Abstract
Local governments are encouraged to compete in R&D investments and activities in China’s innovation system. We aim to understand the influence of government competition on regional R&D efficiency. We are also interested in examining how the attributes of legal environment act as a moderating variable for the relationship between government competition and R&D efficiency. We developed Tobit spatial models with spatial panel data of 30 provinces of China in 2008–2016. The results show that: (1) There exists spatial dependence of R&D efficiency, and the regions with high efficiency have “spillover effect” on the surrounding areas. (2) Government competition has a significant promoting effect on R&D efficiency and/or R&D efficiency spillover. Specifically, government competition has both R&D efficiency promotion and R&D efficiency “spillover” promotion in Eastern China, only R&D efficiency positive spillover promotion in Middle-area and R&D efficiency promotion but negative spillover in Western China. (3) The impact of government competition on efficiency is affected by the legal environment, and the promotion effect of government competition only exists in good legal environment. The results of this study reveal an important way to improve R&D efficiency by establishing a new R&D competition mechanism for local government which is oriented by efficiency and ruled by the legal environment.
1. Introduction
Government investment in R&D is an important factor in technological innovation [1]. China has been the second biggest country in R&D investment in the world, with its R&D expenditure has already reached 131.56 billion yuan. However, China is not yet a technological power in the world, lacking in core technology, original scientific and technological capabilities, more than 32% of 130 kinds of key basic materials in China are still blank, and the R&D Efficiency needs to be improved. For example, the total number of international papers and citations published by Chinese scientists and technicians ranked second in the world from January 2007 to October 2017, but the average number of citations per paper (9.4 times) did not reach the world average (11.8 times), showing that the quality of Chinese scientific papers was not high. According to the National Medium and Long-Term S&T Development Plan (2006–2020), the R&D input intensity of China will reach 2.5% by 2020. With the quantitative growth of R&D investment in China, how to transform R&D input into innovation output is attracting great attention, and R&D efficiency is becoming increasingly important in China.
European countries have an absolute advantage in technological innovation capacity, occupying eight of the top 10 in the 2017 global innovation index rankings. Switzerland, Sweden and Germany are representative countries, ranking first, second and ninth respectively. While China ranked 22nd. We make a more detailed comparison of R&D indicators between Sweden, Germany and China, taking the results of 2015 as an example (See Figure 1). In both researchers in R&D and scientific and technical journal articles, China is obviously lower than Sweden and Germany. In addition, the R&D intensity is only 2.066%, a distance from our target (2.5% in 2020) and farther away from Sweden and Germany. The Chinese government has paid more attention to and increased investment in the field of R&D. China’s R&D budget was about 100.6 billion dollars in 2015, much more than Germany (16.87 billion dollars) and Sweden (337 million dollars). The most notable feature of China’s national science and technology innovation system is that the Chinese government plays an important role, and the R&D investment intensity of Chinese enterprises is low, which is quite different from or even contrary to that of European countries. Therefore, it is necessary and meaningful to study the efficiency of R&D in China from the perspective of government competition.
Figure 1.
Comparison of R&D indicators between Sweden, Germany and China in 2015.
The topic of R&D efficiency has received increasing academic interest in recent years all over the world [2,3,4,5,6,7,8,9]. Most of the previous studies on this topic have attempted to measure R&D efficiency or productivity at the firm or industry levels [10,11,12,13,14,15,16], as well as country or national level [17,18,19]. In this study, however, R&D productivity is measured at the provincial level to provide R&D policy implications. Several studies proposed that national or regional innovation system has an important effect on R&D efficiency indices [18,20,21], while the national or regional innovation system of China is characterized by government competition, which is an important system design that affects the efficiency of resource allocation. To some extent, the competition of local governments for economic growth explains China’s economic growth miracle. The central government stimulates local governments to compete horizontally for the “yardstick” (GDP or GDP growth), called “yardstick competition” [22,23], which affects the efficiency of financial resources allocation. There is no doubt that competition can promote the efficiency. Local government competition helps to improve the supply of public goods, the allocation of economic resources and the efficiency of the public sectors [24,25]. As the main means of local government competition [26,27,28], public finance expenditure competition (fiscal competition) can improve infrastructure and the quality of public services, promote industrial agglomeration, expand the scale of foreign investment, affect the export situation, and promote economic development [29,30,31]. Government investment in R&D are public goods, and it is still a question that whether government competition can improve R&D efficiency. In addition, with the existence of the strategic interaction between jurisdictions, externalities of public goods and interregional fiscal expenditure spillover effect [32,33], could government competition promote the spatial spillover of efficiency? This is very worthy of discussion.
Therefore, this paper focuses on analyzing the impact of government competition on R&D efficiency in China. We develop a moderating effect model of legal environment to capture the normative role of the legal environment in government competition. First, we apply the Data Envelopment Analysis (DEA), a typical efficiency analysis methodology to estimate R&D efficiency. DEA does not need to explicitly assume a functional relationship between inputs and outputs and has advantages in dealing with multiple inputs and outputs [1]. We measure the efficiency level of 30 provinces in China, assumed decision-making units (DMUs). Second, we examine whether there is spatial dependence of R&D efficiency. If it exists, we will have to construct Tobit spatial econometric model because the latent variable, R&D efficiency scores are censoring from below at 0, also because of the spatial dependence, the linear model based on Ordinary Least Squares (OLS) are biased. Third, the relationship between government competition, legal environment and R&D efficiency is tested.
The contributions of this paper to existing literature are as follows. First, this article provides a relatively novel research perspective of government competition for the study of R&D efficiency. Different from western countries, local governments have played a leading role in China’s national science and technology innovation system. It is of interest whether government competition could affect the efficiency of R&D investment and how it works. Second, we seek to explore the spatial effect and historical evolution of R&D efficiency and analyze its spatial agglomeration pattern. Current studies mainly focus on the measurement and evaluation of R&D efficiency and few studies have explored the spatial effect and used spatial econometric models to study R&D efficiency. Third, this study analyzes the effect of government competition on R&D efficiency in difference regions and the differences. This study also investigates the impact of law environment on the relationship between government competition and R&D efficiency. Our findings have important implications for local government officials when they implement policies to promote R&D efficiency and build strong provinces of science and technology.
The rest of this paper is structured as follows. Section 2 is the theoretical analysis and research hypotheses. We have the research design in Section 3, which is followed by the R&D efficiency analyses in Section 4. Section 5 is presentation and discussion of results. Finally, in Section 6, conclusions, limitations and future research avenues are discussed.
