Construction and Validity of an Instrument to Evaluate Renewable Energies and Energy Sustainability Perceptions for Social Consciousness
Abstract
1. Introduction
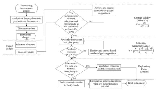
2. Materials and Methods
2.1. Proposed Instrument
2.2. Expert Review and Content Validity Study by Expert Judgment
2.3. Pilot Test Application
2.4. Methodology Limitations
3. Results
3.1. Expert Review and Expert Judgment
3.2. Pilot Group
4. Discussion and Conclusions
Author Contributions
Funding
Informed Consent Statement
Data Availability Statement
Conflicts of Interest
Nomenclature
| Aiken’s V | Content validity Aiken’s V |
| item validity index | |
| scores assigned by each rater | |
| number of raters | |
| number of categories that raters can choose | |
| α | Cronbach’s alpha |
| the number of survey items in the scale | |
| the variance of the observed total scores | |
| the variance of item for person | |
| REES | Renewable Energy and Environmental Sustainability |
| EFA | Exploratory Factor Analysis |
| KMO | Kaiser Meyer Olkin |
| G-K | Gutman-Kaiser |
| gl | degrees of freedom |
References
- Molina, M.G.; Mercado, P.E.; Wiernes, P.E. Análisis y simulación de algoritmos de control para el seguimiento del punto de máxima potencia de sistemas solares fotovoltaicos conectados a la red eléctrica. Av. Energías Renov. Medio Ambiente 2007, 11, 153–160. [Google Scholar]
- Zhang, Y.; Peng, C.; Guo, Z.; Xiao, X.; Xiao, R. Polycyclic aromatic hydrocarbons in urban soils of China: Distribution, influencing factors, health risk and regression prediction. Environ. Pollut. 2019, 254, 112930. [Google Scholar] [CrossRef]
- Xia, L.-W.; Cao, J.; Wang, M.; Mi, J.-L.; Wang, T.-T. A review of carbonates as hydrocarbon source rocks: Basic geochemistry and oil–gas generation. Pet. Sci. 2019, 16, 713–728. [Google Scholar] [CrossRef]
- Rani, P.; Mishra, A.R.; Mardani, A.; Cavallaro, F.; Alrasheedi, M.; AlRashidi, A. A novel approach to extended fuzzy TOPSIS based on new divergence measures for renewable energy sources selection. J. Clean. Prod. 2020, 257, 120352. [Google Scholar] [CrossRef]
- Tirapegui, W.J. Introducción a las Energías Renovables No Convencionales, 1st ed.; Libro 156.805; Fyrma: Santiago de Chile, Chile, 2006. [Google Scholar]
- Mellit, A.; Kalogirou, S.; Hontoria, L.; Shaari, S. Artificial intelligence techniques for sizing photovoltaic systems: A review. Renew. Sustain. Energy Rev. 2009, 13, 406–419. [Google Scholar] [CrossRef]
- Büyüközkan, G.; Güleryüz, S. An integrated DEMATEL-ANP approach for renewable energy resources selection in Turkey. Int. J. Prod. Econ. 2016, 182, 435–448. [Google Scholar] [CrossRef]
- Kahraman, C.; Kaya, I.; Cebi, S. A comparative analysis for multiattribute selection among renewable energy alternatives using fuzzy axiomatic design and fuzzy analytic hierarchy process. Energy 2009, 34, 1603–1616. [Google Scholar] [CrossRef]
- Kuriqi, A.; Pinheiro, A.N.; Sordo-Ward, A.; Garrote, L. Water-energy-ecosystem nexus: Balancing competing interests at a run-of-river hydropower plant coupling a hydrologic–ecohydraulic approach. Energy Convers. Manag. 2020, 223, 113267. [Google Scholar] [CrossRef]
