Carpal Tunnel Syndrome in the Very Elderly: Clinical, Electrodiagnostic, and Ultrasound Features in a Cohort of 187 Patients
Abstract
1. Introduction
2. Materials and Methods
2.1. Inclusion and Exclusion Criteria
2.2. Statistical Analysis
2.3. Institutional Review Board Approval of Research
3. Results
3.1. Demographics
3.2. Clinical Findings
3.3. Electrodiagnostic Studies
3.4. Ultrasound Studies
3.5. Comparison of the Severity of Carpal Tunnel Syndrome by Electrodiagnostic Studies Between Two Age Cohorts
4. Discussion
Strengths and Limitations
5. Conclusions
Supplementary Materials
Author Contributions
Funding
Institutional Review Board Statement
Informed Consent Statement
Data Availability Statement
Conflicts of Interest
References
- Sevy, J.O.; Sina, R.E.; Varacallo, M.A. Carpal tunnel syndrome. In StatPearls [Internet]; StatPearls Publishing: Treasure Island, FL, USA, 2025. [Google Scholar]
- Ashworth, N.L. Carpal Tunnel Syndrome. Available online: https://emedicine.medscape.com/article/327330-overview (accessed on 13 August 2025).
- Zou, Q.; Guo, X.; Ni, X.; Chen, X.; Xu, C.; Yin, Y.; Huang, C. Ultrasound-based grading of carpal tunnel syndrome: A comparative study of cross-sectional area and shear wave elastography at different wrist joint angles. Br. J. Radiol. 2025, 98, 58–67. [Google Scholar] [CrossRef]
- Hobson-Webb, L.D.; Massey, J.M.; Juel, V.C.; Sanders, D.B. The ultrasonographic wrist-to-forearm median nerve area ratio in carpal tunnel syndrome. Clin. Neurophysiol. 2008, 119, 1353–1357. [Google Scholar] [CrossRef] [PubMed]
- Miwa, T.; Miwa, H. Ultrasonography of carpal tunnel syndrome: Clinical significance and limitations in elderly patients. Intern. Med. 2011, 50, 2157–2161. [Google Scholar] [CrossRef] [PubMed]
- Roghani, R.S.; Holisaz, M.T.; Norouzi, A.A.S.; Delbari, A.; Gohari, F.; Lokk, J.; Boon, A.J. Sensitivity of high-resolution ultrasonography in clinically diagnosed carpal tunnel syndrome patients with hand pain and normal nerve conduction studies. J. Pain Res. 2018, 11, 1319–1325. [Google Scholar] [CrossRef] [PubMed]
- Ratasvuori, M.; Sormaala, M.; Kinnunen, A.; Lindfors, N. Ultrasonography for the diagnosis of carpal tunnel syndrome: Correlation of clinical symptoms, cross-sectional areas and electroneuromyography. J. Hand Surg. 2022, 47, 369–374. [Google Scholar] [CrossRef]
- Phongamwong, C.; Soponprapakorn, N.; Kumnerddee, W. Determination of electrophysiologically moderate and severe carpal tunnel syndrome: Ultrasonographic measurement of median nerve at the wrist. Ann. Rehabil. Med. 2017, 41, 604–609. [Google Scholar] [CrossRef][Green Version]
