Abstract
The Democratic People’s Republic of Korea (DPR Korea) suffered considerable upland deforestation during the 1990s, yet its consequences remain relatively unknown. This paper examines this deforestation and resulting land-use change patterns by analysis of Landsat satellite images from 1979, 1992, 2001 and 2006 in Suan County, Hwanghae Province, DPR Korea. Results show that there has been significant closed canopy forest loss and a dramatic expansion of agricultural land during this period. Most forestlands were converted to farmland during 1992 and 2001. Food shortages, along with fuelwood and timber extraction, are considered to be the main drivers of deforestation. Landscape analysis also showed that closed canopy forests have been severely fragmented and degraded. These research findings make a contribution to an insufficient body of literature on environmental issues in DPR Korea and helps to establish a baseline for monitoring land-use and land-cover changes in the country.
1. Introduction
Deforestation is one of the key human transformations of the earth [1]. The Food and Agriculture Organization of United Nations (FAO) states that, although the global rate of forest loss has slowed during the last decade, total forest area continues to decline [2]. In developing countries which often have rapid rates of forest loss, deforestation is driven by multiple factors, including illegal logging in Indonesia [3], expanding commercial agriculture in the Amazon rainforest [4], and government projects and policies in Brazil [5]. In Asia, despite the net increase of forest cover in the region as a whole, the Democratic People’s Republic of Korea (DPR Korea) has experienced serious deforestation, which declined from 1,129,000 ha in 1990 to 780,000 ha in 2010 [2]. Empirically, however, due to the country’s political and economic isolation, there remains a poor understanding of upland deforestation and its consequences.
Out of DPR Korea’s 12 million ha of land, 80% is mountainous [6], of which 70% is on slopes greater than 20° and generally unsuitable for agriculture [7]. This leaves only about 3.6 million ha land for agricultural production to support more than 20 million people. Most people living in rural areas are largely dependent on natural forests for timber production and firewood consumption. Therefore, one of the most acute environmental problems in DPR Korea is deforestation [8]. Recent decades have seen intensified clearance of forests and marginal land for growing food and the extraction of timber and fuelwood and this has resulted in upland degradation [9,10]. Upland degradation has resulted in reduced productivity, food insecurity, damage to natural resources and watershed services and loss of biodiversity [11], as well as reduction in biomass and soil organic matter [12]. However, existing literature from DPR Korea fails to document this process in detail and there is an urgent need to understand the changes of land cover and landscape pattern as well as the drivers of deforestation.
Using remote sensing [13,14], this study examines land-use/land-cover status and transitions in DPR Korea in 1979, 1992, 2001 and 2006 and explores the drivers of land-use change, as well as researches landscape pattern dynamics and their implications for conservation biology. It contributes to a meager literature on environmental change in DPR Korea and adds to the international study of deforestation in different social and political contexts.
2. Materials and Methods
2.1. Study Area
Suan County, Hwanghae Province, DPR Korea, situated in the middle of the Korean Peninsula (38°42' N to 38°47' N, 126°17' E to 126°24' E) (Figure 1), is one of the most densely populated regions in the country and also has one of the most severely degraded uplands. Covering approximately 100 km2, this region is mountainous with an elevation ranging between 155 and 822 m and slopes averaging at 25°. The climate is temperate continental. The average annual precipitation and temperature is 1206 mm and 8.9 °C, respectively. The population has increased at an annual rate of 1.2% in the last three decades. However, the area of farmland per capita is only 0.015 ha. In 2003, the Ministry of Land and Environmental Protection (MoLEP) of DPR Korea initiated a pilot demonstration project on Sloping Land Management (SLM) to integrate agroforestry with ecological restoration and food security [15].
Figure 1.
Location map of the study area (10 × 10 km2).
Figure 1.
Location map of the study area (10 × 10 km2).

2.2. Data Acquisition and Preprocessing
Landsat satellite images from four time periods were downloaded from the Earth Science Data Interface of Global Land Cover Facility [16] website. These images were collected on May 1979 (Landsat MSS), June 1992 (Landsat TM), September 2001 (Landsat ETM+), and October 2006 (Landsat TM). We chose those years for analysis as there are only forest maps available in the country from 1979, 1992 and 2001 for improving the accuracy of land-use analysis and image classification. Although images with time consistency and dates closer together are preferred for temporal change detection, seasonal snow and cloud cover constrained data availability in this temperate mountain region. Digital Elevation Model (DEM) with 30 m spatial resolution was also downloaded from the GLCF website. Ancillary data used included topographic maps (scale 1:25,000, 1984), forest maps for the years 1979, 1992 and 2001, and field survey and ground truthing were conducted in 2009.
