Abstract
West Nile virus (WNV) is a widespread and devastating disease, especially in those who develop neuroinvasive disease. A growing body of evidence describes sequelae years after infection, including neurological complications and chronic kidney disease (CKD). Eighty-nine out of 373 WNV-positive cases were followed for approximately two years and compared to 127 WNV-negative controls with and without CKD. Adjusted risk ratios (aRRs) were calculated via a log binomial regression to determine the impact of WNV exposure and other possible confounders on the likelihood of developing CKD. Cytokine profiles of WNV patients and controls were evaluated to characterize differences and describe potential underlying pathophysiological mechanisms. The associated risk for developing CKD was significantly associated with history of WNV infection (aRR = 1.91, 95% CI 1.13–3.25). Additionally, five distinct cytokines were found to be significantly associated with WNV infection (eotaxin, IL-8, IL-12p70, IP-10, and TNFα) after the p-value was adjusted to <0.0019 due to the Bonferroni correction. These data support that WNV infection is an independent risk factor for CKD, even after accounting for confounding comorbidities. WNV participants who developed CKD had high activity of proinflammatory markers, indicating underlying inflammatory disease. This study provides new insights into CKD resultant of WNV infection.
1. Introduction
West Nile virus (WNV) is a flavivirus of great public health importance in the United States. National estimates indicate that nearly 7 million persons have been infected [1]. Furthermore, a 2014 study by Staples et al. determined that the total cost of hospitalized WNV infections from 1999 to 2012 exceeded $778 million [2]. While approximately 80% of WNV infections are asymptomatic, the 20% of symptomatic infections manifest in two broad categories: West Nile fever (WNF) and West Nile neuroinvasive disease (WNND). WNND is further divided into encephalitis (WNE), meningitis (WNM), and acute flaccid paralysis (AFP), which account for ~1% of infections. Mild symptomatic infections are often undiagnosed or misdiagnosed due to nonspecific presentation and paucity of testing [3].
It is well established that infection with WNV can lead to severe morbidity, especially in WNND patients, including neurocognitive impairment, debilitating fatigue, persistent neuromuscular paralysis, tremors, depression, anxiety, regional brain atrophy, and possibly kidney damage [4,5,6,7]. These long-term conditions have been reported to effect greater than 40% of study participants up to eight years after initial infection [5]. In addition to severe, long-term disabilities, we have identified premature death as a result of renal and infectious causes [8] and have evidence that WNV is shed in the urine of a subset of cases as much as nine years after infection, with WNV visualized in the kidney and urine of patients by electron microscopy [9]. In a prospective cohort study by Nolan et al., WNV patients experience chronic kidney disease (CKD) more often than one would anticipate, with up to 40% of WNV-positive individuals diagnosed with CKD up to 9 years after WNV disease. WNND was found to be an independent risk factor for the development of all stages of CKD, even when controlling for hypertension and diabetes [7]. This growing body of evidence leads to significant concerns for the development of chronic renal disease as a long-term consequence of WNV infection. By comparing a WNV patient cohort to unexposed controls, we further analyzed the correlation between WNV and CKD. We also sought to identify potential cytokines that may be uniquely associated with kidney disease in WNV patients.
2. Materials and Methods
2.1. Patient Population
Since 2002, a cohort of WNV patients in Houston, Texas was maintained and followed prospectively from the time of enrollment. This study received human subject’s ethics approval from the Institutional Review Boards at the University of Texas Health Sciences Center at Houston in 2002 and then Baylor College of Medicine under H30533. Participants gave written informed consent prior to enrollment and agreed that their specimens could be used for future testing purposes. To date, this cohort consists of 373 enrolled participants with a confirmed history of WNV infection. Of the participants, 89 WNV cases agreed to give additional samples at least 3 months apart for the purpose of this study to verify glomerular filtration rates (GFRs). All 89 participants were beyond the acute phase of infection. At the time of enrollment, the shortest interval between resolution of WNV symptoms and sample collection was 6 months, and the longest interval was 10 years. Controls were recruited from a Houston-based family medicine clinic and were confirmed to be WNV serologically negative. Of the 127 controls, a subset were randomly selected (n = 12) for cytokine testing.
Complete metabolic profiles and blood counts were performed on blood samples and sent to Quest Diagnostic Laboratories, Inc. Results from these tests were aggregated using the Modified Diet in Renal Disease (MDRD) formula to determine the calculated glomerular filtration rate (GFR), as is recommended over the CKD-EPI measure by the National Institute of Diabetes and Digestive and Kidney Diseases when estimated GFR (eGFR) rates are expected to be less than 60 milliliters per minute (mL/min) [10]. Chronic kidney disease was defined according to Kidney Disease Outcomes Quality Initiative (KDOQI) criteria for stages 3 through 5 (eGFR < 60) sustained for 3 months or more [11].
