A New Clustering Method to Generate Training Samples for Supervised Monitoring of Long-Term Water Surface Dynamics Using Landsat Data through Google Earth Engine
Abstract
:1. Introduction
2. Materials and Methods
2.1. Study Sites
2.2. Satellite-Based Data
2.3. Framework
2.3.1. Pre-Processing of Landsat Data
2.3.2. Feature Extraction
2.3.3. Proposed Method for Generating Training Samples
2.3.4. Classification
2.3.5. Accuracy Assessment
3. Results
3.1. Accuracy of Water Mapping
- (1)
- High classification OAs of RF and SVM in all three years (at least 93.74% by SVM in 2021) indicated the satisfactory performance of the proposed methodology for the generation of training samples. The adapted RF using all features and direct initial samples of Fmask resulted in OAs of around 80% (Figure 4). After deploying the proposed methodology, OAs have increased by about 13%. As a result, the proposed iterative clustering-based refinement procedure could effectively remove outliers of initial samples from the Fmask water map and generate reliable training samples.
- (2)
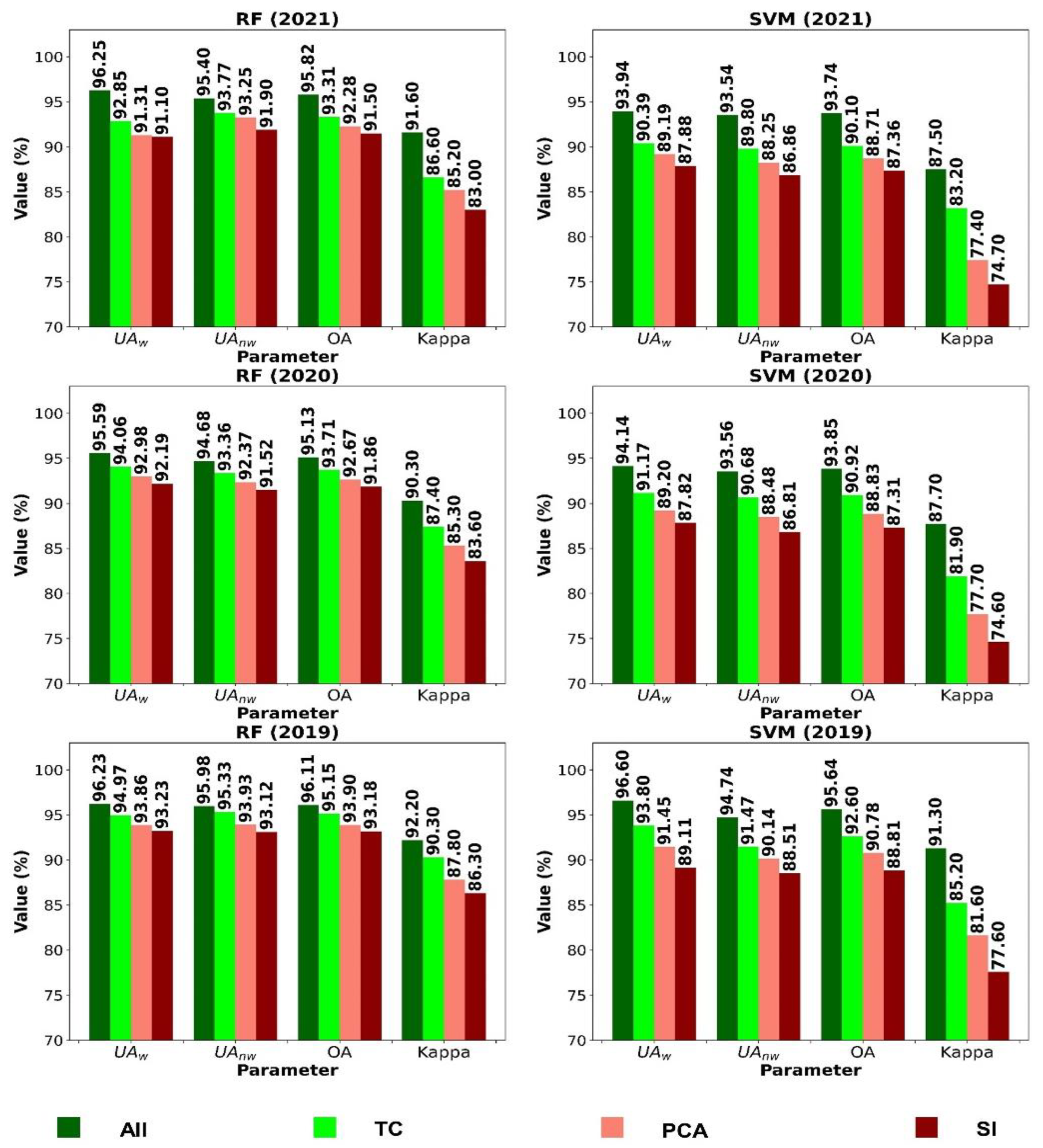
- Using all input features for classification led to the highest classification accuracy in each year. For example, the OA values for the RF classifier were 95.82, 95.13, and 96.11% in 2021, 2020, and 2019, respectively. The TC features achieved higher accuracy than PCA and SI in all three years. In other words, the TC transformation resulted in a better separation of target classes. Figure 5 also illustrated a better separation of reference samples of both classes in the TC feature space relative to SI. SI showed the weakest performance in all three years compared to the other two input features. PCA transformation ranked second. To sum up, using all features led to an increase of at least 1% (2019) and a maximum increase of 2.5% in OA (2021) compared to the best feature set (TC).
