Antimutagenicity and Antioxidant Activity of Castanea sativa Mill. Bark Extract
Abstract
1. Introduction
2. Materials and Methods
2.1. Reagents
2.2. Castanea sativa Mill. Bark Extract
2.3. Cell Culture
2.4. Selection of Concentrations for MNi Frequency Measurement
2.4.1. Measurement of Cytotoxicity
2.4.2. Measurement of Cytostasis
2.4.3. Measurement of Apoptosis
2.5. Measurement of Mni Frequency
2.6. Measurement of Intracellular ROS Levels
2.7. Flow Cytometry
2.8. Statistical Analysis
3. Results
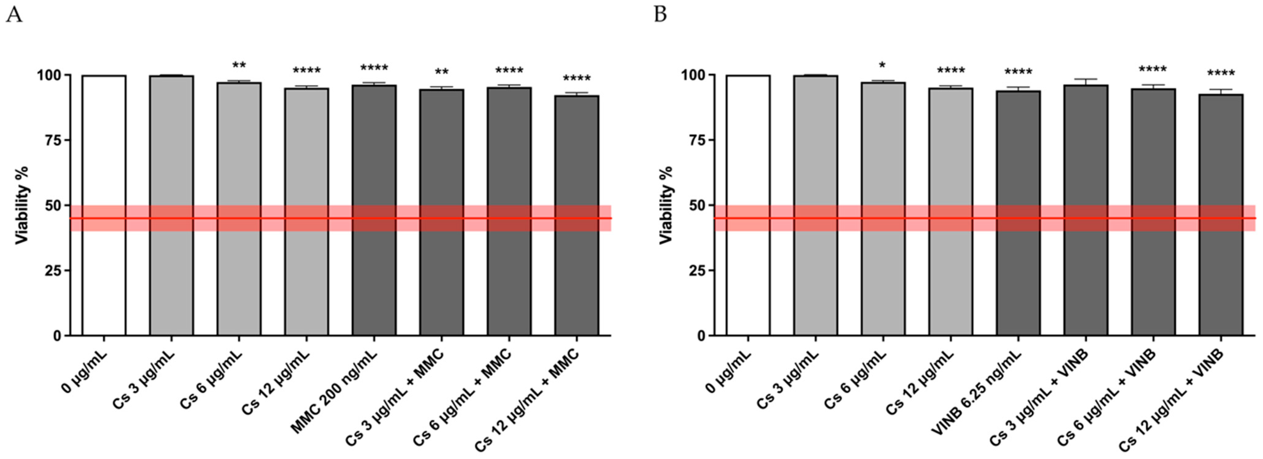
3.1. Cytotoxicity
3.2. Cytostasis
3.3. Apoptosis
3.4. Measurement of MNi Frequency
3.5. Measurement of Intracellular ROS Levels
4. Discussion
5. Conclusions
Author Contributions
Funding
Institutional Review Board Statement
Informed Consent Statement
Data Availability Statement
Conflicts of Interest
References
- Kucuk, O. Cancer Chemoprevention. Cancer Metastasis Rev. 2002, 21, 189–197. [Google Scholar] [CrossRef] [PubMed]
- Kotecha, R.; Takami, A.; Espinoza, J.L. Dietary Phytochemicals and Cancer Chemoprevention: A Review of the Clinical Evidence. Oncotarget 2016, 7, 52517–52529. [Google Scholar] [CrossRef] [PubMed]
- Bagyinszky, E.; Youn, Y.C.; An, S.S.A.; Kim, S. The Genetics of Alzheimer’s Disease. Clin. Interv. Aging 2014, 9, 535–551. [Google Scholar] [CrossRef]
- Andreassi, M.G.; Botto, N. DNA Damage as a New Emerging Risk Factor in Atherosclerosis. Trends Cardiovasc. Med. 2003, 13, 270–275. [Google Scholar] [CrossRef] [PubMed]
- Słoczyńska, K.; Powroźnik, B.; Pękala, E.; Waszkielewicz, A.M. Antimutagenic Compounds and Their Possible Mechanisms of Action. J. Appl. Genet. 2014, 55, 273–285. [Google Scholar] [CrossRef] [PubMed]
- Bhattacharya, S. Natural Antimutagens: A Review. Res. J. Med. Plants 2010, 5, 116–126. [Google Scholar] [CrossRef]
- Durnev, A.D. Antimutagenesis and Antimutagens. Hum. Physiol. 2018, 44, 336–355. [Google Scholar] [CrossRef]
- Lagunas-Rangel, F.A.; Bermúdez-Cruz, R.M. Natural Compounds That Target DNA Repair Pathways and Their Therapeutic Potential to Counteract Cancer Cells. Front. Oncol. 2020, 10, 2567. [Google Scholar] [CrossRef]
- El Souda, S.S. Chapter 11—Mutagenesis and Chemoprotective Role of Natural Products. In Studies in Natural Products Chemistry; Atta-ur-Rahman, Ed.; Bioactive Natural Products; Elsevier: Amsterdam, The Netherlands, 2021; Volume 70, pp. 345–379. [Google Scholar]
- Calliste, C.-A.; Trouillas, P.; Allais, D.-P.; Duroux, J.-L. Castanea sativa Mill. Leaves as New Sources of Natural Antioxidant: An Electronic Spin Resonance Study. J. Agric. Food Chem. 2005, 53, 282–288. [Google Scholar] [CrossRef]
- Frankič, T.; Salobir, J. In Vivo Antioxidant Potential of Sweet Chestnut (Castanea sativa Mill.) Wood Extract in Young Growing Pigs Exposed to n-3 PUFA-Induced Oxidative Stress. J. Sci. Food Agric. 2011, 91, 1432–1439. [Google Scholar] [CrossRef]
- Chiarini, A.; Micucci, M.; Malaguti, M.; Budriesi, R.; Ioan, P.; Lenzi, M.; Fimognari, C.; Gallina Toschi, T.; Comandini, P.; Hrelia, S. Sweet Chestnut (Castanea sativa Mill.) Bark Extract: Cardiovascular Activity and Myocyte Protection against Oxidative Damage. Oxidative Med. Cell. Longev. 2013, 2013, e471790. [Google Scholar] [CrossRef] [PubMed]