- Mulroy, E.; Pelosi, L. Carpal tunnel syndrome in advanced age: A sonographic and electrodiagnostic study. Muscle Nerve 2019, 60, 236–241. [Google Scholar] [CrossRef]
- Bland, J.D.; Rudolfer, S.M. Clinical surveillance of carpal tunnel syndrome in two areas of the United Kingdom, 1991–2001. J. Neurol. Neurosurg. Psychiatry 2003, 74, 1674–1679. [Google Scholar] [CrossRef]
- Finger, L.E.; Patel, S.; Boyd, T.; Fowler, J.R. The diagnostic utility of ultrasound and electrodiagnostic studies in the young and old. J. Hand Surg. Glob. Online 2024, 6, 323–327. [Google Scholar] [CrossRef]
- Blumenthal, S.; Herskovitz, S.; Verghese, J. Carpal tunnel syndrome in older adults. Muscle Nerve 2006, 34, 78–83. [Google Scholar] [CrossRef]
- Cazares-Manríquez, M.A.; Wilson, C.C.; Vardasca, R.; García-Alcaraz, J.L.; Olguín-Tiznado, J.E.; López-Barreras, J.A.; García-Rivera, B.R. A review of carpal tunnel syndrome and its association with age, body mass index, cardiovascular risk factors, hand dominance, and sex. Appl. Sci. 2020, 10, 3488. [Google Scholar] [CrossRef]
- Seror, P. Carpal tunnel syndrome in the elderly. “Beware of severe cases”. Ann. Chir. Main Memb. Super. 1991, 10, 217–225. [Google Scholar] [CrossRef] [PubMed]
- Stone, O.D.; Clement, N.D.; Duckworth, A.D.; Jenkins, P.J.; Annan, J.D.; McEachan, J.E. Carpal tunnel decompression in the super-elderly: Functional outcome and patient satisfaction are equal to those of their younger counterparts. Bone Jt. J. 2014, 96-B, 1234–1238. [Google Scholar] [CrossRef]
- Fung, B.W.; Tang, C.Y.; Fung, B.K. Does aging matter? The efficacy of carpal tunnel release in the elderly. Arch. Plast. Surg. 2015, 42, 278–281. [Google Scholar] [CrossRef]
- San Ko, Y.; Yang, H.J.; Park, S.B.; Son, Y.J.; Kim, K.M.; Lee, S.H.; Chung, Y.S. Carpal tunnel syndrome in elderly patients. Nerve 2018, 4, 27–31. [Google Scholar] [CrossRef][Green Version]
- Escourrou, E.; Laurent, S.; Leroux, J.; Oustric, S.; Gardette, V. The shift from old age to very old age: An analysis of the perception of aging among older people. BMC Prim. Care 2022, 23, 3. [Google Scholar] [CrossRef] [PubMed]
- Iyer, V.G. Understanding nerve conduction and electromyographic studies. Hand Clin. 1993, 9, 273–287. [Google Scholar] [CrossRef]
- Seok, J.I. A beginner’s guide to peripheral nerve ultrasound. J. Clin. Neurophysiol. 2022, 24, 46–52. [Google Scholar] [CrossRef]
- Iyer, V. Role of ultrasonography in severe distal median nerve neuropathy. J. Clin. Neurophysiol. 2019, 36, 312–315. [Google Scholar] [CrossRef]
- Kouyoumdjian, J.A.; Zanetta, D.M.; Morita, M.P. Evaluation of age, body mass index, and wrist index as risk factors for carpal tunnel syndrome severity. Muscle Nerve 2002, 25, 93–97. [Google Scholar] [CrossRef]