2. Theoretical Analysis and Research Hypotheses
2.1. Government Competition and R&D Efficiency
When we discuss the issue of R&D efficiency, the externalities of public goods such as knowledge and technology should be taken into consideration. A large number of empirical literature find that the supply of public goods has a spatial effect such as public environmental goods in California [34], spatial knowledge spillovers of university research in Austria [35], the spatial effects of efficiency and TFP growth on pollution in Europe [36] and water resource utilization efficiency and spatial spillover effects in China [37]. As for R&D efficiency, in the process of fiscal input and output of R&D, the neighborhood competition, learning and imitative behavior among local governments can produce strategic complementary effect, thus provinces with high R&D efficiencies are closer to each other in space. In other words, R&D efficiencies between adjacent provinces is more consistent. That is the spatial dependence of R&D efficiencies. Besides, geographic and spatial factors can bring about the technology transmission and the spillover of efficiency through imitation transmission mechanism, which means provinces with high R&D efficiencies can help promote the R&D efficiencies of adjacent provinces because the good practice and experience are easier to observe and learn for them. That is the spatial spillover effect of R&D efficiency. Thus, we come to the following hypothesis:
Hypothesis 1 (H1).
There exists spatial dependence of R&D efficiency, and the regions with high efficiency have “spillover effect” on the surrounding areas.
Research on R&D efficiency of China focuses on efficiency evaluation and influencing factors. For instance, Xu Lei [38] used both DEA and SFA methods to measure the R&D efficiency and found that China’s R&D efficiency showed regional imbalances, with the efficiency of eastern region was higher than western region, and the efficiency of western region was higher than central region. Based on the test of SFA, Zhu C. L.’s findings showed that China’s R&D innovation efficiency was still relatively low and had great potential for innovation. In addition, human capital level and higher education could significantly promote R&D innovation [39]. A large number of empirical studies have chosen GDP, FDI, foreign trade, regional openness, higher education, educational technology inputs, regional industry convergence and fiscal incentive policies as the factors of efficiency [40,41,42,43]. However, the impact of government competition on efficiency has been ignored.
Government competition is one of the important sources of agglomeration and spillover of R&D efficiency. Local government competition is a system design with Chinese characteristics. Local governments have great financial power but the power of appointment, removal, and promotion of local leading cadres is concentrated in the central government. Local governments compete using their financial power in performance indicators set by the central government for the promotion. In the past thirty years, GDP has always been the most important indicator, thus forming the “competition for growth” mechanism, which has been regarded as the main reason of miracle of China’s economic growth [30,44]. The essence of government competition is the competition of financial resources domination and utilization ability between local governments. Numerous studies have focused on the impact of government competition on GDP growth or R&D investment [29,31,45], while few studies focus on the impact of competition on R&D efficiency.
With the economy entering the “New Normal”, more attention paid to the quality and sustainability of economic development, the contribution rate of S&T progress to economic growth has steadily increased. In addition, the national innovation-driven development strategy of China has been fully implemented, which has stimulated the local government’s new S&T competitions, especially the R&D investment, particularly after technological innovation performance and other related indicators have been included in the performance appraisal standards. The local government has formed a new mechanism of “competition for innovation” [45]. Technological innovation index has become an important yardstick of government competition. Local governments’ attention will be more focused on “S&T Championship” competition, thus increasing the support and investment in S&T innovation, which will help improve the efficiency of regional R&D investment and spillover. From the point of factor input, government competition strengthens R&D capital input, mainly embodied in the expansion of the scale of financial investment in R&D and the pursuit of the central vertical S&T resources. Through new projects, the construction of R&D parks, and the scramble for pilot projects, local governments strive to obtain central financial support and institutional advantages in advance as to give full play to the vertical and horizontal production of financial investment in R&D, accelerate the spatial agglomeration and integration of S&T resources, optimize the spatial allocation structure and improve the input efficiency. Essentially, the competition of S&T is the competition of talents. Local governments have the motive force to attract talents of R&D. Promoting the scientific treatment and sense of achievement of R&D talents and stimulating the enthusiasm and creativity of scientific research are the external and internal motivation to promote scientific research achievements and improve efficiency. From the perspective of the technological innovation process, local governments have prominent institutional advantages, such as innovative mechanism, good innovative environment, integration of high-quality S&T resources and establishment of technological innovation chain. Government competition could strengthen that institutional advantage, release institutional dividends, improve the innovation chain, ensure innovation results, and improve the R&D efficiency.
Local governments compete for innovation. Under the yard competition guided by R&D output, the indicators of R&D output in regions with high efficiency of technological innovation often have strong demonstration effect, and become the target of “catching up” and “surpassing” in adjacent regions, which affects the decision-making of S&T development in the surrounding areas, and brings about institutional, policy learning and imitative behaviors. These strategic interaction behaviors have effects on adjacent regions [46,47]. The strategic competition among local governments will help to promote the “spillover” of the efficiency of R&D investment. Therefore, we propose the following hypothesis.
Hypothesis 2 (H2).
Government competition has a positive impact on R&D efficiency and R&D efficiency spillover.
2.2. Government Competition, Legal Environment and R&D Efficiency
Hypothesis 2 was proposed on the assumption that any competition between governments was under legal framework because illegal competitions will be risky for the local government leaders in consideration of potential loss of reputation and demotion. However, the fact is that local governments have the preference for protecting local interests and the impulse to intervene the market economic activities in safeguarding economic interests. They even play the role of “athletes” as to rank the “tournament” and unilaterally pursue the maximization of regional economic growth, while resulting in the structural distortion of public expenditure characterized by “laying stress on infrastructure construction and ignoring social services” [48]. The profit-seeking nature of local governments is apt to lead to irrational competition, which is manifested in the violation of economic principles, the promotion of local protectionism, the implementation of regional blockades and the separation of resources, the safeguarding of their own interests by unfair means and even the violation of laws. Though the legal environment can regulate the government’s competitive behavior [49], the regulation effect only takes effect in a good legal environment, where administrative monopoly and vicious competition could be curbed and the contradictions between government and market could be resolved. Therefore, the environment of intergovernmental competition for R&D efficiency is guaranteed. In the provinces with the bad legal environment, three has a little positive impact on local government competition behavior, government competition may lead to the dislocation of R&D resources allocation, which is not conducive to the promotion of efficiency. Therefore, this article proposes Hypothesis 3.
Hypothesis 3 (H3).
The rule function of the legal environment on the government competition is an important prerequisite for realizing its promotion to R&D efficiency. The promotion effect of government competition only exists in the good legal environment.
3. Research Design
3.1. Moran’s I and Local Indicator of Spatial Association
To test H1, Moran’s I and the local indicator of spatial association (LISA) are applied to the following analysis [50,51]. LISA is Products of decomposition of Moran’s I and can help to evaluate the clustering patterns and calculate local Moran’s I for each spatial unit. The spatial autocorrelation of Moran’s I can be expressed as Equation (1).
