Abstract
The composting of green waste (GW) proceeds slowly due to the presence of slowly degradable compounds in that substrate. The introduction of amendments and bulking materials can improve organic matter degradation and end-product quality. However, additional strategies such as two-stage composting, can deal with the slow degradation of green waste. This paper evaluates the effect of two-stage composting on the process and end-product quality of the co-composting of green waste and food waste amended with sawdust and phosphate rock. A pilot-scale study was developed using two treatments (in triplicate each), one being a two-stage composting and the other being a traditional composting. The two treatments used the same mixture (wet weight): 46% green waste, 19% unprocessed food waste, 18% processed food waste, 13% sawdust, and 4% phosphate rock. The traditional composting observed a higher degradation rate of organic matter during the mesophilic and thermophilic phases and observed thermophilic temperatures were maintained for longer periods during these two phases compared to two-stage composting (i.e., six days). Nonetheless, during the cooling and maturation phases, the two treatments had similar behaviors with regard to temperature, pH, and electrical conductivity, and the end-products resulting from both treatments did not statistically differ. Therefore, from this study, it is concluded that other additional complementary strategies must be evaluated to further improve GW composting.
1. Introduction
Green waste (GW) is a major component of municipal solid waste (MSW). GW consists of tree wood and bark, pruning from young trees and shrubs, dead and green leaves, grass clippings and soil, and originates from municipal parks, gardens, reserves, and domestic dwellings among others [1]. Composting is an effective method for managing GW because it reduces its volume and generates a product rich in nutrients which can be used for soils and plants [2]. However, GW composting is a challenge due to the relatively high content of lignocellulosic substances, which are difficult for microorganisms to degrade [3,4]. This has led to failures in some GW composting plants due to the generation of immature products, plant under-sizing and odor emissions [5,6].
The reduction of processing times and the improvement of end-product quality have become important goals during GW composting [5,7]. Different studies have focused on GW composting optimization using different strategies: (i) the addition of microbial inoculum [8]; (ii) co-composting with different supplementary materials (bulking or amendment) [9]; (iii) operational changes to the process [10,11].
Regarding co-composting of GW, different materials have been used as amendments or bulking agents, such as: wood chips [4], biosolids [8], sulfur [9], seaweed and bentonite [10], brown sugar [11], fly ash and jaggery [12], elemental, bio-char [13], pig manure [14], cow dung (CD) and spent coffee grounds (SCG) [15]. The introduction of these materials aims to add essential nutrients, readily available carbon forms, compounds to regulate pH or control moisture. These additives have increased microbial activity, accelerated organic matter degradation, and improved end-product quality [12,16].
Likewise, the low content of phosphorous, which is characteristic of GW, has been adjusted by adding phosphate rock (PR), which improves end-product quality and can reduce nitrogen volatilization [6,9]. However, PR must be added in concentrations that do not inhibit the process [17] or excessively increase its content in the end-product [18].
Despite the variety of amendment materials used in GW composting, the literature assessing the addition of food waste (FW) as amendment material is scarce. FW has several advantages as an amendment material [1,19], namely: (i) FW is continually available in the MSW flow, which is important when the ability to acquire other co-substrates is limited; (ii) FW has a high content of readily available organic matter that complements the physicochemical characteristics of GW; (iii) FW provides essential nutrients such as nitrogen and potassium. In addition, the co-composting of GW and FW simultaneously addresses the management of these two types of waste, which together represent the higher proportion of MSW in developing countries [20].
Previous studies that have included processed food waste (PFW) and unprocessed food waste (UPFW) [1,17] as amendments during GW composting show a reduction of processing times in the mesophilic and thermophilic phases compared to the composting of GW alone. In addition, they demonstrate an improvement in the end-product quality that better fulfills the quality standards, at least in Colombia, for biofertilizers. However, the cooling and maturation phases (i.e., when the degradation of lignocellulosic substances occur) have shown temperature behavior and processing times similar to composting of only GW. These studies show the need to introduce additional strategies to increase the degradation rate of lignocellulosic substances and to help reduce the total processing time.
Operational modifications to the process are another strategy that could be used to improve GW composting [4,11]. One of these strategies is two-stage composting (TSC). This technology confines the material until the thermophilic temperature begins to drop (i.e., for around the first 10 days); then, the material is deconfined and compost piles or windrows are formed. As a consequence, two peaks in the composting temperature (at 55–60 °C or even higher) and a longer thermophilic period appear, one during the first 10 days, and the other during the pile/windrow formation. In addition, TSC results in the production of a mature and stable compost that requires only 30 days rather than the 90–270 days typically required in traditional composting [11]. To our knowledge, TSC has not been studied along with FW and PR, as co-substrates, to improve GW composting.
This research evaluates the effect of the TSC on the process and quality of end-product in the co-composting of GW, FW, sawdust (SW) and PR, considering that: (i) the mixture of GW and FW has been beneficial for the process and end-product quality of composting [1]; (ii) SW have proved to be a material appropriate for GW composting [4]; (iii) phosphorous must be used in the co-composting of GW and FW due to the fact that the end-product is typically deficient in P [6,9,17]; and (iv) additional strategies for co-composting need to be assessed such as TSC [4,11].
2. Materials and Methods
2.1. Experimental Setup
We developed a pilot-scale composting experiment using two treatments to assess the effect of TSC on the process and end-product quality of co-composting of GW, FW, PR and SW. Treatment A (TA) was a two-stage composting (TSC) and Treatment B (TB) was the traditional composting process (one-stage). The two treatments had triplicate experimental units of 200 kg. The treatments had the same mixtures of materials, namely: 46% GW, 19% UPFW, 18% PFW, 13% SW, and 4% PR (wet weight). The mixture was adjusted based on previous studies [1,17] considering two criteria: (i) the predominance of GW in the mixture, since this is the main substrate to compost (i.e., TOC = 24.1%; NTotal: 1.62%), and (ii) an achieved C/N ratio of around 20.
- FW was introduced as amendment material (energy amendment) to provide readily degradable organic matter (i.e., simple carbohydrates) and nitrogen. UPFW: TOC = 38.7%; NTotal: 1.56%; PFW: TOC = 15.87%; NTotal: 3.0%.
- PR was added as bulking agent and material amendment, providing porosity (structural amendment) and phosphorus. The amount added was considered by taking into account results from previous studies [6,9,17]. PR: TOC = 0.01%; NTotal: 0.1%.
- The sawdust (SW) was added as both a source of carbon and as a moisture absorbent. SW: TOC = 23.64%; NTotal: 0.42%.
GW was obtained from the maintenance of green areas of a university campus and had the following physical composition (% w/w): 35% leaves, 26% grass clippings, 20% soil extract, 9% tree branches, 3% fruit, 1% roots and 6% non-biodegradable materials. Before the experimental setup, non-biodegradable materials were removed (e.g., stones, plastics). GW was stored for one or two weeks. UPFW and PFW were source-separated and were collected, using composite sampling, from a university restaurant, where approximately 3000 lunches per day are normally prepared. Both substrates were stored for three days in the study area at ambient temperature. PR and SW were provided by local suppliers. GW and FW were manually crushed using machete to achieve a particle size of between 5 and 7 cm. Later, they were manually mixed and homogenized using shovels.
