Soil Organic Matter Alteration Velocity due to Land-Use Change: A Case Study under Conservation Agriculture
Abstract
:1. Introduction
2. Materials and Methods
2.1. Study Site
2.2. Analytical Processes
2.3. Prediction on SOM Composition
2.4. Statistical Analysis
3. Results and Discussion
3.1. Changes in Physical Properties
3.2. Changes in SOC Content
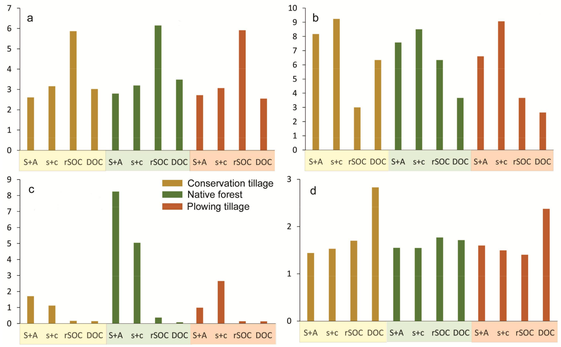
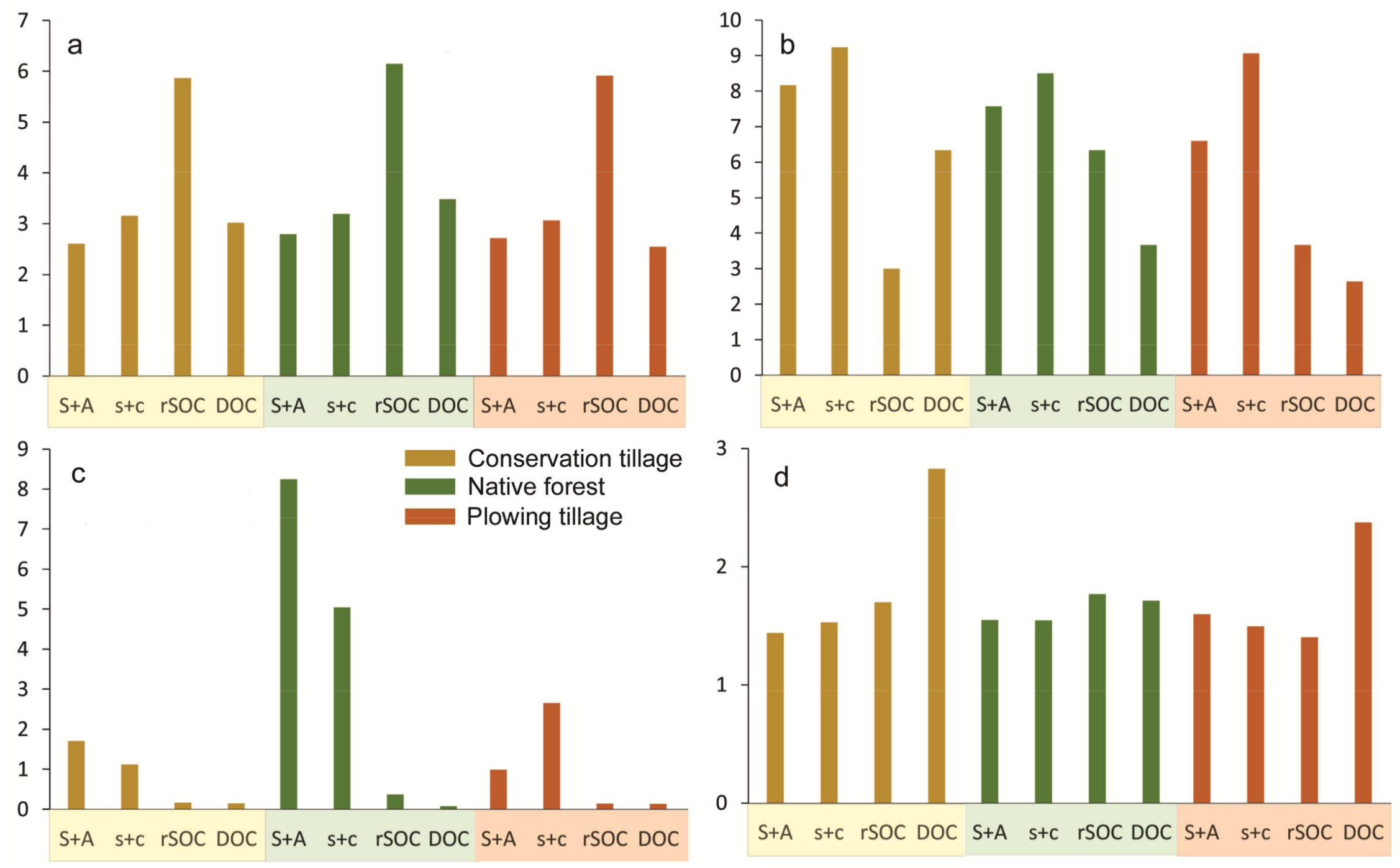
3.3. Changes in SOM Composition
4. Conclusions
Acknowledgments
Author Contributions
Conflicts of Interest
References
- Lehmann, J.; Kleber, M. The contentious nature of soil organic matter. Nature 2015, 528. [Google Scholar] [CrossRef] [PubMed]
- Stevenson, F.J. Humus Chemistry Genesis, Composition, Reactions, 2nd ed.; Wiley and Sons Inc.: New York, NY, USA, 1994. [Google Scholar]
- Ponge, J.F. Plant-soil feedbacks mediated by humus forms: A review. Soil Biol. Biochem. 2013, 57, 1048–1060. [Google Scholar] [CrossRef]
- Kalhoro, S.A.; Xu, X.; Chen, W.; Hua, R.; Raza, S.; Ding, K. Effects of Different Land-Use Systems on Soil Aggregates: A Case Study of the Loess Plateau (Northern China). Sustainability 2017, 9, 1349. [Google Scholar] [CrossRef]
- Bilandžija, D.; Zgorelec, Ž.; Kisić, I. Influence of tillage systems on short-term soil CO2 emissions. Hung. Geogr. Bull. 2017, 66, 29–35. [Google Scholar] [CrossRef]
- Angers, D.A.; Aurray, D.; Saby, N.P.A.; Walter, C. Ecosystem Carbon Sequestration. Soil Use Manag. 2011, 27, 448–452. [Google Scholar] [CrossRef]
- Harrison-Kirk, T.; Beare, M.H.; Meenken, E.D.; Condron, L.M. Soil organic matter and texture affect responses to dry/wet cycles: Effects on carbon dioxide and nitrous oxide emissions. Soil Biol. Biochem. 2013, 57, 43–55. [Google Scholar] [CrossRef]
- Hassink, J. The capacity of soils to preserve organic C and N by their association with clay and silt particles. Plant Soil 1997, 191, 77–87. [Google Scholar] [CrossRef]
- Wiesmeier, M.; Hübner, R.; Spörlein, P.; Geu, U.; Hangen, E.; Reischl, A.; Schilling, B.; von Lützow, M.; Kögel-Knabner, I. Carbon sequestration potential of soil in southeast Germany derived from stable soil organic carbon saturation. Glob. Chang. Biol. 2014, 20, 653–665. [Google Scholar] [CrossRef] [PubMed]
- Liu, D.; Wang, Z.; Zhang, B.; Song, K.; Li, X.; Li, J.; Li, F.; Duan, H. Spatial distribution of soil organic carbon and analysis of related factors in croplands of the black soil region, Northeast China. Agric. Ecosyst. Environ. 2006, 113, 73–81. [Google Scholar] [CrossRef]
