Abstract
The Land Surface Temperature (LST) of a park is lower than the surrounding environment, and thus the parkland forms a Park Cool Island (PCI). However, more case studies are needed to reveal the relationship between park composition, vegetation characteristic and PCI development. The LST and Land Use/Land Cover (LULC) of 18 different sized parks in Changzhou, China were obtained from Landsat-8 and Mapworld Changzhou data. Then, a sample investigation method was used to calculate vegetation characteristics of these parks by an i-Tree Eco model. In order to reduce the impact from the external environment on PCI, the Temperature Drop Amplitude (TDA) and Temperature Drop Range (TR) inside the parks were analyzed by ArcGIS 9.3. Impact factors were tested by Pearson correlation analysis and curve fit to reveal the relationship between these factors and PCI formation. The result shows that a park area threshold of 1.34 to 17 hectares provides the best PCI effect, that park shape (perimeter/area), Leaf Area Index (LAI), density, tree cover, water cover, and impervious surface cover have significant correlation with PCI development, vegetation health and global climate change affect the PCI development. Advice is proposed to improve and maintain PCI effects.
1. Introduction
The Urban Heat Island (UHI) effect has become more serious with the growth of urban areas and global climate change [1,2]. Studies have shown that the spatial extent and population of urban areas are increasing globally, and that the growth is expected to continue beyond the year 2100 [3,4]. Rapid urbanization enlarges the range of urban area and changes the feature of the ground surface [5]. Land Use/Land Cover (LULC) affect runoff process and impact the climatic condition in urban, especially for the development of UHI [6,7], leading to higher temperatures in the urban areas than the suburban areas. UHI effect, an acknowledged issue in large cities and different climatic regions, is becoming a common concern in smaller cities as well [8]. Urbanization has been linked to an increase in size and intensity of the UHI effect, which greatly increases water and energy consumption, causes high level of air pollution in summer, and triggers heat-related health risks [4,9]. Along with the UHI research, plenty of research on the Urban Cool Island (UCI), which stresses UHI mitigation by effective landscape planning, has suggested that urban forest can form UCI effect [1,5,10]. Parks, an important part of the urban forest, can form cool islands in a city and help abate UHI effect, so Park Cool Island (PCI) effect has become a worthwhile subject of research.
Previous research has discovered a relationship between the cooling effect of an urban park and its composition and vegetation characteristics [5,10,11,12,13,14,15]. Park composition, as described by the surface cover and relative abundance of landscape types, significantly influences the urban thermal environment [16]. Many studies have found that the green land or water bodies in a green space have cooling effect [10,17]. PCI effect decreases linearly with the increase of urban park shape (perimeter/area), and with increasing complexity in shape, the cooling effect of urban parks decreases [18].
In addition to its surface cover and landscape abundance, the vegetation in a park also helps reduce the internal temperature of the park through shade and absorbs radiation energy by photosynthesis and transpiration [19]. Various studies have examined the roles of vegetation characteristics in UCI formation and confirmed their cooling effects [10,12,20]. It is found that there are significant differences in the UCI effect between different types of green spaces [21]. Trees provide the highest UCI, while the shrubs and grass provide the lowest [22]. The cooling rate in densely vegetated areas is fast. High-density vegetation has the lowest surface temperature [23]. Urban LAI is positively correlated with UCI [15].
More case studies of the relationship between PCI and its two major indicators, park composition and vegetation will provide further insights regarding PCI effect improvement both in theory and practice. A necessary thing to do to understand how PCI effect is related to park composition and vegetation characteristics is to get a scientific assessment of PCI effect, “which involves measurement of Land Surface Temperature (LST), Temperature Drop Amplitude (TDA), and Temperature Drop Range (TDR). TDA, TDR outside a park have been used in some research to indicate the Park Cool Island (PCI) features. TDA is LST drop between inflection and green space interior, its unit being °C.TDR is the distance between the inflection of temperature and the edge of green space, its unit being m [5,24]. The thermal environment outside a park varies with its surrounding area. When the park is surrounded by dense and high buildings, there is a high LST, so the TDA and TDR is weakened compared to those parks surrounded by sparse and low buildings. Therefore using TDA and TDR inside a park to indicate its PCI effect can help to lessen the impact of its surrounding environment and ensure precise assessment of its PCI effect.
There are two widely applied methods for UCI effect that have been borrowed for PCI effect assessment. One is on-site observation with thermometers [12,25], which, restricted by the amount of equipment and concerned areas, seems impossible to be used to carry out large-scale measurement at the same time to reveal UHI spatial distribution of the whole area of a city. The other is remote sensing technology [1,26,27], using infrared bands to retrieve LST from the remote sensing images. LST, a key variable retrieved from TIRS data, play an important role in PCI studies. At present, there several satellites providing TIRS data, including Landsat TM/ETM+/TIRS, SEVIRI on MSG, and IASI on METOP [28,29,30,31]. Then ancillary data can be obtained in a Geographic Information System (GIS) system. The analysis of TDA and TDR is based on TIRS data and ancillary data. Remote sensing overcomes the weakness of on-site observation, so this research uses Landsat-8 TIRS to retrieve LST of the selected parks in Changzhou, China.
To analyze the vegetation characteristic of a park, the i-Tree Eco model [32] (formerly Urban Forest Effect Model (UFORE): www.itreetools.org) can be employed, which numerous studies have used to understand urban forest structure. This study will uses i-Tree Eco model to assess the vegetation characteristics (tree height, Diameter at Breast Height (DBH), Leaf Area Index (LAI), density) of these parks in Changzhou, China.