The Landsat images have been pre-processed according to a standardized set of parameters and have also been orthorectified using geodetic and elevation control data to correct for positional accuracy and relief displacement. The TM satellite image of 2006 was rectified to UTM WGS84 system with a 30 m spatial resolution. The other TM, MSS, and ETM images were registered to the TM images using an image-to-image registration technique, with their rectification RMS errors < 1 pixel. The ancillary data of topographic map and forest maps (1979, 1992 and 2001) were scanned and then geo-referenced to the same projection with Landsat images and digitized into vector format by using ArcGIS 9.3 (Environmental System Research Institute, USA) using 60 control points obtained from the 1:25,000 scale topographic maps. All the ancillary data (e.g., DEM and forest maps) were projected to UTM WGS84 system. To analyzing pixel-by-pixel change detection, the pixels of the MSS image in 1979 were re-sampled into a 30 m resolution. Finally, all images were cut by the boundary of the study area.
2.3. Land Classification System
We utilized a modified FAO classification system [2,17], with five distinct classes, namely closedcanopy forest (CF), open canopy forest (OF), agricultural land (AL), built-up land (BL) and water (W). This classification scheme was specially developed for using remote sensing data by the US Geological Survey [18]. The CF is forest with tree canopy coverage of more than 40% and average tree height of more than 5 m; the OF is forest with tree canopy coverage between 10 and 40% and average tree height of more than 5 m [17]. The AL is land for agriculture activities, which has a regular shape and a finer texture compared to the forest classes, but a higher normalized difference vegetation index (NDVI) compared to that of BL. The BL is characteristic for its regular shape and road crossings, and has a lower NDVI.
2.4. Land-Cover Classification
Visual interpretation was applied for land-cover classification in this study. One more NDVI band was added to each Landsat image to help vegetation-related interpretation according to our previous finding with this index [19]. The analyst can incorporate different image characteristics, such as texture, shape, size, patterns, tone, shadows, etc. [20,21] and their own experience and knowledge from other sources to make interpretive decisions. Thus, this method usually produces better classification if used by a skilled analyst [22,23]. The false color composites of the four images were visually interpreted through a screen digitizing. First, we manually digitized polygons with different land-use types on the TM images in 2006 in ArcGIS 9.2. The interpretation was aided by topographic maps, forest maps, higher resolution from Google Earth images, and expert local knowledge to minimize the error which may generate from the operator’s judgment. Then, another three layers were produced by copying the polygon of the final thematic layer of 2006. We kept the unchanged polygons in each time while modifying the polygons that changed according to the satellite image by visual interpretation aided by the same ancillary data as that of 2006. Finally, the thematic maps of 2001, 1992 and 1979 were produced.
2.5. Accuracy Assessment
For the accuracy assessment, a total of 300 reference points were selected based on survey data collected by ground truthing during a field visit in June and July, 2009. These reference points, topographic maps and forest maps were used for the accuracy assessment of the land-cover classification in all periods. The assessment was conducted by using ERDAS 9.0, which outputted various accuracy statistics including error matrices. The overall accuracy of land-use classification for the years 1979, 1992, 2001 and 2006 are 88.3%, 92.2%, 80.5% and 90.3%, respectively.
The limitations of utilizing remote sensing data in mountainous areas include cloud and snow cover, topographic shadow, and inaccessibility. Some of the above problems were overcome by masking shading and other unclassifiable areas. The transparent rules-based hierarchal approach to classification used a combination of data sources to improve the results. The 1979 Landsat MSS image was more difficult to classify than the other Landsat images, as evidenced by the lower accuracy. This is mainly due to the comparative lower spectral resolution of the sensor. The lowest accuracy for the 2001 Landsat ETM+ was largely due to the high percentage snow and cloud cover. This study was restricted by the lack of independent reference data for accuracy assessment of the 1979, 1992 and 2001 classified images, and the assessment therefore had to be a compromise.