In Equation (1), zi is the deviation between the attribute of factor i and its average value (), wi,j is the spatial weight between factor i and factor j, n equals the total number of factors, and So is the aggregation of all spatial weights as Equation (2).
The statistical zi score is calculated in the following form, as seen in Equation (3).
Additionally,
The local Moran’s I can be expressed as Equation (6).
It should be noted that
In regard to the spatial weight matrix wi,j, this paper use the “Rook Contiguity” method to establish a first-order neighboring spatial weighting matrix wi,j. Specifically, if the province i and province j have a common boundary, then the space weight coefficient of the two provinces is 1, and 0 otherwise.
3.2. Construction of Measurement Model
For H2, we take R&D efficiency as the explained variable, government competition and other variables as explanatory variables. We follow the spatial econometric methods to develop the following Tobit spatial panel models [52,53,54,55,56]:
Models (8) and (9) are Tobit spatial lag model (TSLM) and Tobit spatial error model (TSEM), respectively. In Equation (8) and (9), i represents the province, t represents the period, and wi,j represents the spatial weighting matrix, ρ and λ are the coefficient of spatial autoregressive and spatial error, respectively, both reflecting the R&D efficiency effect of the adjacent provinces on the observation province. All variables see above for the definitions of the variables.
To test H3, we study the impact of the legal environment on R&D efficiency, and further discuss the impact of the normative role of the legal environment in government competition on R&D efficiency. That is, we test whether the R&D Efficiency promotion effect is stronger in regions with the good legal environment. Therefore, we derive a dummy variable to represent the good legal environment. Provinces with legal environment scores greater than the median for the respective year are coded 1, and 0 otherwise (HILaw) [57]. we use R&D Efficiency as the explained variable, the legal environment and the Interaction term of the higher-level legal environment and government competition, along with the other variables as explanatory variables. Using both TSLM and TSEM, we create the following panel models:
In Equation (10) and (11), i represents the enterprise and t represents the period. See above for the definitions of the variables. We an add interaction term to the model to test the impact of the legal environment on the relationship between government competition and R&D efficiency.
3.3. Variables Definition and Data Sources
3.3.1. Selection and Measurement of Variables
(1) R&D efficiency (R&D-Eff) reflects the relative efficiency score of R&D activities across provinces in this paper. We obtain the R&D efficiency scores by applying DEA-CCR model and each province is regarded as a DMU that employs manpower (R&D personnel) (input1) and financial resources (R&D funds) (input2) as inputs and patent authorization (output1) and turnover in technology market (output2) as outputs.
(2) Government competition (Govcom) is the product of fiscal decentralization, and its essence is the competition of financial resources domination and utilization ability. We measure government competition by the ratio of local fiscal expenditure to national fiscal expenditure, reflects the degree of competition among local governments.
(3) Legal environment (Law) is an important external condition affecting the management activities of the government and other public sectors. There are differences in the level of the legal environment in different regions. Therefore, this article measures the legal environment level by “the development of market intermediary organizations and the environmental index of the legal system”, the sub-index of “NERI Index of Marketization of China’s Provinces”, edited by Wang et al. [58]. Legal environment includes four sub-indexes: development of market intermediaries, protection of producers’ lawful rights and interests, protection of intellectual property rights, protection of consumers’ interests [53]. It should be noted that this legal index has been widely used to capture the legal environment of China’s government and market activities in China [59,60].
Control variable are as follows: Government scale (Govscale), measured by the proportion of government consumption expenditure to GDP in each province, the degree of economic development (LnGDP), measured by the natural logarithm of the per capita GDP of each province, population density (Popdensity), expressed in terms of population per unit area, the transportation infrastructure (Tra), expressed by the sum of railway mileage per unit area and grade highway mileage of each province, the level of information development (Internet), measured by the proportion of internet users to regional population in each province and educational level (Edu), the proportion of population with high school and college education background in population over six years of age.
3.3.2. Research Sample and Data Sources
In this article, 30 provinces in the mainland of China in 2008–2016 were selected as research samples. The data of R&D efficiency measurement mainly come from “China Statistical Yearbook” (2008–2016) and “China S&T Statistics Yearbook” (2008–2016). Other data were from the database of China Economic Net and the National Bureau of statistics. This paper used the Excel 2016 and Stata12.0 statistical software packages to perform the data processing.
4. R&D Efficiency Analyses
4.1. R&D Efficiency Score of 30 Provinces
The DEA model is applied to estimate the inter-province efficiency frontier of R&D activities with the inputs and outputs mentioned above. As shown in Table 1, the average R&D efficiency is about 0.581, indicating that R&D efficiency has much room for improvement. The eastern regions are more efficient, showing the highest R&D efficiency values. Some provinces in eastern regions have a R&D efficiency value of unity, indicating that these provinces represent the best practices. However, in general, most of the provinces show worse performance. In sum, the results suggesting that the regions show relatively moderate R&D efficiency, R&D efficiency under different regions is heterogeneous and R&D efficiency of some provinces under same region is homogeneity, suggesting that R&D efficiency is likely to have spatial dependence. Comparing our results with Xu Lei [38], who studied the efficiency of input and output of R&D in China, the R&D efficiency scores we measured are higher in general because we have more outputs than theirs. However, we get the same efficiency distribution, which is the highest in the East, the second in the west, and the lowest in the central part.
Table 1.
R&D efficiency scores of 30 provinces of China from 2008–2016.
There are some weaknesses of DEA approach needed to point out to measure the R&D efficiency. The choice of input and output of DEA method has a decisive influence on the result of efficiency measurement. Our results and Xu Lei’s are examples. In addition, the DEA method is only an assessment of relative efficiency, and can’t replace absolute efficiency. For the robustness of results, stochastic frontier analysis (SFA) is employed to remeasure R&D efficiency. The dependent variable is turnover in technology market (output2 in DEA) and independent variables are employs manpower (R&D personnel) and financial resources (R&D funds) (input1 and input2). The software FRONTIER4.1 is applied to get the relatively consistent results. Take the results of 2016 for example, the mean values are 0.684 (DEA) and 0.676 (SFA), and the efficiency distribution of provinces is relatively consistent in the two models. The results of SFA are shown in Appendix A.