The aim of this research is (1) to use TDA and TDR to analyze the relationship between park size and PCI effect; (2) to reveal the relationship between park composition, vegetation characteristic, and PCI development; and (3) to make recommendations on how to improve PCI development. The results from this study will be useful for guiding urban landscape design and urban management to improve the urban thermal environment.
2. Methods
2.1. Study Area
Changzhou, in the heartland of Yangtze River Delta, enjoys the physiography of the Yangtze River Delta plain. It is a rapidly urbanizing city in southern Jiangsu Province, China. By the end of 2016, the population of the city had reached 4,708,000 [33]. Changzhou is located in the northern subtropical humid area [34] and has an annual mean temperature of 15.8 °C. Precipitation mainly occurs from May to September and the annual mean precipitation reaches 1091.6 mm. The annual sunshine hours of the city is 1940.2 h. The center of the city is at 31°48′N and 119°58′E and the total administration area is 4385 km2. With its green cover rate reaching 43.1%, Changzhou was conferred the title “National Forestry City” by the China State Forestry Administration at the end of 2016 [33]. To analyze the relationship between park composition and PCI effect, we selected 18 parks from the city center (Figure 1).
Figure 1.
Location of Changzhou city, China, and the Landsat-8 image of the 18 researched parks. The Landsat-8 image is shown in true color composition. The random sampling points from four parks are displayed as examples.
2.2. Radiative Transfer Equation for LST Retrieval from Landsat-8 TIRS
Many methods have been developed to retrieve LST, including split-window (SW) algorithms and single-channel (SC) algorithms or direct inversions of Radiative Transfer Equation (RTE) used on board the Landsat platforms [28], among which the RTE method can reach an accuracy of 0.6 °C [35]. Therefore, this study used RTE method to retrieve the LST of the research area. Radiance measured at a sensor can be transformed into LST by inverting the RTE that is applied to a particular TIRS band [29]:
where Lλ is the radiance registered by the sensor, B(TS) is the blackbody radiance related to the surface temperature by Planck’s law and TS is the LST, L↑ and L↓ are the upwelling and downwelling atmospheric radiance, respectively, τ is the atmospheric transmission and ε is the land surface emissivity.
For band 10 of TIRS, K1 = 774.89 W/(m2·µm·sr), K2 = 1321.08 K. Atmospheric profile parameters (L↑, L↓ and τ) can be obtained by entering the imaging time and the center longitude and latitude on the website provided by NASA (http://atmcorr.gsfc.nasa.gov/).
LST estimation method require clear sky, the Landsat-8 satellite’s revisiting takes 16 days, hence the images taken on 27 May 2017 were selected to calculate LST. Parks’ boundaries were demarcated on the satellite image (Figure 1).
2.3. PCI Indicators
PCI means that LST inside a park’s boundary is lower than that of the area outside the park. TDA and TDR inside the chosen park were used to indicate the LST difference in them. The LST map that records the temperature of each park was used as input. 15-m buffer areas were set inside the park boundary, and the cooling extent inside the park was calculated by the buffer analysis in ArcGIS 9.3. TDA is the LST drop between the buffer annuli inside green parks. From the park’s boundary, the average LST of the first annuli is T1, the last annuli is TN, and T1 − TN = ΔT, ΔT is the TDA, the unite of which is °C [5]. TDA is to indicate the drop rate and magnitude of LST. TDR (the unit is m) is the TDA inflection point from the outer edge of a park’s boundary, to indicate the drop range of LST inside the park. For example, if the inflection point is at the Nth annuli, then, TDR = N × 15.
2.4. Plot Investigation of Parks and Data Analysis with i-Tree Eco Model
The i-Tree Eco model, an adaptation of the Urban Forest Effect (UFORE) model has been designed to use field data to quantify forest structure, environmental effects, and value [36]. In this research, a sample survey method is carried out through i-Tree Eco to assess park vegetation characteristics. 18 different sized parks in Changzhou city were selected, eight small sized (2.52–8.64 hectares), seven middle sized (12.51–15.75 hectares), and three large sized (25.02–50.85 hectares), as shown in Figure 1. Sample plots were generated by a random plot generator in i-Tree Eco, the size of each plot is usually 400 m2 (a circle with an 11.34 m radius). In each sample plot, information about every tree was recorded, including their species, height, DBH, south-north and east-west crown width, crown health, crown height, and crown base height. Species, coverage, and height of shrubs, ground surface cover and plot tree cover of each sample plot were recorded as well. This follows the i-Tree Eco sample method (http://www.itreetools.org/eco/sample_inv.php). All of the sample data were processed by i-Tree Eco model to get the report of the vegetation characteristics for further analysis. The Land Cover/Land Use (LCLU) percentage of green land cover, water cover, and impervious surface cover and perimeter of each park were determined by high-definition remote sensing images from Mapworld Changzhou (http://www.mapcz.com.cn).
2.5. Analytical Methods
Firstly, all data were collected and analyzed in SPSS 22, a total of 13 variables were derived and used in the analysis (Table 1). The correlation between impact factors and LST in parks was tested by Pearson correlation. Then, the relationship between PCI and impact factors is analyzed by curve fitting.
Table 1.