- (3)
- The RF model outperformed the SVM method in all parameters for each feature set. For example, in the case of classifying all features in 2021, RF achieved an overall accuracy of at least 0.5% greater than SVM in the same year. For the RF method, the highest OA was related to 2019 with 96.11%, and the lowest was related to 2020 with 95.13. Meanwhile, SVM’s highest and lowest OAs were 95.64 % and 93.74% in 2019 and 2021, respectively. Also, RF achieved higher UA in both water and non-water classes than SVM. RF’s UA was 96.25 in 2021 for water classes, whereas it was 95.4 for non-water classes. They were 93.94% and 93.54% for SVM.
3.2. Long-Term Change Analysis
3.3. Influence of Precipitation and Temperature
4. Discussion
4.1. Comparison with Similar Studies
4.2. Limitations, Uncertainities and Future Trends
5. Conclusions
Author Contributions
Funding
Institutional Review Board Statement
Informed Consent Statement
Data Availability Statement
Acknowledgments
Conflicts of Interest
Software Availability
Abbreviations
| GEE | Google Earth Engine |
| Fmask | Function of the Mask |
| AVHRR | Advanced Very-High-Resolution Radiometer |
| MODIS | Moderate Resolution Imaging Spectroradiometer |
| VIIRS | Visible Infrared Imaging Radiometer Suite |
| TH | Threshold-based water mapping approaches |
| ML | Machine Learning-based water mapping approaches |
| EM | Electromagnetic |
| NDVI | Normalized Difference Vegetation Index |
| MNDWI | Modified Normalized Difference Water Index |
| EVI | Enhanced Vegetation Index |
| AWEI | Automated Water Extraction Index |
| NDWI | Normalized Difference Water Index |
| SVM | Support Vector Machines |
| RF | Random Forest |
| MAT | Mean Annual Temperature |
| K1, K3, K4 | Karun-1, Karun-3, Karun-4 |
| KA | Karkheh |
| ZR | Zayanderud |
| GP | Golpayegan |
| UG | UpperGotvand |
| NASA | National Aeronautics and Space Administration |
| MAP | Mean Annual Precipitation |
| KHZ | Khuzestan |
| ISF | Isfahan |
| CHB | Chaharmahal and Bakhtiari |
| SRTM | Shuttle Radar Topographic Mission |
| DEM | Digital Elevation Model |
| OLI | Operational Land Imager |
| ETM+ | Enhanced Thematic Mapper Plus |
| TM | Thematic Mapper |
| LEDAPS | Landsat Ecosystem Disturbance Adaptive Processing System |
| LaSRC | Land Surface Reflectance Code |
| NIR | Near-infrared |
| SWIR1 | Shortwave infrared 1 |
| SWIR2 | Shortwave infrared 1 |
| FLDAS | Famine Early Warning Systems Network (FEWS NET) Land Data Assimilation System (FLDAS) |
| FEWS NET | Famine Early Warning Systems Network |
| MLSTY | MODIS Land Cover Type Yearly Global |
| SLC | Scan-Line Corrector |
| PCA | Principal Component Analysis |
| SIs | Spectral Indices |
| TC | Tasseled-Cap transformation |
| RBF | Radial Basis Function |
| OA | Overall Accuracy |
| UA | User Accuracy |
| PA | Producer Accuracy |
| TP | True Positive |
| TN | True Negative |
| FP | False Positive |
| FN | False Negative |
| JRC | Joint Research Center |
Appendix A. Comparison with Similar Studies.


