidies undertaken by the government, Rb + △R > kTe1 + S.
It is assumed that the sum of profit from sales, computing power of equipment, and subsidies is greater than the equipment installation cost and operating cost: D(PgP0) + Rc + λS > (1 − k)Te1 + TO. At the same time, for a small- or medium-sized enterprise, the sum of the profit from sales and computing power of equipment is far less than the sum of installation cost of technology and operating cost: D(PgP0) + Rc < TO + Te2 + Tn.
It is assumed that the sum of equipment installation cost and agricultural enterprise subsidy when telecom operators participate is greater than equipment operation cost: Te1 + (1 − λ)S > Tn.
From E1 to E8, the corresponding eigenvalues and stability of each equilibrium point are calculated as shown in Table 4. According to the Lyapunov indirect method, when the eigenvalues of the Jacobian matrix corresponding to the equilibrium point are less than 0, the equilibrium point is an evolutionary stability strategy, and the stability of each equilibrium point may be determined. According to Table 4, there are two potential evolutionary stable strategies: E1 (0,0,0) and E8 (1,1,1).

4.3. Asymptotic Stability Analysis

In order to study the factors that affect the ESS of the replication dynamic system, an asymptotic stability analysis was carried out for all parties. The asymptotic stability analysis of the government, according to the system Equation (16), where h(y,z) = 0, FG(x) = 0, and x does not change with time; x = 0 and x = 1 are two stable components. When h(y,z) > 0, FG(0) > 0, and FG(1) < 0, x = 1 is the balance component of the government’s strategic choice. In other words, if the sum of the social reputation benefits of the government, agricultural informatization, and environmental benefits in the sustainable supply chain is greater than the sum of the subsidies provided by the government to agricultural enterprises and telecom operators and the technology installation costs borne by the government, the government will participate in the sustainable supply chain. On the contrary, when h(y,z) < 0, x = 0 is the equilibrium component, and the government does not participate in it.
The asymptotic stability analysis of agricultural enterprises, according to the system Equation (16), when g(x,z) = 0, FF(y) = 0, and y does not change with time, then y = 0 and y = 1 are two stable components. When g(y,z) > 0, FF(0) > 0, and FF(1) < 0, then y = 1 is the balance component of the strategic choice of agricultural enterprises. That is, if the agricultural enterprises participate in the sustainable supply chain, the planting gain, calculation benefit, and equipment subsidy are greater than the equipment deployment cost and technical operation cost, the agricultural enterprises will join the sustainable supply chain. On the contrary, when g(y,z) > 0, y = 0 is the equilibrium component, and agricultural enterprises do not participate in it.
The asymptotic stability of telecom operators, according to the system Equation (16), when f(x,y) = 0, FE(z) = 0, and z does not change with time, then z = 0 and z = 1 are two stable components of z. When f(x,y) > 0, FE(0) > 0, and FE(1) < 0, then y = 1 is the balance component of telecom operators’ strategic choice. In other words, if the sum of the equipment installation cost and agricultural enterprise subsidy is greater than the equipment operation cost, telecom operators participate in sustainable supply chain.

5. Results and Discussion

In order to further study the dynamic decision-making processes of the government, agricultural enterprises, and telecom operators in the current hypothetical environment, the stability of the equilibrium point was simulated with MATLAB2018b. The participation probabilities of the government, agricultural enterprises, and telecom operators were x, y, and z, respectively. The value ranged from 0 to 1, and the step size was 0.1. Figure 1 indicates that almost all curves converged to (0,0,0) and (1,1,1), which is consistent with the preceding discussion. According to the above parameters, this section discusses the impacts of initial strategy probability and variable parameters.
Based on the dynamic equation of tripartite replication and the analysis of the equilibrium stable point, the strategy of tripartite cooperative behaviour is directly affected by varying parameters. This section analyzes the parameters involved for the government, agricultural enterprises, and telecom operators. The simulation parameter setting refers to the opinions of experts in relevant research fields such as agricultural supply chain and blockchain technology application as shown in Table 5.
In the sensitivity analysis of one parameter, the values of other parameters remained unchanged. The initial strategy probability of each participant was 0.5, and the time interval was 0–1.