2.2. Cytokine Panel
Literature review of the most common cytokines associated with arboviral diseases and cellular mechanisms associated with acute and chronic renal injury were assessed and are summarized in Supplemental Table S1 [12,13,14,15,16,17,18,19,20,21,22,23,24,25,26,27,28,29]. Blood samples were on average 4.3 years (std. dev. = 2.7) after acute West Nile virus diagnosis. While several blood samples were used to assess CKD status, only the first sample was used to determine cytokine values. A cytokine panel composed of 26 antiviral and/or pro-inflammatory cytokines and growth factors was performed using a Luminex® IS 100 platform (Austin, TX, USA) with Milliplex Analyst software, and we used an external control to confirm the consistency between panels and plates prior to analysis. The cytokine panel consisted of eotaxin, granulocyte-colony stimulating factor (G-CSF), granulocyte-macrophage colony stimulating factor (GM-CSF), interferon alpha (INF-α), interferon alpha 2 (INF-α2), interleukin 1 alpha (IL-1α), 1 beta (L-I1β), interleukin 2 (IL-2), interleukin 3 (IL-3), interleukin 4 (IL-4), interleukin 5 (IL-5), interleukin 6 (IL-6), interleukin 7 (IL-7), interleukin 8 (IL-8), interleukin 10 (IL-10), interleukin 12p40 (IL-12p40), interleukin 12p70 (IL-12p70), interleukin 13 (IL-13), interleukin 15 (IL-15), interleukin 17 alpha (IL-17α), interferon gamma-induced protein 10 (IP-10), monocyte chemoattractant protein-1 (MCP1), macrophage inflammatory protein 1 alpha (MIP1α), macrophage inflammatory protein 1 beta (MIP1β), tumor necrosis factor alpha (TNFα), and tumor necrosis factor beta (TNFβ).
2.3. Analysis
Demographics between WNV-positive and control groups were directly compared using Student’s t-test and chi-square analyses. CKD was evaluated using a logistic regression model, however, due to CKD being relatively high in both groups, risk ratios were calculated using a log binomial regression model. Each risk factor was assessed in a univariate model and any risk factors that had a p-value less than 0.2 were included in the final adjusted model via a backward stepwise inclusion mechanism that allowed a maximum of six distinct risk factors. Of note, while the initial study design was intended for a matched analysis, recent literature indicates that an unconditional logistic regression model is appropriate—even potentially recommended—in studies utilizing loose matching of demographic features [30]. The final results from the adjusted model were reported with their adjusted risk ratios (aRRs) and corresponding 95% confidence intervals (95% CIs).
In the cytokine analysis, values were found to be non-normally distributed using the Shapiro–Wilks test. Additionally, variance between each group was found to be un-equal using the Fligner–Killeen test and was mediated by removing outliers that were greater than two standard deviations above the average. The impact of age on cytokine levels was assessed independently and was found to have no significant correlation with any cytokine in our patient population. The multiple groups were then compared using the Kruskal–Wallis H-test followed by a post hoc intergroup comparison using Dunn’s test. Statistical significance was adjusted for multiple comparisons using a Bonferroni correction that lowered the upper-value threshold of the p-value from 0.05 to 0.0019. All statistical analyses were performed using open-source R statistical software version 3.6.1 (R-Studio, Boston, MA, USA) [31].
3. Results
3.1. Patient Population
Both WNV-positive cases and controls had similar demographics, with age, sex, and race/ethnicity comparable between each group. Comorbidities were largely the same in both populations, except for a history of heart disease that was significantly higher in the WNV cohort (Table 1). CKD prevalence was found to be approximately 12.6% in the control group and 23.6% in the WNV cohort. The results from the log binomial regression model showed that the adjusted risk ratios were statistically significant for three variables: hypertension (RR = 3.13, 95% CI 1.26–7.77), individuals older than 65 years of age (RR 2.46, 95% CI 1.18–5.09), and a serologic positive history for WNV infection (RR 1.91, 95% CI 1.13–3.25). Diabetes, obesity, and history of heart disease were all found to have no statistically significant association with the development of CKD after adjustment in our population (Table 2).
Table 1.
Patient demographics.
Table 2.
Log binomial regression analysis adjusted for meaningful CKD risk factors among both WNV-positive cases and WNV-negative controls.