- Suwal, N.; Huang, X.; Kuriqi, A.; Chen, Y.; Pandey, K.P.; Bhattarai, K.P. Optimisation of cascade reservoir operation considering environmental flows for different environmental management classes. Renew. Energy 2020, 158, 453–464. [Google Scholar] [CrossRef]
- Suwal, N.; Kuriqi, A.; Huang, X.; Delgado, J.; Młyński, D.; Walega, A. Environmental Flows Assessment in Nepal: The Case of Kaligandaki River. Sustainability 2020, 12, 8766. [Google Scholar] [CrossRef]
- Sharif, A.; Meo, M.S.; Chowdhury, M.A.F.; Sohag, K. Role of solar energy in reducing ecological footprints: An empirical analysis. J. Clean. Prod. 2021, 292, 126028. [Google Scholar] [CrossRef]
- Shahsavari, A.; Akbari, M. Potential of solar energy in developing countries for reducing energy-related emissions. Renew. Sustain. Energy Rev. 2018, 90, 275–291. [Google Scholar] [CrossRef]
- Saidur, R.; Rahim, N.; Islam, M.; Solangi, K. Environmental impact of wind energy. Renew. Sustain. Energy Rev. 2011, 15, 2423–2430. [Google Scholar] [CrossRef]
- Wang, Z.; Bui, Q.; Zhang, B.; Pham, T.L.H. Biomass energy production and its impacts on the ecological footprint: An investigation of the G7 countries. Sci. Total. Environ. 2020, 743, 140741. [Google Scholar] [CrossRef]
- Martínez-Mendoza, E.; Rivas-Tovar, L.A.; Vera-Martínez, P.S. The wind energy between Mexico and Spain. Perf. Latinoam. 2019, 27, 1–21. [Google Scholar]
- Izagirre-Olaizola, J.; Fernández-Sainz, A.; Vicente-Molina, M.A. Antecedentes y barreras a la compra de productos ecológicos (Background and barriers to buying organic products). Universia Bus. Rev. 2013, 38, 108–127. [Google Scholar]
- Miguens, M.J.L.; González, P.; Álvarez Vázquez, E.G.; Rodríguez, M.J.G. Medidas del comportamiento ecológico y antecedentes. Conceptualización y validación empírica de escalas. Univ. Psychol. 2014, 14, 189–204. [Google Scholar] [CrossRef][Green Version]
- Martínez, P.; González, N. Las competencias transversales en la universidad: Propiedades psicométricas de un cuestionario (Transversal competences at university: Psychometric properties of a questionnaire). Educ. XX1 2018, 21, 231–262. [Google Scholar]
- Barrera, L.F.; Ocaña, J.; Sotelo, M.A.; Echeverría, S.B. Conductas sustentables en estudiantes universitarios de México (Sustainable behaviors in university students in Mexico). Atenas 2019, 45, 20–35. [Google Scholar]
- Serrano, M.L.; Molina-Ruiz, J. La percepción social de las energías renovables a través de una encuesta de opinión. Un caso práctico en localidades del noroeste murciano (The social perception of renewable energy through an opinion poll. A case study in locations in the north west of Murcia). Pap. Geogr. 2006, 44, 141–152. [Google Scholar]
- González, M.I.; Estévez, B. Participación, comunicación y negociación en conflictos ambientales: Energía eólica marina en el mar de Trafalgar (Participation, communication and negotiation in environmental conflicts: Offshore wind energy in the Trafalgar Sea). Arbor 2005, 715, 377–392. [Google Scholar] [CrossRef]