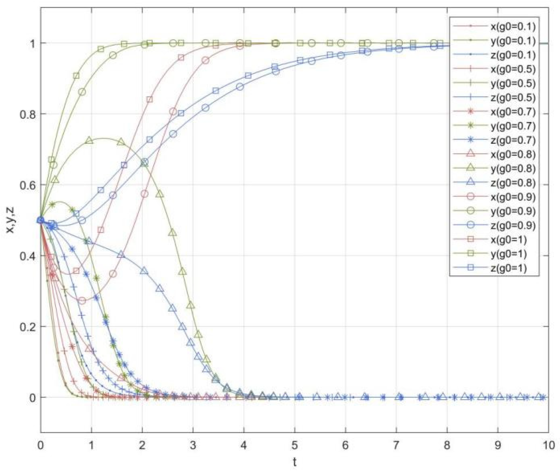
5.1. Initial Green Level

The initial green levels were set at 0.1, 0.5, 0.7, 0.8, 0.9, and 1, and the impact of the initial green level on the tripartite strategies was analyzed. As shown in Figure 2, the critical value of the initial green level was between 0.8 and 0.9. When the initial green level was less than 0.8, the government’s probability x converged to 0, the agricultural enterprise’s probability y converged to 0, the telecom operator’s probability z converged to 0, and the system evolved to a point of (0,0,0). When the initial green level was greater than 0.9, x converged to 1, y converged to 1, z converged to 1, and the system evolved to a point of (1,1,1).
As shown in Figure 2, the initial green level directly affected the strategies of three parties. Under the same times of evolution, in the process of convergence, the higher the initial green level, the higher the probability of the three. Under the same initial green level, the convergence speed of agricultural enterprises and the government was faster than that of telecom operators. In the early stages, when the initial green level was higher, the government had a trend to choose the opposite to its final choice. While for the agricultural enterprises, it happened when the initial green level was lower. For agricultural enterprises, the adoption of blockchain technology can further improve the green level of products. Market demand and product prices will increase, and the economic benefits will be higher. In terms of cost, the cost of technology application is jointly borne by the government and agricultural enterprises. The government participates in the form of cost sharing and subsidies that stimulate the willingness of agricultural enterprises. Thus, in the early stages, agricultural enterprises maintain high enthusiasm for participation. For the government, while supporting the adoption of the blockchain technology can enhance its social reputation, environmental sustainability, agricultural informatization, and other benefits, it also has to bear part of the cost and provide subsidies, thus participating in the comprehensive consideration and evaluation of cooperation needs. For telecom operators, such as technology providers, they provide technology to obtain income to balance the early technology R&D investment. They also join the cooperation by providing technical services and reducing the cost of network deployment. Although they can obtain the income from equipment deployment and technology operation, they lose the income from network deployment. Telecom operators are relatively passive in the process of evolutionary game, and their response is relatively low.
Similar to the research of Groening [38], with the improvement in consumption level, an increasing number of consumers prefer agricultural products with a higher green level. In most cases, the price of agricultural products with a higher green level is also higher. With the improvement in the initial green level, market demand and product prices will also increase, and agricultural enterprises will obtain higher income. In terms of cost, they can share the expense of technology application with the government and obtain certain subsidies. Therefore, the higher the initial green level, the higher the economic benefits and the greater their enthusiasm to adopt the blockchain technology. The higher the initial green level, the higher the environmental sustainability benefits the government will obtain. The government will share the expense of technology application with agricultural enterprises and provide subsidies. Therefore, the higher the initial green level, the higher the benefits for the government and the greater its enthusiasm to participate. As telecom operators, the higher the initial green level, the higher the income. Although the technology R&D investment is higher, the government subsidy is also higher. Thus, the participation enthusiasm of telecom operators increases when the initial green level improves.

5.2. Equipment Deployment Cost

The paper set the equipment deployment cost coefficients at 1, 2, 2.5, 3, 3.5, and 4. As shown in Figure 3, there are two critical values. When the coefficient of the equipment deployment cost was greater than 2.5 and less than 3, the probabilities of all parties converged to 1, and the system evolved to a state (1,1,1). When the coefficient of the cost of deploying equipment was less than 2, x converged to 1, y converged to 1, z converged to 0, and the system evolved to a state (1,1,0). When the coefficient of the cost of deploying equipment was greater than 3.5, x converged to 0, y converged to 0, z converged to 0, and the system evolved to a state (0,0,0).
As shown in Figure 3, for the government and agricultural enterprises, the lower the equipment deployment cost, the higher their willingness to participate in the evolutionary process. For telecom operators, only when the cost of equipment deployment is within a certain range, will the probability gradually tend to 1 with the increase in the equipment deployment cost. With the same equipment deployment cost, the convergence speed of agricultural enterprises and government is faster, while the convergence speed of telecom operators is slower. Technology installation cost mainly includes network deployment cost and equipment deployment cost, which are jointly borne by the government and agricultural enterprises. When telecom operators participate, they provide equipment leasing services. The equipment deployment cost is mainly the leasing cost, which is much cheaper compared with purchasing equipment. When telecom operators do not participate, agricultural enterprises have purchase equipment. For agricultural enterprises, the lower the cost of equipment deployment, the lower the cost of technology application. Therefore, in the early stages, agricultural enterprises’ enthusiasm for participation remains high and the response is fast. With the reduction in equipment deployment cost, it gradually tends to 1.
According to evolutionary game theory, the choice of participants’ strategy not only depends on whether the strategy is beneficial but also on what other participants take. For the government, by sharing the equipment deployment cost with enterprises, the lower the cost of equipment deployment, the higher the benefit when other parameters are unchanged. Therefore, the government’s curve converges faster, and the response is faster. With the reduction in the cost of equipment deployment, it gradually tends to 1. For telecom operators, the cost of equipment deployment is a part of the benefits when they participate. Under the condition of constant investment in technology R&D, the higher the cost of equipment deployment, the higher the benefits. Therefore, telecom operators weigh the gains and losses of interests, swing between participation and non-participation, and their response speed is slow. When the cost of equipment deployment is high, the benefit for the government is low and the probability is gradually tending to 0, and it no longer gives certain subsidies to telecom operators. As a result, the revenue of telecom operators is reduced and affected by the strategy probability of government. When the cost of equipment deployment is low, although the government’s willingness to participate is high, the income of equipment deployment obtained by telecom operators is low, far less than the income of network deployment obtained when they do not participate. Therefore, the participation enthusiasm of telecom operators is also reduced.