References
- Niu, W.-j.; Feng, Z.-k. Evaluating the performances of several artificial intelligence methods in forecasting daily streamflow time series for sustainable water resources management. Sustain. Cities Soc. 2021, 64, 102562. [Google Scholar] [CrossRef]
- Luo, P.; Sun, Y.; Wang, S.; Wang, S.; Lyu, J.; Zhou, M.; Nakagami, K.; Takara, K.; Nover, D. Historical assessment and future sustainability challenges of Egyptian water resources management. J. Clean. Prod. 2020, 263, 121154. [Google Scholar] [CrossRef]
- Hassan, Q.K.; Ejiagha, I.R.; Ahmed, M.R.; Gupta, A.; Rangelova, E.; Dewan, A. Remote Sensing of Local Warming Trend in Alberta, Canada during 2001–2020, and Its Relationship with Large-Scale Atmospheric Circulations. Remote Sens. 2021, 13, 3441. [Google Scholar] [CrossRef]
- Neisi, M.; Bijani, M.; Abbasi, E.; Mahmoudi, H.; Azadi, H. Analyzing farmers’ drought risk management behavior: Evidence from Iran. J. Hydrol. 2020, 590, 125243. [Google Scholar] [CrossRef]
- Mirzavand, M.; Bagheri, R. The water crisis in Iran: Development or destruction? World Water Policy 2020, 6, 89–97. [Google Scholar] [CrossRef]
- Kornijów, R. Controversies around dam reservoirs: Benefits, costs and future. Ecohydrol. Hydrobiol. 2009, 9, 141–148. [Google Scholar] [CrossRef]
- Sogno, P.; Klein, I.; Kuenzer, C. Remote Sensing of Surface Water Dynamics in the Context of Global Change—A Review. Remote Sens. 2022, 14, 2475. [Google Scholar] [CrossRef]
- Hassan, Q.K.; Rahman, K.M. Applicability of remote sensing-based surface temperature regimes in determining deciduous phenology over boreal forest. J. Plant Ecol. 2013, 6, 84–91. [Google Scholar] [CrossRef] [Green Version]
- Dietz, A.J.; Klein, I.; Gessner, U.; Frey, C.M.; Kuenzer, C.; Dech, S. Detection of water bodies from AVHRR data—A TIMELINE thematic processor. Remote Sens. 2017, 9, 57. [Google Scholar] [CrossRef] [Green Version]
- Li, L.; Vrieling, A.; Skidmore, A.; Wang, T.; Turak, E. Monitoring the dynamics of surface water fraction from MODIS time series in a Mediterranean environment. Int. J. Appl. Earth Obs. Geoinf. 2018, 66, 135–145. [Google Scholar] [CrossRef]
- Huang, C.; Chen, Y.; Wu, J.; Li, L.; Liu, R. An evaluation of Suomi NPP-VIIRS data for surface water detection. Remote Sens. Lett. 2015, 6, 155–164. [Google Scholar] [CrossRef]
- Mueller, N.; Lewis, A.; Roberts, D.; Ring, S.; Melrose, R.; Sixsmith, J.; Lymburner, L.; McIntyre, A.; Tan, P.; Curnow, S. Water observations from space: Mapping surface water from 25 years of Landsat imagery across Australia. Remote Sens. Environ. 2016, 174, 341–352. [Google Scholar] [CrossRef] [Green Version]
- Pekel, J.-F.; Cottam, A.; Gorelick, N.; Belward, A.S. High-resolution mapping of global surface water and its long-term changes. Nature 2016, 540, 418–422. [Google Scholar] [CrossRef]
- Hardy, A.; Ettritch, G.; Cross, D.E.; Bunting, P.; Liywalii, F.; Sakala, J.; Silumesii, A.; Singini, D.; Smith, M.; Willis, T. Automatic detection of open and vegetated water bodies using Sentinel 1 to map African malaria vector mosquito breeding habitats. Remote Sens. 2019, 11, 593. [Google Scholar] [CrossRef] [Green Version]
- Du, Y.; Zhang, Y.; Ling, F.; Wang, Q.; Li, W.; Li, X. Water bodies’ mapping from Sentinel-2 imagery with modified normalized difference water index at 10-m spatial resolution produced by sharpening the SWIR band. Remote Sens. 2016, 8, 354. [Google Scholar] [CrossRef] [Green Version]
- Bioresita, F.; Puissant, A.; Stumpf, A.; Malet, J.-P. A method for automatic and rapid mapping of water surfaces from sentinel-1 imagery. Remote Sens. 2018, 10, 217. [Google Scholar] [CrossRef] [Green Version]
- Fu, J.; Wang, J.; Li, J. Study on the automatic extraction of water body from TM image using decision tree algorithm. In Proceedings of the International Symposium on Photoelectronic Detection and Imaging 2007. Relat. Technol. Appl. SPIE 2008, 6625, 17–25. [Google Scholar]
- Sawaya, K.E.; Olmanson, L.G.; Heinert, N.J.; Brezonik, P.L.; Bauer, M.E. Extending satellite remote sensing to local scales: Land and water resource monitoring using high-resolution imagery. Remote Sens. Environ. 2003, 88, 144–156. [Google Scholar] [CrossRef]
- Pandey, A.C.; Kaushik, K.; Parida, B.R. Google Earth Engine for Large-Scale Flood Mapping Using SAR Data and Impact Assessment on Agriculture and Population of Ganga-Brahmaputra Basin. Sustainability 2022, 14, 4210. [Google Scholar] [CrossRef]