- Ye, X.; Tang, S.; Cornwell, W.K.; Gao, S.; Huang, Z.; Dong, M.; Cornelissen, J.H.C. Impact of land-use on carbon storage as dependent on soil texture: Evidence from a desertified dryland using repeated paired sampling design. J. Environ. Manag. 2015, 150, 489–498. [Google Scholar] [CrossRef] [PubMed]
- Geraei, D.; Hojati, S.; Landi, A.; Cano, A. Total and labile forms of soil organic carbon as affected by land use change in southwestern Iran. Geoderma Reg. 2016, 7, 29–37. [Google Scholar] [CrossRef]
- Lal, R. Soil Carbon Sequestration Impacts on Global climate change and food security. Science 2004, 304, 1623–1627. [Google Scholar] [CrossRef] [PubMed]
- Murty, D.; Kirschbaum, M.U.F.; McMurtrie, R.E.; McGilvray, H. Does conversion of forest to agricultural land change soil carbon and nitrogen? A review of the literature. Glob. Chang. Biol. 2002, 8, 105–123. [Google Scholar] [CrossRef]
- Skjemstad, J.; Spouncer, L.R.; Cowie, B.; Swift, R.S. Calibration of the Rothamsted organic carbon turnover model (RothC ver.26.3), using measurable soil organic carbon pools. Aust. J. Soil Res. 2004, 42, 79–88. [Google Scholar] [CrossRef]
- Neufeldt, H.; Resck, D.V.S.; Ayarza, M.A. Texture and land-use effects on soil organic matter in Cerrado Oxisols, Central Brazil. Geoderma 2002, 107, 151–164. [Google Scholar] [CrossRef]
- Six, J.; Paustian, K. Aggregate-associated soil organic matter as an ecosystem property and a measurement tool. Soil Biol. Biochem. 2014, 68, A4–A9. [Google Scholar] [CrossRef]
- Carvalhais, N.; Forkel, M.; Khomik, M.; Bellarby, J.; Jung, M.; Migliavacca, M.; Μu, M.; Saatchi, S.; Santoro, M.; Thurner, M.; et al. Global covariation of carbon turnover times with climate in terrestrial ecosystems. Nature 2014, 514, 213–217. [Google Scholar] [CrossRef] [PubMed]
- Beniston, J.W.; DuPont, S.T.; Glover, J.D.; Lal, R.; Dungait, J.A.J. Soil organic carbon dynamics 75 years after land-use change in perennial grassland and annual wheat agricultural systems. Biogeochemistry 2014, 120, 37–49. [Google Scholar] [CrossRef]
- Bruun, T.B.; Elberling, B.; de Neergaard, A.; Magid, J. Organic Carbon Dynamics in Different Soil Types After Conversion of Forest to Agriculture. Land Degrad. Dev. 2013, 26, 272–283. [Google Scholar] [CrossRef]
- Tisdale, J.M.; Oades, J.M. Organic matter and water-stable aggregates in soils. J. Soil Sci. 1982, 33, 141–163. [Google Scholar] [CrossRef]
- Meyer, N.; Bornemann, L.; Welp, G.; Schiedung, H.; Herbst, M.; Amelung, W. Carbon saturation drives spatial patterns of soil organic matter losses under long-term bare fallow. Geoderma 2017, 306, 89–98. [Google Scholar] [CrossRef]
- Cambardella, C.A.; Elliott, E.T. Carbon and Nitrogen Distribution in Aggregates from Cultivated and Native Grassland Soils. Soil Sci. Soc. Am. J. 1993, 57, 1071–1076. [Google Scholar] [CrossRef]