5.3. Technology Operation Cost

This paper studied the influence of technology operation cost coefficient on the probability of tripartite action, setting the coefficients of the operating cost of technology at 0.1, 0.5, 0.7, 0.8, 3, and 5. As shown in Figure 4, the critical value of the technical operation cost coefficient was between 1 and 2. When the operation cost coefficient was less than 1, the government’s probability x converged to 1, the agricultural enterprise’s probability y converged to 1, the telecom operator’s probability z converged to 1, and the whole system gradually evolved to the point of (1,1,1). When the coefficient was greater than 2, x converged to 0, y converged to 0, z converged to 0, and the system evolved to the point of (0,0,0).
As shown in Figure 4, the technology operating costs directly affected the strategy of the three parties. Under the same evolution condition, in the process of convergence, the lower the technology operating cost, the higher the probability of the three. Under the same technology installation cost, the curve of agricultural enterprises converged faster, while the curve of the government and telecom operators converged slower. Therefore, the operation cost of technology had a greater impact on the agricultural enterprises and a smaller impact on the government and telecom operators. When the technology operation cost is lower than a certain value, all parties are more inclined to participate.
The operation cost is a continuing cost in technology adoption and is related to market demand and security level of the blockchain technology. On one hand, it is one of the costs for agricultural enterprises. Under the condition of constant product sales revenue, the higher the technology operation cost, the lower the economic benefit. Therefore, the strategy probability of agricultural enterprises changes slowly and gradually tends to 1 with the decrease in technology operation cost. For the government, the cost of technology operation is not directly related to size. In the early stages, the government is in a wait-and-see state, and its participation enthusiasm was low, since it was greatly affected by the strategies of agricultural enterprises and telecom operators. In the later stages, with the cost reduction, agricultural enterprises tended to participate, which stimulated the government’s willingness to participate, and the probability gradually tended to 1. For telecom operators, technology operation cost is part of their revenues. The lower the operation cost, the lower their benefits. However, due to the government subsidies to telecom operators, the willingness of telecom operators is affected by the probability of government action. In the later stage, the government’s willingness to participate gradually increases and the participation enthusiasm of telecom operators also increases.

5.4. Computing Power Sharing Income

The computing-first network is a new network architecture that carries and transmits ubiquitous computing services through the network to realize the integration of computing and network. The combination of computing-first network and blockchain technology can realize safe and reliable computing power sharing [39]. Next, we studied the impact of computing power sharing income on the probability of the government, agricultural enterprises, and telecom operators. The paper set the conversion coefficients of computing power sharing income at 0, 0.5, 1, 2, 3, and 4, respectively. As shown in Figure 5, the critical value of the conversion coefficient was between 2 and 3. When the conversion coefficient was less than 2, the probability of government supporting technology adoption x converged to 0, the probability of agricultural enterprise adopting blockchain technology y converged to 0, the strategy probability of telecom operators z converged to 0, and the whole system evolved to a point of (0,0,0). When the transformation coefficient was greater than 3, x converged to 1, y converged to 1, z converged to 1, and the system gradually evolved to a point of (1,1,1).
As shown in Figure 5, under the same times of evolutions, in the process of convergence, the higher the computing power income, the higher the strategy probability of the three. Under the same income condition, the curve convergence of the probability of agricultural enterprises was faster, and the curve convergence of the government and telecom operators was slower. Therefore, the computing power sharing income had a greater impact on the action probability of agricultural enterprises and a smaller impact on the government and telecom operators. When the computing power sharing income was higher than a certain value, with the increase in computing power sharing income, the government, agricultural enterprises, and telecom operators were more inclined to take action.
Computing power sharing income is the additional revenue that agricultural enterprises obtained by sharing the computing power of equipment when they adopt blockchain technology. For agricultural enterprises, the technology application costs can improve the green level of products to obtain greater income and additional equipment computing power benefits. As a result, agricultural enterprises remain very willing to participate in the early stages. The higher the computing power sharing income, the greater the enthusiasm of agricultural enterprises to participate. For the government and telecom operators, computing power sharing income has no direct impact, so the action curve is relatively smooth.