3.2. Cytokine Profiles
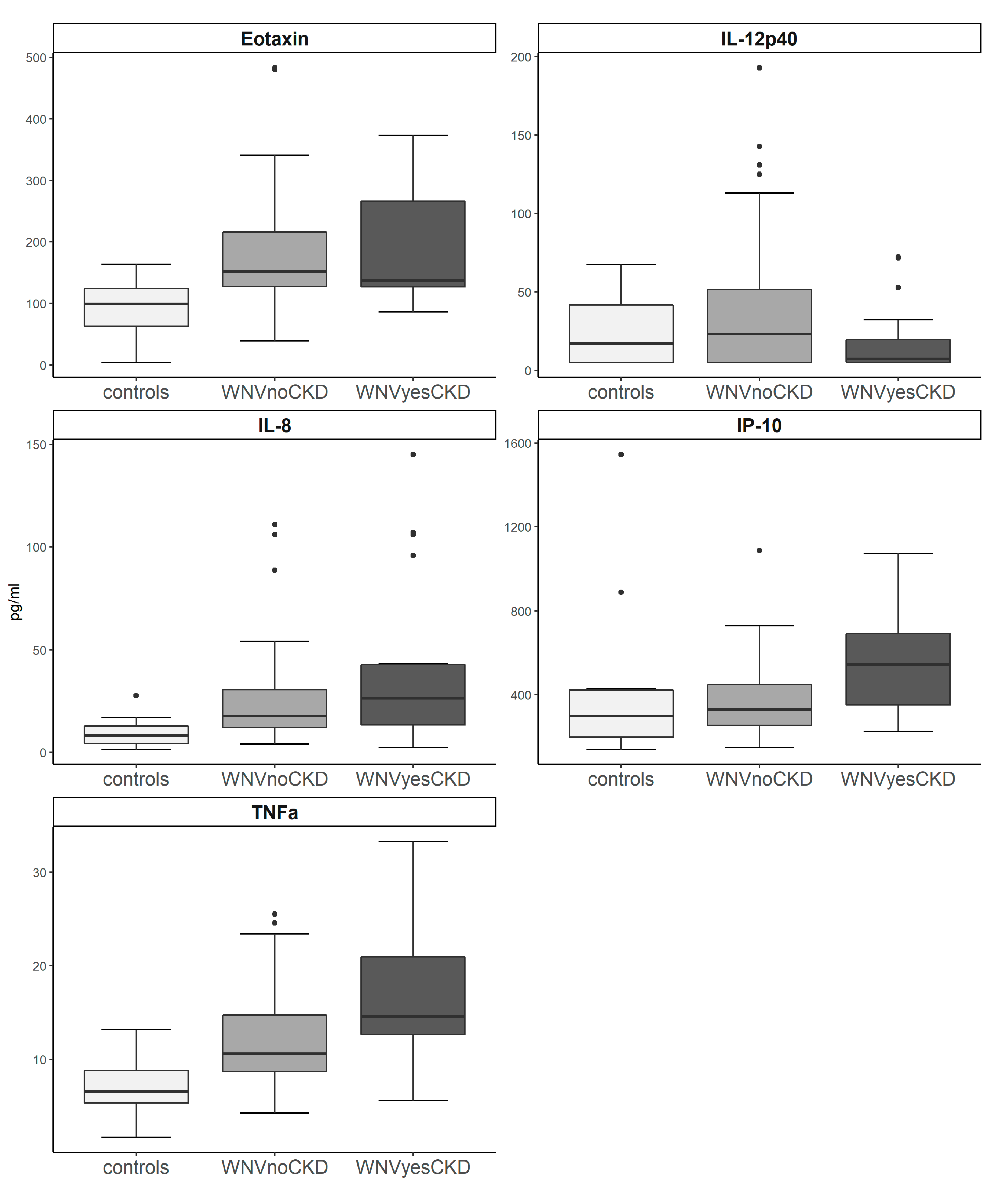
Cytokine analyses measured concentrations as picograms per milliliter (pg/mL) and were performed on samples from all participating individuals in the WNV-positive group (n = 89) and a randomly selected subset of controls (n = 12). WNV participants were further subdivided into those who did not develop CKD (n = 68) and those who developed CKD (n = 21). A post-hoc power calculation using PASS software (NCSS LLC., Kaysville, UT) showed that our study’s type-II error probability was summarized with a Beta value greater than 0.95. After adjusting our p-value significance level for 26 multiple comparisons, we found that eotaxin, IL8, IL-12p70, IP-10, and TNFα all had a p-value less than 0.0019, as required by the Bonferroni correction for significance (Table 3). Further analysis using Dunn’s test revealed that eotaxin and IL-12p70 were distinctly elevated in WNV-positive participants without CKD when compared to healthy controls (p-values 0.0013 and 0.0002, respectively). Meanwhile, IL-8 and TNFα were elevated in WNV-positive participants with CKD when compared to healthy controls (p-values 0.0001 and <0.0001, respectively), and IP-10 was elevated in WNV participants with CKD as compared to those without CKD (p-value 0.0017) (Table 4). However, the trend in all five of the markers consistently showed that the WNV with CKD group always had higher values than the WNV non-CKD counterpart, although the differences were not always statistically significant (Figure 1). This trend was found in several other cytokines that had statistical p-values < 0.05, but did not meet criteria for the corrected p-value of 0.0019 (i.e., IL-1α, MIP1α, and MIP1β), with one exception being IL-4, which had a lower average in the WNV with CKD group than those without CKD.