- Botta, A.; Martínez, V.; Mitjans, M.; Balboa, E.; Conde, E.; Vinardell, M.P. Erythrocytes and Cell Line-Based Assays to Evaluate the Cytoprotective Activity of Antioxidant Components Obtained from Natural Sources. Toxicology Vitr. 2014, 28, 120–124. [Google Scholar] [CrossRef]
- Biagi, M.; Noto, D.; Corsini, M.; Baini, G.; Cerretani, D.; Cappellucci, G.; Moretti, E. Antioxidant Effect of the Castanea sativa Mill. Leaf Extract on Oxidative Stress Induced upon Human Spermatozoa. Oxidative Med. Cell. Longev. 2019, 2019, e8926075. [Google Scholar] [CrossRef]
- Lenzi, M.; Malaguti, M.; Cocchi, V.; Hrelia, S.; Hrelia, P. Castanea sativa Mill. Bark Extract Exhibits Chemopreventive Properties Triggering Extrinsic Apoptotic Pathway in Jurkat Cells. BMC Complement. Altern. Med. 2017, 17, 251. [Google Scholar] [CrossRef] [PubMed]
- Almeida, I.F.; Pinto, A.S.; Monteiro, C.; Monteiro, H.; Belo, L.; Fernandes, J.; Bento, A.R.; Duarte, T.L.; Garrido, J.; Bahia, M.F.; et al. Protective Effect of C. Sativa Leaf Extract against UV Mediated-DNA Damage in a Human Keratinocyte Cell Line. J. Photochem. Photobiol. B Biol. 2015, 144, 28–34. [Google Scholar] [CrossRef]
- Carocho, M.; Calhelha, R.C.; Queiroz, M.-J.R.P.; Bento, A.; Morales, P.; Soković, M.; Ferreira, I.C.F.R. Infusions and Decoctions of Castanea sativa Flowers as Effective Antitumor and Antimicrobial Matrices. Ind. Crops Prod. 2014, 62, 42–46. [Google Scholar] [CrossRef]
- Nascimento-Gonçalves, E.; Seixas, F.; Silva, M.; Fardilha, M.; Ferreira, R.; Neuparth, M.J.; Faustino-Rocha, A.I.; Colaço, B.; Venâncio, C.; Barros, L.; et al. The Influence of Castanea sativa Mill. Flower Extract on Hormonally and Chemically Induced Prostate Cancer in a Rat Model. Food Funct. 2021, 12, 2631–2643. [Google Scholar] [CrossRef]
- De Vasconcelos, M.C.; Bennett, R.N.; Rosa, E.A.; Ferreira-Cardoso, J.V. Composition of European Chestnut (Castanea sativa Mill.) and Association with Health Effects: Fresh and Processed Products. J. Sci. Food Agric. 2010, 90, 1578–1589. [Google Scholar] [CrossRef]
- Piazza, S.; Martinelli, G.; Fumagalli, M.; Pozzoli, C.; Maranta, N.; Giavarini, F.; Colombo, L.; Nicotra, G.; Vicentini, S.F.; Genova, F.; et al. Ellagitannins from Castanea sativa Mill. Leaf Extracts Impair H. pylori Viability and Infection-Induced Inflammation in Human Gastric Epithelial Cells. Nutrients 2023, 15, 1504. [Google Scholar] [CrossRef] [PubMed]
- Budriesi, R.; Ioan, P.; Micucci, M.; Micucci, E.; Limongelli, V.; Chiarini, A. Stop Fitan: Antispasmodic Effect of Natural Extract of Chestnut Wood in Guinea Pig Ileum and Proximal Colon Smooth Muscle. J. Med. Food 2010, 13, 1104–1110. [Google Scholar] [CrossRef] [PubMed]
- Test No. 487: In Vitro Mammalian Cell Micronucleus Test. Available online: https://read.oecd-ilibrary.org/environment/test-no-487-in-vitro-mammalian-cell-micronucleus-test_9789264264861-en (accessed on 19 April 2021).