- Povlsen, B.; Aggelakis, K.; Koutroumanidis, M. Effect of age on subjective complaints and objective severity of carpal tunnel syndrome: Prospective study. JRSM Short Rep. 2010, 1, 62. [Google Scholar] [CrossRef]
- Ibrahim, T.; Majid, I.; Clarke, M.; Kershaw, C.J. Outcome of carpal tunnel decompression: The influence of age, gender, and occupation. Int. Orthop. 2009, 33, 1305–1309. [Google Scholar] [CrossRef]
- Hobby, J.L.; Venkatesh, R.; Motkur, P. The effect of age and gender upon symptoms and surgical outcomes in carpal tunnel syndrome. J. Hand Surg. 2005, 30, 599–604. [Google Scholar] [CrossRef] [PubMed]
- Hansen, T.B.; Larsen, K. Age is an important predictor of short-term outcome in endoscopic carpal tunnel release. J. Hand Surg. 2009, 34, 660–664. [Google Scholar] [CrossRef] [PubMed]
- Zyluk, A.; Puchalski, P. A comparison of the results of carpal tunnel release in patients in different age groups. Neurol. Neurochir. Pol. 2013, 47, 241–246. [Google Scholar] [CrossRef] [PubMed][Green Version]
- Porter, P.; Venkateswaran, B.; Stephenson, H.; Wray, C.C. The influence of age on outcome after operation for the carpal tunnel syndrome: A prospective study. J. Bone Joint Surg. Br. Vol. 2002, 84, 688–691. [Google Scholar] [CrossRef]





| Characteristics | Categorization | Total Number of Patients (n = 187) |
|---|---|---|
| Age (mean) | 80–84 years 85–89 90–94 years | 84 years (80–94 years) 106 (56.7%) 68 (36.4%) 13 (6.9%) |
| Sex | Male Female | 80 (42.8%) 107 (57.2%) |
| Side of symptoms | Left only Right only Bilateral | 33 (17.6%) 52 (27.8%) 102 (54.6%) |
| Hand dominance | Left Right Ambidextrous | 10 (5.3%) 174 (93.1%) 3 (1.6%) |
| The side of symptoms corresponded to hand dominance | Yes No | 155 (82.9%) 32 (17.1%) |
| Diabetes mellitus | Yes No | 31 (16.6%) 156 (83.4%) |
| Characteristics | Total Number of Hands (n = 289) |
|---|---|
| Thenar atrophy | 75 (26.0%) |
| Weakness of the APB muscle | 178 (61.6%) |
| Loss of pinprick sensation | 265 (91.7%) |
| History of carpal tunnel release on side of symptoms | 120 (41.5%) |
| Severity | Criteria | Total Number of Hands (n = 289) |
|---|---|---|
| Mild | Only sensory fascicles affected | 3 (1.0%) |
| Moderate | Sensory and motor fascicles affected | 34 (11.8%) |
| Moderately severe | Sensory and motor fascicles affected with motor unit changes (increase in polyphasic units) in APB | 118 (40.8%) |
| Severe | Loss of SNAP + loss of or decrease in amplitude CMAP of APB < 1 mV, along with needle EMG showing denervation of APB | 134 (46.4%) |
| Electrodiagnostic Findings | Total Number of Hands (n = 110) |