- Muñóz, M.; Cruz, I.; Albesa, F.; Altobelli, F.; Condorí, M. Percepción social de la implementación de energía solar térmica al proceso de curado de tabaco (Social perception of the implementation of solar thermal energy in the tobacco curing process). In Proceedings of the XXXIX Reunión de Trabajo de la Asociación Argentina de Energías Renovables y Medio Ambiente (ASADES), Buenos Aires, Argentina, 25–28 October 2016. [Google Scholar]
- Arenas-Aquino, Á.R.; Matsumoto-Kuwabara, Y.; Kleiche-Dray, M. Energía solar y marginación. Análisis de la percepción social sobre nuevas tecnologías para la articulación de una transición energética en el municipio de Nezahualcóyotl, México (Solar energy and marginalization. Analysis of social perception about new technologies for the articulation of an energy transition in the municipality of Nezahualcóyotl, Mexico). Rev. Int. Contam. Ambient. 2017, 3, 449–461. [Google Scholar]
- Blackman, A.; Bannister, G.J. Community Pressure and Clean Technology in the Informal Sector: An Econometric Analysis of the Adoption of Propane by Traditional Mexican Brickmakers. J. Environ. Econ. Manag. 1998, 35, 1–21. [Google Scholar] [CrossRef]
- Matos, Y.M.; Pasek, E.L.; Peña, M.L.; Briceño, M.V. Participación Ciudadana para una Educación Ambiental Sustentable (Citizen Participation for a Sustainable Environmental Education). Rev. Sci. 2018, 9, 233–255. [Google Scholar] [CrossRef]
- Kim, S.; Jeong, S.H.; Hwang, Y. Predictors of pro-environmental behaviors of American and Korean students: The application of the theory of reasoned action and protection motivation theory. Sci. Commun. 2013, 35, 168–188. [Google Scholar] [CrossRef]
- Untaru, E.-N.; Ispas, A.; Candrea, A.N.; Luca, M.; Epuran, G. Predictors of individuals’ intention to conserve water in a lodging context: The application of an extended Theory of Reasoned Action. Int. J. Hosp. Manag. 2016, 59, 50–59. [Google Scholar] [CrossRef]
- Jorgensen, B.S.; Martin, J.F.; Pearce, M.; Willis, E. Some difficulties and inconsistencies when using habit strength and reasoned action variables in models of metered household water conservation. J. Environ. Manag. 2013, 115, 124–135. [Google Scholar] [CrossRef]
- Bamberg, S.; Rees, J.; Seebauer, S. Collective climate action: Determinants of participation intention in community-based pro-environmental initiatives. J. Environ. Psychol. 2015, 43, 155–165. [Google Scholar] [CrossRef]
- Vallerand, R.J.; Deshaies, P.; Cuerrier, J.P.; Pelletier, L.G.; Mongeau, C. Ajzen and Fishbein’s theory of reasoned action as applied to moral behavior: A confirmatory analysis. J. Personal. Soc. Psychol. 1992, 62, 98. [Google Scholar] [CrossRef]
- Sheppard, B.H.; Hartwick, J.; Warshaw, P.R. The Theory of Reasoned Action: A Meta-Analysis of Past Research with Recommendations for Modifications and Future Research. J. Consum. Res. 1988, 15, 325–343. [Google Scholar] [CrossRef]
- Stern, P.C. Information, Incentives, and Proenvironmental Consumer Behavior. J. Consum. Policy 1999, 22, 461–478. [Google Scholar] [CrossRef]
- Dietz, T.; Stern, P.C. Toward a theory of choice: Socially embedded preference construction. J. Socio-Econ. 1995, 24, 261–279. [Google Scholar] [CrossRef]
- Stern, P.C.; Dietz, T.; Guagnano, G.A. The New Ecological Paradigm in Social-Psychological Context. Environ. Behav. 1995, 27, 723–743. [Google Scholar] [CrossRef]