5.5. Technology Sensitivity Coefficient

This paper studied the impact of the technology sensitivity coefficient on behavioral evolution paths and set the technology sensitivity coefficients to 5, 15, 18, 19, 20, and 30. As shown in Figure 6, the critical value of the technology sensitivity coefficient was between 19 and 20. When the technology sensitivity coefficient was less than 19, the government’s strategy probability of x converged to 0, the agricultural enterprise’s strategy probability y converged to 0, the telecommunication operator’s strategy probability z converged to 0, and the system evolved to a state (0,0,0). When the technology sensitivity coefficient was greater than 20, x converged to 1, y converged to 1, z converged to 1, and the system evolved to a state (1,1,1).
As shown in Figure 6, at the same time, in the convergence process, the greater the market’s sensitivity to technology, the higher the willingness of blockchain adoption the three. Under the same technology sensitivity state, the curve of agricultural enterprises converged faster, while the curve of the government and telecom operators converged slower. Therefore, the sensitivity coefficient of products had a greater impact on agricultural enterprises than on government and telecom operators. Technology sensitivity indicates how much the price of a product is affected by the green level in the market. For agricultural enterprises, technology sensitivity directly affects the price of products, thus affecting the economic benefits. The higher the technology sensitivity, the higher the price of products and the higher the income. As a result, agricultural enterprises maintain a high willingness to participate in the early stages. As technology sensitivity rises, the income of agricultural enterprises gradually increases and their probabilities to adopt blockchain technology gradually tends to 1.

5.6. Market Price Sensitivity

Price sensitivity refers to the sensitivity change in the market demand for agricultural products owing to market law. Figure 7 illustrates the behavioral evolution paths of agricultural enterprises under different initial strategy probabilities. With the increase in the initial strategy probability, the willingness of agricultural enterprises to participate gradually increased and finally tended to 1. We then studied the impact of market price sensitivity coefficients on the behavioral evolution paths of agricultural enterprises under different initial strategy probabilities.
As shown in Figure 8, the market price sensitivity coefficient had no critical value when the initial strategy probability was 0.6. When the initial strategy probability was 0.7, the willingness of agricultural enterprises to adopt blockchain increases after 7 times of evolutions. There was a critical value between 54 and 55. When the market price sensitivity coefficient was less than 54, the strategy probability of agricultural enterprises converged to 0. When the market price sensitivity coefficient was greater than 55, the strategy probability tended to 1.
Figure 8b reveals that, with the increase in the market price sensitivity coefficient, the willingness of agricultural enterprises to participate gradually rose. For agricultural enterprises, market price sensitivity affects market demand directly. In the case of constant product price, the greater the market price sensitivity, the lower the market demand and the lower the product sales revenue. In addition, market demand is related to technology storage capacity, equipment computing power, computing power income, equipment deployment costs, and technology operation costs. The lower the market demand, the lower the required technology storage capacity and the lower the equipment computing power income, equipment deployment costs, and technology operation costs. Therefore, the higher the market price sensitivity, the lower the product sales revenue and computing power revenue and the lower the technology application cost. Because the market demand has a significant impact on the cost of technology adoption, the greater the sensitivity of market price, the higher the income of agricultural enterprises and their willingness to participate.

6. Conclusions

Based on evolutionary game theory, this paper constructed an evolutionary game model of government, agricultural enterprises, and telecom operators and then analyzed the stability and evolutionary stable strategy of the three parties. The results showed that the detailed indicators in the blockchain technology cost have varying degrees of impact on the action strategies of the government and agricultural enterprises. Computing power sharing income, technology sensitivity, and price sensitivity had impacts on the strategies of agricultural enterprises. In addition, the strategy of agricultural enterprises determines whether the three parties can reach cooperation. When agricultural enterprises choose not to adopt blockchain, whether the government and telecom operators choose to participate or not, the final evolution strategy is that the three parties tend not to participate. The main focus was the analysis of the tripartite game model of blockchain adopted to traditional agricultural supply chains to improve its green level, and it gives practical suggestions based on this. Based on the results, we formulated the following suggestions:
  • In the early stages of the evolutions, agricultural enterprises always maintain a high degree of enthusiasm for participation, while the government is in a wait-and-see mode. Then, when the agricultural enterprises and telecom operators reach a cooperative relationship, the government gradually guides the three parties to build a stable cooperative relationship. The government plays an important guiding role in the tripartite relationship. Taking appropriate incentive measures will help promote the development of tripartite cooperation such as reducing taxes and increasing subsidies;
  • The total cost of technology adoption has a significant impact on the government and agricultural enterprises. In terms of network deployment cost, promoting cost reduction the cost is a problem the government should eventually consider. In terms of equipment deployment, telecom operators and agricultural enterprises have opposite interests. As the supervision party, the means implemented by government to mediate the conflict of interest between them has a significant impact on the tripartite relationship;
  • In terms of sensitivity, the selection of agricultural products with higher value and higher market demand for quality can better promote tripartite cooperation. However, at the same time, it is necessary to consider the price acceptance of consumers and formulate a reasonable pricing strategy, which is of great significance to agricultural enterprises and indirectly affects the evolution of the final three-party relationship.
  • The adoption of new technology often entails a huge cost. The government could consider how to reduce the cost burden on technology adopters, make good use of existing material and technical conditions, dig out the sustainable benefits, and increase the enthusiasm of technology adopters.