The experiment was developed on the campus of Universidad Industrial de Santander (Bucaramanga, Colombia) (average ambient temperature at 24 °C). The experimental setup was developed in a covered area with a concrete floor. All piles were run simultaneously to maintain similar environmental conditions during the experiments.
According to previous studies [17], TSC was carried out in the following way:
- In the first stage, wooden containers (0.55 × 1.3 × 1.25 m) were used to confine the mixture. The containers had holes of 5 cm diameter and four perforated pipes (1.4 m high), both to maintain the necessary aerobic conditions for the process. This stage ended when the first thermophilic phase was completed.
- In the second stage, the material was removed from the containers and piles in conical heaps. In the second stage, a second thermophilic phase was expected, and the completion of the process occurred when the material reached ambient temperature [11]. During the process, the material was removed from the containers on the tenth day to start the second stage of the process.
Traditional composting was carried out in conical heaps of 1 m height.
2.2. Process Monitoring
The parameters monitored were temperature, pH, electrical conductivity (EC), moisture, oxygen concentration, volatile solids (VS), germination index (GI) and self-heating. Monitoring started right after the preparation of the piles. The temperature was measured daily on the compost pile centroid, using a 60-cm thermometer (i.e., digital thermometer K-Type HI935005N with high accuracy (±0.2%)). Subsamples taken from four opposite locations in each compost pile were combined to form a 200 g sample that was specifically used for pH, EC, moisture and VS measurements [21,22].
pH and EC were measured at least three times a week for the first two weeks and then twice a week at least, until the end of the monitoring. These parameters were potentiometrically measured in an aqueous extract obtained from a stirred mixture of the sample and distilled water (1:10 w/v). Measurement was carried out using a desk pHmeter and EC ionometer, sensIONTM + MM374. Moisture was measured by drying a 50 g sample at 105 °C for 24 h; this parameter was measured three times a week up to day 42, and later twice a week up to the end of the process. VS were measured by burning a dried sample at 550 °C in a muffle furnace for 4 h. The Total Organic Carbon (TOC) was calculated from the ash content [23].
Pile monitoring was performed until one of the piles reached ambient temperature (24 ± 2 °C) (i.e., day 73). Before the completion of the experiment, on-site self-heating tests were performed to determine if temperature rises occurred when piles were moisturized [24]. In addition, stability was evaluated by the self-heating test using 1.5 L Dewar flasks according to Brinton et al. [25].
Maturity evolution was established through germination tests during the process. The germination index was determined by the methodology established by Varnero et al. [26]. A fresh sample was extracted with distilled water at a compost to water ratio 1:10 (w/v), which after shaking was allowed to stand for 3 h and was then filtered. Subsequently, 10 mL of the extract were placed in 9 cm Petri dishes containing ten seeds of radish (Raphanus sativus) on filter paper. The experiments were conducted in triplicate and distilled water was used as a control. This test was performed on days 47, 53 and 60.
Oxygen was provided to the piles through manual turning of the two treatments. A daily turning frequency was used for the two treatments up to day eight of the process. Later, turning was performed according to the process requirements (i.e., every two days up to day 25, every three days up to day 37, and lastly once a week until day 73). The oxygen concentration (OC) was measured using a CM37 probe as required (i.e., twice a week until day 37 and once a week until the end of the process).
2.3. Product Quality