- Sobol, Z.; Homiski, M.L.; Dickinson, D.A.; Spellman, R.A.; Li, D.; Scott, A.; Cheung, J.R.; Coffing, S.L.; Munzner, J.B.; Sanok, K.E.; et al. Development and Validation of an in Vitro Micronucleus Assay Platform in TK6 Cells. Mutat. Res./Genet. Toxicol. Environ. Mutagen. 2012, 746, 29–34. [Google Scholar] [CrossRef]
- Guava® ViaCountTM Reagent Package Insert. Available online: https://welcome.cytekbio.com/hubfs/Amnis-and-Guava-Products/guava-viacount-reagent-rsp.pdf (accessed on 28 September 2023).
- Lenzi, M.; Turrini, E.; Catanzaro, E.; Cocchi, V.; Guerrini, A.; Hrelia, P.; Gasperini, S.; Stefanelli, C.; Abdi Bellau, M.L.; Pellicioni, V.; et al. In Vitro Investigation of the Anticancer Properties of Ammodaucus Leucotrichus Coss. & Dur. Pharmaceuticals 2022, 15, 1491. [Google Scholar] [CrossRef]
- Lenzi, M.; Gasperini, S.; Corli, G.; Marti, M.; Hrelia, P. Genotoxicity Evaluation of The Novel Psychoactive Substance MTTA. Int. J. Mol. Sci. 2023, 24, 10498. [Google Scholar] [CrossRef] [PubMed]
- Cocchi, V.; Hrelia, P.; Lenzi, M. Antimutagenic and Chemopreventive Properties of 6-(Methylsulfinyl) Hexyl Isothiocyanate on TK6 Human Cells by Flow Cytometry. Front. Pharmacol. 2020, 11, 1242. [Google Scholar] [CrossRef]
- Lenzi, M.; Gasperini, S.; Cocchi, V.; Tirri, M.; Marti, M.; Hrelia, P. Genotoxicological Characterization of (±)Cis-4,4′-DMAR and (±)Trans-4,4′-DMAR and Their Association. Int. J. Mol. Sci. 2022, 23, 5849. [Google Scholar] [CrossRef] [PubMed]
- Guava Nexin® Reagent Package Insert. Available online: https://welcome.cytekbio.com/hubfs/Amnis-and-Guava-Products/guava-nexin-reagent-rsp.pdf (accessed on 28 September 2023).