2.6. Land-Cover Change Detection
Post-classification comparison was adopted to detect changes in land-cover types. With sufficient accuracy for land-cover maps obtained, land-cover change becomes simply a comparison among maps to detect changes in both land-cover type and extent of changed areas [24]. A dynamic model was applied for change detection. Land-use change dynamic degree is a way to analyze increasing and decreasing trends of certain land-use type areas over certain time periods [25]. The formula is as follows:
where LC is the dynamic degree of certain land-use types for certain time periods; Ua and Ub are the area of certain land-use types at the beginning and the end of a time period. A positive (or negative) dynamic degree value means that there is an increasing (or decreasing) trend for a specific time period for an area of a certain land-use type. The change detection of the years 1979–1992, 1992–2001, 2001–2006 and 1979–2006 was processed using matrix function in ERDAS IMAGINE 9.0, respectively.
LC = (Ub − Ua)Ua−1 × 100%
2.7. Landscape Pattern Analysis
To quantify landscape structure, a pattern matrix was performed to reveal landscape patterns using the FRAGSTATS software. Among a large number of indices, six indices—patch density (PD), edge density (ED), largest patch index (LPI), core area percentage of landscape (C%LAND), mean shape index (MSI), and mean nearest neighbor distance (MNN)—were selected for their ability to reflect the changes of connectivity, fragmentation, and landscape structure [26], which met our research’s need for the landscape consequences of deforestation and land-cover changes (Table 1). The output statistics consisted of various class metrics and landscape metrics.
3. Results
3.1. Land-Cover Trends
The accuracy of land-use classification for the years 1979, 1992, 2001 and 2006 was verified by topographic maps and forest survey maps and overall accuracy was 88.3%, 92.2%, 80.5% and 90.3%, respectively. Figure 2 and Figure 3 show the land-use types and their proportions in four study periods. Closed canopy forest occupied 57.75% and 53.77% of the total land area in 1979 and 1992, respectively, but decreased sharply to 40.88% in 2001 and later recovered to 58.12% in 2006 (see Figure 2 and Figure 3. There was a slight increase in open canopy forest, but it did not match the loss in total forest area. An increase (14.9% to 23.9%) was found in agricultural land from 1992 to 2001 and this remained stable in 2006. The built-up land increased throughout the study period.
Table 1.
Landscape Pattern Metrics computed in FRAGSTATS.
| Index | Description (McGarigal and Marks 1995; de Barros Ferraz, 2009) | Unit |
|---|---|---|
| PD | Patch density—density of patches for each land-use (number of patches per unit of area), representing an aspect of fragmentation: dissection of patches. Higher values represent a more fragmented landscape | N/100ha |
| ED | Edge density—standardized edge to a per unit area basis that facilitates comparisons among landscapes of varying size | m/ha |
| LPI | Largest Patch Index—proportion of the landscape occupied by the largest patch of each land use, representing another aspect of fragmentation: patch dominance. Values range from 0 (no patches) to 100 (1 patch occupying the entire landscape) | % |
| C%LAND | Core area percentage of landscape—the core area in each patch type as a percentage of total landscape area | % |
| MSI | Mean shape index—the average patch shape, or the average perimeter-to-area ratio, for a particular patch type (class) or for all patches in the landscape | - |
| MNN | Mean nearest neighbor distance—mean distance between patches of same class (land-use), which could represent another aspect of fragmentation: connectivity between patches. Values range from 0 (adjacent patches) to infinity | m |
Figure 2.
Land-cover maps for the years 1979, 1992, 2001 and 2006.
Figure 2.
Land-cover maps for the years 1979, 1992, 2001 and 2006.

Figure 3.
Land-cover categories in the years 1979, 1992, 2001 and 2006.
Figure 3.
Land-cover categories in the years 1979, 1992, 2001 and 2006.

There is 57.62% of the total land changed classification from 1979 and 2006. (Table 2). Overall, results show large-scale deforestation and agriculture expansion, especially during 1992 and 2001. The closed canopy forest lost 20.72% during the study period (47.02 ha a−1), which is mainly due to the severe deforestation from 1992 to 2001 (23.97%, 142.88 ha a−1) with some reforestation from 2001 to 2006 (82.74 ha a−1). A continuous increase in open canopy forest can be seen from 1979 to 2001; this rapidly decreased after 2001 (84.16 ha a−1). On the other hand, farmland increased rapidly from 1992 to 2001 (99.86 ha a−1), but only slightly decreased afterwards, resulting in a total increase of 66.52% (36.08 ha a−1). These changes finally led to a net annual increase of 8.33% in total open forest land. Built-up land steadily increased as well (50.83%).