At the end of the composting process, manual sieving of the products was carried out using a 1.25 cm sieve. A representative sample from each experimental unit was obtained to carry out product quality analysis. The samples were analyzed at the laboratory of the Interdisciplinary Group of Molecular Studies from Universidad de Antioquia, following the methods described in the Colombian Technical Norm (NTC) 5167 [27]. Table 1 presents the parameters analyzed and the techniques used. Finally, the characteristics of the products obtained were analyzed and compared to the standards from NTC 5167 for organic products used as fertilizers and soil amendments or conditioners. The lignin content was quantified using the neutral detergent fiber (NDF), acid detergent fiber (ADF) and acid detergent lignin (ADL), considering the procedures established by Van Soest et al. [28].
Table 1.
The methods used for product characterization.
All the experiments were carried out in triplicate. The data were subjected to a one-way analysis of variance (ANOVA) and the significantly different means were evaluated by applying the Least Significant Difference test at a significance level α = 0.05, using the software R® (version 3.6.1).
3. Results and Discussion
3.1. Process Conditions
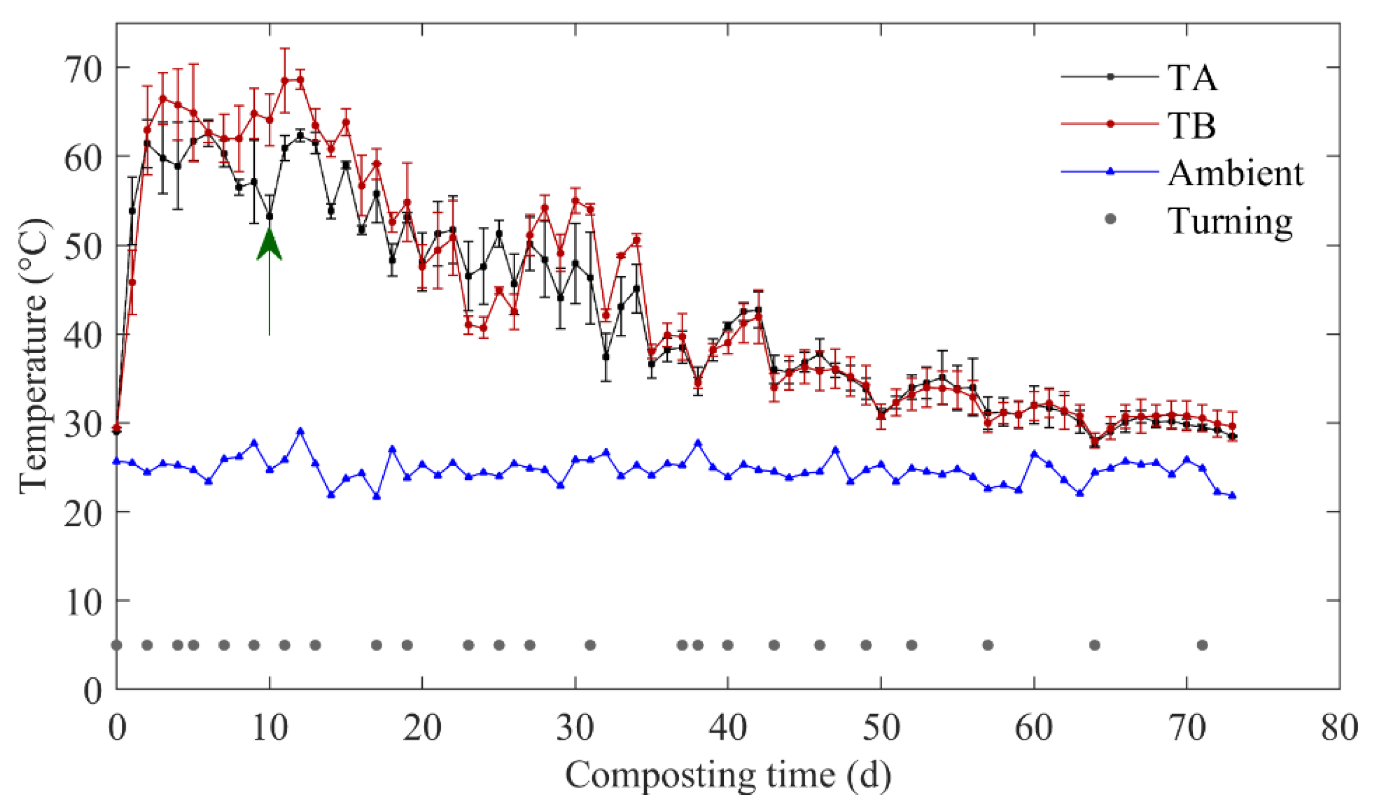
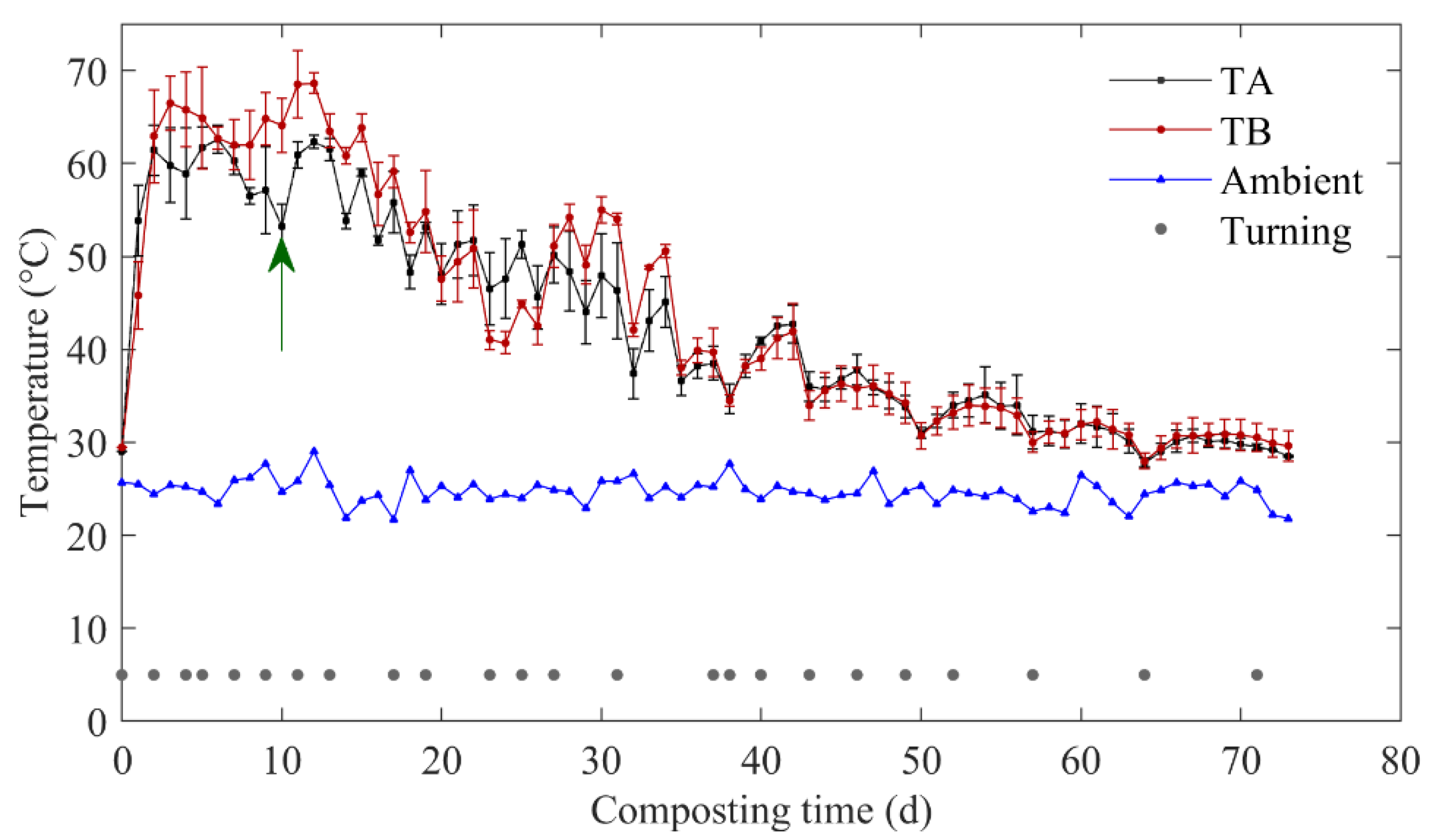
Figure 1 presents the temperatures observed in the two treatments. The time to reach the maximum temperature, the duration of the thermophilic phase and the time to reach ambient temperature are presented in Table 2. Temperature increases were due to microbial activity [29]. In both treatments, the typical sequential phases (mesophilic, thermophilic, cooling and maturation) were observed (see Figure 1). Besides, TA had a second peak of thermophilic temperature after the extraction of the mixture from the container (i.e., day 10). These peaks are characteristic of TSC [4,11].
Figure 1.
Temperature profile. Note: the error bars indicate standard deviations (number of replications = 3). The green vertical arrow means that at treatment A (TA. Two Stage Composting) the material was removed from the containers and was piled in conical heaps.
Table 2.
Characteristics of the composting process in both treatments.
Both treatments observed a rapid increase of temperature, achieving the thermophilic phase in day 1 of the process, which was similar to the findings from other GW co-composting studies [1,6]. This rapid temperature increase suggests adequate conditions for the process regarding the studied substrate mixture (i.e., pH, moisture, TOC, nutrients, porosity). In day 2, the temperature increase was higher in TA (54 °C) compared to TB (46 °C), showing the influence of this modification in the process (i.e., possibly associated with the heat lost from the mixture inside the container). However, from day three to day 20, the temperature in TB was higher than in TA, resulting in a higher organic matter degradation rate in this period. Despite having a higher reduction in VS by day 24 in TB compared to TA (i.e., 25.9% in TB and 25.5% in TA), this difference is not considered substantial.
After day 3, continuous fluctuations of temperature occurred in both treatments. However, in TA, there was a pronounced reduction of temperature after day 5 and until the material was removed from the container (day 10). Then, a new temperature increase took place. Thus, the two typical thermophilic temperature peaks for the TSC were observed [4,11]. By day 12, the two temperature peaks and the subsequent decrease occurred in both treatments. The thermophilic phase lasted 27 d in TA and 33 d in TB, indicating the influence of the process type on the degradation of the readily degradable organic matter (i.e., mesophilic and thermophilic phases). It is important to emphasize that by day 32, there was a reduction in VS by 29.0% in TB and by 27.2% in TA, which indicates the slightly higher biological activity and thus, the higher transformation of organic matter in traditional composting (TB) compared to TSC (TA). As expected, in both treatments there was a higher degradation rate on the mesophilic and thermophilic phases compared to the cooling and maturation phases. This is due to the decomposition of the readily degradable organic matter in the former phases, and the decomposition of recalcitrant organic matter (lignin and cellulose) in the latter phases [30].