- Buela-Casal, G.; Sierra, J.C. Manual de Evaluación Psicológica: Fundamentos, Técnicas y Aplicaciones (Psychological Evaluation Manual: Foundations, Techniques and Applications); Siglo XXI de España: Madrid, Spain, 1997. [Google Scholar]
- Escobar-Pérez, J.; Cuervo-Martínez, Á. Validez de contenido y juicio de expertos: Una aproximación a su utilización (Content validity and expert judgment: An approach to its use). Av. Med. 2008, 1, 27–36. [Google Scholar]
- Burke, M.J.; Stephens, J.C. Political power and renewable energy futures: A critical review. Energy Res. Soc. Sci. 2018, 35, 78–93. [Google Scholar] [CrossRef]
- Montero, I.; León, O.G. Sistema de clasificación del método en los informes de investigación en Psicología (Method classification system in research reports in Psychology). Int. J. Clin. Health Psychol. 2005, 5, 115–127. [Google Scholar]
- Aiken, L.R. Content Validity and Reliability of Single Items or Questionnaires. Educ. Psychol. Meas. 1980, 40, 955–959. [Google Scholar] [CrossRef]
- Aiken, L.R. Three Coefficients for Analyzing the Reliability and Validity of Ratings. Educ. Psychol. Meas. 1985, 45, 131–142. [Google Scholar] [CrossRef]
- Cronbach, L.J. Coefficient alpha and the internal structure of tests. Psychometrika 1951, 16, 297–334. [Google Scholar] [CrossRef]
- Cronbach, L.J.; Shavelson, R.J. My Current Thoughts on Coefficient Alpha and Successor Procedures. Educ. Psychol. Meas. 2004, 64, 391–418. [Google Scholar] [CrossRef]
- Fernández-Gómez, E.; Martín-Salvador, A.; Luque-Vara, T.; Sánchez-Ojeda, M.A.; Navarro-Prado, S.; Enrique-Mirón, C. Content Validation through Expert Judgement of an Instrument on the Nutritional Knowledge, Beliefs, and Habits of Pregnant Women. Nutrients 2020, 12, 1136. [Google Scholar] [CrossRef] [PubMed]
- Penfield, R.D.; Giacobbi, P.R. Applying a Score Confidence Interval to Aiken’s Item Content-Relevance Index. Meas. Phys. Educ. Exerc. Sci. 2004, 4, 213–225. [Google Scholar] [CrossRef]
- Cicchetti, D.V. Guidelines, criteria, and rules of thumb for evaluating normed and standardized assessment instruments in psychology. Psychol. Assess. 1994, 6, 284–290. [Google Scholar] [CrossRef]
- De Winter, J.C.; Dodou, D. Factor recovery by principal axis factoring and maximum likelihood factor analysis as a function of factor pattern and sample size. J. Appl. Stat. 2012, 39, 695–710. [Google Scholar] [CrossRef]
- Hair, J.F.; Black, W.C.; Babin, B.J.; Anderson, R.E. Multivariate Data Analysis, 7th ed.; Prentice Hall: Upper Saddle River, NJ, USA, 2010. [Google Scholar]
- Berenguer, J.M.; Corraliza, J.A. Preocupación ambiental y comportamientos ecológicos (Environmental concern and ecological behavior). Psicothema 2000, 3, 325–329. [Google Scholar]
- López, M.C.; Hinojosa, E.F. Construction and validation of a questionnaire to study future teachers’ beliefs about cultural diversity. Int. J. Incl. Educ. 2016, 5, 503–519. [Google Scholar] [CrossRef]
- Brownstein, N.C.; Louis, T.A.; O’Hagan, A.; Pendergast, J. The Role of Expert Judgment in Statistical Inference and Evidence-Based Decision-Making. Am. Stat. 2019, 73, 56–68. [Google Scholar] [CrossRef]