4.2. Analyses of Spatial Dependence and “Spillover Effect” of R&D Efficiency
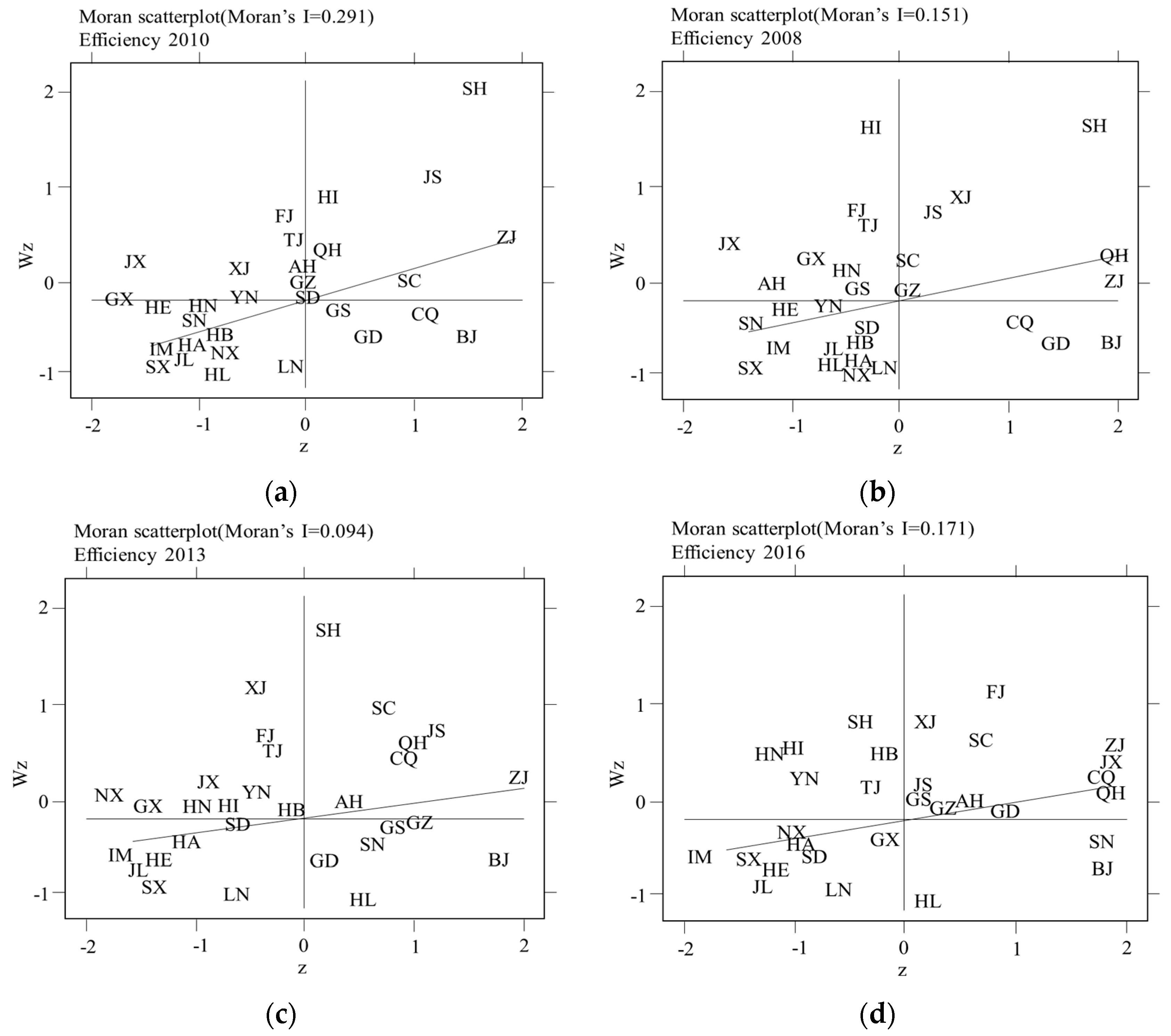
We obtained the results of Moran’s I test of R&D efficiency from 2008–2016 as seen in Table 2. Table 2 shows that Moran’s I are significantly positive at 10% level in 2008, 2012 and 2013, at 5% level in 2009, 2011, 2014 and 2016 and at 1% level in 2010 and 2015, which suggests that there is positive spatial autocorrelation in R&D efficiency. Further, the Moran scatterplot of R&D efficiency is presented in Figure 2, which shows that R&D efficiency not only represents spatial agglomeration but also influences neighboring areas. The spatial spillover effect of R&D efficiency is very significant and the efficient area has played a significant driving effect and leading role on the efficiency of the surrounding areas. Figure 3, LISA cluster map of R&D efficiency can help us identify which units are statistically related to neighboring units and to identify spatial clustering patterns. It is obvious that Beijing (BJ) is always the high R&D efficiency region surrounded by provinces with low R&D efficiency (H-L). Inner Mongolia (IM), Shanxi province (SX) and Hebei (HE) are often the inefficient cluster area (L-L). While Shanghai (SH) and its neighbor Jiangsu (JS), Zhejiang (ZJ) are typically high R&D efficiency cluster area (H-H). While, there are some interesting findings. The high R&D efficiency cluster area (H-H) moved southward, the inefficient cluster area (L-L) extended to Northeast China (JL&LN), and Sichuan (SC), Chongqing (CQ) became a new high R&D efficiency cluster area and Shaanxi (SN) became a new H-L area in Western China as time went by. Global autocorrelation comes from regional autocorrelation. Thus, we have enough evidence to support H1 that there exist spatial dependence and spatial spillover effect of R&D efficiency.
Table 2.
Moran’s I test of R&D efficiency from 2008–2016.
Figure 2.
Moran scatterplot of R&D efficiency in 2008, 2010, 2013 and 2016.
Figure 3.
LISA cluster map of R&D efficiency in 2008, 2010, 2013 and 2016.
5. Empirical Research
5.1. Descriptive Statistics and Correlation Analysis of Variables
Table 3 reports the descriptive statistical analysis of the variables. As mentioned above, R&D efficiency is moderate with the mean value (0.581). There are great differences between provinces in both Govcom and Law. Table 4 is the Pearson correlation matrix of the variables. We can see that Govcom and Law are both significantly positively correlated with R&D-Eff. We compute the variance inflation factors (VIFs) and find most to be less than 4, suggesting that multi-collinearity is not a major issue in our study.
Table 3.
Descriptive statistical analysis of the characteristics of each variable.
Table 4.
Pearson correlation matrix of the variables.
5.2. Impact of Government Competition on R&D Efficiency
Table 5 reports the results of the impact of government competition on R&D efficiency in full samples and subsamples divided by the region with both Tobit Spatial Lag Model (TSLM) and Tobit Spatial Error Model (TSEM). Based on the test results of LMErr and LMLag, the LMErr statistics are more significant than the LMLag statistics in all models. Thus, we selected the Tobit Spatial Error Model (TSEM) for the study and following analyses. According to the Hausman Test, fixed effect model is applied.
Table 5.
Impact of government competition on R&D efficiency.