Statistics of park composition, vegetation characteristics and a Park Cool Island (PCI) effect in Changzhou.
3. Results
3.1. The LST and Park Composition
Processed by ArcGIS 9.3, the average LST of the selected parks is 35.39 °C, lower than the average LST of the total researched area, 39.04 °C, by 3.65 °C. The result shows an obvious PCI effect. The sample survey combined with the i-Tree Eco model to analyze the structure of 18 parks displays the tree height between 6.31 m and 9.05 m, DBH between 16.78 cm and 31.4 cm, LAI between 0.79 and 7.24, and density between 69 trees/hectares and 535 trees/hectares. The dominant vegetation species in these parks are Cinnamomum camphora, Magnolia grandiflora, Metasequoia glyptostroboides, Osmanthus americanus, Liriodendron chinense, Ginkgo biloba, Prunus laurocerasus, Photinia beauverdiana, Trachycarpus fortune, and Koelreuteria paniculata. High-definition remote sensing images from Mapworld Changzhou can provide LULC data of the selected parks, with the green land cover between 40.6% and 68.75%, tree cover between 28.7% and 65.7%, water cover between 1.94% and 38.5%, and impervious surface cover between 3.08% and 55.9% (Table 1).
3.2. PCI Development
The LST distribution in Figure 2 shows the difference in LST between green lands, water, and impervious surfaces. Green lands, water covered areas such as parks and rivers have lower LST, while impervious surface areas such as buildings and roads have higher LST. Figure 3a shows that larger parks have a lower average temperature than the smaller ones and the larger temperature amplitude between the maximum and minimum temperature within the parks’ boundaries. For example, the mean temperature in Qingfeng Park (50.85 ha) is 3.11 °C lower than that in Renmin Park (5.58 ha). The temperature amplitude of Qingfeng Park reaches 11 °C between the maximum and minimum temperature, while in Renmin Park the temperature amplitude is 3 °C. It means that larger parks have a greater heat capacity than the smaller ones and can reduce their overall LST. What is found by this research about LST in parks generally agrees with previous findings that larger parks have lower LST inside [1,5].
Figure 2.
Land Surface Temperature (LST) of parks in Changzhou retrieved from the Landsat-8 image, the red lines outline 18 parks with park size range from 2.52 ha to 50.85 ha.
Figure 3.
(a) The area and the MAX, MIN, and mean retrieved LST of each park; (b) The relationship between the TDA and park size; (c) The relationship between Temperature Drop Amplitude (TDA) and Temperature Drop Range (TDR); (d) The relationship between TDR and park size.
TDA and TDR can indicate the PCI effect and cooling area in a park; The larger the TDA, the greater the PCI effect and the longer the distance of TDR in the park. As shown in Figure 3c, TDA and TDR are not linear. For example, the three small sized parks, Dongpo Park, Renmin Park, Langang park, have an obvious cooling range of 45 m from the boundary, where the maximum TDA reaches 2.04 °C. The TDA growth becomes 0 close to the central area in Dongpo Park and Renmin Park, and the TDA growth slows down in the central area of Langang park. The result shows that the LST in buffer annuli drop slowly at the central area of the park. However, some large parks also have the similar phenomenon at the central area, such as Qinfeng Park, Hongmei Park, and Zijing Park.
TDA and TDR are significantly correlated with the park size. The larger the size of a park, the stronger the interior TDA of the park. TDA can be predicted through regression analysis between area and TDA in Figure 3b. TDA of a park (y) is significantly correlated with the area (x) (p < 0.01) of the park, with y = 1.36ln(x) − 0.74, and correlation coefficient R2 = 0.600. For each hectare’s increase in park size up to 17 hectares, TDA increase by 0.18 °C, after which (at large park size) each hectare’s increase in park size leads to about 0.04 °C’s increase in TDA, and when the park area is less than 1.72 hectares there is no TDA effect. Cooling range in the park can be predicted through regression analysis between area and TDR in Figure 3d, the TDR inside a park (y) is significantly correlated with the area (x) (p < 0.01) of the park, with y = 56.45ln(x) − 16.14, and correlation coefficient R2 = 0.644. When the park area is less than 1.34 hectares, there is no TDR effect. When the park size is over 1.34 hectares but no larger than 12 hectares, for each hectare’s increase in park size, TDR increase by about 9 m. When a park is larger than 12 hectares, each hectare’s increase in park size leads to an increase in TDR of about 2 m. The relationship discovered by this research between TDA, TDR, and park size is one more piece of evidence for the correlation between PCI and park size.
3.3. Relationship between Park Composition and PCI Effect
Through the Pearson correlation analysis, as Table 2 shows, LST is negatively correlated with density (p < 0.01), LAI, tree cover and water cover (p < 0.05), positively correlated with impervious surface cover (p < 0.05), but insignificantly correlated with height, DBH, green cover, and perimeter/area (p > 0.05). This means that LST could be decreased by increasing tree density, LAI, tree cover and water cover in parks, and could be increased by enlarging impervious surface cover in parks. TDA is positively and correlated with LAI (p < 0.05), and this indicates that improving LAI will enlarge TDA. TDA and TDR are both negatively correlated with the park shape (perimeter/area) (p < 0.01).
Table 2.
Pearson correlations between PCI and park composition.