In both treatments, the temperatures were kept above 50 °C for more than three consecutive days, aiding in the material sanitization [31]. Furthermore, TB fulfilled the recommendations from Böhm [32], who indicates that temperature should be higher than 55 °C for at least two weeks (TB:16 d and TA: 12 d). The higher temperature values in TB are attributed mainly to the aeration conditions in the containers. Although the temperature increase was faster in TSC, higher temperatures were maintained for longer in traditional composting, resulting in higher organic matter degradation rates in the thermophilic and mesophilic phases (i.e., as evidenced by the VS reduction).
The favorable conditions for degradation in both treatments can be connected to the incorporation of PR, that promoted the generation of heat due to the increase in porosity and the provision of the oxygen required for aerobic degradation [6], as well as the growth of microorganisms capable of solubilizing phosphates through the production of organic acids [33].
On the other hand, during the thermophilic phase, higher nitrogen losses could occur due to NH3 volatilization (i.e., associated with high temperatures and alkaline pH), mainly in TB (i.e., turning also promotes this loss), as observed in the end-product quality records (see Table 3) [10,34]. In this case, the lower nitrogen volatilization observed in TSC was possibly associated with the storage of the material within the containers during the ten first days.
The temperature in the two treatments had similar values in the cooling phase, especially after day 36, with variations associated with pile turning. This behavior could indicate that decomposition of hard to degrade substances in this phase was similar in both treatments. That is, an acceleration of the degradation of lignocellulosic substances in the composting process was not observed in TSC. This was confirmed by the final average values in VS reduction, which were 40.4% in TA and 38.5% in TB, indicating similar overall degradation rates during the process (i.e., there were no statistically significant differences). The total process time for both treatments (73 days) was greater than that reported in other GW studies that were realized under a two-stage composting [4,5,6,35].
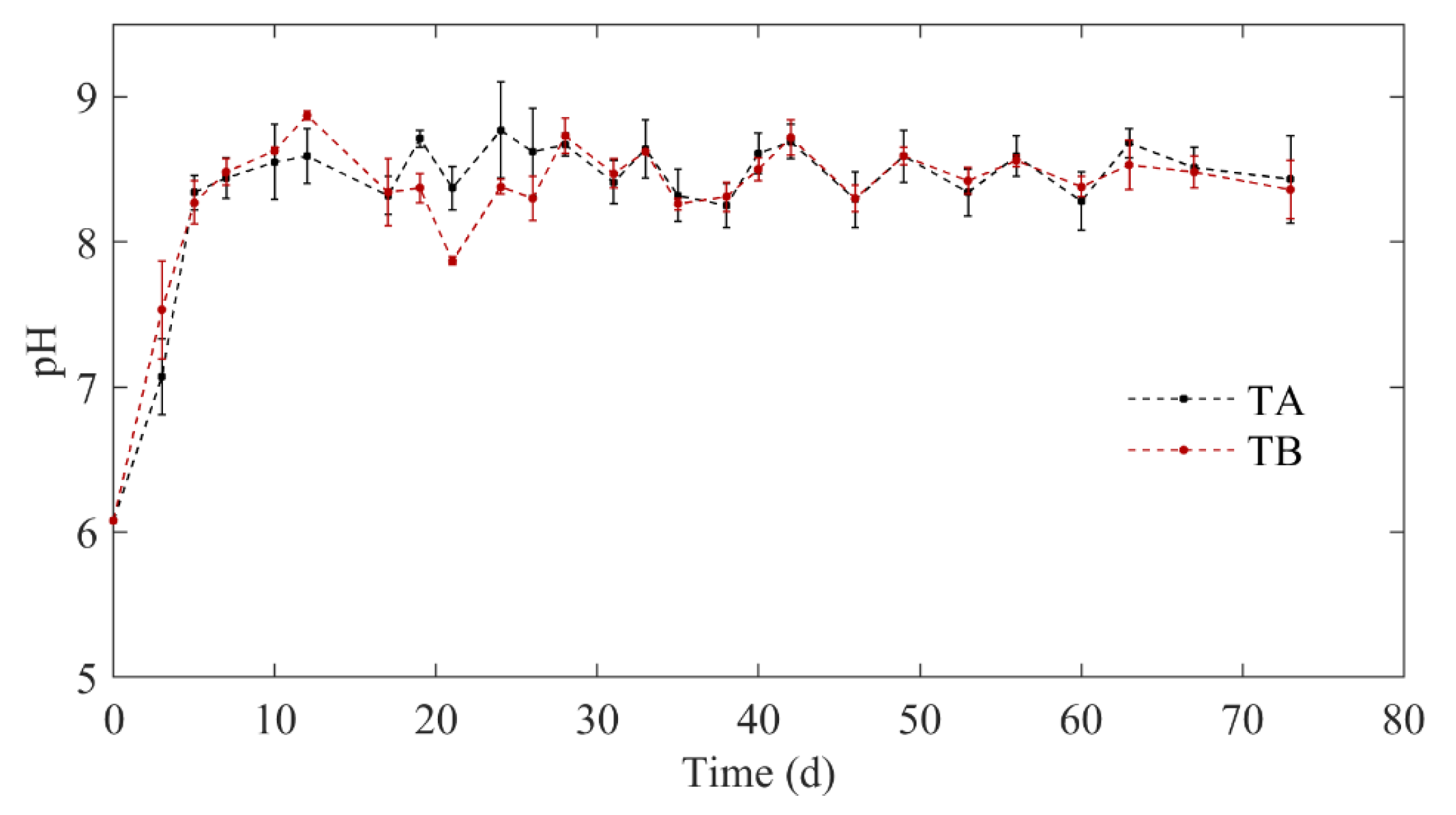
Regarding pH (see Figure 2), the mixture of substrates in both treatments had a slightly acidic initial pH, due to the previous degradation of some materials (e.g., UPFW-4.3 units and PFW-4.1 units) which had 3 storage days before the experiment start. This degradation leads to the formation of volatile fatty acids, which reduces substrate pH and can affect the process start-up [36]. However, in both treatments, pH increased rapidly afterwards as a consequence of the transformation of organic matter into organic acids (intermediate byproducts of the microbial decomposition of sugars, starch and lipids), which through their hydroxyl and carboxyl groups convert the phosphate present in PR into soluble forms [37]; and later due to the volatilization of products, such as CO2 [38]. Small variations in the pH were observed during the process associated with the material’s conditions of moisture and oxygenation. However, the pH during the process was observed to lie between 8 and 9, which is within the range for optimal microbial degradation [39]. At the end of the process, the pH was 8.4 for both treatments (i.e., there were no statistically significant differences between TA and TB).
Figure 2.
The pH profile in the two treatments (number of replications = 3).