Table 2.
Land-cover change dynamics during 1979–2006.
| Class | 1979–1992 | 1992–2001 | 2001–2006 | 1979–2006 | ||||
|---|---|---|---|---|---|---|---|---|
| ha a−1 | % | ha a−1 | % | ha a−1 | % | ha a−1 | % | |
| Closed canopy forest | −30.57 | −6.89 | −142.88 | −23.97 | 82.74 | 10.14 | −47.02 | −20.72 |
| Open canopy forest | 20.48 | 10.14 | 36.19 | 11.26 | −84.16 | −13.07 | 6.34 | 8.33 |
| Agriculture land | 7.84 | 7.34 | 99.86 | 60.29 | −5.30 | −1.11 | 36.08 | 66.52 |
| Built-up land | 1.72 | 11.11 | 6.92 | 27.78 | 6.84 | 11.94 | 4.40 | 50.83 |
| Water | 0.52 | - | −1.33 | −0.8 | −0.14 | −12.12 | 0.19 | - |
Figure 4 illustrates the conversion between three dominant land-cover types. In the periods of 1979–1992 and 1992–2001, far more closed canopy forest converted to open canopy and more open canopy forest converted to agricultural land than the inverse transition, particularly during the second period. However, an inverse trend occurred during 2001 and 2006.
Figure 4.
Land-cover change dynamic during 1979 and 2006, the unit is ha; CF: closed canopy forest; OF: open canopy forest; AL: agricultural land.
Figure 4.
Land-cover change dynamic during 1979 and 2006, the unit is ha; CF: closed canopy forest; OF: open canopy forest; AL: agricultural land.

3.2. Spatial Analysis
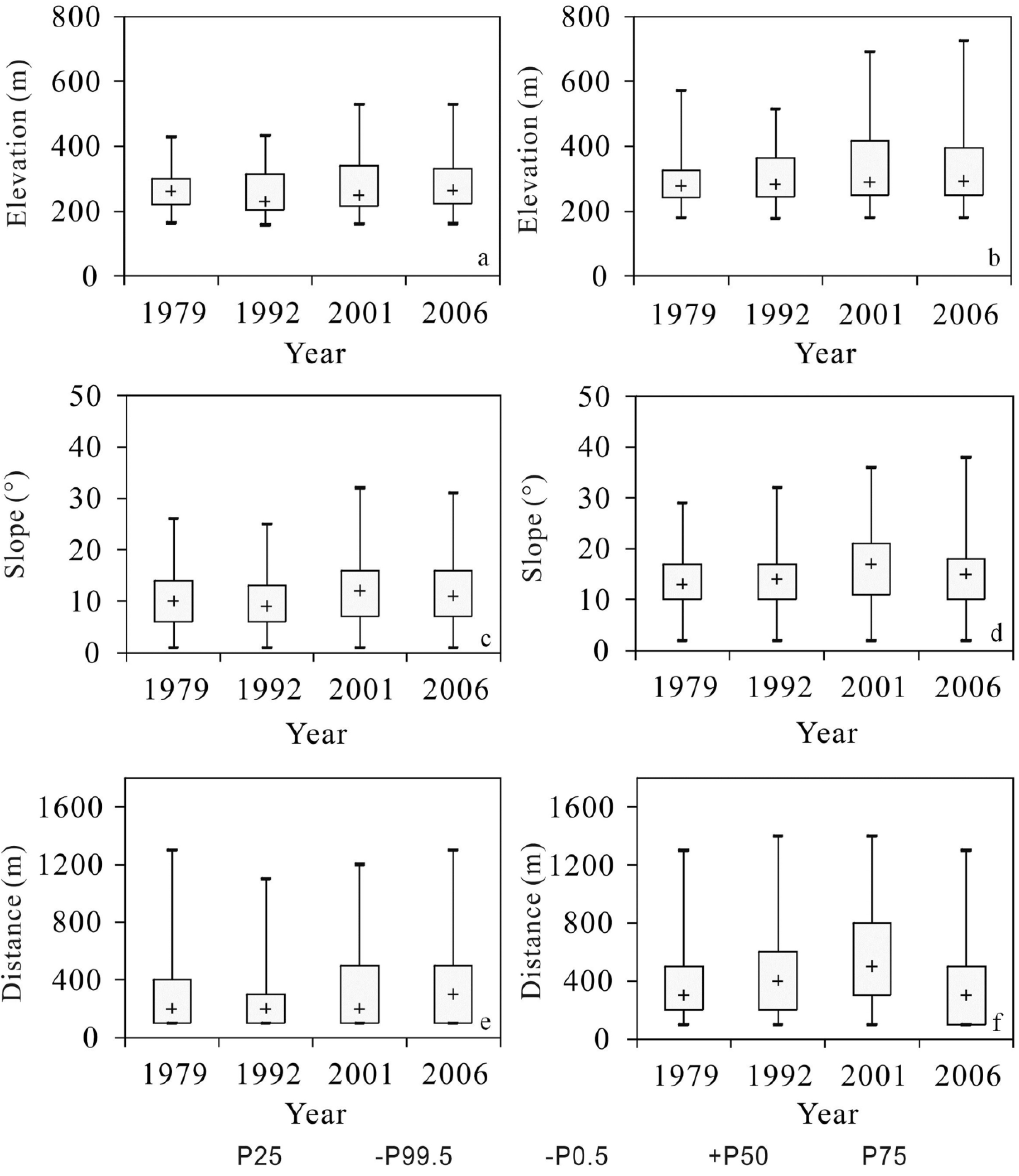
Expansion and agricultural encroachment into open canopy forest are two major reasons for overall forest loss. The changes of these two land uses following along elevation, slope and distance to roads show the spatial pattern of deforestation. Seventy-five percent of agricultural land was below the elevation of 299 m in 1979 and then increased continuously to 340 m in 2001, and decreased slightly in 2006 (Figure 5a). The elevation of 75% of the open canopy forest increased consistently from less than 326 m to 417 m from 1979 to 2001 and decreased to less than 395 m in 2006 (Figure 5b).
3.3. Landscape Structure Dynamics
The results of landscape pattern analysis show that the uplands have been severely fragmented during the entire period, especially in 2001 (Figure 6). The closed canopy forest has been highly fragmented by its increased patch density and larger LPI in 2006 compared to that of 1979 (Figure 6a,b). Patch density for the closed canopy forest, open canopy forest and agricultural land had a