(1) In full samples, government competition has a significantly positive impact on R&D efficiency. This result shows that competition for innovation promotes the innovation activities and outputs, thus enhancing R&D efficiency. To some extent, optimizing the system design of local government competition in the new period plays an important role in improving R&D efficiency and building a powerful country in S&T. (2) For east-, middle-, and west-China regions, government competition has a significantly positive impact on R&D efficiency in Eastern China and Western China, but not in Middle-area. This result indicates that the Middle-area is at a disadvantage in intergovernmental competition. For Middle-area, it is much more difficult to attract S&T resources and talents compared with the eastern regions, and there is less policy support that could gained from the central government compared with the western regions.
Table 5 also shows the impact of government competition on R&D efficiency spillover. In general, R&D efficiency does exist positive spatial autocorrelation because the Moran’ I are significantly positive in all models, which support H1 again. The statistics of λ are significant in full sample and all sub-samples. However, λ is significantly negative in the sub-sample of West, suggesting that competition of local governments has promoted the spillover effect of the R&D efficiency in Eastern and Middle-area, partly supporting the H2. The government competition in Western China can lead to R&D investment less efficiency for neighboring provinces. In conclusion, government competition has both R&D efficiency promotion and R&D efficiency positive spillover promotion in Eastern China, only R&D efficiency positive spillover promotion in Middle-area and R&D efficiency promotion but negative spillover in Western China.
As for the control variables, Govscale, Internet and Edu are all significantly positively correlated with R&D-Eff, suggesting that the higher the government consumption, the higher the R&D efficiency. The reason is that government consumption generates large demand for R&D products and technology. China’s market for scientific and technological achievements transformation is not perfect and government procurement plays an important role in R&D. It’s easy to understand that the R&D is higher with the improvement of information technology and education level.
5.3. Impact of Government Competition and Legal Environment on R&D Efficiency
Table 6 shows the results of the impact of the legal environment and government competition on R&D efficiency. The results for Model 1 show that the coefficient on the higher-level legal environment (HILaw) is positive and significant, suggesting that the good legal environment is a powerful guarantee for improving R&D efficiency. Given that the legal environment plays a normative role in government competition. We estimate Model 2 in Table 6, which includes the main effect of HILaw and Govcom. Results for the Model 2 show that the coefficient on both HILaw and Govcom are positive and significant. Especially, added the variable HILaw, the significant level of Govcom has dropped from 1% to 10% compared to Table 5, which suggests that legal environment does have effects on government competition behaviors. More importantly, the coefficient of interaction term HILaw * Govcom in Model 3 is positive and significant. This result suggests that provinces with good legal environment had higher R&D efficiency because of government competition relative to the bad legal environment. The legal environment is an important guarantee for giving play to the positive role of government competition. All in all, our results support H3 and are consistent with the proposition that the impact of government competition on efficiency is affected by the legal environment, the promotion effect of government competition only exists in the good legal environment.
Table 6.
Impact of legal environment and government competition on R&D efficiency.
5.4. Robustness Examination
We re-estimate the models in Table 5 and Table 6 using alternative government competition measures (Govcom2): the ratio of local government revenue to state revenue. The results are shown in Table 7, which are consistent with those in Table 5 and Table 6, for example, the main effect of Govcom2 is still positive and significant, the coefficient on the interaction term HILaw*Govcom2 is positive and significant in 1% level. We also replace HILaw with legal environment scores, not the dummy variable anymore, we get consistent results again (untabulated).
Table 7.
Impact of government competition and legal environment on R&D efficiency.
6. Conclusions and Implications
China has been the second largest R&D investment country in the world for several years, but it is still not a powerful country in R&D. The efficiency of R&D is thought-provoking. Considering that the government has made important decisions under China’s technological innovation system and local government competition is an important feature of regional R&D innovation system, we study the efficiency of R&D from the perspective of government competition. This paper constructs a spatial econometric model with moderating effect, and empirically tests the influence mechanism of government competition and legal environment on R&D efficiency based on the background of China-style fiscal decentralization and the panel data of 30 provinces in China from 2008 to 2016. In summary, we find the following: (1) There exists spatial dependence of R&D efficiency, and the regions with high efficiency have “spillover effect” on the surrounding areas. (2) Government competition has a significant positive impact on R&D efficiency and/or R&D efficiency spillover. Specifically, government competition has both R&D efficiency promotion and R&D efficiency “spillover” promotion in Eastern China, only R&D efficiency positive spillover promotion in Middle-area and R&D efficiency promotion but negative spillover in Western China. (3) The impact of government competition on efficiency is affected by the legal environment, the promotion effect of government competition only exists in the good legal environment.
Based on our research in this paper, we make the following policy recommendations. Firstly, from the perspective of spatial agglomeration and spillover of R&D efficiency, it is recommended to perfect the top-level system design and optimize the spatial layout of S&T resources. More S&T resources should be allocated priority to efficient areas. It is encouraged to strengthen the learning and cooperation among provinces and regions to fully release the spatial spillover effects of R&D efficiency. Secondly, from the relationship between government competition and R&D efficiency, it is important to optimize the incentive mechanism of the promotion system for local officials, build an innovative and competitive government, encourage local governments to compete around the important indicators of S&T innovation. It is proposed to strengthen the R&D efficiency orientation and innovate the performance evaluation mode and put the efficiency index and major achievement index of R&D into the key points of local leading cadres’ performance assessment. Thirdly, the legal environment does matter to promote R&D efficiency in China’s innovation system. It is critical to improve the level of legal environment by strengthening S&T legislation and improving laws and regulations such as the Law on Scientific and Technological Progress and the Law on the Protection of Intellectual Property Rights. In addition, legal institutional framework of incentive and restraint for local governments’ competition are ought to be established and optimized, and the orderly and rational competition of local governments should be guaranteed by the good legal environment as to achieve the harmony and unity of benign competition, efficiency promotion and legal regulation.
This study has a lot of limitations that need to be pointed out. Most importantly, the time series is long enough, however, the data we used is only up to 2016. The fact is that China’s science and technology progress is very fast, especially in recent years. Therefore, the issue of R&D investment or R&D efficiency may change a lot. For instance, the nineteenth National Congress of the Communist Party of China held in 2017, new policies on R&D investment may have great impacts on R&D activities of local governments. The results describe the past and the reality is another 2 years, which might be crucial. Another shortcoming of this study lies in the application of research findings. The impact of government competition on R&D efficiency may only exist in China because of China’s unique local government competition system and science and technology innovation system. It may be hard to get the same conclusion in other countries or areas. In the future, if more latest data especially after 2017 is obtained, more accurate efficiency measurements and efficiency trend analyses will be possible. In addition, the path of government competitive behavior affecting the R&D investment or efficiency of local and neighboring regions needs to be further explored.