Figure 4 shows, for TDA (y), with y = 5.634 − 0.022x, when the park shape increases by 10, TDA decreases by 0.22 °C. For TDR, with y = 246.77 − 0.907x, when park shape increase by 10, the TDR drops by 9.07 m. As a result, when the park shape become complex, or in other words, when perimeter/area increases, the PCI effect decrease with the drop in TDR and TDA, and will eventually leading to an increase of LST. It is found that perimeter/area is insignificantly correlated with LST, and the possibility is that this result is influenced by the cooling effect of the rivers surrounding Dongpo Park and Qiangwei Park, but TDA analysis inside the researched parks still confirms the cooling effect of park shape.
Figure 4.
The relationship between TDA, TDR, and park shape.
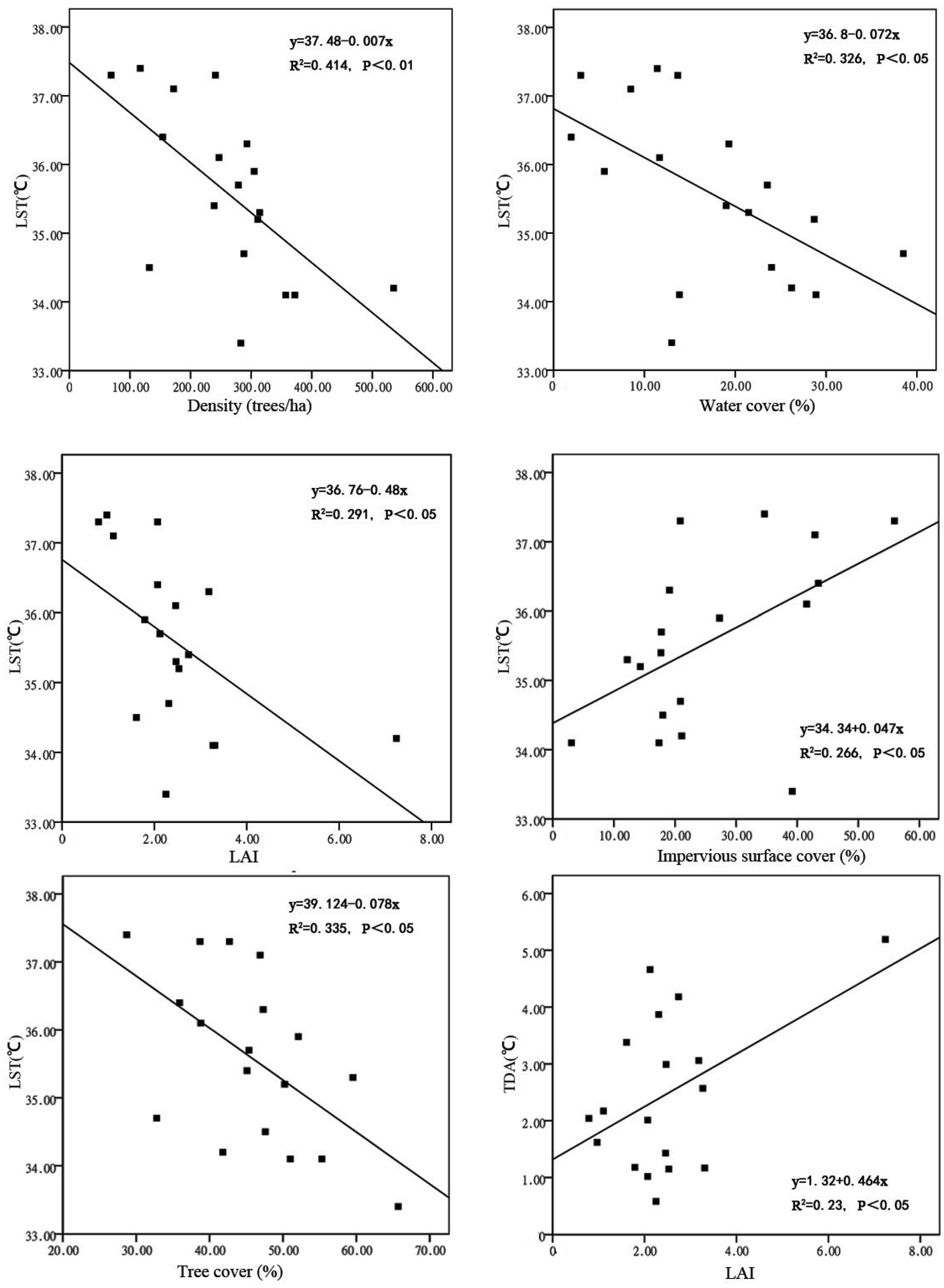
Trees, shrubs, and grass shade and absorb the radiation energy by photosynthesis and transpiration, and thus can decrease LST in a park. Figure 5 shows that vegetation characteristics, such as tree density and tree cover, have a negative linear correlation with LST. With an increase of the tree density by 100 per hectare, LST will decrease by 0.7 °C, and with an increase of tree cover by 10%, LST will decrease by 0.78 °C. LST of a park (y) is significantly correlated with the LAI (x) (p < 0.05), with y = 36.76 − 0.48x, and correlation coefficient R2 = 0.29. When the LAI increase by 1, LST decreases by 0.48 °C.
Figure 5.
The relationship between LST and density, water cover, tree cover, LAI (leaf area index) and impervious surface cover. The relationship between TDA (temperature drop amplitude) and LAI (leaf area index).