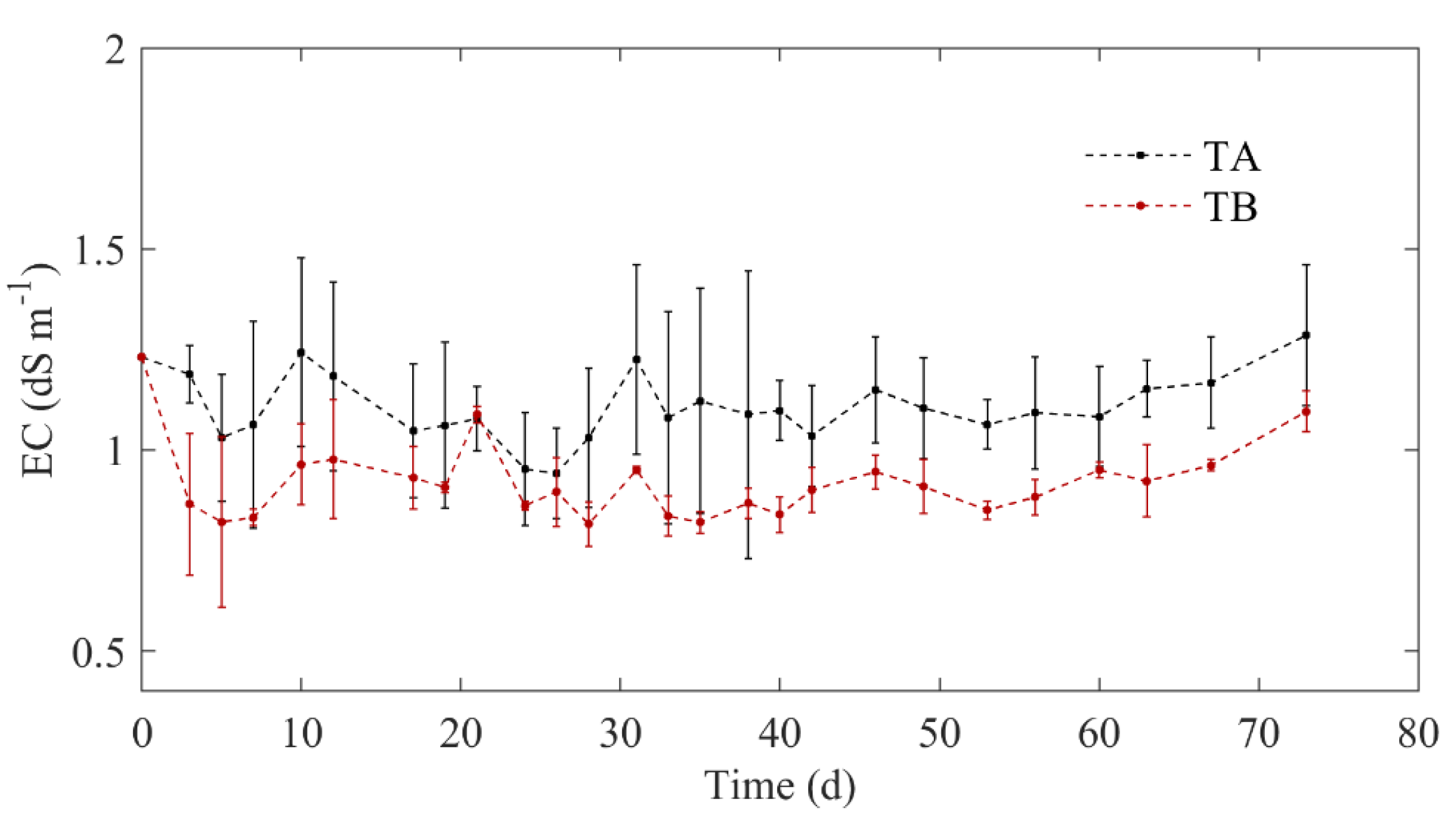
Figure 3 presents the average EC in both treatments. EC indicates the presence of salts in an ionic form, primarily sodium, chloride, potassium, nitrate, sulfate and ammonium ions, which in high concentrations could inhibit plant growth [40]. The relatively high EC values from the start of the process could be associated with the presence of soluble salts (i.e., phosphates) due to the addition of PR. The small increase observed at the end of the process could be connected to the effect of the material degradation due to the processes of humification and nutrients liberation (i.e., nitrates, phosphates). Higher values of EC were observed in TSC compared to traditional composting, which is possibly linked to a higher concentration of phosphates in the material (see Table 3). In the case of TB, the decomposition rate of the readily degradable organic matter in the early stages of the process led to a higher nutrient liberation from the start of the process (i.e., lower values of N and P in the products). As indicated by Tiquia [41], salinity could be connected to the relatively high content of NTotal in the end-product as reported for TA. In both treatments, the ranges recommended by Dimambro et al. [42] to avoid toxicity for plants and crops were not surpassed.
Figure 3.
The electrical conductivity (EC) profiles for both treatments (number of replications = 3).
The seed germination test has been widely used for evaluating compost quality, since the application of an unstable and immature compost could inhibit the germination of seeds, reduce plant growth and damage the crops [43,44]. A germination index (GI) higher than 80% typically indicates that compost is not phytotoxic [26,45]. In both treatments, the products were mature in the three measurements developed (i.e., days 47, 53 and, 60), with higher values at the end of the process in TB piles (GI = 160%) compared to TA piles (GI = 150%). This could be associated with the lower content of salts or phytotoxic substances measured through the EC parameter [43].
3.2. Product Quality
Table 3 presents the information on end-product quality for both treatments. In addition, it includes a comparison of quality standards according to the NTC 5167 and other studies about GW co-composting.
Regarding moisture, both treatments observed values about those established by the NTC 5167. These relatively high values are associated with the moisturizing carried out 10 days before the end of the process in all piles. Likewise, the values obtained here agree with those reported in previous studies [1,17]. Comparing end-product moisture in both treatments, no statistically significant differences were calculated.
The values of pH were within the range established by the NTC 5167 for the use of products as soil improvers. The pH was alkaline, which favors their application in acid soils facilitating carbon mineralization, generation of OH- ions and introduction of basic cations such as K+ [46]. The results obtained are similar to those reported during co-composting processes of GW and FW [1,17].
Table 3.
The characteristics of the quality product on the composting process in both treatments and comparison with other studies.
Table 3.