Table 3.
Mean Concentration (pg/mL) and Standard Deviation (std. dev.) of 26 Cytokines in Serum with Comparison between the Three Groups.
Table 4.
Dunn’s test for inter-group post hoc comparison of cytokine profiles.
Figure 1.
Cytokine values per WNV exposure group. Serum samples were drawn from study participants at last time points of data collection and were analyzed using a Luminex® IS 100 platform (Austin, TX, USA) to detect 26 different cytokines. Of all 26 cytokines, five were found to have a statistically meaningful difference between two of the three possible groups (statistical significance was reduced to 0.0019 due to multiple comparisons). Eotaxin and IL-12p40 were both found to have meaningful differences between the controls and those with history of WNV without CKD (p-value = 0.0013 and 0.0002, respectively). IL-8 and TNFα were both found to have meaningful differences between controls and individuals with history of WNV and subsequent development of CKD (p-value < 0.0001, both). Lastly, IP-10 was found to be significantly higher in individuals with CKD and history of WNV infection compared to those with history of WNV and no evidence of CKD (p-value = 0.0017).
4. Discussion
This WNV patient cohort provided an opportunity to improve our understanding of the long-term impact of the disease process. The prevalence of CKD in WNV-positive cases (23.6%) was greater than the national average of 4–15% in the United States for individuals with similar ages to our population [32]. By following these individuals over time and confirming the diagnoses of WNV and CKD, this study further supports the correlation between these two diseases. After accounting for potential confounding, we were able to confirm that WNV remains an independent risk factor, increasing the risk for later development of CKD by a factor of 1.9.
These results support the work previously published by Nolan et al., while further exploring potential cytological factors associated with the correlation. As expected, hypertension and age were associated with the development of CKD. However, there were no independent associations found with diabetes mellitus, obesity, or heart disease after adjustment. This remains consistent with our previously published cross-sectional analysis in the WNV cohort population that found CKD to be significantly associated with age and hypertension, while diabetes mellitus only had a mild to negligible effect [7]. While we know that diabetes plays a role in kidney disease, it is likely that our sample size was simply not large enough to detect significance after adjustment.
Additionally, our cytokine analysis not only confirmed that WNV-infected individuals sustained elevated levels of inflammatory markers years after infection [4], but those who developed CKD had even higher levels of circulating cytokines. This suggests these individuals continue to undergo an inflammatory process or potentially active viral disease, either of which may explain the chronic complications related to the kidneys and brain. After applying the Bonferroni correction, eotaxin, IL-8, IL-12p70, IP-10, and TNFα were distinctly elevated in individuals with a history WNV infection. Amongst WNV patients, only IP-10 was specifically elevated in WNV patients with CKD as compared to WNV patients without CKD. These cytokines have been identified in similar WNV studies looking at acute and chronic complications of the disease [16,33,34]. Acute infections have demonstrated robust expression of IL-1B, IL-6, IL-8, MIP1a, and TNFα as the key mediators driving immediate cell death. This is often followed by a rapid and sustained rise in IP-10 that, in combination with IL-1B and TNFα, is largely responsible for monocyte recruitment [6,16]. This process has been well studied in an attempt to understand how the virus introduces itself through the blood–brain barrier. At a systems and genetics level, IP-10 has repeatedly been demonstrated to be associated with viral load and disease severity in WNV cases [18,35]—a pattern that is consistent with other viruses, including hepatitis C virus, dengue virus, and hantavirus [36,37,38].
Complications resultant of WNV infection occur with little elaboration on the immune physiology [39,40]. When comparing WNV patients with and without symptoms, significant elevation of IL-12p70, IL-2, IL-6, IL-8, and IP-10 was observed. More specific analyses using differential gene expression studies between asymptomatic and severe WNV subjects found that IL-8 and TNF families were being significantly expressed after adjustment for age up to ten years after viral exposure [18,41]. The recurrence of these pro-inflammatory markers in our population reflects the known disease pathology of WNV and shows no resemblance to the cytokine profiles of any chronic or non-infectious cause of CKD [23]. Conversely, in WNV and other infections, elevated levels of IL-4 appear to be associated with less-severe forms of the disease [42]. Even years after infection, WNV patients that had mild or asymptomatic phenotypes at the time of infection will continue to have higher levels of IL-4 as compared to those with more severe symptoms, suggesting that IL-4 is possibly protective [41]. In our study, we found a similar relationship: IL-4 was the only cytokine in the CKD group that, on average, was less than their WNV non-CKD counterparts. While nearly every cytokine was found to be greater in the WNV patients compared to controls, the greater granularity we can provide will better describe the pathological signature of WNV physiology. This reiterates what we already know about WNV; it remains difficult to distinguish unique characteristics of the WNV group with CKD. Overall, many of the cytokines that were found to be positively associated with the CKD group are generally associated with inflammation. IP-10 is a notable exception, and was the only marker that was statistically different in the WNV with CKD group compared to WNV individuals without CKD. This suggests a more active viral disease process taking place, likely in the kidneys, rather than simply a prolonged inflammatory state. Evidence of viral replication in renal tissue has been identified before [9], but more research is necessary.