Water cover has a negative linear correlation with LST. Increase water cover by 10% and LST will decrease by 0.72 °C. The impervious surface cover is positively correlated with LST. When the impervious surface cover increases by 10%, LST will increase by 0.47 °C. Figure 3 also shows TDA has a positive linear correlation with LAI. When LAI increases by 1, TDA in parks will increase by 0.464 °C.
4. Discussion and Conclusions
4.1. Park Size and PCI
The green land in a park, though surrounded by heat outside the park, forms a cool island. The lower the internal temperature of a green park, the stronger its PCI effect, and the greater impact its PCI has on the cooling range and TDA of the nearby roads, buildings, and other areas outside the park.
The results of this research show a gradual decrease of the temperature inside a park from the periphery to the center. For each hectare’s increase in park size up to 17 hectares, TDA increases by 0.18 °C, after which each hectare’s increase in park size leads to about 0.04 °C increase in TDA. TDR increases by about 9 m for each hectare’s increase in park size, up to a park are of about 12 hectares, after which each 1-hectare’s increase in park size leads to an increase in TDR of about 2 m. For each 1-hectare’s growth in park area, TDA increment, when the park size is within the threshold of 17 hectares, is 0.14 °C higher than TDA increment when the park size is over the threshold of 17 hectares. For each 1-hectare’s increase in park area, TDR increment, when the park size is within the threshold of 12 hectares, is 7 m farther than TDR increment when the park area is over the threshold of 12 hectares. For a park size no larger than 1.34 hectares, there is neither TDR nor TDA. For a park size larger than 17 hectares, both TDA and TDR slow down. According to the above findings, for good PCI effect, the upper threshold for park area is 17 hectares, and the lower threshold is 1.34 hectares.
4.2. Park Shape and PCI
Research results show a significant negative correlation between park shape and PCI effect. As the perimeter/area increases by 10, TDA decreases by 0.22 °C, TDR decreases by 9.07 m, and it will eventually leads to an increase of LST inside the park. Given a fixed park size, the perimeter increase will lead to an increase of perimeter/area, when the park shape is round, the ratio of perimeter/area reaches the lowest value, so the rounder an urban park, the better its PCI effect [18].
An interesting exception found in the research, though, is an insignificant correlation between LST of Dongpo Park and Qiangwei Park, and their park shape. This inconsistency, baffling as it seems, is not yet enough to counteract the general trend, i.e., a significant negative correlation between park shape and PCI effect. A justifiable explanation is that Dongpo Park and Qiangwei Park are both surrounded by rivers, so their LST is lower than the other same sized parks, which are all located away from water bodies. On this basis of such an explanation, it can be presumed that this special geological feature shared by Dongpo Park and Qiangwei Park influences the relationship between park shape and LST and leads to the statistical finding of an insignificant correlation between LST of these two parks and their PCI effect. Further research is necessary to prove the truth of this presumption.
4.3. Vegetation Characteristics and PCI
Urban forests can mitigate the heat island effect, but the function is affected by community structure [37]. According to this research, among the five vegetation characteristics, LAI, density, and tree cover have a significant correlation with LST, while tree height and DBH have an insignificant correlation with LST. It then can be inferred that LAI, density and tree cover are the main factors that produce PCI effect. This result is similar to the existent research reports, which have suggested that the best way to reduce UHI and to improve human thermal comfort is to increase tree density, leaf area, and coverage [38]. Density is most strongly related to LST because high tree density will increase the above-ground biomass, such as canopy, trunk, and leaves. Not only can densely planted trees in a park block more sunlight from reaching the lower layer, transpire more water, and produce a better cool island effect, but also their trunks, branches, and leaves can absorb and filter more heat like a sponge to reduce the ambient temperature and to increase the thermal capacity of the park.
LAI also plays an important role in the PCI effect. Vegetation leaves, shading and absorbing radiation energy by photosynthesis and transpiration, help to decrease LST. The more leaf area per hectare, the more accumulation of the cooling effect. According to the results of this research, increasing LAI in a park can help create a stronger PCI effect.
When compared with LAI and tree density, DBH and height have an insignificant correlation with LST, which means that the regulatory effect of these two factors on LST is not obvious. These vegetation characteristics are holistic and interrelated. As is shown by experience, a larger leaf area and tree cover mean that the corresponding tree height and DBH are also relatively large, which puts forward requirements for the selection of the park tree species.
4.4. Park Composition and PCI
The green land, water bodies, and impervious surface play different roles in PCI formation [22]. Water bodies and tree cover play a positive role, while impervious surface play a negative role in PCI development, as demonstrated in previous studies [39]. However, green land shows an insignificant contribution to PCI development, as is found in this research, the main reason for which is the large area of the lawn in a park. This suggests that the effect of grass on PCI depends on its growth condition and coverage and cannot be simply treated as the same function as trees [10]. Some studies have shown that the ability of grass to mitigate UHI effect is weaker than that of trees [22]. Roughly calculated, grassland accounts for a significant portion of the investigated parks, thus reducing the PCI formation of these parks, compared with the trees in the parks. Water bodies play an important role on PCI formation because the mean portion of water cover is 17.35%, and every park contains water. The largest water covers 38.5% of the total park area. Increasing the water area and reducing impervious surface area will contribute to PCI formation. Increasing the tree number in a park and reducing the area of lawns also contribute to a stronger PCI effect.