- Gorelick, N.; Hancher, M.; Dixon, M.; Ilyushchenko, S.; Thau, D.; Moore, R. Google Earth Engine: Planetary-scale geospatial analysis for everyone. Remote Sens. Environ. 2017, 202, 18–27. [Google Scholar] [CrossRef]
- Li, Q.; Qiu, C.; Ma, L.; Schmitt, M.; Zhu, X.X. Mapping the land cover of Africa at 10 m resolution from multi-source remote sensing data with Google Earth Engine. Remote Sens. 2020, 12, 602. [Google Scholar] [CrossRef] [Green Version]
- Loukika, K.N.; Keesara, V.R.; Sridhar, V. Analysis of Land Use and Land Cover Using Machine Learning Algorithms on Google Earth Engine for Munneru River Basin, India. Sustainability 2021, 13, 13758. [Google Scholar] [CrossRef]
- Gxokwe, S.; Dube, T.; Mazvimavi, D. Leveraging Google Earth Engine platform to characterize and map small seasonal wetlands in the semi-arid environments of South Africa. Sci. Total Environ. 2022, 803, 150139. [Google Scholar] [CrossRef] [PubMed]
- Dehkordi, A.T.; Ghasemi, H.; Zoej, M.J.V. Machine Learning-Based Estimation of Suspended Sediment Concentration along Missouri River using Remote Sensing Imageries in Google Earth Engine. In Proceedings of the 2021 7th International Conference on Signal Processing and Intelligent Systems (ICSPIS), Tehran, Iran, 29–30 December 2021; pp. 1–5. [Google Scholar]
- Venkatappa, M.; Sasaki, N.; Han, P.; Abe, I. Impacts of droughts and floods on croplands and crop production in Southeast Asia–An application of Google Earth Engine. Sci. Total Environ. 2021, 795, 148829. [Google Scholar] [CrossRef] [PubMed]
- Zhou, Y.; Dong, J.; Xiao, X.; Liu, R.; Zou, Z.; Zhao, G.; Ge, Q. Continuous monitoring of lake dynamics on the Mongolian Plateau using all available Landsat imagery and Google Earth Engine. Sci. Total Environ. 2019, 689, 366–380. [Google Scholar] [CrossRef] [PubMed]
- McFeeters, S.K. The use of the Normalized Difference Water Index (NDWI) in the delineation of open water features. Int. J. Remote Sens. 1996, 17, 1425–1432. [Google Scholar] [CrossRef]
- Han-Qiu, X. A study on information extraction of water body with the modified normalized difference water index (MNDWI). J. Remote Sens. 2005, 5, 589–595. [Google Scholar]
- Feyisa, G.L.; Meilby, H.; Fensholt, R.; Proud, S.R. Automated Water Extraction Index: A new technique for surface water mapping using Landsat imagery. Remote Sens. Environ. 2014, 140, 23–35. [Google Scholar] [CrossRef]
- Yang, X.; Chen, Y.; Wang, J. Combined use of Sentinel-2 and Landsat 8 to monitor water surface area dynamics using Google Earth Engine. Remote Sens. Lett. 2020, 11, 687–696. [Google Scholar] [CrossRef]
- Zou, Z.; Dong, J.; Menarguez, M.A.; Xiao, X.; Qin, Y.; Doughty, R.B.; Hooker, K.V.; Hambright, K.D. Continued decrease of open surface water body area in Oklahoma during 1984–2015. Sci. Total Environ. 2017, 595, 451–460. [Google Scholar] [CrossRef] [PubMed]
- Wang, R.; Xia, H.; Qin, Y.; Niu, W.; Pan, L.; Li, R.; Zhao, X.; Bian, X.; Fu, P. Dynamic Monitoring of Surface Water Area during 1989–2019 in the Hetao Plain Using Landsat Data in Google Earth Engine. Water 2020, 12, 3010. [Google Scholar] [CrossRef]
- Deng, Y.; Jiang, W.; Tang, Z.; Ling, Z.; Wu, Z. Long-term changes of open-surface water bodies in the Yangtze River basin based on the Google Earth Engine cloud platform. Remote Sens. 2019, 11, 2213. [Google Scholar] [CrossRef] [Green Version]
- Chen, J.; Kang, T.; Yang, S.; Bu, J.; Cao, K.; Gao, Y. Open-Surface Water Bodies Dynamics Analysis in the Tarim River Basin (North-Western China), Based on Google Earth Engine Cloud Platform. Water 2020, 12, 2822. [Google Scholar] [CrossRef]
- Verpoorter, C.; Kutser, T.; Tranvik, L. Automated mapping of water bodies using Landsat multispectral data. Limnol. Oceanogr. Methods 2012, 10, 1037–1050. [Google Scholar] [CrossRef]
- Ji, L.; Zhang, L.; Wylie, B. Analysis of dynamic thresholds for the normalized difference water index. Photogramm. Eng. Remote Sens. 2009, 75, 1307–1317. [Google Scholar] [CrossRef]
- Fisher, A.; Flood, N.; Danaher, T. Comparing Landsat water index methods for automated water classification in eastern Australia. Remote Sens. Environ. 2016, 175, 167–182. [Google Scholar] [CrossRef]
- Sun, F.; Zhao, Y.; Gong, P.; Ma, R.; Dai, Y. Monitoring dynamic changes of global land cover types: Fluctuations of major lakes in China every 8 days during 2000–2010. Chin. Sci. Bull. 2014, 59, 171–189. [Google Scholar] [CrossRef]