|---|---|
| No CMAP or SNAP (presumptive clinical and EDX diagnosis of severe CTS) | 75 (68.2%) |
| Slow motor conduction velocity proximal to wrist (retrograde slowing) | 28 (25.4%) |
| Dissimilar CMAP on proximal stimulation (Martin Gruber communication) | 6 (5.4%) |
| Patient unable to tolerate proximal stimulation | 1 (1.0%) |
| Motor Electrodiagnostic Findings | Total Number of Hands (n = 289) |
|---|---|
| No CMAP over APB | 86 (29.8%) |
| CMAP of APB > 4 mV | 46 (15.9%) |
| CMAP of APB 2–4 mV | 76 (26.3%) |
| CMAP of APB 1–2 mV | 39 (13.5%) |
| CMAP of APB < 1 mV | 42 (14.5%) |
| No CMAP over APB and 2nd lumbrical (n = 86) | 57 (66.3%) |
| No CMAP over APB with measurable CMAP over 2nd Lumbrical (n = 86) | 29 (33.7%) |
| CMAP of 2nd lumbrical > 2 mV | 0 (0%) |
| CMAP of 2nd lumbrical < 2 mV | 29 (33.7%) |
| Distal motor latency to APB > 6.0 ms | 131 (45.3%) |
| Distal motor latency to APB 3.7–6.0 ms | 72 (24.9%) |
| Normal motor unit morphology | 39 (13.5%) |
| Increase in polyphasic motor units | 207 (71.6%) |
| Normal motor unit recruitment | 34 (11.8%) |
| Decrease in motor unit recruitment | 213 (73.7%) |
| No motor units | 42 (14.5%) |
| Fibrillations and positive waves in APB | 90 (31.1%) |
| Sensory Electrodiagnostic Findings | Total Number of Hands (n = 277) |
|---|---|
| No SNAP | 211 (76.2%) |
| SNAP amplitude > 25 uV | 5 (1.8%) |
| SNAP amplitude 10–25 uV | 31 (11.2%) |
| SNAP amplitude < 10 uV | 30 (10.8%) |
| SNAP latency > 6.0 ms | 3 (1.1%) |
| SNAP latency 3.3–6 ms | 63 (22.7%) |
| Ultrasound Findings | Total Number of Hands (n = 225) |
|---|---|
| CT inlet/outlet CSA 10–20 mm2 | 184 (81.8%) |
| CT inlet/outlet CSA > 20 mm2 | 41 (18.2%) |
| Forearm CSA > 10 mm2 | 17 (7.6%) |
| Forearm CSA ≤ 10 mm2 | 208 (92.4%) |
| W/F ratio < 1.4 | 4 (1.8%) |
| W/F ratio 1.4–3.0 | 185 (82.2%) |
| W/F ratio > 3.0 | 36 (16.0%) |
| Diameter min/max ratio > 0.75 | 4 (1.8%) |
| Diameter min/max ratio 0.5–0.75 | 129 (57.3%) |
| Diameter min/max ratio < 0.5 | 92 (40.9%) |
| Ultrasound Measurements | Sensitivity |
|---|---|
| CSA at CT inlet | 1 |
| WFR | 0.991 |
| Diameter ratio | 0.973 |
| All three measures | 0.964 |
| CSA and WFR | 0.991 |
| CSA and diameter ratio | 0.973 |
| Ultrasound Measurements | Sensitivity |
|---|---|
| CSA at CT inlet | 1 |
| WFR | 1 |
| Diameter ratio | 0.968 |
| All three measures | 0.968 |
| CSA and WFR | 1 |
| CSA and diameter ratio | 0.968 |
| Ultrasound Measurements | OR | 2.50% | 97.50% | p-Value |
|---|---|---|---|---|
| CSA at CT inlet | 1.109 | 1.045 | 1.183 | 0.001 |
| WFR | 1.186 | 0.828 | 1.722 | 0.359 |
| Diameter Ratio | 0.045 | 0.006 | 0.337 | 0.003 |