Author Contributions

Conceptualization, L.S.; Methodology, L.S. and Y.L.; Formal Analysis, L.S. and Y.L.; Writing—Original Draft Preparation, L.S.; Writing—Review and Editing, Y.L., Z.C. and M.N.; Supervision, Z.C. and C.J.; Funding Acquisition, C.J. All authors have read and agreed to the published version of the manuscript.

Funding

This research was funded by the National Key R&D Program of China (grant no. 2019YFB1405005).

Institutional Review Board Statement

Not applicable.

Informed Consent Statement

Not applicable.

Data Availability Statement

No new data were created or analyzed in this study. Data sharing is not applicable to this article.

Conflicts of Interest

The authors declare that they have no conflicts of interest to report regarding the present study.

References

  1. Agricultural Trade Promotion Center. Analysis on the current situation of international agricultural product market and supply and demand—one of the research abstracts of the dynamic balance between supply and demand and import of agricultural products in China under the background of sustainable agricultural development. Agric. Prod. Mark. 2016, 41, 62–63. [Google Scholar]
  2. Li, M.J.; Wang, J.; Chen, Y.H. Evaluation and Influencing Factors of Sustainable Development Capability of Agriculture in Countries along the Belt and Road Route. Sustainability 2019, 11, 2004. [Google Scholar] [CrossRef] [Green Version]
  3. Anonymous. Notice on launching the construction of the first batch of national experimental demonstration areas for sustainable agricultural development and carrying out the pilot work of green agricultural development. Bull. Minist. Agric. People’s Repub. China 2018, 1, 19–22. [Google Scholar]
  4. Ministry of Agriculture and Rural Affairs of the People’s Republic of China. Notice of the Ministry of Agriculture and Rural Areas and the Office of the Central Network Security and Information Technology Commission on Printing and Distributing the Digital Agriculture and Rural Development Plan (2019–2025); Ministry of Agriculture and Rural Affairs of the People’s Republic of China: Beijing, China, 2020.
  5. Saberi, S.; Kouhizadeh, M.; Sarkis, J.; Shen, L. Blockchain technology and its relationships to sustainable supply chain management. Int. J. Prod. Res. 2019, 57, 2117–2135. [Google Scholar] [CrossRef] [Green Version]
  6. Caldarelli, G.; Rossignoli, C.; Zardini, A. Overcoming the Blockchain Oracle Problem in the Traceability of Non-Fungible Products. Sustainability 2020, 12, 2391. [Google Scholar] [CrossRef] [Green Version]
  7. Kouhizadeh, M.; Sarkis, J. Blockchain Practices, Potentials, and Perspectives in Greening Supply Chains. Sustainability 2018, 10, 3652. [Google Scholar] [CrossRef] [Green Version]
  8. Saurabh, S.; Dey, K. Blockchain technology adoption, architecture, and sustainable agri-food supply chains. J. Clean. Prod. 2021, 284, 124731. [Google Scholar] [CrossRef]
  9. Köhler, S.; Pizzol, M. Technology assessment of blockchain-based technologies in the food supply chain. J. Clean. Prod. 2020, 269, 122193. [Google Scholar] [CrossRef]
  10. Paolo, B.; Christian, E.; Luca, F.; Carlo, G.; Nicola, M.; Rebecca, M. Interoperable Blockchains for Highly-Integrated Supply Chains in Collaborative Manufacturing. Sensors 2021, 21, 4955. [Google Scholar]
  11. Li, X.; Jiang, P.; Chen, T.; Luo, X.; Wen, Q. A survey on the security of blockchain systems. Future Gener. Comput. Syst. 2020, 107, 841–853. [Google Scholar] [CrossRef] [Green Version]
  12. Hafid, A.; Hafid, A.S.; Samih, M. Scaling Blockchains: A Comprehensive Survey. IEEE Access 2020, 8, 125244–125262. [Google Scholar] [CrossRef]
  13. Marco, M.; Eugenia, M.; Alessandra, P.; Germani, M. Traceability as a means to investigate supply chain sustainability: The real case of a leather shoe supply chain. Int. J. Prod. Res 2017, 55, 6638–6652. [Google Scholar] [CrossRef]
  14. Van Rijswijk, W.; Frewer, L.J. Consumer needs and requirements for food and ingredient traceability information. Int. J. Consum. Stud. 2012, 36, 282–290. [Google Scholar] [CrossRef]
  15. Myae, A.C.; Goddard, E. Importance of traceability for sustainable production: A cross-country comparison. Int. J. Consum. Stud. 2012, 36, 192–202. [Google Scholar] [CrossRef]
  16. Lu, J.; Wu, L.H.; Wang, S.X.; Xu, L.L. Consumer Preference and Demand for Traceable Food Attributes. Br. Food J. 2016, 118, 2140–2156. [Google Scholar] [CrossRef] [Green Version]
  17. Ministry of Agriculture and Rural Affairs of the People’s Republic of China. Opinions of the Ministry of Agriculture on Accelerating the Construction of Quality and Safety Traceability System of Agricultural Products; Ministry of Agriculture and Rural Affairs of the People’s Republic of China: Beijing, China, 2016.