Author Contributions
B.H. designed research; J.W. (Jiawei Wang) performed research and analyzed the data, J.W. (Jiawei Wang) and J.W. (Jiaoyang Wang) wrote and revised the paper, and K.W. provided revision advice. All authors read and approved the final manuscript.
Funding
This research was funded by China Postdoctoral Foundation (2015M582683); the Shaanxi Province Soft Science Research Key Project (2018KRZ013); Shaanxi University of Science and Technology Doctor Launch Fund Project (BJ15-08); Self-Optional Project of Shaanxi University of Science and Technology (ZX14-06).
Acknowledgments
The authors are grateful to the anonymous referees for valuable comments and suggestions, and the suggestions of professor George Tridimas and Fang Su. Any errors are entirely due to the authors.
Conflicts of Interest
The authors declare no conflict of interest.
Appendix A
Table A1.
R&D efficiency of 30 provinces of China measured by SFA from 2008–2016.
Table A1.
R&D efficiency of 30 provinces of China measured by SFA from 2008–2016.
| Province | Area | 2008 | 2009 | 2010 | 2011 | 2012 | 2013 | 2014 | 2015 | 2016 | Average |
|---|---|---|---|---|---|---|---|---|---|---|---|
| Beijing (BJ) | E | 0.966 | 0.976 | 0.997 | 0.976 | 0.973 | 0.974 | 0.974 | 0.975 | 0.973 | 0.976 |
| Tianjin (TJ) | E | 0.860 | 0.490 | 0.248 | 0.885 | 0.870 | 0.880 | 0.870 | 0.863 | 0.864 | 0.759 |
| Hebei (HE) | E | 0.733 | 0.273 | 0.109 | 0.646 | 0.715 | 0.682 | 0.627 | 0.621 | 0.597 | 0.556 |
| Shanxi (SX) | M | −0.023 | −0.414 | 0.292 | 0.100 | 0.442 | 0.563 | 0.560 | 0.464 | 0.369 | 0.261 |
| Inner Mongolia (IM) | W | 0.381 | 0.223 | 0.192 | 0.583 | 0.535 | 0.494 | 0.602 | 0.610 | 0.626 | 0.472 |
| Liaoning (LN) | E | 0.837 | 0.543 | 0.269 | 0.911 | 0.891 | 0.892 | 0.871 | 0.832 | 0.804 | 0.761 |
| Jilin (JL) | M | 0.212 | 0.096 | 0.997 | 1.000 | −0.222 | −0.286 | 0.204 | 0.286 | 0.262 | 0.283 |
| Heilongjiang (HL) | M | 0.271 | 0.372 | 0.440 | 1.000 | 0.209 | 0.088 | −0.010 | 0.138 | −0.010 | 0.277 |
| Shanghai (SH) | E | 0.943 | 0.792 | 0.541 | 0.940 | 0.933 | 0.934 | 0.937 | 0.939 | 0.938 | 0.877 |
| Jiangsu (JS) | E | 0.940 | 0.437 | 0.346 | 0.935 | 0.930 | 0.919 | 0.906 | 0.897 | 0.895 | 0.801 |
| Zhejiang (ZJ) | E | 0.852 | 0.121 | 0.497 | −0.043 | 0.664 | −0.145 | 1.000 | 1.000 | 1.000 | 0.550 |
| Anhui (AH) | M | 0.598 | 0.302 | 0.240 | 0.595 | 0.587 | 0.649 | 0.631 | 0.626 | 0.657 | 0.543 |
| Fujian (FJ) | E | 0.278 | 0.138 | 0.307 | −0.021 | −0.114 | −0.546 | −0.564 | 0.470 | 0.602 | 0.061 |
| Jiangxi (JX) | M | 0.611 | 0.190 | 0.157 | 0.374 | 0.486 | 0.515 | 0.663 | 0.672 | 0.714 | 0.487 |
| Shandong (SD) | E | 0.919 | 0.347 | 0.096 | 0.937 | 0.936 | 0.937 | 0.939 | 0.940 | 0.942 | 0.777 |
| Henan (HA) | M | 0.245 | 1.000 | 0.424 | 1.000 | −0.307 | 1.000 | 1.000 | 1.000 | 1.000 | 0.707 |
| Hubei (HB) | M | 0.704 | 0.474 | 0.313 | 0.775 | 0.805 | 0.827 | 0.852 | 0.882 | 0.876 | 0.723 |
| Hunan (HN) | M | 0.718 | 0.377 | 0.193 | 0.656 | 0.668 | 0.718 | 0.761 | 0.759 | 0.780 | 0.626 |
| Guangdong (GD) | E | 0.889 | 0.686 | 0.780 | 0.805 | 0.624 | 0.857 | 0.871 | 0.915 | 0.922 | 0.817 |
| Guangxi (GX) | W | −0.223 | −0.923 | 0.065 | −0.011 | −0.346 | 0.104 | 0.336 | 0.254 | 0.359 | −0.043 |
| Hainan (HI) | E | 0.312 | 0.053 | 0.035 | −0.014 | −0.256 | −0.059 | 0.381 | 0.368 | 0.495 | 0.146 |
| Chongqing (CQ) | W | 0.313 | 0.295 | 0.448 | 0.688 | 0.690 | 0.650 | 0.696 | 0.756 | 0.791 | 0.592 |
| Sichuan (SC) | W | 0.565 | 0.427 | 0.135 | 0.858 | 0.837 | 0.833 | 0.836 | 0.866 | 0.861 | 0.691 |
| Guizhou (GZ) | W | 0.259 | 0.078 | 0.081 | 0.031 | −0.361 | −0.176 | 0.190 | 0.303 | 0.466 | 0.097 |
| Yunnan (YN) | W | 0.141 | −0.063 | 0.125 | −0.156 | −0.017 | 0.249 | 0.423 | 0.251 | 0.492 | 0.161 |
| Shaanxi (SN) | W | 0.748 | 0.456 | 0.322 | 0.838 | 0.816 | 0.835 | 0.836 | 0.856 | 0.846 | 0.728 |
| Gansu (GS) | W | 0.166 | 0.064 | 0.462 | −0.014 | 0.010 | 0.148 | 0.444 | 0.507 | 0.550 | 0.260 |
| Qinghai (QH) | W | 0.283 | 0.109 | 0.110 | 0.170 | −0.034 | 0.146 | 0.462 | 0.460 | 0.539 | 0.249 |
| Ningxia (NX) | W | 0.237 | 0.025 | 0.010 | 0.001 | −0.157 | 0.065 | 0.400 | 0.424 | 0.531 | 0.171 |
| Xinjiang (XJ) | W | 0.329 | −0.007 | 0.051 | −0.142 | 0.007 | 0.216 | 0.494 | 0.457 | 0.531 | 0.215 |
| Eastern Area | 0.775 | 0.441 | 0.384 | 0.633 | 0.651 | 0.575 | 0.710 | 0.802 | 0.821 | 0.644 | |
| Middle Area | 0.417 | 0.299 | 0.382 | 0.688 | 0.333 | 0.509 | 0.583 | 0.603 | 0.581 | 0.488 | |
| Western Area | 0.291 | 0.062 | 0.182 | 0.259 | 0.180 | 0.324 | 0.520 | 0.522 | 0.599 | 0.327 | |
| China | 0.502 | 0.264 | 0.309 | 0.510 | 0.394 | 0.465 | 0.606 | 0.646 | 0.676 | 0.486 |
References
- Park, J.H.; Shin, K. Efficiency of Government-Sponsored R&D Projects: A Metafrontier DEA Approach. Sustainability 2018, 10, 2316. [Google Scholar] [CrossRef]
- Broekel, T. Do Cooperative Research and Development (R&D) Subsidies Stimulate Regional Innovation Efficiency? Evidence from Germany. Reg. Stud. 2015, 49, 1087–1110. [Google Scholar] [CrossRef]
- Chen, K.H.; Guan, J.C. Measuring China’s regional innovation systems: Application of network data envelopment analysis (DEA). Reg. Stud. 2012, 46, 355–377. [Google Scholar] [CrossRef]