- Kimberlin, C.L.; Winterstein, A.G. Validity and reliability of measurement instruments used in research. Am. J. Heal. Pharm. 2008, 65, 2276–2284. [Google Scholar] [CrossRef]
- Mills, A.; Butt, J.; Maynard, I.; Harwood, C. Identifying factors perceived to influence the development of elite youth football academy players. J. Sports Sci. 2012, 30, 1593–1604. [Google Scholar] [CrossRef]
- Mendoza, J.; Garza, J.B. La medición en el proceso de investigación científica: Evaluación de validez de contenido y confiabilidad (Measurement in the Scientific Research Process: Assessing Content Validity and Reliability). Innov. Neg. 2009, 11, 17–32. [Google Scholar]
- Carvajal, A.; Centeno, C.; Watson, R.; Martínez, M.; Sanz Rubiales, Á. Cómo validar un instrumento de medida de la salud? (How to validate a health measurement instrument?). In Anales del Sistema Sanitario de Navarra; Gobierno de Navarra, Departamento de Salud: Navarra, Spain, 2011; Volume 34, pp. 63–72. [Google Scholar]
- Córdoba, R.L. Recomendaciones sobre los procedimientos de construcción y validación de instrumentos y escalas de medición en la psicología de la salud (Recommendations on the construction and validation procedures of instruments and measurement scales in health psychology). Psicol. Salud 2017, 27, 5–18. [Google Scholar]
- Haynes, S.N.; Richard, D.; Kubany, E.S. Content validity in psychological assessment: A functional approach to concepts and methods. Psychol. Assess. 1995, 7, 238. [Google Scholar] [CrossRef]
- McFarland, G.K.; Polit, D.F.; Hungler, B.P. Nursing Research: Principles and Methods; Lippincott Williams & Wilkins: Philadelphia, PA, USA, 1999. [Google Scholar]
- Soriano, A.M. Diseño y validación de instrumentos de medición (Design and validation of measurement instruments). Diálogos 2014, 14, 19–40. [Google Scholar]
- Winer, M.; Welch, S.; Comer, J.C. Quantitative Methods for Public Administration: Techniques and Applications. J. Policy Anal. Manag. 1983, 2, 655. [Google Scholar] [CrossRef]
- Martínez, J.R. Los tamaños de las muestras en encuestas de las ciencias sociales y su repercusión en la generación del conocimiento (Sample sizes in social science surveys and their impact on knowledge generation). Innov. Neg. 2017, 11, 235–268. [Google Scholar]
- Leyva Barajas, Y.E. Una reseña sobre la validez de constructo de pruebas referidas a criterio (A review of the construct validity of criterion-referenced tests). Perf. Educ. 2011, 33, 131–154. [Google Scholar]
- Fernández, R.G.; Mozo, A.G.; Martínez, J.P.; Muñoz, A.M. Percepciones y actitudes sobre la energía sostenible en alumnos de Educación Secundaria y propuesta de actividades (Perceptions and attitudes about sustainable energy in Secondary Education students and proposed activities). Rev. Electrónica Medio Ambiente 2017, 18, 79–97. [Google Scholar]
- Armijo, G.; Roubelat, L.; Jara, P.; Whitman, C. Pobreza Energética: Perspectiva Desde La Intervención Urbana, Edificación y el Medio Ambiente (Energy Poverty: Perspective from Urban Intervention, Building and the Environment). Cuid. Arquit. 2016, 152. Available online: http://orca.cf.ac.uk/90886/ (accessed on 21 February 2021).