- Ko, B.C.; Kim, H.H.; Nam, J.Y. Classification of potential water bodies using Landsat 8 OLI and a combination of two boosted random forest classifiers. Sensors 2015, 15, 13763–13777. [Google Scholar] [CrossRef] [Green Version]
- Isikdogan, F.; Bovik, A.C.; Passalacqua, P. Surface water mapping by deep learning. IEEE J. Sel. Top. Appl. Earth Obs. Remote Sens. 2017, 10, 4909–4918. [Google Scholar] [CrossRef]
- Wang, Y.; Li, Z.; Zeng, C.; Xia, G.-S.; Shen, H. An urban water extraction method combining deep learning and google earth engine. IEEE J. Sel. Top. Appl. Earth Obs. Remote Sens. 2020, 13, 769–782. [Google Scholar] [CrossRef]
- Friedl, M.A.; Sulla-Menashe, D.; Tan, B.; Schneider, A.; Ramankutty, N.; Sibley, A.; Huang, X. MODIS Collection 5 global land cover: Algorithm refinements and characterization of new datasets. Remote Sens. Environ. 2010, 114, 168–182. [Google Scholar] [CrossRef]
- Li, K.; Xu, E. Cropland data fusion and correction using spatial analysis techniques and the Google Earth Engine. GIScience Remote Sens. 2020, 57, 1026–1045. [Google Scholar] [CrossRef]
- Zhang, H.K.; Roy, D.P. Using the 500 m MODIS land cover product to derive a consistent continental scale 30 m Landsat land cover classification. Remote Sens. Environ. 2017, 197, 15–34. [Google Scholar] [CrossRef]
- Zhu, Z.; Wang, S.; Woodcock, C.E. Improvement and expansion of the Fmask algorithm: Cloud, cloud shadow, and snow detection for Landsats 4–7, 8, and Sentinel 2 images. Remote Sens. Environ. 2015, 159, 269–277. [Google Scholar] [CrossRef]
- Stillinger, T.; Roberts, D.A.; Collar, N.M.; Dozier, J. Cloud masking for Landsat 8 and MODIS Terra over snow-covered terrain: Error analysis and spectral similarity between snow and cloud. Water Resour. Res. 2019, 55, 6169–6184. [Google Scholar] [CrossRef] [PubMed] [Green Version]
- The Statistical Centre of Iran. Iran Statistical Yearbook 1397 (2018–2019); 2019. Available online: https://www.amar.org.ir (accessed on 1 May 2022).
- Farr, T. The shuttle radar topography mission. Rev. Geophys. 2007, 45, 1–13. [Google Scholar] [CrossRef] [Green Version]
- Masek, J.G.; Vermote, E.F.; Saleous, N.E.; Wolfe, R.; Hall, F.G.; Huemmrich, K.F.; Gao, F.; Kutler, J.; Lim, T.-K. A Landsat surface reflectance dataset for North America, 1990–2000. IEEE Geosci. Remote Sens. Lett. 2006, 3, 68–72. [Google Scholar] [CrossRef]
- Vermote, E.; Justice, C.; Claverie, M.; Franch, B. Preliminary analysis of the performance of the Landsat 8/OLI land surface reflectance product. Remote Sens. Environ. 2016, 185, 46–56. [Google Scholar] [CrossRef] [PubMed]
- Wang, C.; Jia, M.; Chen, N.; Wang, W. Long-term surface water dynamics analysis based on Landsat imagery and the Google Earth Engine platform: A case study in the middle Yangtze River Basin. Remote Sens. 2018, 10, 1635. [Google Scholar] [CrossRef] [Green Version]
- McNally, A. FLDAS noah land surface model L4 global monthly 0.1 × 0.1 degree (MERRA-2 and CHIRPS). Atmos. Compos. Water Energy Cycles Clim. Var. 2018. Available online: https://developers.google.com/earth-engine/datasets/catalog/NASA_FLDAS_NOAH01_C_GL_M_V001 (accessed on 1 April 2022).
- Jafari, M.; Hasanlou, M.; Arefi, H. SRTM DEM enhancement using a single set of PolSAR data based on the polarimetry-clinometry model. Int. J. Remote Sens. 2019, 40, 8979–9002. [Google Scholar] [CrossRef]
- Sulla-Menashe, D.; Friedl, M.A. User Guide to Collection 6 MODIS Land Cover (MCD12Q1 and MCD12C1) Product; USGS: Reston, VA, USA, 2018; pp. 1–18. [Google Scholar]
- Zeug, G.; Eckert, S. Population growth and its expression in spatial built-up patterns: The Sana’a, Yemen case study. Remote Sens. 2010, 2, 1014–1034. [Google Scholar] [CrossRef] [Green Version]
- Faragó, S.; Hangya, K. Effects of water level on waterbird abundance and diversity along the middle section of the Danube River. Hydrobiologia 2012, 697, 15–21. [Google Scholar] [CrossRef]
- Carrasco, L.; O’Neil, A.W.; Morton, R.D.; Rowland, C.S. Evaluating combinations of temporally aggregated Sentinel-1, Sentinel-2 and Landsat 8 for land cover mapping with Google Earth Engine. Remote Sens. 2019, 11, 288. [Google Scholar] [CrossRef] [Green Version]
- Yang, J.; Li, W. Feature selection methods in extracting impervious surface from Landsat TM image. Ann. GIS 2013, 19, 253–261. [Google Scholar] [CrossRef]