  18. Islam, S.S.; Hoque, M.A. A joint economic lot size model for a supplier manufacturer-retailers supply chain of an agricultural product. Opsearch J. Oper. Res. Soc. India 2017, 54, 868–885. [Google Scholar] [CrossRef]
  19. Xu, L.; Luan, Y.; Cheng, X.; Fan, Y.; Zhang, H.; Wang, W.; He, A. Telecom big data based user offloading self-optimisation in heterogeneous relay cellular systems. Int. J. Distrib. Syst. Technol. 2017, 8, 27–46. [Google Scholar] [CrossRef] [Green Version]
  20. Ølnes, S.; Ubacht, J.; Janssen, M. Blockchain in government: Benefits and implications of distributed ledger technology for information sharing. Gov. Inf. Q. 2017, 34, 355–364. [Google Scholar] [CrossRef] [Green Version]
  21. Leal Trujillo, J.; Fromhart, S.; Srinivas, V. Evolution of Blockchain Technology: Insights from the GitHub Platform. Available online: https://www2.deloitte.com/us/en/insights/industry/financial-services/evolution-of-blockchain-github-platform.html (accessed on 18 January 2022).
  22. Wang, Z.; Huo, J.; Duan, Y. The impact of government incentives and penalties on willingness to recycle plastic waste: An evolutionary game theory perspective. Front. Environ. Sci. Eng. 2020, 14, 165–176. [Google Scholar] [CrossRef]
  23. Pan, D.; Zhao, J.L.; Fan, S.; Zhang, Z. Dividend or No Dividend in Delegated Blockchain Governance: A Game Theoretic Analysis. J. Syst. Sci. Syst. Eng. 2021, 30, 288–306. [Google Scholar] [CrossRef]
  24. Shan, S.; Duan, X.; Zhang, Y.; Zhang, T.T.; Li, H. Research on Collaborative Governance of Smart Government Based on Blockchain Technology:An Evolutionary Approach. Discret. Dyn. Nat. Soc. 2021, 2021, 6634386. [Google Scholar] [CrossRef]
  25. Tan, M.Y.; Tu, M.L.; Wang, B.; Zou, T.Y.; Cheng, H. A Two-Echelon Agricultural Product Supply Chain with Freshness and Greenness Concerns: A Cost-Sharing Contract Perspective. Complexity 2020, 2020, 8560102. [Google Scholar] [CrossRef]
  26. He, J.H.; Lei, Y.L.; Fu, X. Do Consumer’s Green Preference and the Reference Price Effect Improve Green Innovation? A Theoretical Model Using the Food Supply Chain as a Case. Int. J. Environ. Res. Public Health 2019, 16, 5007. [Google Scholar] [CrossRef] [PubMed] [Green Version]
  27. Liu, L.X.; Zhu, Y.C.; Guo, S.B. The Evolutionary Game Analysis of Multiple Stakeholders in the Low-Carbon Agricultural Innovation Diffusion. Complexity 2020, 2020, 6309545. [Google Scholar] [CrossRef]
  28. Yu, X.N.; Lan, Y.F.; Zhao, R.Q. Strategic green technology innovation in a two-stage alliance: Vertical collaboration or co-development? Omega 2021, 98, 102116. [Google Scholar] [CrossRef]
  29. Gopalakrishnan, P.K.; Hall, J.; Behdad, S. Cost analysis and optimization of Blockchain-based solid waste management traceability system. Waste Manag. 2021, 120, 594–607. [Google Scholar] [CrossRef]
  30. Ko, T.; Lee, J.; Ryu, D. Blockchain Technology and Manufacturing Industry: Real-Time Transparency and Cost Savings. Sustainability 2018, 10, 4274. [Google Scholar] [CrossRef] [Green Version]
  31. Osmani, M.; El-Haddadeh, R.; Hindi, N.; Janssen, M. Blockchain for next generation services in banking and finance: Cost, benefit, risk and opportunity analysis. J. Enterp. Inf. Manag. 2021, 34, 884–899. [Google Scholar] [CrossRef]
  32. De Giovanni, P. Blockchain and Smart Contracts in Supply Chain Management: A Game Theoretic Model. Int. J. Prod. Econ. 2020, 228, 107855. [Google Scholar] [CrossRef]
  33. Wang, H.T. Discussion of the Competitive Strategies of Telecom Operators and Over-the-Top Service Providers from the Perspective of Evolutionary Game Theory. Decis. Anal. 2020, 17, 260–275. [Google Scholar] [CrossRef]
  34. Patra, P. Distribution of profit in a smart phone supply chain under Green sensitive consumer demand. J. Clean. Prod. 2018, 192, 608–620. [Google Scholar] [CrossRef]
  35. Nielsen, I.E.; Majumder, S.; Sana, S.S.; Saha, S. Comparative analysis of government incentives and game structures on single and two-period green supply chain. J. Clean. Prod. 2019, 235, 1371–1398. [Google Scholar] [CrossRef]
  36. Zhang, S.Z.; Yu, Y.M.; Zhu, Q.H.; Qiu, C.M.; Tian, A.X. Green Innovation Mode under Carbon Tax and Innovation Subsidy: An Evolutionary Game Analysis for Portfolio Policies. Sustainability 2020, 12, 1385. [Google Scholar] [CrossRef] [Green Version]
  37. Chen, Y.L. Analysis of factors affecting operation speed in computer data processing. Technol. Inf. 2019, 17, 21–22. [Google Scholar] [CrossRef]
  38. Groening, C.; Sarkis, J.; Zhu, Q. Green Marketing Consumer-Level Theory Review: A Compendium of Applied Theories and Further Research Directions. J. Clean. Prod. 2017, 172, 1848–1866. [Google Scholar] [CrossRef]
  39. Yao, W.; Jingjing, L.; Hua, L.; Renchao, X. Research on trust evaluation and guarantee scheme of computing network integrating blockchain. J. Nanjing Univ. Posts Telecommun. 2021, 4, 99–106. [Google Scholar] [CrossRef]
Figure 1. Simulation diagram of evolutionary paths of the system.