- Halkos, G.; Skouloudis, A. National CSR and institutional conditions: An exploratory study. J. Clean. Prod. 2016, 139, 1150–1156. [Google Scholar] [CrossRef]

| Dimensions | Instrument Questions |
|---|---|
| 1. Theoretical aspects. |
|
| 2. Wind and solar energies perception |
|
| 3. Individual and social interest of environmental care |
|
| 4. Environmental sustainability |
|
| Indicator | Experts | Expert Judges |
|---|---|---|
| Gender (%) | Men: 66.6% | Men: 77% |
| Women: 33.6% | Women: 23% | |
| Last level of study (%) | Master’s: 0% | Master’s: 66% |
| Doctorate: 100% | Doctorate: 33% | |
| Post-doctorate: 0% | Post-doctorate: 0% | |
| Areas of professional experience (%) | Technology: 0% | Technology: 33.30% |
| Teaching: 100% | Teaching: 66.70% | |
| Number of years of professional experience (Mean + standard deviation) | 28.6 + 10.1 | 20 + 9.6 |
| Number of years of teaching-research experience (Mean + standard deviation) | 13 + 4.35 | 11.22 + 3.45 |
| Number of articles published (Mean + standard deviation) | 9.6 + 9.1 | 7.66 + 9.93 |
| Number of books published (Mean + standard deviation) | 0.33 + 0.57 | 0.44 + 0.72 |
| Number of papers published in conference proceedings or minutes books and scientific events (Mean + standard deviation) | 6 + 3.6 | 9.55 + 13.57 |
| Experience in reviewing, designing, and/or validating research instrument (%) | 100% | 100% |
| Dimensions | Relevance | Writing Quality | ||||||
|---|---|---|---|---|---|---|---|---|
| Low Level | Acceptable Level | Good Level | Excellent Level | Low Level | Acceptable Level | Good Level | Excellent Level | |
| 1. | - | 7.66% | 24.44% | 68.14% | - | 7.40% | 23.70% | 68.51% |
| 2. | - | 8.11% | 24.46% | 67.27% | - | 11.49% | 20.57% | 68.29% |
| 3. | 7.11% | - | 24.44% | 68.44% | 5.05% | 5.05% | 20.50% | 67.55% |
| 4. | - | - | 22.61% | 77.39% | - | 11.11% | 33.33% | 55.55% |
| Ítem | Relevance/Pertinence | IC 99% | Writing | IC 99% | ||
|---|---|---|---|---|---|---|
| Aiken’s V | Lower Value | Top Value | Aiken’s V | Lower Value | Top Value | |
| 1 | 0.852 | 0.647 | 0.948 | 0.852 | 0.647 | 0.948 |
| 2 | 0.926 | 0.737 | 0.982 | 0.926 | 0.737 | 0.982 |
| 3 | 0.889 | 0.691 | 0.966 | 0.889 | 0.691 | 0.966 |
| 4 | 0.852 | 0.647 | 0.948 | 0.852 | 0.647 | 0.948 |
| 5 | 0.926 | 0.737 | 0.982 | 0.926 | 0.737 | 0.982 |
| 6 | 0.889 | 0.691 | 0.966 | 0.852 | 0.647 | 0.948 |
| 7 | 0.889 | 0.691 | 0.966 | 0.889 | 0.691 | 0.966 |
| 8 | 0.889 | 0.691 | 0.966 | 0.889 | 0.691 | 0.966 |
| 9 | 0.852 | 0.647 | 0.948 | 0.815 | 0.605 | 0.927 |
| 10 | 0.852 | 0.647 | 0.948 | 0.704 | 0.489 | 0.855 |
| 11 | 0.926 | 0.737 | 0.982 | 0.926 | 0.737 | 0.982 |
| 12 | 0.815 | 0.605 | 0.927 | 0.815 | 0.605 | 0.927 |
| 13 | 0.889 | 0.691 | 0.966 | 0.889 | 0.691 | 0.966 |
| 14 | 0.926 | 0.737 | 0.982 | 0.926 | 0.737 | 0.982 |
| 15 | 0.926 | 0.737 | 0.982 | 0.926 | 0.737 | 0.982 |
| 16 | 0.963 | 0.787 | 0.995 | 0.963 | 0.787 | 0.995 |
| 17 | 0.778 | 0.565 | 0.904 | 0.704 | 0.489 | 0.855 |