- Jancsovszka, P. Sustainable development goals (SDGs). Tájökológiai Lapok 2016, 14, 71–181, (In Hungarian with English abstract). [Google Scholar]
- Kassam, A.; Basch, G.; Friedrich, T.; Gonzalez, E.; Trivino, P.; Mkomwa, S. Mobilizing greater crop and land potentials sustainably. Hung. Geogr. Bull. 2017, 66, 3–11. [Google Scholar] [CrossRef]
- Gomez, J.A. Sustainability using cover crops in Mediterranean tree crops, olives and vines-Challenges and current knowledge. Hung. Geogr. Bull. 2017, 66, 13–28. [Google Scholar] [CrossRef]
- Crews, E.C.; Rumsey, B.E. What Agriculture Can Learn from Native Ecosystems in Building Soil Organic Matter: A Review. Sustainability 2017, 9, 578. [Google Scholar] [CrossRef]
- Mika, J.; Farkas, A. Sensitivity of inland water bodies, natural vegetation and agriculture to weather extremes and to climate change. Tájökológiai Lapok 2017, 15, 85–90, (In Hungarian with English abstract). [Google Scholar]
- Bádonyi, K.; Madarász, B.; Kertész, Á.; Csepinszky, B. Study of the relationship between tillage methods and soil erosion on an experimental site in Zala County. Hung. Geogr. Bull. 2008, 57, 147–167. (In Hungarian) [Google Scholar]
- Madarász, B.; Bádonyi, K.; Csepinszky, B.; Mika, J.; Kertész, Á. Conservation tillage for rational water management and soil conservation. Hung. Geogr. Bull. 2011, 60, 117–133. [Google Scholar]
- Timár, G.; Biszak, S.; Székely, B.; Molnár, G. Digitized Maps of the Habsburg Military Surveys: Overview of the Project of ARCANUM Ltd. (Hungary). In Preservation in Digital Cartography. Lecture Notes in Geoinformation and Cartography; Jobst, M., Ed.; Springer: Berlin/Heidelberg, Germany, 2011; pp. 273–283. [Google Scholar]
- Jakab, G.; Madarász, B.; Szabó, J.A.; Tóth, A.; Zacháry, D.; Szalai, Z.; Kertész, Á.; Dyson, J. Infiltration and soil loss changes during the growing season under ploughing and conservation tillage. Sustainability 2017, 9, 1726. [Google Scholar] [CrossRef]
- Kertész, Á.; Bádonyi, K.; Madarász, B.; Csepinszky, B. Environmental aspects of conventional and conservation tillage. In No-Till Farming Systems; Goddart, T., Zoebish, M., Gan, Y., Ellis, W., Watson, A., Sombatpanit, S., Eds.; Special Publication; World Association of Soil and Water Conservation: Bangkok, Thailand, 2007; pp. 313–329. [Google Scholar]
- Kertész, Á.; Madarász, B.; Csepinszky, B.; Benke, S. The role of conservation agriculture in landscape protection. Hung. Geogr. Bull. 2010, 59, 167–180. [Google Scholar]