It is important to note that age was the most difficult confounding variable to accurately adjust for, which limits the generalizability of our results. We found that in both WNV-positive and control participants, CKD was only diagnosed in individuals that were at least 50 years of age; therefore, we can only accurately interpret our findings to that age group. We also note that the interpretation of cytokine characterization in older individuals is subject to the effects of immunosenescence, the increasingly recognized phenomenon that our immune response changes as we age [43]. We were only able to find a significant correlation between age and cytokine levels in 3 of the 26 markers that were measured (IL-5, IL-7, and TNFα), but our attempts to account for age with greater specificity in our model were limited due to our sample size, leaving us unable to converge the model beyond dichotomization above and below the age of 65. Our cytokine analysis additionally had challenges associated with the persistence of outliers with higher values and a truncation effect at the lower values due to the lower limit of quantitation of the cytokine test. These barriers factored into some inconsistencies with our results; for example, the greater average serum IP-10 concentration in the control group as compared to WNV individuals without CKD was found to be due to one or two specific outliers. A global evaluation of the raw cytokine values in the control group showed that there were two individuals that had markedly elevated cytokine levels that would not be anticipated for a healthy control. Despite efforts to account for these outliers, their impact still lingers in our dataset. In fact, the prevalence of comorbidities in our control population was higher than expected, likely due to our recruitment of controls from a family medicine clinic where people with underlying health conditions might frequent more regularly than true healthy controls. While our analysis technique appropriately accounts for this non-normal distribution, it does highlight the challenge of using and interpreting serum cytokines that can be elevated for a multitude of reasons beyond those questioned in this study. Overall, these issues add noise to the data, but do not take away the significance of the results, and suggest that further discrimination between each group may be hidden.
In conclusion, this study supports the importance of CKD in the context of WNV infection. Additional research in this area is necessary, with a greater focus on distinguishing differences between WNV patients with and without CKD. Exploring the genetic and histological differences between WNV cases with and without CKD will also be necessary to fully understand this disease’s process and improve patient outcomes.
Supplementary Materials
The following are available online at https://www.mdpi.com/1999-4915/13/2/311/s1.
Author Contributions
Conceptualization, S.E.R., K.O.M., and M.S.N.; methodology, M.H.; formal analysis, M.H.; investigation, S.E.R., M.H., R.H., M.S.N., K.O.M.; resources, R.G., R.H.; data curation, M.S.N.; writing—original draft preparation, M.H.; writing—review and editing, S.E.R., K.O.M., M.S.N., R.H.; visualization, M.H.; supervision, K.O.M. and S.E.R.; project administration, K.O.M.; funding acquisition, K.O.M. and S.E.R. All authors have read and agreed to the published version of the manuscript.
Funding
This research was funded by NIH, National Institute for Allergy and Infectious Diseases (5R01AI091816-01, K23AI057341), the Gillson Longenbaugh Foundation, and the Chao Foundation.
Institutional Review Board Statement
The study was conducted according to the guidelines of the Declaration of Helsinki, and approved by the Institutional Review Board of Baylor Collect of Medicine (protocol code H-30533 and most recently re-approved on 27 May 2020).
Informed Consent Statement
Informed consent was obtained from all subjects involved in the study.
Data Availability Statement
The data presented in this study are available on request from the corresponding author.
Acknowledgments
The authors would like to thank the study participants, Christopher Walker for his help with laboratory experiments, Lucrecia Salazar for her assistance enrolling participants, as well as Diana Martinez, Salma Khuwaja, Susan N. Rossman, and Raouf Arafat for their help founding the original Houston West Nile virus cohort.
Conflicts of Interest
The authors declare no conflict of interest.