three-fold rise in 2001 compared with 1979 and again decreased in 2006 (Figure 6a). A continuous increase of patch density for built-up land occurred during the entire period. As the LPI shows, the occupied area of dominant patch of canopy forest and OF decreased from 1979 to 2001 and then increased afterwards (Figure 6b). LPI for agricultural land and built-up land shows the opposite trend with forest. From the LPI, we can see the expansion of a large patch in agricultural land and built-up land and shrinkage of forest from 1979 to 2001.
Figure 5.
Distribution of open canopy forest and agricultural land in terms of elevation, slope and distance to road in four study periods. Left side: agricultural land; Right side: open canopy forest.
Figure 5.
Distribution of open canopy forest and agricultural land in terms of elevation, slope and distance to road in four study periods. Left side: agricultural land; Right side: open canopy forest.

Figure 6.
Temporal dynamics for selected landscape metrics within Suan County.
Figure 6.
Temporal dynamics for selected landscape metrics within Suan County.

The closed canopy forest has been highly degraded by its increased edge density, and less core area percent to the landscape (% LAND) (Figure 6c,d). The edge density for closed canopy forest, open canopy forest and agricultural land doubled from 1979 to 2001, and then dropped in 2006 (Figure 6c). Built-up land had an edge density that increased continually. On the contrary, the core area of closed canopy forest declined considerably through fragmentation and patchiness caused by human impact during 1979–2001, before rising slightly in 2006. However, the core area was relatively stable for open canopy forest and built-up land, and increased slightly for agricultural land.
Both closed canopy forest and open forest have been seriously disturbed by their increasing MSI, and the shape of both closed canopy and open canopy forest patches turned to become more and more regular. The closed canopy forest had a consistent increase of MSI from 1979 to 2006. Open canopy forest and agricultural land had a decline in MSI in 2001 and an inverse trend in 2006 (Figure 6e). This indicates that the closed canopy forest was converted into open canopy forest and agricultural land by unplanned human encroachment, making the forest patches irregular.