- Zimmermann, M.; Leifeld, J.; Schmidt, M.W.I.; Smith, P.; Fuhrer, J. Measured soil organic matter fractions can be related to pools in the RothC model. Eur. J. Soil Sci. 2007, 58, 658–667. [Google Scholar] [CrossRef]
- Poeplau, C.; Dona, A.; Dondini, M.; Leifeld, J.; Nemod, R.; Schumacher, J.; Senapati, N.; Wiesmeier, M. Reproducibility of a soil organic carbon fractionation method to derive RothC carbon pools. Eur. J. Soil Sci. 2013, 64, 735–746. [Google Scholar] [CrossRef]
- Centeri, C.; Jakab, G.; Szabó, S.; Farsang, A.; Barta, K.; Szalai, Z.; Bíró, Z. Comparison of particle-size analyzing laboratory methods. Environ. Eng. Manag. J. 2015, 14, 1125–1135. [Google Scholar]
- Galantini, J.A.; Senesi, N.; Brunetti, G.; Rosell, R. Influence of texture on organic matter distribution and quality and nitrogen and sulphur status in semiarid pampean grassland soils of Argentina. Geoderma 2004, 123, 143–152. [Google Scholar] [CrossRef]
- Tan, K.H. Humic Matter in Soil and the Environment Principles and Controversies; Marcel Dekker Inc.: New York, NY, USA, 2003. [Google Scholar]
- Her, N.G.; Amy, G.; Sohn, J.; Gunten, U. UV absorbance ratio index with size exclusion chromatography (URI-SEC) as an NOM property indicator. Aqua 2008, 57, 35–46. [Google Scholar] [CrossRef]
- Guo, M.; Chorover, J. Transport and fractionation of DOM in soil columns. Soil Sci. 2003, 168, 108–118. [Google Scholar] [CrossRef]
- Nadi, M.; Sedaghati, E.; Fuleky, G. Evaluation of humus quality of forest soils with two extraction methods. Int. J. For. Soil Eros. 2012, 2, 124–127. [Google Scholar]
- Zotarelli, L.; Alves, B.J.R.; Urquiaga, S.; Torres, E.; dos Santos, H.P.; Paustian, K.; Boddey, R.M.; Six, J. Impact of tillage and crop rotation on aggregate-associated carbon in two oxisols. Soil Sci. Soc. Am. J. 2005, 69, 482–491. [Google Scholar] [CrossRef]
- Six, J.; Conant, R.T.; Paul, E.A.; Paustian, K. Stabilization mechanisms of soil organic matter: Implications for C-saturation of soils. Plant Soil 2002, 241, 155–176. [Google Scholar] [CrossRef]
- Lal, R. Soil carbon sequestration to mitigate climate change. Geoderma 2004, 123, 1–22. [Google Scholar] [CrossRef]
- Sleutel, S.; De Neve, S.; Németh, T.; Tóth, T.; Hofman, G. Effect of manure and fertilizer application on the distribution of organic carbon in different soil fractions in long-term field experiments. Eur. J. Agron. 2006, 25, 280–288. [Google Scholar] [CrossRef]
- Angst, G.; Kögel-Knabner, I.; Kirfel, K.; Hertel, D.; Mueller, C.W. Spatial distribution and chemical composition of soil organic matter fractions in rhizosphere and non-rhizosphere soil under European beech (Fagus sylvatica L.). Geoderma 2016, 264, 179–187. [Google Scholar] [CrossRef]