4.5. Potential Impact Factors of PCI
Trees and water bodies are the cool sources in a park, so the potential threats of trees also affect PCI formation. A healthy tree will have a larger crown size and leaf area, which will contribute to PCI development. Health status of the trees in parks is mainly threatened by the following factors: diseases, pests, and inappropriate management. Moth-borne pests, scale insects, aphids, wood rot fungi, etc. are still refractory pests of trees in Changzhou. With the development of urbanization and greening programs, the frequent seedling transactions increase the risk of invasion of immigrant pests and diseases, such as Platanus curled wings, American white moth, etc. [40]. The Cinnamomum camphora yellowing is currently the most serious and the most common disease with the greatest impact on the tree population in parks. Periphyllus koelrcutoriae (Takahashi), which breaks out in March each year, has seriously affected the growth of Koelreuteria paniculata, not only causing new leaf deformity and curly leaves, but also inducing its own leaves to get on sooty moud [41].
The health condition of the trees in parks is threatened not only by pests, diseases, and inappropriate management practice but also by climate change and extreme weather events. A gradually warming climate will change the growing conditions of the trees in parks and has a potential influence on which species will persist in Changzhou’s future tree population. The Yangtze River Delta in China had experienced a general cooling trend before the mid-1980s, but a warming trend has dominated afterward [42]. Summer months with little precipitation and high temperatures have become more frequent in recent years. What is strange is that along with a warming climate, snowstorms have also been more likely to occur in the winter during the past 10 years. For instance, a sudden snowstorm in 2008 crushed many evergreen branches in Changzhou and brought great safety hazards to urban traffic and damage to trees in parks.
4.6. Ways to Improve PCI Effect
According to the above discussion, to mitigate UHI effect by improving PCI effect, it is more effective and economical to begin considering the cold island effect in park planning and design than to make alterations after the completion of a park project. To maximize the PCI effect, landscape planners and designers should consider four aspects, namely, park size, park shape, LULC, and tree species selection. Firstly, the best park size is from 1.34 to 17 hectares. Parks that are smaller than 1.34 hectares have no PCI effect, and parks that are bigger than 17 hectares will see a slow PCI effect increase with the size increase. Secondly, park shape (perimeter/area) has a negative relationship with PCI effect. A circular park design or a park in the shape of a circle will produce better PCI effect. Thirdly, LULC of parks is worth attention in urban landscape design. Inside parks, to obtain ideal PCI effect, the tree cover and water area needs to be increased, while lawn area and impervious surface cover can be decreased in the park design. Lastly, LAI, tree cover and density have a significant correlation with PCI effect, so trees and shrubs should be planted in optimal ways to maximize PCI effect. More deciduous tree species can be selected instead of evergreen trees in response to the threats posed by climate change.
The PCI effect of an established park can also be improved through management and reconstruction, but reconstruction usually means more government expenditure. To achieve better urban thermal environment and conserve government spending, city managers and landscape designers can get inspiration from the following three suggestions with regard to park vegetation. Firstly, healthy vegetation is more conducive to the development of PCI. Management efforts can improve the health of trees in parks. For instance, regular pruning can improve the structural form of trees, remove dead limbs, and allow for a regular inspection of trees in parks. However, not every tree needs to be pruned. Most pruning efforts should be focused on smaller young trees to encourage good form early on. Large mature trees and high-value trees should be pruned only if this operation is likely to increase their health. In addition to pruning, pests and diseases should also be prevented in advance. Daily management of parks should be adjusted according to plant phenology and climate change. Secondly, it is difficult to expand the size or to adjust the shape of a park, however, it is easier to adjust the LULC inside the park. Reducing the proportion of lawns or impervious surface and increasing the tree cover or water cover are all good ways to get better PCI effect. Thirdly, multilayer planted style of trees, shrubs, and grass is the most effective way to ensure desirable tree and shrub density, cover, and LAI, so scientific planting style of the vegetation in parks contributes to maximal PCI effect and thus can mitigate more UHI. These three suggestions, if vigorously implemented, are of great benefit to a sustainable vegetation development in urban parks, which will, in turn, maximize PCI effect.
Acknowledgments
We thank the staff member from Nanjing agricultural university for helping to analyze the field data, and staff member from Changzhou University helping to modify and polish the paper. Financial support from the Changzhou landscape science and technology project (Grant No: 17-18 JH05) is acknowledged.
Author Contributions
Yanwen Zhao conceived and designed the experiments; Xinjun Wang retrieved LST using Landsat-8 and analysis the data in ArcGIS 9.3; Haoming Cheng and Guoying Yang applied the plot survey; Xinjun Wang and Juan Xi wrote the paper.
Conflicts of Interest
The authors declare no conflict of interest.