Closed canopy forest has been seriously unconnected for their decreased MNN (Figure 6f), which indicated longer distances between closed canopy forest patches. The MNN among patches of closed canopy forest and open canopy forest and agricultural land decreased consistently from 1979 to 2001 and then reversed in 2006. During the entire period, the changes of distance in MNN for open canopy forest, agriculture land and built-up land are relatively stable compared with closed canopy forest (Figure 6f). The distance of built-up land patches have continuously and considerably decreased in distance (Figure 6f).
4. Discussion
4.1. Deforestation and Drivers
The closed canopy forests have experienced severe deforestation over the study period with the proportion of deforestation in the area (20.72%) exceeding that for the entire DPR Korea (16.83%) (Hayes 2009). The major land-use transitions were from closed canopy forest to open canopy forest and from open canopy forest to agricultural land. Deforestation thus initially began with selective logging for timber and fuelwood, and then later clearing for food crops. The spatial expansion of deforestation indicates that resource exploitation in lower elevation, gentle slope and closer distance to roads has been intensified as demand went up, forcing people to exploit other locations.
Timber and fuelwood consumption, as well as conversion of forest into farmland, are central causes of forest depletion [7]. The United Nations Framework Convention on Climate Change report shows that the overwhelming direct cause of deforestation in the world is agriculture [27]. In Suan County from 1979 to 2006, agricultural encroachment was also the essential driver of deforestation. Meanwhile, timber, fuelwood and mining pillar extraction were important drivers, too. Rural inhabitants meet their energy demands for cooking and heating by firewood, whereas fuelwood accounts for about a quarter of DPR Korea’s primary energy supply (Hayes 2009). Besides fuelwood, forest is also considered as an important source of timber for building houses and other constructions.
4.2. Landscape Fragmentation
Quantifying changes in landscape spatial structure under conditions of progressive deforestation and forest fragmentation is essential to facilitate future landscape management [28]. In this study, landscape metrics for closed canopy forest and open canopy forest show a typical fragmentation process with an increase in patch density and shape index and a decrease in dominance, patch size, and core area from 1979 to 2001. Armenteras et al. [29] state that progressive reduction in size of forest habitats is a key component of ecosystem fragmentation. The decline of large forest patches might have a profound effect on some plant and animal species [30] since much of the importance of the spatial pattern is related to edge effects. Forest edge effects alter microclimate and disturbance rates compared with patch interiors [31,32], and this can influence species population biology. It is essential that habitat patches have enough suitable core area to support those species that require it. Forest interior species might also be sensitive to patch shape because, for a given patch size, the more complex the shape, the larger the edge-to-interior ratio [26]. From our work in Suan County, the landscape fragmentation indicated by landscape metric results most likely can lead to biodiversity loss.
4.3. Forest Transition and Livelihood Development
DPR Korea is often seen as a destructive nation, a country undergoing environmental degradation [8]. Our study, however, shows that there has been clear evidence of a forest transition since 2001, where net deforestation in the1990s changed to net reforestation through afforestation and agroforestry. The increase in forest area is mainly through plantations undertaken by the Forestry Board, as well as agroforestry development through Sloping Land User Groups [15]. The pace and magnitude of this forest transition depends to a large extent, however, on local livelihood development and policies for self-sufficiency in food and rural energy. The enforcement of forest laws also plays an important role in forest stabilization. Securing usufruct rights for local people and sharing the benefits of forest products and tree crops are essential to achieving sustainable forestry management in DPR Korea. Since 2012, the government of DPR Korea has incorporated agroforestry as a national strategy for afforestation and livelihood development, which will likely further strengthen this forest transition in the near future.
5. Conclusions
This study quantified the extent and magnitude of deforestation, agriculture encroachment and associated landscape dynamics from 1979 to 2001 in Suan County, and provides some general insight into land-cover change in DPR Korea. During the study period, 20.72% of closed canopy forest was lost and agricultural lands expanded by 66.52%. A large area of closed canopy forest was converted to agricultural land through an intermediary transition from open canopy forest. This transition was most severe in 2001, at which time the annual conversion rate reached 142.88 ha a−1. Forest habitat was also fragmented and degraded, as indicated by the different landscape metrics. This likely affected the habitat of both plants and animals, leading to potential loss of biodiversity.
Fortunately, since 2001, the state’s forest restoration program has achieved some success in forest recovery. Integrating restoration of degraded mountains and improving local people’s livelihoods is a critical development strategy for DPR Korea. Agroforestry is a promising approach to meet both local needs in the short term and ecosystem restoration in the long term. Besides these considerations, biodiversity conservation should also be added into the government’s agenda. It is expected that these research results will be useful in establishing a baseline dataset for designing future land-use policies.