- Pettorelli, N. The Normalized Difference Vegetation Index; Oxford University Press: Oxford, UK, 2013. [Google Scholar]
- Ghaderpour, E.; Vujadinovic, T. Change detection within remotely sensed satellite image time series via spectral analysis. Remote Sens. 2020, 12, 4001. [Google Scholar] [CrossRef]
- Liu, H.Q.; Huete, A. A feedback based modification of the NDVI to minimize canopy background and atmospheric noise. IEEE Trans. Geosci. Remote Sens. 1995, 33, 457–465. [Google Scholar] [CrossRef]
- Nguyen, U.N.; Pham, L.T.; Dang, T.D. An automatic water detection approach using Landsat 8 OLI and Google Earth Engine cloud computing to map lakes and reservoirs in New Zealand. Environ. Monit. Assess. 2019, 191, 1–12. [Google Scholar] [CrossRef]
- Wang, Y.; Ma, J.; Xiao, X.; Wang, X.; Dai, S.; Zhao, B. Long-term dynamic of Poyang Lake surface water: A mapping work based on the google earth engine cloud platform. Remote Sens. 2019, 11, 313. [Google Scholar] [CrossRef] [Green Version]
- Baig, M.H.A.; Zhang, L.; Shuai, T.; Tong, Q. Derivation of a tasselled cap transformation based on Landsat 8 at-satellite reflectance. Remote Sens. Lett. 2014, 5, 423–431. [Google Scholar] [CrossRef]
- Huang, C.; Wylie, B.; Yang, L.; Homer, C.; Zylstra, G. Derivation of a tasselled cap transformation based on Landsat 7 at-satellite reflectance. Int. J. Remote Sens. 2002, 23, 1741–1748. [Google Scholar] [CrossRef]
- Li, J.; Sheng, Y. An automated scheme for glacial lake dynamics mapping using Landsat imagery and digital elevation models: A case study in the Himalayas. Int. J. Remote Sens. 2012, 33, 5194–5213. [Google Scholar] [CrossRef]
- Likas, A.; Vlassis, N.; Verbeek, J.J. The global k-means clustering algorithm. Pattern Recognit. 2003, 36, 451–461. [Google Scholar] [CrossRef] [Green Version]
- Belgiu, M.; Drăguţ, L. Random forest in remote sensing: A review of applications and future directions. ISPRS J. Photogramm. Remote Sens. 2016, 114, 24–31. [Google Scholar] [CrossRef]
- Mountrakis, G.; Im, J.; Ogole, C. Support vector machines in remote sensing: A review. ISPRS J. Photogramm. Remote Sens. 2011, 66, 247–259. [Google Scholar] [CrossRef]
- Cánovas-García, F.; Alonso-Sarría, F.; Gomariz-Castillo, F.; Oñate-Valdivieso, F. Modification of the random forest algorithm to avoid statistical dependence problems when classifying remote sensing imagery. Comput. Geosci. 2017, 103, 1–11. [Google Scholar] [CrossRef] [Green Version]
- Ghimire, B.; Rogan, J.; Galiano, V.R.; Panday, P.; Neeti, N. An evaluation of bagging, boosting, and random forests for land-cover classification in Cape Cod, Massachusetts, USA. GIScience Remote Sens. 2012, 49, 623–643. [Google Scholar] [CrossRef]
- Tassi, A.; Vizzari, M. Object-oriented lulc classification in google earth engine combining snic, glcm, and machine learning algorithms. Remote Sens. 2020, 12, 3776. [Google Scholar] [CrossRef]
- Lv, Z.; Li, G.; Jin, Z.; Benediktsson, J.A.; Foody, G.M. Iterative training sample expansion to increase and balance the accuracy of land classification from VHR imagery. IEEE Trans. Geosci. Remote Sens. 2020, 59, 139–150. [Google Scholar] [CrossRef]
- Huang, X.; Weng, C.; Lu, Q.; Feng, T.; Zhang, L. Automatic labelling and selection of training samples for high-resolution remote sensing image classification over urban areas. Remote Sens. 2015, 7, 16024–16044. [Google Scholar] [CrossRef] [Green Version]
- Jiang, W.; He, G.; Pang, Z.; Guo, H.; Long, T.; Ni, Y. Surface water map of China for 2015 (SWMC-2015) derived from Landsat 8 satellite imagery. Remote Sens. Lett. 2020, 11, 265–273. [Google Scholar] [CrossRef]
- Xia, H.; Zhao, J.; Qin, Y.; Yang, J.; Cui, Y.; Song, H.; Ma, L.; Jin, N.; Meng, Q. Changes in water surface area during 1989–2017 in the Huai River Basin using Landsat data and Google earth engine. Remote Sens. 2019, 11, 1824. [Google Scholar] [CrossRef] [Green Version]
- Strahler, A.H.; Boschetti, L.; Foody, G.M.; Friedl, M.A.; Hansen, M.C.; Herold, M.; Mayaux, P.; Morisette, J.T.; Stehman, S.V.; Woodcock, C.E. Global land cover validation: Recommendations for evaluation and accuracy assessment of global land cover maps. Eur. Communities Luxemb. 2006, 51, 1–60. [Google Scholar]