Figure 1. Simulation diagram of evolutionary paths of the system.
Sustainability 14 01470 g001
Figure 2. Simulation diagram of the impact of the initial green level on behavioral evolution paths of all parties.
Figure 2. Simulation diagram of the impact of the initial green level on behavioral evolution paths of all parties.
Sustainability 14 01470 g002
Figure 3. Simulation diagram of the impact of equipment deployment cost on behavioral evolution paths of all parties. (a) 0–150 times of evolutions (b) 0–10 times of evolutions.
Figure 3. Simulation diagram of the impact of equipment deployment cost on behavioral evolution paths of all parties. (a) 0–150 times of evolutions (b) 0–10 times of evolutions.
Sustainability 14 01470 g003
Figure 4. Simulation diagram of the impact of the technology operation cost on behavioral evolution paths of all parties.
Figure 4. Simulation diagram of the impact of the technology operation cost on behavioral evolution paths of all parties.
Sustainability 14 01470 g004
Figure 5. Simulation diagram of the impact of computing power sharing income on behavioral evolution paths of all parties.
Figure 5. Simulation diagram of the impact of computing power sharing income on behavioral evolution paths of all parties.
Sustainability 14 01470 g005
Figure 6. Simulation diagram of the impact of the technology sensitivity on behavioral evolution paths of all parties.
Figure 6. Simulation diagram of the impact of the technology sensitivity on behavioral evolution paths of all parties.
Sustainability 14 01470 g006
Figure 7. Simulation diagram of agricultural enterprises under different initial strategy probabilities.
Figure 7. Simulation diagram of agricultural enterprises under different initial strategy probabilities.
Sustainability 14 01470 g007
Figure 8. Simulation diagram of the behavioral evolution paths of agricultural enterprises. (a) when the initial strategy probability was 0.6; (b) when the initial strategy probability was 0.7.
Figure 8. Simulation diagram of the behavioral evolution paths of agricultural enterprises. (a) when the initial strategy probability was 0.6; (b) when the initial strategy probability was 0.7.
Sustainability 14 01470 g008
Table 1. Three-party game model parameters.
Table 1. Three-party game model parameters.
SymbolDefinitionSymbolDefinition
sl/scTechnical security level/storage capacityDMarket demand
TpComputing power of Internet of Things devicesPUnit price
TI/TOTechnology installation cost/operation costC0Unit cost
RbSocial prestigeRcComputing power income of equipment
ΔRSustainable gains of governmentCTR&D expenses
SGovernment subsidies
Table 2. Income matrix of all parties under the participation strategy of agricultural enterprises.
Table 2. Income matrix of all parties under the participation strategy of agricultural enterprises.
Agricultural EnterprisesWithin (y)
GovernmentWithin (x)UG11 = Rb + ΔRSkTe1UG12 = Rb + ΔRλSk (Te2 + Tn)
UE11 = D(PgC0) + λS + Rc − (1 − k) Te1TOUE12 = D (PgC0) + λS + Rc − (1 − k)(Te2 + Tn) − TO
UT11 = Te1 + TO + (1 − λ) SCTUT21 = Tn + TOCT
Outside (1 − x)UG21 = 0UG22 = 0
UE13 = D (PgC0) + RcTe1TOUE14 = D (PgC0) + RcTe2TnTO
UT12 = Te1 + TOCTUT22 = Tn + TOCT
Telecom operatorsWithin (z)Outside (1 − z)
Table 3. Income matrix of all parties under the strategy of non-participation of agricultural enterprises.
Table 3. Income matrix of all parties under the strategy of non-participation of agricultural enterprises.
Agricultural EnterprisesOutside (1 − y)
GovernmentWithin (x)UG13 = Rb − (1 − λ) STe1TOUG14 = RbTe2TnTO
UE21 = D (P0C0)UE22 = D (P0C0)
UT13 = Te1 + TO + (1 − λ) SCTUT23 = Tn + TOCT
Outside (1 − x)UG23 = 0UG24 = 0
UE23 = D (P0C0)UE24 = D (P0C0)
UT14 = −CTTe1TOUT24 = −CT
Telecom operatorsWithin (z)Outside (1 − z)
Table 4. Eigenvalues and stability of equilibrium points.
Table 4. Eigenvalues and stability of equilibrium points.
Equilibrium PointEigenvalue 1Eigenvalue 2Eigenvalue 3Stability
E1 = (0,0,0)RbTe2TOTnD(PgP0) + RcTOTe2TnTe1TOInstability
E2 = (0,0,1)RbTe1TO − (1 − λ)SD(PgP0) + RcTOTe1Te1 + TOInstability
E3 = (0,1,0)Rb + ∆RλSk(Te2 + Tn)D(PgP0) − Rc + TO + Te2 + TnTe1TnInstability
E4 = (0,1,1)Rb + ∆RkTe1SD(PgP0) − Rc + TO + Te1Te1 + TnInstability
E5 = (1,0,0)Rb + Te2 + TO + TnD(PgP0) + Rc + λS − (1 − k)(Te2 + Tn) − TO(1 − λ) S + Te1TnInstability
E6 = (1,0,1)Rb + Te1 + TO + (1 − λ)SD(PgP0) + Rc + λS − (1 − k) Te1TO(1 − λ) STe1 + TnInstability
E7 = (1,1,0)−Rb∆R + λS + k(Te2 + Tn)D(PgP0) − RcλS + (1 − k)(Te2 + Tn) + TO(1 − λ) S + Te1TnInstability
E8 = (1,1,1)Rb∆R + kTe1 + SD(PgP0) − RcλS + (1 − k) Te1 + TO−(1 − λ) STe1 + TnESS
Table 5. Simulation parameter settings.
Table 5. Simulation parameter settings.
gabcslθTp0μνεδ
0.5 + 0.4t50010200.525000.560.15
TnαβγψkλRbP0ρω
20050020.12000.50.58002120.5
Publisher’s Note: MDPI stays neutral with regard to jurisdictional claims in published maps and institutional affiliations.