- Gasperini, S.; Bilel, S.; Cocchi, V.; Marti, M.; Lenzi, M.; Hrelia, P. The Genotoxicity of Acrylfentanyl, Ocfentanyl and Furanylfentanyl Raises the Concern of Long-Term Consequences. Int. J. Mol. Sci. 2022, 23, 14406. [Google Scholar] [CrossRef] [PubMed]
- Cocchi, V.; Gasperini, S.; Lenzi, M. Anthraquinones: Genotoxic until Proven Otherwise? A Study on a Substance-Based Medical Device to Implement Available Data for a Correct Risk Assessment. Toxics 2022, 10, 142. [Google Scholar] [CrossRef]
- Lenzi, M.; Cocchi, V.; Hrelia, P. Flow Cytometry vs Optical Microscopy in the Evaluation of the Genotoxic Potential of Xenobiotic Compounds. Cytom. Part B Clin. Cytom. 2018, 94, 852–862. [Google Scholar] [CrossRef]
- Angeloni, C.; Teti, G.; Barbalace, M.C.; Malaguti, M.; Falconi, M.; Hrelia, S. 17β-Estradiol Enhances Sulforaphane Cardioprotection against Oxidative Stress. J. Nutr. Biochem. 2017, 42, 26–36. [Google Scholar] [CrossRef]
- Cocchi, V.; Jávega, B.; Gasperini, S.; O’Connor, J.-E.; Lenzi, M.; Hrelia, P. 6-(Methylsulfonyl) Hexyl Isothiocyanate: A Chemopreventive Agent Inducing Autophagy in Leukemia Cell Lines. Biomolecules 2022, 12, 1485. [Google Scholar] [CrossRef]
- Lenzi, M.; Cocchi, V.; Gasperini, S.; Arfè, R.; Marti, M.; Hrelia, P. Evaluation of Cytotoxic and Mutagenic Effects of the Synthetic Cathinones Mexedrone, α-PVP and α-PHP. Int. J. Mol. Sci. 2021, 22, 6320. [Google Scholar] [CrossRef] [PubMed]
- Brus, M.; Gradišnik, L.; Trapečar, M.; Škorjanc, D.; Frangež, R. Beneficial Effects of Water-Soluble Chestnut (Castanea sativa Mill.) Tannin Extract on Chicken Small Intestinal Epithelial Cell Culture. Poult. Sci. 2018, 97, 1271–1282. [Google Scholar] [CrossRef] [PubMed]
- Rashid, K.A.; Baldwin, I.I.; Babish, J.G.; Schultz, J.C.; Mumma, R.O. Mutagenicity Tests with Gallic and Tannic Acid in the Salmonella/Mammalian Microsome Assay. J. Environ. Sci. Health Part B 1985, 20, 153–165. [Google Scholar] [CrossRef]
- Chen, S.-C.; Chung, K.-T. Mutagenicity and Antimutagenicity Studies of Tannic Acid and Its Related Compounds. Food Chem. Toxicol. 2000, 38, 1–5. [Google Scholar] [CrossRef] [PubMed]
- Labieniec, M.; Gabryelak, T.; Falcioni, G. Antioxidant and Pro-Oxidant Effects of Tannins in Digestive Cells of the Freshwater Mussel Unio Tumidus. Mutat. Res./Genet. Toxicol. Environ. Mutagen. 2003, 539, 19–28. [Google Scholar] [CrossRef]
- Fedeli, D.; Berrettini, M.; Gabryelak, T.; Falcioni, G. The Effect of Some Tannins on Trout Erythrocytes Exposed to Oxidative Stress. Mutat. Res./Genet. Toxicol. Environ. Mutagen. 2004, 563, 89–96. [Google Scholar] [CrossRef]
- Bhat, R.; Hadi, S.M. DNA Breakage by Tannic Acid and Cu(II): Sequence Specificity of the Reaction and Involvement of Active Oxygen Species. Mutat. Res. /Environ. Mutagen. Relat. Subj. 1994, 313, 39–48. [Google Scholar] [CrossRef]
- Bhat, R.; Hadi, S.M. DNA Breakage by Tannic Acid and Cu(II): Generation of Active Oxygen Species and Biological Activity of the Reaction. Mutat. Res. /Environ. Mutagen. Relat. Subj. 1994, 313, 49–55. [Google Scholar] [CrossRef]
- Auzanneau, C.; Montaudon, D.; Jacquet, R.; Puyo, S.; Pouységu, L.; Deffieux, D.; Elkaoukabi-Chaibi, A.; Giorgi, F.D.; Ichas, F.; Quideau, S.; et al. The Polyphenolic Ellagitannin Vescalagin Acts As a Preferential Catalytic Inhibitor of the α Isoform of Human DNA Topoisomerase II. Mol. Pharmacol. 2012, 82, 134–141. [Google Scholar] [CrossRef]