The characteristics of the quality product on the composting process in both treatments and comparison with other studies.
| Parameters | Units | TA (n = 3) | TB (n = 3) | NTC 5167 | Hernández et al. [17] | Oviedo-Ocaña et al. [1] | Boldrin et al. [47] | Zhang and Sun [5] |
|---|---|---|---|---|---|---|---|---|
| Moisture | % | 45.70 ± 3.59 | 44.20 ± 1.13 | <35 | 33.87 | 54.6 | 29–44 | -- |
| pH | 8.43 ± 0.31 | 8.36 ± 0.20 | >4–<9 | 7.51 | 7.60 | -- | 7.9 | |
| Total organic carbon | % dw | 28.16 ± 0.85 | 29.04 ± 1.58 | >15 | 20.87 | 23.1 | 10–19 | 25 |
| Total Nitrogen | % dw | 1.76 ± 0.32 | 1.55 ± 0.31 | >1 | 1.37 | 2.35 | 0.7–0.9 | 3.0 |
| C/N | - | 15.97 ± 4.09 | 18.68 ± 7.19 | - | 14.9 | -- | 11–27 | -- |
| Cation exchange capacity | cmol kg−1 | 38.13 ± 6.71 | 32.70 ± 7.05 | >30 | 32.77 | -- | -- | -- |
| Electric conductivity | dS m−1 | 0.93 ± 0.23 | 0.62 ± 0.14 | - | 0.21 | 1.66 | -- | 2.61 |
| Water retention capacity | % | 157.00 ± 19.26 | 141.53 ± 11.99 | >100 | 237.4 | -- | -- | -- |
| Density | g cm−3 | 0.50 ± 0.11 | 0.46 ± 0.04 | <0.6 | -- | -- | -- | -- |
| Total Phosphorous | % dw | 4.75 ± 2.81 | 4.19 ± 0.44 | >1 | 0.56 | 0.8 | 0.15–0.23 | 0.3 |
| Ash | % dw | 52.10 ± 4.09 | 55.40 ± 7.92 | <60 | 51.60 | -- | 72–79 | -- |
| Lignin | % dw | 30.30 ± 2.28 | 28.60 ± 1.67 | -- | -- | |||
Note: n: number of samples; dw. dry weight; values represent mean ± standard deviation; all means (compared in the same row) are statistically similar at p < 0.05.
Regarding TOC, both treatments showed higher values compared to those required by the Colombian Norm as soil improver [27]. These higher values could be connected to the carbon content, which is still available to transform due to the presence of lignocellulosic compounds in the GW or SW. Similar TOC values have been reported in previous studies by the authors of this work [1,17]. The two products did not have statistically significant differences. Therefore, it is not possible to attribute this smaller content to an influence of TSC in the process.
Nitrogen had values higher than 1% (dw) in both treatments, which is favorable for product use in agricultural activities. There was a smaller concentration of N in TB compared to TA, although it lacked statistical significance. This smaller concentration is possibly linked to a higher N volatilization during the first two phases of the process. This is evident in the high temperatures in TB during the first 10 days combined with alkaline pH that promotes NH3 volatilization during turning [10]. On the other hand, relatively high values of N in both treatments could be connected to the high porosity that PR could provide to absorb NH3 and improve N conservation during the process [48,49].
Ash content was lower than 60% in both treatments, according to the requirements of the NTC 5167, and lacked significant statistical differences between TA and TB. However, TB had relatively higher values compared to TA, which can be linked to the intense organic matter degradation during the first 10 days, which is reflected in mass loss in the form of CO2 [50]. This high rate of degradation can also be associated with the addition of PR in both treatments that provide nutrients and energy for microorganisms, accelerating transformation processes [6]. The addition of PR increased the quantity of inorganic material in both end-products, which is associated with phosphorous mineralization and thus intervened in the reported ash content in both treatments, in contrast to our previous studies where this amendment material was not introduced [1].
The Cation Exchange Capacity (CEC) is used to evaluate the humification degree and nutrient retention capacity of compost. In both treatments, CEC was higher compared to the corresponding standard of NTC 5167 for soil improvers [27]. There were higher values observed in TA compared to TB, possibly due to an increase in the humification processes in GW during the cooling and maturation phases, as evidenced in a lower OC content at the end of the process. Still, the difference was not statistically significant. The results show that in both treatments, the end-products were able to improve the water and nutrient retention capacity of soils [4,6].
The water retention capacity for a mature product must be higher than either 100% [27] or 75% wet weight [51]. This parameter allows us to establish the product’s capacity to retain moisture, which is a fundamental trait when applying the product for agricultural purposes. The treatments had higher values compared to those established by the literature without any statistically significant differences between TA and TB. The high-water retention capacity in these products is connected to their low density (i.e., density was 0.50 g cm−3 for TA and 0.46 g cm−3 for TB) and the high porosity of materials such as GW, and to the processes of transformation and mineralization of organic matter.
Finally, the phosphorous content in TA and TB was higher than the standard from the NTC 5167 for soil improvers [27]. According to Khan and Joergensen [52], the solubilization of PR could increase microbial biomass that later leads to the release of inorganic phosphorous. The high porosity of PR could also provide a habitat for the high microbial biomass [9,53]. P is a central component of the energy-carrying molecule (adenosine triphosphate, ATP) in all cells; increased P availability resulting from PR addition may increase the formation of ATP during microbial activity and reproduction, and therefore enhance the decomposition of organic waste [6,54]. Therefore, an increase in the microbial biomass during composting could contribute to an increase in the organic content of C and P in the end-product, as evidenced in the results from both products. The lower content of P in TB can be associated with a more intense levels of organic matter degradation during the first two phases of the process than in the traditional composting. Despite that fact, there were no statistically significant differences between the P contents of the two treatments (at α = 5%).
4. Conclusions
This paper evaluated the effect of two-stage composting on the process and end-product quality during the co-composting of green waste and food waste, amended with sawdust and phosphate rock. The results showed similar process conditions between two-stage composting and traditional composting (i.e., process time, temperature, volatile solids, pH and electrical conductivity). Moreover, the end-products resulting from both treatments did not statistically differ. Despite not finding statistical differences in the final product between the two treatments, traditional composting was characterized by having lower nutrient content (i.e., NTotal: 1.76% for TA and 1.55% for TB; PTotal: 4.75% for TA and 4.19% for TB) and lignin content (30.3% for TA and 28.6% for TB) than two-stage composting. Therefore, from this study, it is concluded that other additional complementary strategies must be evaluated to improve GW composting.
Author Contributions
All authors contributed to the study conception and design. Material preparation, data collection and analysis were performed by E.R.O.-O., A.M.H.-G., M.R., A.P., V.S.-T., I.D. and D.K. The first draft of the manuscript was written by E.R.O.-O. and all authors commented on previous versions of the manuscript. All authors have read and agreed to the published version of the manuscript.
Funding
This project was financed by the Universidad Industrial de Santander (Colombia) through project CI 2354 of 2017 and CI 2696 of 2020.
Institutional Review Board Statement
The study did not involve humans or animals.
Informed Consent Statement
The study did not involve humans or animals.
Data Availability Statement
The data presented in this study are available on request from the corresponding author. The data are not publicly available due to the research project is still running.
Acknowledgments
The authors wish to thank the Universidad Industrial de Santander for supporting the carrying out of this work.
Conflicts of Interest
The authors declare no potential conflict of interest with respect to the research, authorship, and/or publication of this article.