- Sharma, S.; Thomas, V.J. Inter-country R&D efficiency analysis: An application of data envelopment analysis. Scientometrics 2008, 76, 483–501. [Google Scholar] [CrossRef]
- Hashimoto, A.; Haneda, S. Measuring the change in R&D efficiency of the Japanese pharmaceutical industry. Res. Policy 2008, 37, 1829–1836. [Google Scholar] [CrossRef]
- Park, H.; Choi, H.-G. Measurement of R&D efficiency in NT and BT fields using DEA: A case in Korea. Int. J. Eng. Technol. 2013, 2, 165. [Google Scholar] [CrossRef]
- Jang, H.; Lee, S.; Suh, E. A comparative analysis of the change in R&D efficiency: A case of R&D leaders in the technology industry. Technol. Anal. Strateg. Manag. 2016, 28, 886–900. [Google Scholar]
- Han, C.; Thomas, S.R.; Yang, M.; Ieromonachou, P.; Zhang, H. Evaluating R&D investment efficiency in China’s high-tech industry. High Technol. Manag. Res. 2017, 28, 93–109. [Google Scholar]
- Han, U.; Asmild, M.; Kunc, M. Regional R&D Efficiency in Korea from static and dynamic perspectives. Reg. Stud. 2016, 50, 1170–1184. [Google Scholar] [CrossRef]
- Gurmu, S.; Pérez-Sebastián, F. Patents, R&D and lag effects: Evidence from flexible methods for count panel data on manufacturing firms. Empir. Econ. 2008, 35, 507–526. [Google Scholar] [CrossRef]
- Berchicci, L. Towards an open R&D system: Internal R&D investment, external knowledge acquisition and innovative performance. Res. Policy 2013, 42, 117–127. [Google Scholar] [CrossRef]
- Chun, D.; Chung, Y.; Bang, S. Impact of firm size and industry type on R&D efficiency throughout innovation and commercialisation stages: Evidence from Korean manufacturing firms. Technol. Anal. Strateg. Manag. 2015, 27, 895–909. [Google Scholar] [CrossRef]
- Lu, W.C. Do firm sizes matter for R&D efficiency: Evidence for a stochastic metafrontier model. Int. J. Technol. Intell. Plan. 2016, 11, 36. [Google Scholar]
- Bonanno, G. ICT and R&D as inputs or efficiency determinants? Analysing Italian manufacturing firms (2007–2009). Eurasian Bus. Rev. 2016, 6, 383–404. [Google Scholar] [CrossRef]
- Song, M.; Wang, S.; Sun, J. Environmental regulations, staff quality, green technology, R&D efficiency, and profit in manufacturing. Technol. Forecast. Soc. Chang. 2018, 133, 1–14. [Google Scholar]
- Yuan, Y.; Jia, Y.; Guo, L. R&D efficiency of enterprise and their influence factors: Based on SFA-Model. Sci. Sci. Manag. S T 2013, 1, 013. [Google Scholar]
- Lee, H.; Park, Y. An international comparison of R&D efficiency: DEA approach. Asian J. Technol. Innov. 2005, 13, 207–222. [Google Scholar] [CrossRef]
- Chen, C.P.; Hu, J.L.; Yang, C.H. An international comparison of R&D efficiency of multiple innovative outputs: The role of the national innovation system. Innovation 2011, 13, 341–360. [Google Scholar]
- Wang, E.C.; Huang, W. Relative efficiency of R&D activities: A cross-country study accounting for environmental factors in the DEA approach. Res. Policy 2007, 36, 260–273. [Google Scholar]
- Fritsch, M.; Slavtchev, V. Determinants of the efficiency of regional innovation systems. J. Surg. Res. 2011, 45, 905–918. [Google Scholar] [CrossRef]
- Yang, C.H.; Lee, C.M.; Lin, C.A. Why does regional innovative capability vary so substantially in China? The role of regional innovation systems. Asian J. Technol. Innov. 2012, 20, 239–255. [Google Scholar] [CrossRef]
- Caldeira, E. Yardstick competition in a federation: Theory and evidence from China. China Econ. Rev. 2012, 23, 878–897. [Google Scholar] [CrossRef]
- Revelli, F. Performance rating and yardstick competition in social service provision. J. Public Econ. 2004, 90, 459–475. [Google Scholar] [CrossRef]
- Tiebout, C.M. A pure theory of local expenditures. J. Polit. Econ. 1956, 64, 416–424. [Google Scholar] [CrossRef]
- Taylor, L.L. The evidence on government competition. J. Oral Maxillofac. Surg. Off. J. Am. Assoc. Oral Maxillofac. Surg. 2000, 63, 1061. [Google Scholar]
- Weingast, B.R. Second deneration fiscal federalism: The implications of fiscal incentives. J. Urban Econ. 2009, 65, 279–293. [Google Scholar] [CrossRef]
- Wildasin, D.E. Fiscal competition in space and time. Public Econ. 2001, 87, 2571–2588. [Google Scholar] [CrossRef]
- Borck, R.; Caliendo, M.; Steiner, V. Fiscal competition and the composition of public spending: Theory and evidence. Finanz. Public Financ. Anal. 2007, 63, 264–277. [Google Scholar] [CrossRef]
- Zhang, J.; Gao, Y.; Fu, Y.; Zhang, H. Why does China enjoy so much better physical infrastructure? Econ. Res. J. 2007, 3, 4–19. [Google Scholar]
- Zhang, T.; Zou, H.F. Fiscal decentralization, public spending, and economic growth in China. J. Public Econ. 1998, 67, 221–240. [Google Scholar] [CrossRef]
- Yan, C.; Gong, L. Government expenditure, taxation and long-run growth. Econ. Res. J. 2009, 4, 505–525. [Google Scholar] [CrossRef]
- Case, A.C.; Rosen, H.S.; Hines, J.R. Budget spillovers and fiscal policy interdependence. J. Public Econ. 1993, 52, 285–307. [Google Scholar] [CrossRef]
- Baicker, K. The spillover effects of state spending. J. Public Econ. 2005, 89, 529–544. [Google Scholar] [CrossRef]