| 18 | 0.926 | 0.737 | 0.982 | 0.926 | 0.737 | 0.982 |
| 19 | 0.963 | 0.787 | 0.995 | 0.963 | 0.787 | 0.995 |
| 20 | 0.889 | 0.691 | 0.966 | 0.889 | 0.691 | 0.966 |
| 21 | 0.963 | 0.787 | 0.995 | 0.963 | 0.787 | 0.995 |
| 22 | 0.926 | 0.737 | 0.982 | 0.926 | 0.737 | 0.982 |
| 23 | 0.778 | 0.565 | 0.904 | 0.667 | 0.45 | 0.829 |
| 24 | 0.926 | 0.737 | 0.982 | 0.889 | 0.691 | 0.966 |
| 25 | 0.926 | 0.737 | 0.982 | 0.926 | 0.737 | 0.982 |
| 26 | 0.815 | 0.605 | 0.927 | 0.815 | 0.605 | 0.927 |
| 27 | 0.926 | 0.737 | 0.982 | 0.926 | 0.737 | 0.982 |
| 28 | 0.963 | 0.787 | 0.995 | 0.963 | 0.787 | 0.995 |
| 29 | 0.963 | 0.787 | 0.995 | 0.963 | 0.787 | 0.995 |
| 30 | 0.963 | 0.787 | 0.995 | 0.963 | 0.787 | 0.995 |
| 31 | 0.963 | 0.787 | 0.995 | 0.963 | 0.787 | 0.995 |
| 32 | 0.778 | 0.565 | 0.904 | 0.815 | 0.605 | 0.927 |
| 33 | 0.852 | 0.647 | 0.948 | 0.815 | 0.605 | 0.927 |
| 34 | 0.889 | 0.691 | 0.966 | 0.926 | 0.737 | 0.982 |
| Item | Factor 1 | Factor 2 | Factor 3 | Factor 4 |
|---|---|---|---|---|
| 1 | 0.69 | |||
| 2 | 0.745 | |||
| 3 | 0.769 | |||
| 4 | 0.667 | |||
| 5 | 0.666 | |||
| 6 | 0.665 | |||
| 7 | 0.71 | |||
| 8 | 0.593 | |||
| 9 | 0.534 | |||
| 10 | 0.514 | |||
| 11 | 0.638 | |||
| 14 | 0.646 | |||
| 15 | 0.71 | |||
| 16 | 0.701 | |||
| 19 | 0.7 | |||
| 20 | 0.599 | |||
| 21 | 0.473 | |||
| 23 | 0.687 | |||
| 24 | 0.693 | |||
| 25 | 0.69 | |||
| 31 | 0.539 | |||
| 32 | 0.468 | |||
| 33 | 0.558 | |||
| 34 | 0.71 |
Publisher’s Note: MDPI stays neutral with regard to jurisdictional claims in published maps and institutional affiliations. |
© 2021 by the authors. Licensee MDPI, Basel, Switzerland. This article is an open access article distributed under the terms and conditions of the Creative Commons Attribution (CC BY) license (http://creativecommons.org/licenses/by/4.0/).
Share and Cite
Acosta-Banda, A.; Aguilar-Esteva, V.; Patiño Ortiz, M.; Patiño Ortiz, J. Construction and Validity of an Instrument to Evaluate Renewable Energies and Energy Sustainability Perceptions for Social Consciousness. Sustainability 2021, 13, 2333. https://doi.org/10.3390/su13042333
Acosta-Banda A, Aguilar-Esteva V, Patiño Ortiz M, Patiño Ortiz J. Construction and Validity of an Instrument to Evaluate Renewable Energies and Energy Sustainability Perceptions for Social Consciousness. Sustainability. 2021; 13(4):2333. https://doi.org/10.3390/su13042333
Chicago/Turabian StyleAcosta-Banda, Adán, Verónica Aguilar-Esteva, Miguel Patiño Ortiz, and Julián Patiño Ortiz. 2021. "Construction and Validity of an Instrument to Evaluate Renewable Energies and Energy Sustainability Perceptions for Social Consciousness" Sustainability 13, no. 4: 2333. https://doi.org/10.3390/su13042333
APA StyleAcosta-Banda, A., Aguilar-Esteva, V., Patiño Ortiz, M., & Patiño Ortiz, J. (2021). Construction and Validity of an Instrument to Evaluate Renewable Energies and Energy Sustainability Perceptions for Social Consciousness. Sustainability, 13(4), 2333. https://doi.org/10.3390/su13042333