References
- Oviedo-Ocaña, E.R.; Dominguez, I.; Komilis, D.; Sánchez, A. Co-composting of Green Waste Mixed with Unprocessed and Processed Food Waste: Influence on the Composting Process and Product Quality. Waste Biomass Valorization 2019, 10, 63–74. [Google Scholar] [CrossRef]
- Awasthi, M.K.; Pandey, A.K.; Khan, J.; Bundela, P.S.; Wong, J.W.C.; Selvam, A. Evaluation of thermophilic fungal consortium for organic municipal solid waste composting. Bioresour. Technol. 2014, 168, 214–221. [Google Scholar] [CrossRef] [PubMed]
- Yu, K.; Li, S.; Sun, X.; Cai, L.; Zhang, P.; Kang, Y.; Yu, Z.; Tong, J.; Wang, L. Application of seasonal freeze-thaw to pretreat raw material for accelerating green waste composting. J. Environ. Manag. 2019, 239, 96–102. [Google Scholar] [CrossRef] [PubMed]
- Zhang, L.; Sun, X. Influence of bulking agents on physical, chemical, and microbiological properties during the two-stage composting of green waste. Waste Manag. 2016, 48, 115–126. [Google Scholar] [CrossRef] [PubMed]
- Zhang, L.; Sun, X. Improving green waste composting by addition of sugarcane bagasse and exhausted grape marc. Bioresour. Technol. 2016, 218, 335–343. [Google Scholar] [CrossRef] [PubMed]
- Zhang, L.; Sun, X. Addition of fish pond sediment and rock phosphate enhances the composting of green waste. Bioresour. Technol. 2017, 233, 116–126. [Google Scholar] [CrossRef] [PubMed]
- Reyes-Torres, M.; Oviedo-Ocaña, E.R.; Dominguez, I.; Komilis, D.; Sánchez, A. A systematic review on the composting of green waste: Feedstock quality and optimization strategies. Waste Manag. 2018, 77, 486–499. [Google Scholar] [CrossRef] [PubMed]
- Belyaeva, O.N.; Haynes, R.J. Chemical, microbial and physical properties of manufactured soils produced by co-composting municipal green waste with coal fly ash. Bioresour. Technol. 2009, 100, 5203–5209. [Google Scholar] [CrossRef]
- Bustamante, M.A.; Ceglie, F.G.; Aly, A.; Mihreteab, H.T.; Ciaccia, C.; Tittarelli, F. Phosphorus availability from rock phosphate: Combined effect of green waste composting and sulfur addition. J. Environ. Manag. 2016, 182, 557–563. [Google Scholar] [CrossRef]
- Zhang, L.; Sun, X. Addition of seaweed and bentonite accelerates the two-stage composting of green waste. Bioresour. Technol. 2017, 243, 154–162. [Google Scholar] [CrossRef]
- Zhang, L.; Sun, X.; Tian, Y.; Gong, X. Effects of brown sugar and calcium superphosphate on the secondary fermentation of green waste. Bioresour. Technol. 2013, 131, 68–75. [Google Scholar] [CrossRef] [PubMed]
- Gabhane, J.; William, S.P.; Bidyadhar, R.; Bhilawe, P.; Anand, D.; Vaidya, A.N.; Wate, S.R. Additives aided composting of green waste: Effects on organic matter degradation, compost maturity, and quality of the finished compost. Bioresour. Technol. 2012, 114, 382–388. [Google Scholar] [CrossRef] [PubMed]
- Zhang, L.; Sun, X. Changes in physical, chemical, and microbiological properties during the two-stage co-composting of green waste with spent mushroom compost and biochar. Bioresour. Technol. 2014, 171, 274–284. [Google Scholar] [CrossRef] [PubMed]
- Arias, O.; Viña, S.; Uzal, M.; Soto, M. Composting of pig manure and forest green waste amended with industrial sludge. Sci. Total Environ. 2017, 586, 1228–1236. [Google Scholar] [CrossRef] [PubMed]
- Zhang, L.; Sun, X. Using cow dung and spent coffee grounds to enhance the two-stage co-composting of green waste. Bioresour. Technol. 2017, 245, 152–161. [Google Scholar] [CrossRef] [PubMed]
- Himanen, M.; Hänninen, K. Effect of commercial mineral-based additives on composting and compost quality. Waste Manag. 2009, 29, 2265–2273. [Google Scholar] [CrossRef]
- Hernández-Gómez, A.; Calderón, A.; Medina, C.; Sanchez-Torres, V.; Oviedo-Ocaña, E.R. Implementation of strategies to optimize the co-composting of green waste and food waste in developing countries. A case study: Colombia. Environ. Sci. Pollut. Res. 2020, 1–7. [Google Scholar] [CrossRef]
- Vandecasteele, B.; Willekens, K.; Steel, H.; D’Hose, T.; Van Waes, C.; Bert, W. Feedstock mixture composition as key factor for C/P ratio and phosphorus availability in composts: Role of biodegradation potential, biochar amendment and calcium content. Waste Biomass Valorization 2017, 8, 2553–2567. [Google Scholar] [CrossRef]
- Kumar, M.; Ou, Y.L.; Lin, J.G. Co-composting of green waste and food waste at low C/N ratio. Waste Manag. 2010, 30, 602–609. [Google Scholar] [CrossRef]
- Troschinetz, A.M.; Mihelcic, J.R. Sustainable recycling of municipal solid waste in developing countries. Waste Manag. 2009, 29, 915–923. [Google Scholar] [CrossRef]
- Benito, M.; Masaguer, A.; Moliner, A.; De Antonio, R. Chemical and physical properties of pruning waste compost and their seasonal variability. Bioresour. Technol. 2006, 97, 2071–2076. [Google Scholar] [CrossRef] [PubMed]
- Sullivan, D.M.; Miller, R.O. Compost quality attributes, measurements, and variability. In Compost Utilization in Horticultural Cropping Systems; Stoffella, P.J., Kahn, B.A., Eds.; Lewis Publishers: Boca Raton, FL, USA, 2001; pp. 95–120. [Google Scholar]
- Zeng, G.; Yu, M.; Chen, Y.; Huang, D.; Zhang, J.; Huang, H.; Jiang, R.; Yu, Z. Effects of inoculation with Phanerochaete chrysosporium at various time points on enzyme activities during agricultural waste composting. Bioresour. Technol. 2010, 101, 222–227. [Google Scholar] [CrossRef] [PubMed]
- Dulac, N. The organic waste flow in integrated sustainable waste management. In Tools for Decision-Makers-Experiences from the Urban Waste Expertise Programme (1995–2001); Scheinberg, A., Ed.; Waste Advisers on Urban Environment and Development: Hague, The Netherlands, 2001. [Google Scholar]
- Brinton, W.F.; Evans, E.; Droffner, M.L.; Brinton, R.B. A standardized Dewar test for evaluation of compost self-heating. Biocycle 1995, 36, 1–16. [Google Scholar]
- Varnero, M.T.; Rojas, C.; Orellana, R. Índices de fitotoxicidad de residuos orgánicos durante el compostaje [Phytotoxicity indices of organic residues during composting in English]. J. Soil Sci. Plant Nutr. 2007, 7, 28–37. [Google Scholar] [CrossRef]
- ICONTEC. Norma Técnica Colombiana NTC 5167. Productos Para la Industria Agrícola. Productos Orgánicos Usados Como Abonos o Fertilizantes y Enmiendas de Suelo; Instituto Colombiano de Normas Técnicas y Certificación: Bogotá, Colombia, 2011. [Google Scholar]
