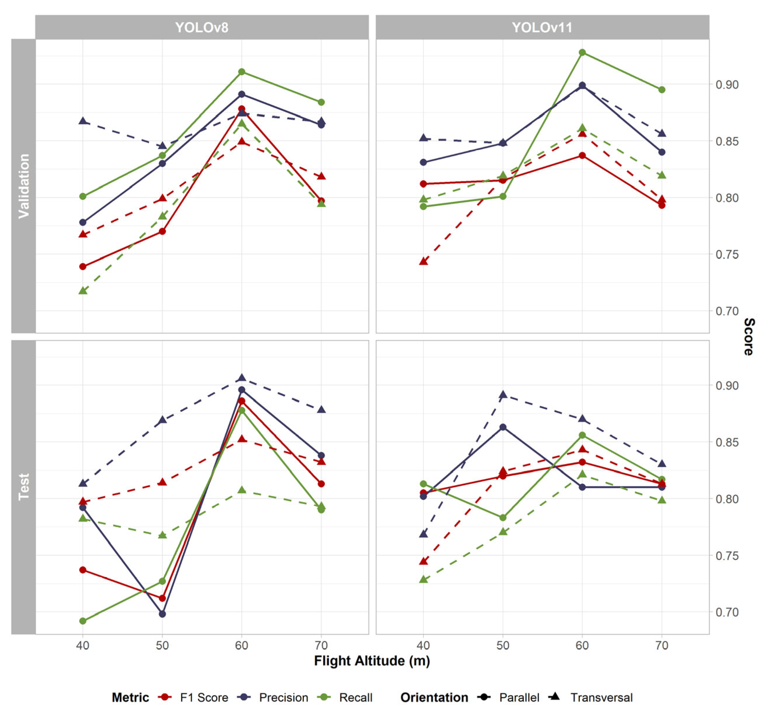
UAV Flight Orientation and Height Influence on Tree Crown Segmentation in Agroforestry Systems
Abstract
Share and Cite
Baselly-Villanueva, J.R.; Fernández-Sandoval, A.; Pinedo Freyre, S.F.; Salazar-Hinostroza, E.J.; Cárdenas-Rengifo, G.P.; Puerta, R.; Huanca Diaz, J.R.; Tuesta Cometivos, G.A.; Vallejos-Torres, G.; Casas, G.G.; et al. UAV Flight Orientation and Height Influence on Tree Crown Segmentation in Agroforestry Systems. Forests 2026, 17, 87. https://doi.org/10.3390/f17010087
Baselly-Villanueva JR, Fernández-Sandoval A, Pinedo Freyre SF, Salazar-Hinostroza EJ, Cárdenas-Rengifo GP, Puerta R, Huanca Diaz JR, Tuesta Cometivos GA, Vallejos-Torres G, Casas GG, et al. UAV Flight Orientation and Height Influence on Tree Crown Segmentation in Agroforestry Systems. Forests. 2026; 17(1):87. https://doi.org/10.3390/f17010087
Chicago/Turabian StyleBaselly-Villanueva, Juan Rodrigo, Andrés Fernández-Sandoval, Sergio Fernando Pinedo Freyre, Evelin Judith Salazar-Hinostroza, Gloria Patricia Cárdenas-Rengifo, Ronald Puerta, José Ricardo Huanca Diaz, Gino Anthony Tuesta Cometivos, Geomar Vallejos-Torres, Gianmarco Goycochea Casas, and et al. 2026. "UAV Flight Orientation and Height Influence on Tree Crown Segmentation in Agroforestry Systems" Forests 17, no. 1: 87. https://doi.org/10.3390/f17010087
APA StyleBaselly-Villanueva, J. R., Fernández-Sandoval, A., Pinedo Freyre, S. F., Salazar-Hinostroza, E. J., Cárdenas-Rengifo, G. P., Puerta, R., Huanca Diaz, J. R., Tuesta Cometivos, G. A., Vallejos-Torres, G., Casas, G. G., Álvarez-Álvarez, P., & Ismail, Z. H. (2026). UAV Flight Orientation and Height Influence on Tree Crown Segmentation in Agroforestry Systems. Forests, 17(1), 87. https://doi.org/10.3390/f17010087