Abbreviations
| LST | Land Surface Temperature; PCI, Park Cool Island |
| LULC | Land Use/Land Cover |
| TDA | Temperature Drop Amplitude |
| TDR | Temperature Drop Range |
| LAI | Leaf Area Index |
| UHI | Urban Heat Island |
| UCI | Urban Cool Island |
| DBH | Diameter at Breast Height |
| RTE | Radiative Transfer Equation |
References
- Lin, W.; Yu, T.; Chang, X.; Wu, W.; Zhang, Y. Calculating cooling extents of green parks using remote sensing: Method and test. Landsc. Urban Plan. 2015, 134, 66–75. [Google Scholar] [CrossRef]
- Giorgio, G.; Ragosta, M.; Telesca, V. Climate Variability and Industrial-Suburban Heat Environment in a Mediterranean Area. Sustainability 2017, 9, 775. [Google Scholar] [CrossRef]
- Seto, K.C.; Güneralp, B.; Hutyra, L.R. Global forecasts of urban expansion to 2030 and direct impacts on biodiversity and carbon pools. Proc. Natl. Acad. Sci. USA 2012, 109, 16083–16088. [Google Scholar] [CrossRef] [PubMed]
- Mushore, T.D.; Odindi, J.; Dube, T.; Matongera, T.N.; Mutanga, O. Remote sensing applications in monitoring urban growth impacts on in-and-out door thermal conditions: A review. Remote Sens. Appl. Soc. Environ. 2017, 8, 83–93. [Google Scholar] [CrossRef]
- Du, H.; Cai, W.; Xu, Y.; Wang, Z.; Wang, Y.; Cai, Y. Quantifying the cool island effects of urban green spaces using remote sensing Data. Urban For. Urban Green. 2017, 27, 24–31. [Google Scholar] [CrossRef]
- Pan, S.; Liu, D.; Wang, Z.; Zhao, Q.; Zou, H.; Hou, Y.; Liu, P.; Xiong, L. Runoff Responses to Climate and Land Use/Cover Changes under Future Scenarios. Water 2017, 9, 475. [Google Scholar] [CrossRef]
- Neiva, H.; da Silva, M.; Cardoso, C. Analysis of Climate Behavior and Land Use in the City of Rio de Janeiro, RJ, Brazil. Climate 2017, 5, 52. [Google Scholar] [CrossRef]
- Cardoso, R.; Dorigon, L.; Teixeira, D.; Amorim, M. Assessment of Urban Heat Islands in Small- and Mid-Sized Cities in Brazil. Climate 2017, 5, 14. [Google Scholar] [CrossRef]
- Santamouris, M.; Haddad, S.; Fiorito, F.; Osmond, P.; Ding, L.; Prasad, D.; Zhai, X.; Wang, R. Urban Heat Island and Overheating Characteristics in Sydney, Australia. An Analysis of Multiyear Measurements. Sustainability 2017, 9, 712. [Google Scholar] [CrossRef]
- Cao, X.; Onishi, A.; Chen, J.; Imura, H. Quantifying the cool island intensity of urban parks using ASTER and IKONOS data. Landsc. Urban Plan. 2010, 96, 224–231. [Google Scholar] [CrossRef]
- Zhang, X.X.; Wu, P.F.; Chen, B. Relationship between vegetation greenness and urban heat island effect in Beijing City of China. Procedia Environ. Sci. 2010, 2, 1438–1450. [Google Scholar] [CrossRef]
- Oliveira, S.; Andrade, H.; Vaz, T. The cooling effect of green spaces as a contribution to the mitigation of urban heat: A case study in Lisbon. Build. Environ. 2011, 46, 2186–2194. [Google Scholar] [CrossRef]
- Gage, E.A.; Cooper, D.J. Urban forest structure and land cover composition effects on land surface temperature in a semi-arid suburban area. Urban For. Urban Green. 2017, 28, 28–35. [Google Scholar] [CrossRef]
- Gage, E.A.; Cooper, D.J. Relationships between landscape pattern metrics, vertical structure and surface urban Heat Island formation in a Colorado suburb. Urban Ecosyst. 2017. [Google Scholar] [CrossRef]
- Hardin, P.J.; Jensen, R.R. The effect of urban leaf area on summertime urban surface kinetic temperatures: A Terre Haute case study. Urban For. Urban Green. 2007, 6, 63–72. [Google Scholar] [CrossRef]
- Buyantuyev, A.; Wu, J. Urban heat islands and landscape heterogeneity: Linking spatiotemporal variations in surface temperatures to land-cover and socioeconomic patterns. Landsc. Ecol. 2010, 25, 17–33. [Google Scholar] [CrossRef]
- Sun, R.; Chen, L. How can urban water bodies be designed for climate adaptation? Landsc. Urban Plan. 2012, 105, 27–33. [Google Scholar] [CrossRef]
- Ren, Z.; He, X.; Zheng, H.; Zhang, D.; Yu, X.; Shen, G.; Guo, R. Estimation of the Relationship between Urban Park Characteristics and Park Cool Island Intensity by Remote Sensing Data and Field Measurement. Forests 2013, 4, 868–886. [Google Scholar] [CrossRef]
- Bowler, D.E.; Buyung-Ali, L.; Knight, T.M.; Pullin, A.S. Urban greening to cool towns and cities: A systematic review of the empirical evidence. Landsc. Urban Plan. 2010, 97, 147–155. [Google Scholar] [CrossRef]
- Lee, S.-H.; Lee, K.-S.; Jin, W.-C.; Song, H.-K. Effect of an urban park on air temperature differences in a central business district area. Landsc. Ecol. Eng. 2009, 5, 183–191. [Google Scholar] [CrossRef]