Acknowledgements
This research was supported by the Swiss Agency for Development and Cooperation (SDC) and World Agroforestry Centre (ICRAF) as part of the CGIAR Research Program VI: Forests, Trees and Agroforestry. Special thanks to Kim Gwang Ju, Jo Song Ryong, Kim Mun Song during the field work. We also acknowledge the insightful comments from two anonymous reviewers and the help from Deli Zhai and R. Edward Grumbine in the revision of the manuscript.
Conflicts of Interest
The authors declare no conflict of interest.
References
- Williams, M. Dark ages and dark areas: Global deforestation in the deep past. J. Hist. Geog. 2000, 26, 28–46. [Google Scholar] [CrossRef]
- Food and Agriculture Organization of the United Nations, Global Forest Resources Assessment 2010; Main report; Food and Agriculture Organization of the United Nations: Rome, Italy, 2010.
- Smith, J.; Obidzinski, K.; Subarudi; Suramenggala, I. Illegal logging, collusive corruption and fragmented governments in Kalimantan, Indonesia. Int. For. Rev. 2003, 5, 293–302. [Google Scholar]
- Morton, D.C.; DeFries, R.S.; Shimabukuro, Y.E.; Anderson, L.O.; Arai, E.; del Bon Espirito-Santo, F.; Freitas, R.; Morisette, J. Cropland expansion changes deforestation dynamics in the southern Brazilian Amazon. Proc. Natl. Acad. Sci. USA 2006, 103, 14637–14641. [Google Scholar] [CrossRef]
- Pfaff, A.; Pfaff, S.P. What drives deforestation in the Brazilian Amazon? Evidence from Satellite and socioeconomic data. J. Environ. Econ. Manag. 1999, 37, 26–43. [Google Scholar] [CrossRef]
- Helgesen, G.; Christensen, N.H. North Korea 2007—Assisting Development and Change; Nordic Institute of Asian Studies, Norwegian Ministry of Foreign Affairs: Oslo, Norway, 2007. [Google Scholar]
- United Nations Environment Programme, DPR Korea: State of the Environment 2003; United Nations Environment Programme, Regional Resource Centre for Asia and the Pacific (UNEP RRC.AP): Bangkok, Thailand, 2003.
- Hayes, P. Unbearable legacies: The politics of environmental degradation in North Korea. Asia Pac. J. 2009, 41, 1–9. [Google Scholar]
- Williams, J.H.; von Hippel, D.; Hayes, P. Fuel and Famine: Rural Energy Crisis in the Democratic People’s Republic of Korea; Policy Paper; Institute on Global Conflict and Cooperation, University of California: San Diego, CA, USA, March 2000. [Google Scholar]
- Food and Agriculture Organization of the United Nations, State of the World’s Forest 2007; Food and Agriculture Organization of the United Nations: Rome, Italy, 2007.
- Lambin, E.F.; Turner, B.L.; Geista, H.J.; Agbolac, S.B.; Angelsend, A.; Brucee, J.W.; Coomesf, O.T.; Dirzog, R.; Fischerh, G.; Folke, C. The causes of land-use and land-cover change: Moving beyond the myths. Glob. Environ. Chang. 2001, 11, 261–269. [Google Scholar] [CrossRef]
- Miles, L.; Kapos, V. Reducing greenhouse gas emissions from deforestation and forest degradation: Global land use implications. Science 2008, 320, 1454–1455. [Google Scholar] [CrossRef]
- Nepstad, D.C.; Verissimo, A.; Alencar, A.; Nobre, C.; Lima, E.; Lefebvre, P.; Schlesinger, P.; Potter, C.; Moutinho, P.; Mendoza, E.; et al. Large-scale impoverishment of Amazonian forests by logging and fire. Nature 1999, 398, 505–508. [Google Scholar] [CrossRef]
- Willson, A. Forest conversion and land use change in rural Northwest Yunnan, China: A fine-scale analysis in the context of the ‘big picture’. Mt. Res. Dev. 2006, 26, 227–236. [Google Scholar] [CrossRef]
- Xu, J.; van Noordwijk, M.; He, J.; Kim, K.-J.; Jo, R.-S.; Pak, K.-G.; Kye, U.-H.; Kim, J.-S.; Kim, K.-M.; Sim, Y.-N.; et al. Participatory agroforestry development for restoring degraded sloping land in DPR Korea. Agrofor. Syst. 2012, 85, 291–303. [Google Scholar] [CrossRef]
- Global Land Cover Facility. Available online: http://glcf.umiacs.umd.edu/ (accessed on 28, April 2009).