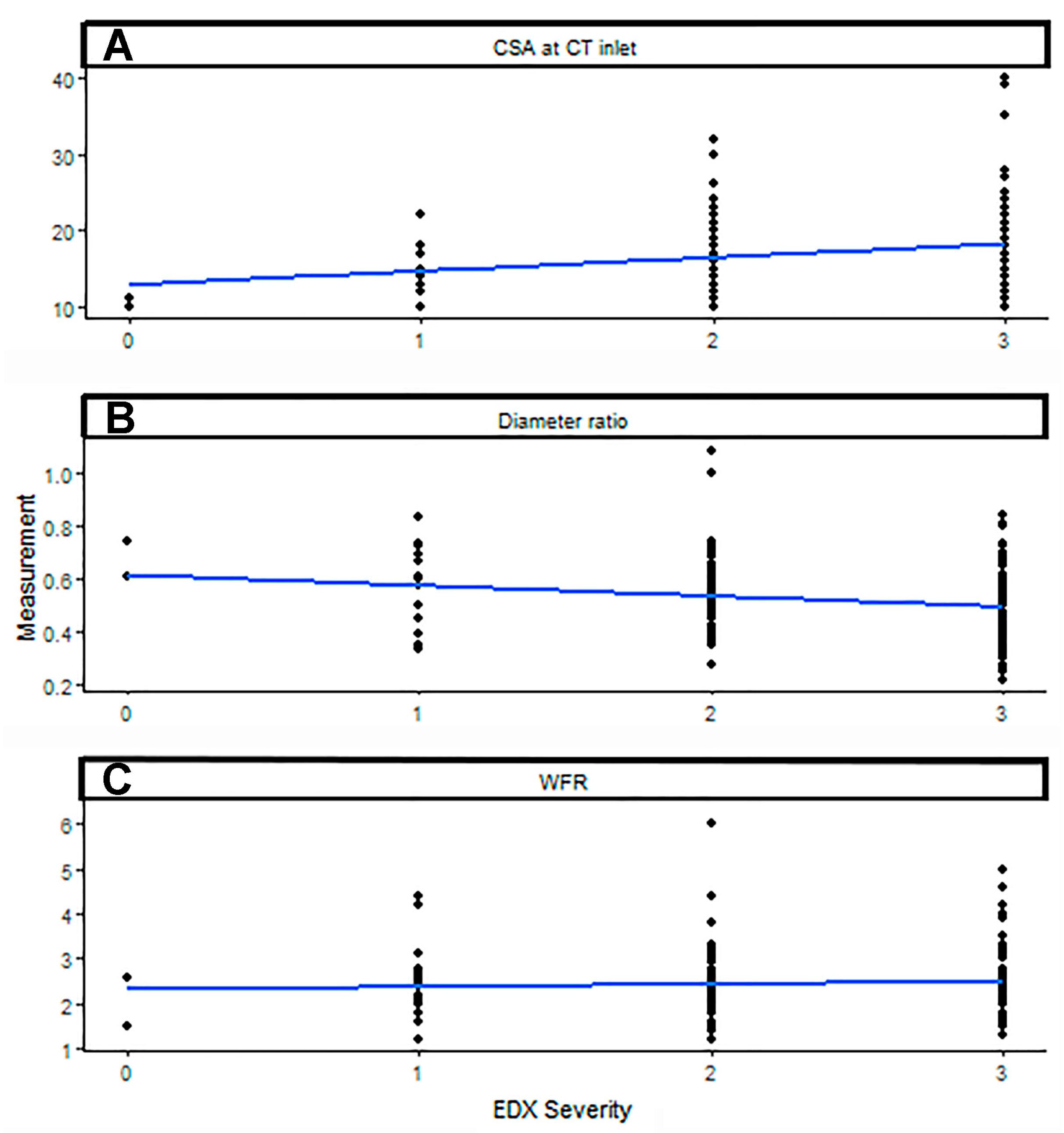
| Ultrasound Measurements | Mild | Moderate | Moderately Severe | Severe | p-Value |
|---|---|---|---|---|---|
| n | 2 | 18 | 89 | 111 | |
| CSA at CT inlet (median [IQR]) | 10.50 [10.25, 10.75] | 13.50 [12.25, 15.00] | 16.00 [14.00, 19.00] | 17.00 [14.00, 20.00] | 0.001 |
| WFR (median [IQR]) | 2.05 [1.77, 2.33] | 2.45 [2.02, 2.70] | 2.40 [2.00, 2.80] | 2.40 [2.00, 2.80] | 0.651 |
| Diameter ratio (median [IQR]) | 0.67 [0.64, 0.71] | 0.58 [0.45, 0.67] | 0.52 [0.47, 0.60] | 0.50 [0.41, 0.57] | 0.02 |
| EDX Severity of Carpal Tunnel Syndrome | Middle Age (Ages 40–50 Years) (n = 127) | Very Elderly (80 Years and Older) (n = 81) |
|---|---|---|
| Mild | 60 (47.2%) | 2 (2.5%) |
| Moderate | 39 (30.7%) | 10 (12.3%) |
| Moderately severe | 26 (20.5%) | 27 (33.3%) |
| Severe | 2 (1.6%) | 42 (51.8%) |
Disclaimer/Publisher’s Note: The statements, opinions and data contained in all publications are solely those of the individual author(s) and contributor(s) and not of MDPI and/or the editor(s). MDPI and/or the editor(s) disclaim responsibility for any injury to people or property resulting from any ideas, methods, instructions or products referred to in the content. |
© 2025 by the authors. Licensee MDPI, Basel, Switzerland. This article is an open access article distributed under the terms and conditions of the Creative Commons Attribution (CC BY) license (https://creativecommons.org/licenses/by/4.0/).
Share and Cite
Shields, L.B.E.; Iyer, V.G.; Kluthe, T.; Zhang, Y.P.; Shields, C.B. Carpal Tunnel Syndrome in the Very Elderly: Clinical, Electrodiagnostic, and Ultrasound Features in a Cohort of 187 Patients. Neurol. Int. 2025, 17, 137. https://doi.org/10.3390/neurolint17090137
Shields LBE, Iyer VG, Kluthe T, Zhang YP, Shields CB. Carpal Tunnel Syndrome in the Very Elderly: Clinical, Electrodiagnostic, and Ultrasound Features in a Cohort of 187 Patients. Neurology International. 2025; 17(9):137. https://doi.org/10.3390/neurolint17090137
Chicago/Turabian StyleShields, Lisa B. E., Vasudeva G. Iyer, Theresa Kluthe, Yi Ping Zhang, and Christopher B. Shields. 2025. "Carpal Tunnel Syndrome in the Very Elderly: Clinical, Electrodiagnostic, and Ultrasound Features in a Cohort of 187 Patients" Neurology International 17, no. 9: 137. https://doi.org/10.3390/neurolint17090137
APA StyleShields, L. B. E., Iyer, V. G., Kluthe, T., Zhang, Y. P., & Shields, C. B. (2025). Carpal Tunnel Syndrome in the Very Elderly: Clinical, Electrodiagnostic, and Ultrasound Features in a Cohort of 187 Patients. Neurology International, 17(9), 137. https://doi.org/10.3390/neurolint17090137