References
- Ronca, S.E.; Murray, K.O.; Nolan, M.S. Cumulative Incidence of West Nile Virus Infection, Continental United States, 1999–2016. Emerg. Infect. Dis. 2019, 25, 325–327. [Google Scholar] [CrossRef] [PubMed]
- Staples, J.E.; Shankar, M.B.; Fischer, M.; Meltzer, M.I.; Sejvar, J.J. Initial and Long-Term Costs of Patients Hospitalized with West Nile Virus Disease. Am. J. Trop. Med. Hyg. 2014, 90, 402–409. [Google Scholar] [CrossRef] [PubMed]
- Vanichanan, J.; Salazar, L.; Wootton, S.H.; Aguilera, E.; Garcia, M.N.; Murray, K.O.; Hasbun, R. Use of Testing for West Nile Virus and Other Arboviruses. Emerg. Infect. Dis. 2016, 22. [Google Scholar] [CrossRef]
- Garcia, M.N.; Hause, A.M.; Walker, C.M.; Orange, J.S.; Hasbun, R.; Murray, K.O. Evaluation of Prolonged Fatigue Post–West Nile Virus Infection and Association of Fatigue with Elevated Antiviral and Proinflammatory Cytokines. Viral Immunol. 2014, 27, 327–333. [Google Scholar] [CrossRef]
- Weatherhead, J.E.; Miller, V.E.; Garcia, M.N.; Hasbun, R.; Salazar, L.; Dimachkie, M.M.; Murray, K.O. Long-Term Neurological Outcomes in West Nile Virus–Infected Patients: An Observational Study. Am. J. Trop. Med. Hyg. 2015, 92, 1006–1012. [Google Scholar] [CrossRef] [PubMed]
- Lim, S.; Koraka, P.; Osterhaus, A.; Martina, B. West Nile Virus: Immunity and Pathogenesis. Viruses 2011, 3, 811–828. [Google Scholar] [CrossRef] [PubMed]
- Nolan, M.S.; Podoll, A.S.; Hause, A.M.; Akers, K.M.; Finkel, K.W.; Murray, K.O. Prevalence of Chronic Kidney Disease and Progression of Disease Over Time among Patients Enrolled in the Houston West Nile Virus Cohort. PLoS ONE 2012, 7, e40374. [Google Scholar] [CrossRef] [PubMed]
- Philpott, D.C.; Nolan, M.S.; Evert, N.; Mayes, B.; Hesalroad, D.; Fonken, E.; Murray, K.O. Acute and Delayed Deaths after West Nile Virus Infection, Texas, USA, 2002. Emerg. Infect. Dis. 2019, 25, 256–264. [Google Scholar] [CrossRef] [PubMed]
- Murray, K.O.; Kolodziej, S.; Ronca, S.E.; Gorchakov, R.; Navarro, P.; Nolan, M.S.; Podoll, A.; Finkel, K.; Mandayam, S. Visualization of West Nile Virus in Urine Sediment using Electron Microscopy and Immunogold up to Nine Years Postinfection. Am. J. Trop. Med. Hyg. 2017, 97, 1913–1919. [Google Scholar] [CrossRef][Green Version]
- Schwandt, A.; Denkinger, M.; Fasching, P.; Pfeifer, M.; Wagner, C.; Weiland, J.; Zeyfang, A.; Holl, R.W. Comparison of MDRD, CKD-EPI, and Cockcroft-Gault equation in relation to measured glomerular filtration rate among a large cohort with diabetes. J. Diabetes Complicat. 2017, 31, 1376–1383. [Google Scholar] [CrossRef]
- Levey, A.S.; De Jong, P.E.; Coresh, J.; Nahas, M.E.; Astor, B.C.; Matsushita, K.; Gansevoort, R.T.; Kasiske, B.L.; Eckardt, K.-U. The definition, classification, and prognosis of chronic kidney disease: A KDIGO Controversies Conference report. Kidney Int. 2011, 80, 17–28. [Google Scholar] [CrossRef] [PubMed]
- Dupuis-Maguiraga, L.; Noret, M.; Brun, S.; Le Grand, R.; Gras, G.; Roques, P. Chikungunya Disease: Infection-Associated Markers from the Acute to the Chronic Phase of Arbovirus-Induced Arthralgia. PLoS Neglected Trop. Dis. 2012, 6, e1446. [Google Scholar] [CrossRef]
- Khaiboullina, S.F.; Levis, S.; Morzunov, S.P.; Martynova, E.V.; Anokhin, V.A.; Gusev, O.A.; Jeor, S.C.S.; Lombardi, V.C.; Rizvanov, A.A. Serum Cytokine Profiles Differentiating Hemorrhagic Fever with Renal Syndrome and Hantavirus Pulmonary Syndrome. Front. Immunol. 2017, 8, 567. [Google Scholar] [CrossRef] [PubMed]
- Arjona, A.; Wang, P.; Montgomery, R.R.; Fikrig, E. Innate immune control of West Nile virus infection. Cell. Microbiol. 2011, 13, 1648–1658. [Google Scholar] [CrossRef]