- Food and Agriculture Organization of the United Nations, Survey of Tropical of Forest Cover and Study of Change Processes. In Forestry Paper; Food and Agriculture Organization of the United Nations: Rome, Italy, 1996; p. 130.
- Anderson, J.R.; Hardy, E.E.; Roach, J.T.; Witmer, R.E. A Land Use and Land Cover Classification System for Use with Remote Sensor Data; U.S. Government Printing Office: Washington, DC, USA, 1976; p. 28.
- Yu, H.; Luedeling, E.; Xu, J. Winter and spring warming result in delayed spring phenology on the Tibetan Plateau. Proc. Natl. Acad. Sci. USA 2010, 107, 22151–22156. [Google Scholar] [CrossRef]
- Lu, D.; Mausel, P.; Brondizio, E.; Moran, E. Change detection techniques. Int. J. Remote Sens. 2004, 25, 2365–2407. [Google Scholar] [CrossRef]
- Olson, C.E. Elements of photographic interpretation common to several sensors. Photogramm. Eng. 1960, 26, 651–656. [Google Scholar]
- Wang, Y.Q.; Bonynge, G.; Nugranad, J.; Traber, M.; Ngusaru, A.; Tobey, J.; Hale, L.; Bowen, R.; Makota, V. Remote sensing of mangrove change along the Tanzania coast. Mar. Geod. 2003, 26, 35–48. [Google Scholar] [CrossRef]
- Edwards, G. Image Segmentation, Cartographic Information and Knowledge-Based Reasoning: Getting the Mixture Right. In Proceedings of the IGARSS’90 Symposium, University of Maryland, College Park, MD, USA, 20–24 May 1990.
- Mas, J.F. Monitoring land-cover changes: A comparison of change detection techniques. Int. J. Remote Sens. 1999, 20, 139–152. [Google Scholar] [CrossRef]
- Zou, Y.; Zhao, X.; Zhang, Z.; Zhou, Q. An analysis of dynamic changes of China’s grassland on the basis of RS and GIS. Remote Sens. Land. Resour. 2002, 1, 29–33. [Google Scholar]
- McGarigal, K.; Marks, B. FRAGSTATS: Spatial Pattern Analysis Program for Quantifying Landscape Structure; U.S. Department of Agriculture, Forest Service, Pacific Northwest Research Station: Portland, OR, USA, 1995; p. 122. [Google Scholar]
- United Nations Framework Convention on Climate Change, Investment and Financial Flows to Address Climate Change; United Nations Framework Convention on Climate Change: Bonn, Germany, 2007; p. 81.
- Fitzsimmons, M. Effects of deforestation and reforestation on landscape spatial structure in boreal Saskatchewan, Canada. For. Ecol. Manag. 2003, 174, 577–592. [Google Scholar] [CrossRef]
- Armenteras, D.; Gast, F.; Villareal, H. Andean forest fragmentation and the representativeness of protected natural areas in the eastern Andes, Colombia. Biol. Conserv. 2003, 113, 245–256. [Google Scholar] [CrossRef]
- Echeverria, C.; Coomes, D.; Salas, J.; Rey-benayas, J.M.; Lara, A.; Newton, A. Rapid deforestation and fragmentation of Chilean temperate forests. Biol. Conserv. 2006, 130, 481–494. [Google Scholar] [CrossRef]
- Gratkowski, H.J. Wind throw around staggered settings in old-growth Douglas fir. For. Sci. 1956, 2, 60–74. [Google Scholar]
- Ranney, J.; Bruner, M.; Levenson, J. The Importance of Edge in the Structure and Dynamics of Forest Islands. In Forest Islands Dynamics in Man-dominated Landscapes; Burgess, R., Sharpe, D., Eds.; Springer: New York, NY, USA, 1981; pp. 67–95. [Google Scholar]
© 2013 by the authors; licensee MDPI, Basel, Switzerland. This article is an open access article distributed under the terms and conditions of the Creative Commons Attribution license (http://creativecommons.org/licenses/by/3.0/).