- Panettieri, M.; Rumpel, C.; Dignac, M.F.; Chabbi, A. Does grassland introduc-tion into cropping cycles affect carbon dynamics through changes of allocation of soil organic matter within aggregate fractions? Sci. Total Environ. 2017, 576, 251–263. [Google Scholar] [CrossRef] [PubMed]
- Six, J.; Paustian, K.; Elliott, E.T.; Combrin, C. Soil Structure and Organic Matter: I. Distribution of Aggregate-Size Classes and Aggregate-Associated Carbon. Soil Sci. Soc. Am. J. 2000, 64, 681–689. [Google Scholar] [CrossRef]
- Beare, M.H.; Hendrix, P.F.; Coleman, D.C. Water-Stable Aggregates and Organic Matter Fractions in Conventional- and No-Tillage Soils. Soil Sci. Soc. Am. J. 1994, 58, 777–786. [Google Scholar] [CrossRef]
- Manzoni, S.; Porporato, A. Soil carbon and nitrogen mineralization: Theory and models across scales. Soil Biol. Biochem. 2009, 41, 1355–1379. [Google Scholar] [CrossRef]







| Ploughing Tillage | Conservation Tillage |
|---|---|
| Ploughing | - |
| Levelling | Levelling and rolling * |
| Seed-bed preparation | Seed-bed preparation |
| Sowing | Sowing |
| Stubble operation (disking) | Stubble operation (disc or cultivator) |
| (Medium deep subsoiling) * | (Medium deep subsoiling) * |
© 2018 by the authors. Licensee MDPI, Basel, Switzerland. This article is an open access article distributed under the terms and conditions of the Creative Commons Attribution (CC BY) license (http://creativecommons.org/licenses/by/4.0/).
Share and Cite
Rieder, Á.; Madarász, B.; Szabó, J.A.; Zacháry, D.; Vancsik, A.; Ringer, M.; Szalai, Z.; Jakab, G. Soil Organic Matter Alteration Velocity due to Land-Use Change: A Case Study under Conservation Agriculture. Sustainability 2018, 10, 943. https://doi.org/10.3390/su10040943
Rieder Á, Madarász B, Szabó JA, Zacháry D, Vancsik A, Ringer M, Szalai Z, Jakab G. Soil Organic Matter Alteration Velocity due to Land-Use Change: A Case Study under Conservation Agriculture. Sustainability. 2018; 10(4):943. https://doi.org/10.3390/su10040943
Chicago/Turabian StyleRieder, Ádám, Balázs Madarász, Judit Alexandra Szabó, Dóra Zacháry, Anna Vancsik, Marianna Ringer, Zoltán Szalai, and Gergely Jakab. 2018. "Soil Organic Matter Alteration Velocity due to Land-Use Change: A Case Study under Conservation Agriculture" Sustainability 10, no. 4: 943. https://doi.org/10.3390/su10040943
APA StyleRieder, Á., Madarász, B., Szabó, J. A., Zacháry, D., Vancsik, A., Ringer, M., Szalai, Z., & Jakab, G. (2018). Soil Organic Matter Alteration Velocity due to Land-Use Change: A Case Study under Conservation Agriculture. Sustainability, 10(4), 943. https://doi.org/10.3390/su10040943