- Shin, O.S.; Song, G.S.; Kumar, M.; Yanagihara, R.; Lee, H.-W.; Song, J.-W. Hantaviruses Induce Antiviral and Pro-Inflammatory Innate Immune Responses in Astrocytic Cells and the Brain. Viral Immunol. 2014, 27, 256–266. [Google Scholar] [CrossRef] [PubMed]
- Suthar, M.S., Diamond. West Nile virus infection and immunity. Nat. Rev. Microbiol. 2013, 11, 115–128. [Google Scholar] [CrossRef] [PubMed]
- Trobaugh, D.W.; Green, S. Of Mice and Men: Protective and Pathogenic Immune Responses to West Nile Virus Infection. Curr. Trop. Med. Rep. 2015, 2, 41–48. [Google Scholar] [CrossRef] [PubMed]
- Qian, F.; Goel, G.; Meng, H.; Wang, X.; You, F.; Devine, L.; Raddassi, K.; Garcia, M.N.; Murray, K.O.; Bolen, C.R.; et al. Systems Immunology Reveals Markers of Susceptibility to West Nile Virus Infection. Clin. Vaccine Immunol. 2014, 22, 6–16. [Google Scholar] [CrossRef] [PubMed]
- Sadeghi, M.; Daniel, V.; Schnitzler, P.; Lahdou, I.; Naujokat, C.; Zeier, M.; Opelz, G. Urinary Proinflammatory Cytokine Response in Renal Transplant Recipients with Polyomavirus BK Viruria. Transplantation 2009, 88, 1109–1116. [Google Scholar] [CrossRef] [PubMed]
- Quaresma, J.A.; Barros, V.L.; Pagliari, C.; Fernandes, E.R.; Guedes, F.; Takakura, C.F.; Andrade, H.F.; Vasconcelos, P.F.; Duarte, M.I. Revisiting the liver in human yellow fever: Virus-induced apoptosis in hepatocytes associated with TGF-β, TNF-α and NK cells activity. Virology 2006, 345, 22–30. [Google Scholar] [CrossRef] [PubMed]
- Douam, F.; Albrecht, Y.E.S.; Hrebikova, G.; Sadimin, E.; Davidson, C.; Kotenko, S.V.; Ploss, A. Type III Interferon-Mediated Signaling Is Critical for Controlling Live Attenuated Yellow Fever Virus Infection In Vivo. mBio 2017, 8, e00819-17. [Google Scholar] [CrossRef] [PubMed]
- Tappe, D.; Pérez-Girón, J.V.; Zammarchi, L.; Rissland, J.; Ferreira, D.F.; Jaenisch, T.; Gómez-Medina, S.; Günther, S.; Bartoloni, A.; Muñoz-Fontela, C.; et al. Cytokine kinetics of Zika virus-infected patients from acute to reconvalescent phase. Med. Microbiol. Immunol. 2016, 205, 269–273. [Google Scholar] [CrossRef]
- Imig, J.D.; Ryan, M.J. Immune and Inflammatory Role in Renal Disease. Compr. Physiol. 2013, 3, 957–976. [Google Scholar] [CrossRef] [PubMed]
- Akcay, A.; Nguyen, Q.; Edelstein, C.L. Mediators of Inflammation in Acute Kidney Injury. Mediat. Inflamm. 2009, 2009, 1–12. [Google Scholar] [CrossRef] [PubMed]
- Rogers, N.M.; Ferenbach, D.A.; Isenberg, J.S.; Thomson, A.W.; Hughes, J. Dendritic cells and macrophages in the kidney: A spectrum of good and evil. Nat. Rev. Nephrol. 2014, 10, 625–643. [Google Scholar] [CrossRef] [PubMed]
- Herbert, F.; Tchitchek, N.; Bansal, D.; Jacques, J.; Pathak, S.; Becavin, C.; Fesel, C.; Dalko, E.; Cazenave, P.-A.; Preda, C.; et al. Evidence of IL-17, IP-10, and IL-10 involvement in multiple-organ dysfunction and IL-17 pathway in acute renal failure associated to Plasmodium falciparum malaria. J. Transl. Med. 2015, 13, 369. [Google Scholar] [CrossRef] [PubMed]
- Brenner, C.; Galluzzi, L.; Kepp, O.; Kroemer, G. Decoding cell death signals in liver inflammation. J. Hepatol. 2013, 59, 583–594. [Google Scholar] [CrossRef]
- Szabo, G.; Petrasek, J. Inflammasome activation and function in liver disease. Nat. Rev. Gastroenterol. Hepatol. 2015, 12, 387–400. [Google Scholar] [CrossRef]
- Vezzani, A.; Fujinami, R.S.; White, H.S.; Preux, P.-M.; Blümcke, I.; Sander, J.W.; Löscher, W. Infections, inflammation and epilepsy. Acta Neuropathol. 2016, 131, 211–234. [Google Scholar] [CrossRef]
- Kuo, C.-L.; Duan, Y.; Grady, J. Unconditional or Conditional Logistic Regression Model for Age-Matched Case–Control Data? Front. Public Heal. 2018, 6, 57. [Google Scholar] [CrossRef] [PubMed]
- RStudio Team. RStudio: Integrated Development for R. [Internet]; RStudio, Inc.: Boston, MA, USA, 2016; Available online: http://www.rstudio.com/ (accessed on 10 February 2021).