- Taheri Dehkordi, A.; Valadan Zoej, M.J. Classification of croplands using sentinel-2 satellite images and a novel deep 3D convolutional neural network (case study: Shahrekord). Iran. J. Soil Water Res. 2021, 52, 1941–1953. [Google Scholar]
- McNemar, Q. Note on the sampling error of the difference between correlated proportions or percentages. Psychometrika 1947, 12, 153–157. [Google Scholar] [CrossRef]
- Peyravi, M.; Peyvandi, A.A.; Khodadadi, A.; Marzaleh, M.A. Flood in the South-West of Iran in 2019; causes, problems, actions and lesson learned. Bull. Emerg. Trauma 2019, 7, 199. [Google Scholar] [CrossRef]
- Acharya, T.D.; Subedi, A.; Lee, D.H. Evaluation of machine learning algorithms for surface water extraction in a Landsat 8 scene of Nepal. Sensors 2019, 19, 2769. [Google Scholar] [CrossRef] [Green Version]
- Wu, Y.; Duguay, C.R.; Xu, L. Assessment of machine learning classifiers for global lake ice cover mapping from MODIS TOA reflectance data. Remote Sens. Environ. 2021, 253, 112206. [Google Scholar] [CrossRef]
- Balázs, B.; Bíró, T.; Dyke, G.; Singh, S.K.; Szabó, S. Extracting water-related features using reflectance data and principal component analysis of Landsat images. Hydrol. Sci. J. 2018, 63, 269–284. [Google Scholar] [CrossRef]
- Thakkar, A.K.; Desai, V.R.; Patel, A.; Potdar, M.B. An effective hybrid classification approach using tasseled cap transformation (TCT) for improving classification of land use/land cover (LU/LC) in semi-arid region: A case study of Morva-Hadaf watershed, Gujarat, India. Arab. J. Geosci. 2016, 9, 180. [Google Scholar] [CrossRef]
- Eslamian, S.; Jahadi, M. Monitoring and prediction of drought by Markov chain model based on SPI and new index in Isfahan. Int. J. Hydrol. Sci. Technol. 2019, 9, 355–365. [Google Scholar] [CrossRef]
- Moradi, Y.; Said, M.; Bin, I. Drought impacts and vulnerability in Isfahan Province. World Acad. Sci. Eng. Technol. 2011, 53, 740. [Google Scholar]
- Khosravi, I.; Jouybari-Moghaddam, Y.; Sarajian, M.R. The comparison of NN, SVR, LSSVR and ANFIS at modeling meteorological and remotely sensed drought indices over the eastern district of Isfahan, Iran. Nat. Hazards 2017, 87, 1507–1522. [Google Scholar] [CrossRef]
- Dehcheshmeh, M.M.; Ghaedi, S. Climate change and ecological migration: A study of villages in the province of Khuzestan, Iran. Environ. Res. Eng. Manag. 2020, 76, 6–19. [Google Scholar] [CrossRef] [Green Version]
- Hunt, J.D.; Falchetta, G.; Zakeri, B.; Nascimento, A.; Schneider, P.S.; Weber, N.A.B.; Mesquita, A.L.A.; Barbosa, P.S.F.; de Castro, N.J. Hydropower impact on the river flow of a humid regional climate. Clim. Chang. 2020, 163, 379–393. [Google Scholar] [CrossRef]
- Jiang, Z.; Song, P.; Liao, X. Optimization of year-end water level of multi-year regulating reservoir in cascade hydropower system considering the inflow frequency difference. Energies 2020, 13, 5345. [Google Scholar] [CrossRef]
- Liu, Y.; Jiang, Z.; Feng, Z.; Chen, Y.; Zhang, H.; Chen, P. Optimization of energy storage operation chart of cascade reservoirs with multi-year regulating reservoir. Energies 2019, 12, 3814. [Google Scholar] [CrossRef] [Green Version]
- Rocha, J.; Carvalho-Santos, C.; Diogo, P.; Beça, P.; Keizer, J.J.; Nunes, J.P. Impacts of climate change on reservoir water availability, quality and irrigation needs in a water scarce Mediterranean region (southern Portugal). Sci. Total Environ. 2020, 736, 139477. [Google Scholar] [CrossRef]
- Ghorbanian, A.; Kakooei, M.; Amani, M.; Mahdavi, S.; Mohammadzadeh, A.; Hasanlou, M. Improved land cover map of Iran using Sentinel imagery within Google Earth Engine and a novel automatic workflow for land cover classification using migrated training samples. ISPRS J. Photogramm. Remote Sens. 2020, 167, 276–288. [Google Scholar] [CrossRef]
- Van De Kerchove, R.; Zanaga, D.; De Keersmaecker, W.; Souverijns, N.; Wevers, J.; Brockmann, C.; Grosu, A.; Paccini, A.; Cartus, O.; Santoro, M. ESA WorldCover: Global land cover mapping at 10 m resolution for 2020 based on Sentinel-1 and 2 data. In Proceedings of the AGU Fall Meeting 2021, New Orleans, LA, USA, 13–17 December 2021. [Google Scholar]
- Schleiss, A.J.; Franca, M.J.; Juez, C.; De Cesare, G. Reservoir sedimentation. J. Hydraul. Res. 2016, 54, 595–614. [Google Scholar] [CrossRef]
- Ghaderpour, E.; Vujadinovic, T.; Hassan, Q.K. Application of the least-squares wavelet software in hydrology: Athabasca River basin. J. Hydrol. Reg. Stud. 2021, 36, 100847. [Google Scholar] [CrossRef]