- Jonsson, P. Vegetation as an urban climate control in the subtropical city of Gaborone, Botswana. Int. J. Climatol. 2004, 24, 1037–1322. [Google Scholar] [CrossRef]
- Onishi, A.; Cao, X.; Ito, T.; Shi, F.; Imura, H. Evaluating the potential for urban heat-island mitigation by greening parking lots. Urban For. Urban Green. 2010, 9, 323–332. [Google Scholar] [CrossRef]
- Sithole, K.; Odindi, J.O. Determination of Urban Thermal Characteristics on an Urban/Rural Land Cover Gradient Using Remotely Sensed Data. S. Afr. J. Geomat. 2015, 4, 384. [Google Scholar] [CrossRef][Green Version]
- Jauregui, E. Influence of a large urban park on temperature and convective precipitation in a tropical city. Energy Build. 1990, 15, 457–463. [Google Scholar] [CrossRef]
- Srivanit, M.; Hokao, K. Evaluating the cooling effects of greening for improving the outdoor thermal environment at an institutional campus in the summer. Build. Environ. 2013, 66, 158–172. [Google Scholar] [CrossRef]
- Shi, Y.; Zhang, Y. Remote sensing retrieval of urban land surface temperature in hot-humid region. Urban Clim. 2017, in press. [Google Scholar] [CrossRef]
- Koc, C.B.; Osmond, P.; Peters, A.; Irger, M. A Methodological Framework to Assess the Thermal Performance of Green Infrastructure Through Airborne Remote Sensing. Procedia Eng. 2017, 180, 1306–1315. [Google Scholar] [CrossRef]
- Jiménez-Muñoz, J.; Sobrino, J.A.; Skokovi´c, D.; Mattar, C.; Cristóbal, J. Land Surface Temperature Retrieval Methods FromLandsat-8 Thermal Infrared Sensor Data. IEEE Geosci. Remote Sens. Lett. 2014, 11, 1840–1843. [Google Scholar] [CrossRef]
- Vlassova, L.; Perez-Cabello, F.; Nieto, H.; Martín, P.; Riaño, D.; de la Riva, J. Assessment of Methods for Land Surface Temperature Retrieval from Landsat-5 TM Images Applicable to Multiscale Tree-Grass Ecosystem Modeling. Remote Sens. 2014, 6, 4345–4368. [Google Scholar] [CrossRef]
- Blasi, M.G.; Liuzzi, G.; Masiello, G.; Serio, C.; Telesca, V. Surface parameters from SEVIRI observations through a Kalman filter approach: Application and evaluation of the scheme in Southern Italy. Tethys J. Weather Clim. West. Mediter. 2016. [Google Scholar] [CrossRef]
- Masiello, G.; Serio, C.; Venafra, S.; DeFeis, I.; Borbas, E.E. Diurnal variation in Sahara desert sand emissivity during the dry season from IASI observations. J. Geophys. Res. Atmos. 2014, 119, 1626–1638. [Google Scholar] [CrossRef]
- Nowak, D.J.; Hoehn, R.E.; Bodine, A.R.; Greenfield, E.J.; O’Neil-Dunne, J. Urban forest structure, ecosystem services and change in Syracuse, NY. Urban Ecosyst. 2013, 19, 1455–1477. [Google Scholar] [CrossRef]
- Statistic, C. National Economic and Social Development Statistics Bulletin of Changzhou in 2016. Available online: http://www.cztjj.gov.cn/html/tjj/2017/OEJQMFCO_0303/13340.html (accessed on 15 November 2017).
- Zheng, J.Y.; Yin, Y.H.; Li, B.Y. A new scheme for climate regionalization in China. Acta Geogr. Sin. 2010, 65, 3–13. (In Chinese) [Google Scholar]
- Sobrino, J.A.; Jiménez-Muñoz, J.C.; Paolini, L. Land surface temperature retrieval from Landsat TM 5. Remote Sens. Environ. 2004, 90, 434–440. [Google Scholar] [CrossRef]
- i-Tree. Available online: http://www.itreetools.org/about.php (accessed on 10 October 2017).
- Xu, H.-L.; Yue, W.-Z. A study on thermal environment effect of urban park landscape. Acta Ecol. Sin. 2008, 28, 1702–1710. (In Chinese) [Google Scholar]
- Yang, F.; Qian, F.; Liu, S. Evaluation of Measurement and Numerical Simulation of Outdoor Thermal Environmental Effect of Planning and Design Strategies of High-rise Residential Quarters. Build. Sci. 2013, 29, 28–34. [Google Scholar]
- Chang, C.-R.; Li, M.-H.; Chang, S.-D. A preliminary study on the local cool-island intensity of Taipei city parks. Landsc. Urban Plan. 2007, 80, 386–395. [Google Scholar] [CrossRef]
- Zhao, W.H. Common street tree diseases and pests prevention and control technology in Changzhou. Chin. Hortic. Abstr. 2014, 4, 123–124. (In Chinese) [Google Scholar]
- Ping, G.; Ling-Qin, Z.; Zhong, X. Biological Characteristics and Control of Periphyllus Koelreuteria (Takahashi) in Shanghai District. J. Shanghai Jiaotong Univ. Agric. Sci. 2004, 22, 389–392. (In Chinese) [Google Scholar]
- Guan, Y.; Zhang, X.; Zheng, F.; Wang, B. Trends and variability of daily temperature extremes during 1960–2012 in the Yangtze River Basin, China. Glob. Planet. Chang. 2015, 124, 79–94. [Google Scholar] [CrossRef]
© 2018 by the authors. Licensee MDPI, Basel, Switzerland. This article is an open access article distributed under the terms and conditions of the Creative Commons Attribution (CC BY) license (http://creativecommons.org/licenses/by/4.0/).