- Wu, X.; Cutter, B. Who votes for public environmental goods in California? Ecol. Econ. 2011, 70, 554–563. [Google Scholar] [CrossRef]
- Fischer, M.M.; Varga, A. Spatial knowledge spillovers and university research: Evidence from Austria. Ann. Reg. Sci. 2003, 37, 303–322. [Google Scholar] [CrossRef]
- Adetutu, M.; Glass, A.J.; Kenjegalieva, K.; Sickles, R.C. The effects of efficiency and TFP growth on pollution in Europe: A multistage spatial analysis. J. Prod. Anal. 2015, 43, 307–326. [Google Scholar] [CrossRef]
- Sun, C.; Zhao, L.; Zou, W.; Zheng, D. Water resource utilization efficiency and spatial spillover effects in China. J. Geogr. Sci. 2014, 24, 771–788. [Google Scholar] [CrossRef]
- Xu, L.; Zhou, F. Study on the efficiency of input and output of regional R&D in China. J. Yunnan Univ. Financ. Econ. 2015, 31, 92–98. [Google Scholar]
- Zhu, C.L.; Shi, P.; An, L.R. Human capital, its structure and R&D innovation efficiency based on the test of SFA model. J. Ind. Eng. Eng. Manag. 2012, 26, 58–64. [Google Scholar]
- Mei, S.; Chen, W. Research on allocation efficiency of S&T resource and the influential factors of sub- provincial cities. Sci. Technol. Manag. Res. 2015, 35, 64–68. [Google Scholar]
- Wang, C.D. Regional industry convergence and the improvement of industrial R&D efficiency: Empirical study based on SFA and 30 provincial areas of China. China Soft Sci. 2017, 10, 94–103. [Google Scholar]
- Zhang, Y.; Chen, K.; Qiao, W. Chinese large-and-medium enterprises’ R&D efficiency measurement and fiscal incentive policies’ effects. J. Quant. Tech. Econ. 2017, 34, 38–54. [Google Scholar]
- Jiang, C.L.; Zha, Y. Research on regional R&D efficiency and influencing factors in China. East China Econ. Manag. 2016, 30, 68–71. [Google Scholar] [CrossRef]
- Li, H.; Zhou, L.A. Political turnover and economic performance: The incentive role of personnel control in China. J. Public Econ. 2003, 89, 1743–1762. [Google Scholar] [CrossRef]
- Carlin, W.; Schaffer, M.E.; Seabright, P. A minimum of rivalry: Evidence from transition economies on the importance of competition for innovation and growth. CEPR Discuss. Pap. 2004, 3, 17. [Google Scholar]
- Brueckner, J.K. Strategic interaction among governments: An overview of empirical studies. Int. Reg. Sci. Rev. 2003, 26, 175–188. [Google Scholar] [CrossRef]
- Huang, H.; Du, X. Strategic interaction in local governments’ industrial land supply: Evidence from China. Urban Stud. 2016, 54, 1328–1346. [Google Scholar] [CrossRef]
- Zhang, H.; Chen, X. Fiscal competition and the structure of local public expenditure in China. Front. Econ. China 2007, 2, 237–249. [Google Scholar] [CrossRef]
- Jiao, H.; Koo, C.K.; Cui, Y. Legal environment, government effectiveness and firms’ innovation in China: Examining the moderating influence of government ownership. Technol. Forecast. Soc. Chang. 2015, 96, 15–24. [Google Scholar] [CrossRef]
- Anselin, L. Lagrange multiplier test diagnostics for spatial dependence and spatial heterogeneity. Geogr. Anal. 2010, 20, 1–17. [Google Scholar] [CrossRef]
- Waldhör, T. The spatial autocorrelation coefficient Moran’s I under heteroscedasticity. Stat. Med. 1996, 15, 887–892. [Google Scholar] [CrossRef]
- Amaral, P.V.; Anselin, L. Finite sample properties of Moran’s I test for spatial autocorrelation in Probit and Tobit models: Empirical evidence. Pap. Reg. Sci. 2013, 93, 773–781. [Google Scholar] [CrossRef]
- Kostov, P. Model boosting for spatial weighting matrix selection in spatial lag models. Environ. Plan. B Plan. Des. 2010, 37, 533–549. [Google Scholar] [CrossRef]
- Lambert, D.M.; Brown, J.P.; Florax, R.J.G.M. A two-step estimator for a spatial lag model of counts: Theory, small sample performance and an application. Reg. Sci. Urban Econ. 2010, 40, 241–252. [Google Scholar] [CrossRef]
- Griffith, D.A. Spatial econometrics: Methods and models. Econ. Geogr. 1988, 65, 160. [Google Scholar] [CrossRef]
- Knechel, W.R.; Sharma, D.S. Auditor-provided non-audit services and audit effectiveness and efficiency: Evidence from pre- and post-SOX audit report lags. Audit. A J. Pract. Theory 2012, 31, 85–114. [Google Scholar] [CrossRef]
- Wang, X.L.; Fan, G.; Yu, J.W. NERI Index of Marketization of China’s Provinces; Social Science Academic Press: Beijing, China, 2016. [Google Scholar]
- Wei, F.; Kong, Y. Government governance, legal environment and sustainable economic development. Sustainability 2014, 6, 2248–2263. [Google Scholar] [CrossRef]
- Firth, M.; Lin, C.; Liu, P.; Wong, S.M.L. Inside the black box: Bank credit allocation in China’s private sector. Bank. Financ. 2009, 33, 1144–1155. [Google Scholar] [CrossRef]
- Lu, Z.F.; Zhu, J.G.; Zhang, W.N. Bank discrimination, holding bank ownership, and economic consequences: Evidence from China. Bank. Financ. 2012, 36, 341–354. [Google Scholar] [CrossRef]
© 2018 by the authors. Licensee MDPI, Basel, Switzerland. This article is an open access article distributed under the terms and conditions of the Creative Commons Attribution (CC BY) license (http://creativecommons.org/licenses/by/4.0/).