- Van Soest, P.J.; Robertson, J.B.; Lewis, B.A. Methods for Dietary Fiber, Neutral Detergent Fiber, and Nonstarch Polysaccharides in Relation to Animal Nutrition. J. Dairy Sci. 1991, 74, 3583–3597. [Google Scholar] [CrossRef]
- Chiumenti, A.; Chiumenti, R.; Diaz, L.F.; Savage, G.; Eggerth, L.; Goldstein, N. Modern Composting Technologies; The JG Press. Inc.: Singapore, 2005. [Google Scholar]
- Gong, X.; Li, S.; Sun, X.; Zhang, L.; Zhang, T.; Wei, L. Maturation of green waste compost as affected by inoculation with the white-rot fungi Trametes versicolor and Phanerochaete chrysosporium. Environ. Technol. 2017, 38, 872–879. [Google Scholar] [CrossRef]
- Haug, R.T. The Practical Handbook of Compost Engineering; CRC Press: Boca Raton, FL, USA, 1993. [Google Scholar]
- Böhm, R. Pathogenic Agents. Waste Manag. Ser. 2007, 8, 177–200. [Google Scholar]
- Prabhu, N.; Borkar, S.; Garg, S. Phosphate solubilization by microorganisms: Overview, mechanisms, applications and advances. In Advances in Biological Science Research: A Practical Approach; Meena, S.N., Naik, M., Eds.; Academic Press: Cambridge, MA, USA, 2019; pp. 161–176. [Google Scholar]
- Wang, J.; Liu, Z.; Xia, J.; Chen, Y. Effect of microbial inoculation on physicochemical properties and bacterial community structure of citrus peel composting. Bioresour. Technol. 2019, 291, 121843. [Google Scholar] [CrossRef]
- Wang, W.; Zhang, L.; Sun, X. Improvement of two-stage composting of green waste by addition of eggshell waste and rice husks. Bioresour. Technol. 2021, 320, 124388. [Google Scholar] [CrossRef]
- Sundberg, C.; Smårs, S.; Jönsson, H. Low pH as an inhibiting factor in the transition from mesophilic to thermophilic phase in composting. Bioresour. Technol. 2004, 95, 145–150. [Google Scholar] [CrossRef]
- Moharana, P.C.; Meena, M.D.; Biswas, D.R. Role of Phosphate-Solubilizing Microbes in the Enhancement of Fertilizer Value of Rock Phosphate through Composting Technology. In Role of Rhizospheric Microbes in Soil; Meena, V.S., Ed.; Springer: Singapore, 2018; pp. 167–202. [Google Scholar]
- de Bertoldi, M.; Vallini, G.; Pera, A. The biology of composting: A review. Waste Manag. Res. 1983, 1, 157–176. [Google Scholar] [CrossRef]
- Zhang, L.; Sun, X. Effects of earthworm casts and zeolite on the two-stage composting of green waste. Waste Manag. 2015, 39, 119–129. [Google Scholar] [CrossRef] [PubMed]
- Hargreaves, J.C.; Adl, M.S.; Warman, P.R. A review of the use of composted municipal solid waste in agriculture. Agric. Ecosyst. Environ. 2008, 123, 1–14. [Google Scholar] [CrossRef]
- Tiquia, S.M. Reduction of compost phytotoxicity during the process of decomposition. Chemosphere 2010, 79, 506–512. [Google Scholar] [CrossRef] [PubMed]
- Dimambro, M.E.; Lillywhite, R.D.; Rahn, C.R. Biodegradable Municipal Waste Composts: Analysis and Application to Agriculture; Warwick HRI, University of Warwick: Warwick, UK, 2006. [Google Scholar]
- Luo, Y.; Liang, J.; Zeng, G.; Chen, M.; Mo, D.; Li, G.; Zhang, D. Seed germination test for toxicity evaluation of compost: Its roles, problems and prospects. Waste Manag. 2018, 71, 109–114. [Google Scholar] [CrossRef] [PubMed]
- Zeng, G.M.; Huang, H.L.; Huang, D.L.; Yuan, X.Z.; Jiang, R.Q.; Yu, M.; Yu, H.Y.; Zhang, J.C.; Wang, R.Y.; Liu, X.L. Effect of inoculating white-rot fungus during different phases on the compost maturity of agricultural wastes. Process Biochem. 2009, 44, 396–400. [Google Scholar] [CrossRef]
- Tiquia, S. Microbiological parameters as indicators of compost maturity. Appl. Microbiol. 2005, 99, 816–828. [Google Scholar] [CrossRef]
- Mkhabela, M.S.; Warman, P.R. The influence of municipal solid waste compost on yield, soil phosphorus availability and uptake by two vegetable crops grown in a Pugwash sandy loam soil in Nova Scotia. Agric. Ecosyst. Environ. 2005, 106, 57–67. [Google Scholar] [CrossRef]
- Boldrin, A.; Andersen, J.K.; Christensen, T.H. LCA Report: Environmental Assessment of Garden Waste Management in Arhus Kommune; Technical University of Denmark: Copenhagen, Denmark, 2009. [Google Scholar]
- Naher, U.A.; Sarkar, M.I.U.; Jahan, A.; Biswas, J.C. Co-Composting Urban Waste, Plant Residues, and Rock Phosphate: Biochemical Characterization and Evaluation of Compost Maturity. Commun. Soil Sci. Plant Anal. 2018, 49, 751–762. [Google Scholar] [CrossRef]
- Wang, L.; Zhang, Y.; Lian, J.; Chao, J.; Gao, Y.; Yang, F.; Zhang, L. Impact of fly ash and phosphatic rock on metal stabilization and bioavailability during sewage sludge vermicomposting. Bioresour. Technol. 2013, 136, 281–287. [Google Scholar] [CrossRef]
- Mhindu, R.L.; Wuta, M.; Ngorima, E. Composting of selected organic wastes from peri-urban areas of Harare, Zimbabwe. Int. J. Recycl. Org. Waste Agric. 2013, 2, 14. [Google Scholar] [CrossRef]
- Rawoteea, S.A.; Mudhoo, A.; Kumar, S. Co-composting of vegetable wastes and carton: Effect of carton composition and parameter variations. Bioresour. Technol. 2017, 227, 171–178. [Google Scholar] [CrossRef] [PubMed]
- Khan, K.S.; Joergensen, R.G. Changes in microbial biomass and P fractions in biogenic household waste compost amended with inorganic P fertilizers. Bioresour. Technol. 2009, 100, 303–309. [Google Scholar] [CrossRef] [PubMed]
- Sharif, M.; Matiullah, K.; Tanvir, B.; Shah, A.H.; Wahid, F. Response of fed dung composted with rock phosphate on yield and phosphorus and nitrogen uptake of maize crop. Afr. J. Biotechnol. 2011, 10, 12595–12601. [Google Scholar] [CrossRef]
- Billah, M.; Bano, A. Role of plant growth promoting rhizobacteria in modulating the efficiency of poultry litter composting with rock phosphate and its effect on growth and yield of wheat. Waste Manag. Res. 2015, 33, 63–72. [Google Scholar] [CrossRef]
Publisher’s Note: MDPI stays neutral with regard to jurisdictional claims in published maps and institutional affiliations. |
© 2021 by the authors. Licensee MDPI, Basel, Switzerland. This article is an open access article distributed under the terms and conditions of the Creative Commons Attribution (CC BY) license (http://creativecommons.org/licenses/by/4.0/).