Share and Cite

MDPI and ACS Style

Song, L.; Luo, Y.; Chang, Z.; Jin, C.; Nicolas, M. Blockchain Adoption in Agricultural Supply Chain for Better Sustainability: A Game Theory Perspective. Sustainability 2022, 14, 1470. https://doi.org/10.3390/su14031470

AMA Style

Song L, Luo Y, Chang Z, Jin C, Nicolas M. Blockchain Adoption in Agricultural Supply Chain for Better Sustainability: A Game Theory Perspective. Sustainability. 2022; 14(3):1470. https://doi.org/10.3390/su14031470

Chicago/Turabian Style

Song, Luona, Yiqing Luo, Zixi Chang, Chunhua Jin, and Merveille Nicolas. 2022. "Blockchain Adoption in Agricultural Supply Chain for Better Sustainability: A Game Theory Perspective" Sustainability 14, no. 3: 1470. https://doi.org/10.3390/su14031470

APA Style

Song, L., Luo, Y., Chang, Z., Jin, C., & Nicolas, M. (2022). Blockchain Adoption in Agricultural Supply Chain for Better Sustainability: A Game Theory Perspective. Sustainability, 14(3), 1470. https://doi.org/10.3390/su14031470

Note that from the first issue of 2016, this journal uses article numbers instead of page numbers. See further details here.

Article Metrics

Back to TopTop