- Wang, J.; Ding, J.; Li, G.; Liang, J.; Yu, D.; Aishan, T.; Zhang, F.; Yang, J.; Abulimiti, A.; Liu, J. Dynamic detection of water surface area of Ebinur Lake using multi-source satellite data (Landsat and Sentinel-1A) and its responses to changing environment. Catena 2019, 177, 189–201. [Google Scholar] [CrossRef]
- Jafari, M.; Maghsoudi, Y.; Zoej, M.J.V. Analyzing polarimetric signatures for different features in polarimetric SAR data. In Proceedings of the 2014 IEEE Geoscience and Remote Sensing Symposium, Quebec City, QC, Canada, 13–18 July 2014; pp. 2782–2785. [Google Scholar]
- Dehkordi, A.T.; Beirami, B.A.; Zoej, M.J.V.; Mokhtarzade, M. Performance Evaluation of Temporal and Spatial-Temporal Convolutional Neural Networks for Land-Cover Classification (A Case Study in Shahrekord, Iran). In Proceedings of the 2021 5th International Conference on Pattern Recognition and Image Analysis (IPRIA), Kashan, Iran, 28–29 April 2021; pp. 1–5. [Google Scholar]
- Esfahani, M.M.; Sadati, H. fNIRS Signals Classification with Ensemble Learning and Adaptive Neuro-Fuzzy Inference System. In Proceedings of the 2021 7th International Conference on Signal Processing and Intelligent Systems (ICSPIS), Tehran, Iran, 29–30 December 2021; pp. 1–5. [Google Scholar]
- Rahmati, A.; Zoej, M.J.V.; Dehkordi, A.T. Early identification of crop types using Sentinel-2 satellite images and an incremental multi-feature ensemble method (Case study: Shahriar, Iran). Adv. Space Res. 2022. Available online: https://www.sciencedirect.com/science/article/abs/pii/S0273117722004173 (accessed on 25 May 2022). [CrossRef]









| Site | River | Opening Date | Catchment Area (km2) |
|---|---|---|---|
| Karun-1 (K1) | Karun | 1976 | 1436.6 |
| Karun-3 (K3) | 2005 | 3292.3 | |
| Karun-4 (K4) | 2010 | 1177.5 | |
| Upper Gotvand (UG) | 2012 | 3904.1 | |
| KArkhe (KA) | Karkhe | 2001 | 4318.5 |
| DEZ | Dez | 1963 | 6268.6 |
| GolPayegan (GP) | Anaarbar | 1970 | 3533.7 |
| ZayandeRud (ZR) | Zayenderud | 1971 | 1599.3 |
| Test Data | |||
|---|---|---|---|
| Water | Non-Water | ||
| Classification Result | Water | TP | FP |
| Non-Water | FN | TN | |
| All vs. TC | All vs. PCA | All vs. SI | ||||
|---|---|---|---|---|---|---|
| Year | χ2 | p-Value | χ2 | p-Value | χ2 | p-Value |
| 2021 | 25.89 | <0.001 | 41.88 | <0.001 | 106.51 | <0.001 |
| 2020 | 9.97 | <0.01 | 23.14 | <0.001 | 57.63 | <0.001 |
| 2019 | 7.48 | <0.01 | 19.66 | <0.001 | 37.15 | <0.001 |
| Site | Site | ||||
|---|---|---|---|---|---|
| K1 | 0.69 | 0.29 | K3 | 0.54 | 0.22 |
| DEZ | 0.79 | 0.23 | UG | 0.73 | 0.29 |
| ZR | 0.63 | 0.39 | K4 | 0.51 | 0.27 |
| KA | 0.6 | 0.22 | GP | 0.65 | 0.31 |
Publisher’s Note: MDPI stays neutral with regard to jurisdictional claims in published maps and institutional affiliations. |
© 2022 by the authors. Licensee MDPI, Basel, Switzerland. This article is an open access article distributed under the terms and conditions of the Creative Commons Attribution (CC BY) license (https://creativecommons.org/licenses/by/4.0/).
Share and Cite
Taheri Dehkordi, A.; Valadan Zoej, M.J.; Ghasemi, H.; Ghaderpour, E.; Hassan, Q.K. A New Clustering Method to Generate Training Samples for Supervised Monitoring of Long-Term Water Surface Dynamics Using Landsat Data through Google Earth Engine. Sustainability 2022, 14, 8046. https://doi.org/10.3390/su14138046
Taheri Dehkordi A, Valadan Zoej MJ, Ghasemi H, Ghaderpour E, Hassan QK. A New Clustering Method to Generate Training Samples for Supervised Monitoring of Long-Term Water Surface Dynamics Using Landsat Data through Google Earth Engine. Sustainability. 2022; 14(13):8046. https://doi.org/10.3390/su14138046
Chicago/Turabian StyleTaheri Dehkordi, Alireza, Mohammad Javad Valadan Zoej, Hani Ghasemi, Ebrahim Ghaderpour, and Quazi K. Hassan. 2022. "A New Clustering Method to Generate Training Samples for Supervised Monitoring of Long-Term Water Surface Dynamics Using Landsat Data through Google Earth Engine" Sustainability 14, no. 13: 8046. https://doi.org/10.3390/su14138046
APA StyleTaheri Dehkordi, A., Valadan Zoej, M. J., Ghasemi, H., Ghaderpour, E., & Hassan, Q. K. (2022). A New Clustering Method to Generate Training Samples for Supervised Monitoring of Long-Term Water Surface Dynamics Using Landsat Data through Google Earth Engine. Sustainability, 14(13), 8046. https://doi.org/10.3390/su14138046