- Shahinian, V.B.; Hedgeman, E.; Gillespie, B.W.; Young, E.W.; Robinson, B.; Hsu, C.-Y.; Plantinga, L.C.; Burrows, N.R.; Eggers, P.; Saydah, S.; et al. Estimating Prevalence of CKD Stages 3-5 Using Health System Data. Am. J. Kidney Dis. 2013, 61, 930–938. [Google Scholar] [CrossRef] [PubMed][Green Version]
- Brien, J.D.; Uhrlaub, J.L.; Nikolich-Zugich, J. West Nile virus-specific CD4 T cells exhibit direct anti-viral cytokine secretion and cytotoxicity and are sufficient for antiviral protection. J. Immunol. 2008, 181, 8568–8575. [Google Scholar] [CrossRef] [PubMed]
- Quicke, K.M.; Suthar, M.S. The Innate Immune Playbook for Restricting West Nile Virus Infection. Viruses 2013, 5, 2643–2658. [Google Scholar] [CrossRef]
- Szretter, K.J.; Daffis, S.; Patel, J.; Suthar, M.S.; Klein, R.S.; Gale, M.; Diamond, M.S. The Innate Immune Adaptor Molecule MyD88 Restricts West Nile Virus Replication and Spread in Neurons of the Central Nervous System. J. Virol. 2010, 84, 12125–12138. [Google Scholar] [CrossRef] [PubMed]
- Falconer, K.; Askarieh, G.; Weis, N.; Hellstrand, K.; Alaeus, A.; Lagging, M.; For the Dico Study Group. IP-10 predicts the first phase decline of HCV RNA and overall viral response to therapy in patients co-infected with chronic hepatitis C virus infection and HIV. Scand. J. Infect. Dis. 2010, 42, 896–901. [Google Scholar] [CrossRef]
- Heutinck, K.M.; Rowshani, A.T.; Kassies, J.; Claessen, N.; Pant, K.A.M.I.V.D.-V.D.; Bemelman, F.J.; Eldering, E.; Van Lier, R.A.W.; Florquin, S.; Berge, I.J.M.T.; et al. Viral double-stranded RNA sensors induce antiviral, pro-inflammatory, and pro-apoptotic responses in human renal tubular epithelial cells. Kidney Int. 2012, 82, 664–675. [Google Scholar] [CrossRef] [PubMed]
- Jiang, H.; Du, H.; Wang, L.M.; Wang, P.Z.; Bai, X.F. Hemorrhagic Fever with Renal Syndrome: Pathogenesis and Clinical Picture. Front. Cell. Infect. Microbiol. 2016, 6, 1. [Google Scholar] [CrossRef]
- Pogodina, V.V.; Frolova, M.P.; Malenko, G.V.; Fokina, G.I.; Koreshkova, G.V.; Kiseleva, L.L.; Bochkova, N.G.; Ralph, N.M. Study on West Nile virus persistence in monkeys. Arch. Virol. 1983, 75, 71–86. [Google Scholar] [CrossRef]
- Stewart, B.S.; Demarest, V.L.; Wong, S.J.; Green, S.; A Bernard, K. Persistence of virus-specific immune responses in the central nervous system of mice after West Nile virus infection. BMC Immunol. 2011, 12, 6–11. [Google Scholar] [CrossRef]
- Qian, F.; Thakar, J.; Yuan, X.; Nolan, M.; Murray, K.O.; Lee, W.T.; Wong, S.J.; Meng, H.; Fikrig, E.; Kleinstein, S.H.; et al. Immune Markers Associated with Host Susceptibility to Infection with West Nile Virus. Viral Immunol. 2014, 27, 39–47. [Google Scholar] [CrossRef] [PubMed]
- Kumar, Y.; Liang, C.; Bo, Z.; Rajapakse, J.C.; Ooi, E.E.; Tannenbaum, S.R. Serum Proteome and Cytokine Analysis in a Longitudinal Cohort of Adults with Primary Dengue Infection Reveals Predictive Markers of DHF. PLoS Neglected Trop. Dis. 2012, 6, e1887. [Google Scholar] [CrossRef] [PubMed]
- Oh, S.-J.; Lee, J.K.; Shin, O.S. Aging and the Immune System: The Impact of Immunosenescence on Viral Infection, Immunity and Vaccine Immunogenicity. Immune Netw. 2019, 19, e37. [Google Scholar] [CrossRef] [PubMed]
Publisher’s Note: MDPI stays neutral with regard to jurisdictional claims in published maps and institutional affiliations. |
© 2021 by the authors. Licensee MDPI, Basel, Switzerland. This article is an open access article distributed under the terms and conditions of the Creative Commons Attribution (CC BY) license (http://creativecommons.org/licenses/by/4.0/).