- Kamada, Y.; Yakabu, H.; Ichiba, T.; Tamanaha, A.; Shimoji, M.; Kato, M.; Norimoto, C.; Yamashiro, R.; Miyagi, I.; Sakudo, A.; et al. Castalagin and Vescalagin Purified from Leaves of Syzygium samarangense (Blume) Merrill & L.M. Perry: Dual Inhibitory Activity against PARP1 and DNA Topoisomerase II. Fitoterapia 2018, 129, 94–101. [Google Scholar] [CrossRef]
- Tomasz, M. Mitomycin C: Small, Fast and Deadly (but Very Selective). Chem. Biol. 1995, 2, 575–579. [Google Scholar] [CrossRef]
- Garcia, C.L.; Filippi, S.; Mosesso, P.; Calvani, M.; Nicolai, R.; Mosconi, L.; Palitti, F. The Protective Effect of L-Carnitine in Peripheral Blood Human Lymphocytes Exposed to Oxidative Agents. Mutagenesis 2006, 21, 21–27. [Google Scholar] [CrossRef][Green Version]
- Unal, F.; Taner, G.; Yuzbasioglu, D.; Yilmaz, S. Antigenotoxic Effect of Lipoic Acid against Mitomycin-C in Human Lymphocyte Cultures. Cytotechnology 2013, 65, 553–565. [Google Scholar] [CrossRef]










| Cs Bark Extract Concentrations (µg/mL) | RPD |
|---|---|
| 0 | 100.00% |
| 3 | 97.95 ± 1.74% |
| 6 | 94.20 ± 1.16% |
| 12 | 81.47 ± 3.24% **** |
| 18 | 19.66 ± 7.86% **** |
| 24 | 0 ± % **** |
| 48 | 0 ± % **** |
| Concentrations | RPD |
|---|---|
| 0 µg/mL | 100.00% |
| Cs bark extract 3 µg/mL | 97.95 ± 1.74% |
| Cs bark extract 6 µg/mL | 94.20 ± 1.15% |
| Cs bark extract 12 µg/mL | 81.47 ± 3.24% **** |
| MMC 200 ng/mL | 70.13 ± 2.78% **** |
| Cs bark extract 3 µg/mL + MMC 200 ng/mL | 71.20 ± 1.51% **** |
| Cs bark extract 6 µg/mL + MMC 200 ng/mL | 69.77 ± 2.90% **** |
| Cs bark extract 12 µg/mL + MMC 200 ng/mL | 61.50 ± 2.55% **** |
| VINB 6.25 ng/mL | 76.09 ± 5.55% ** |
| Cs bark extract 3 µg/mL + VINB 6.25 ng/mL | 78.67 ± 4.98% **** |
| Cs bark extract 6 µg/mL + VINB 6.25 ng/mL | 76.80 ± 5.38% **** |
| Cs bark extract 12 µg/mL + VINB 6.25 ng/mL | 70.52 ± 4.02% **** |
Disclaimer/Publisher’s Note: The statements, opinions and data contained in all publications are solely those of the individual author(s) and contributor(s) and not of MDPI and/or the editor(s). MDPI and/or the editor(s) disclaim responsibility for any injury to people or property resulting from any ideas, methods, instructions or products referred to in the content. |
© 2023 by the authors. Licensee MDPI, Basel, Switzerland. This article is an open access article distributed under the terms and conditions of the Creative Commons Attribution (CC BY) license (https://creativecommons.org/licenses/by/4.0/).
Share and Cite
Gasperini, S.; Greco, G.; Angelini, S.; Hrelia, P.; Fimognari, C.; Lenzi, M. Antimutagenicity and Antioxidant Activity of Castanea sativa Mill. Bark Extract. Pharmaceutics 2023, 15, 2465. https://doi.org/10.3390/pharmaceutics15102465
Gasperini S, Greco G, Angelini S, Hrelia P, Fimognari C, Lenzi M. Antimutagenicity and Antioxidant Activity of Castanea sativa Mill. Bark Extract. Pharmaceutics. 2023; 15(10):2465. https://doi.org/10.3390/pharmaceutics15102465
Chicago/Turabian StyleGasperini, Sofia, Giulia Greco, Sabrina Angelini, Patrizia Hrelia, Carmela Fimognari, and Monia Lenzi. 2023. "Antimutagenicity and Antioxidant Activity of Castanea sativa Mill. Bark Extract" Pharmaceutics 15, no. 10: 2465. https://doi.org/10.3390/pharmaceutics15102465
APA StyleGasperini, S., Greco, G., Angelini, S., Hrelia, P., Fimognari, C., & Lenzi, M. (2023). Antimutagenicity and Antioxidant Activity of Castanea sativa Mill. Bark Extract. Pharmaceutics, 15(10), 2465. https://doi.org/10.3390/pharmaceutics15102465

