Properties of Oak Veneer Dyed with Supercritical CO2 and Vacuum-Pressurized Assisted Natural Dyes
Abstract
1. Introduction
2. Materials and Methods
2.1. Material
2.2. Methods
2.2.1. Supercritical Carbon Dioxide Pretreatment
2.2.2. SC-CO2 Pretreatment Oak-Veneer Porosity Testing
2.2.3. Conventional Water-Bath Staining Test
2.2.4. Supercritical Carbon Dioxide-Assisted Staining Test
- (1)
- Load the test material into the kettle, load it into the supercritical carbon dioxide extractor (HM120-50-025, Jiangsu Hai’an Hongmai Machinery Co., Ltd., Nantong, China), and wait for the temperature to rise to that required for the test.
- (2)
- Open the corresponding inlet and outlet valves, open the CO2 pump to start pressurizing the system at a frequency of 18.23, and adjust the pressure stabilizing valve to stabilize the pressure after the system is pressurized to the required test pressure.
- (3)
- Each time the tracer tank is filled with 30 mL of the configured dye solution, the tracer pump is turned on at a frequency of 18.13. A total of 120 mL of dye solution is injected four times, and the timing is started when the dye solution is injected.
- (4)
- After the end of the dyeing test, open the valve to exhaust gas in small amplitude, and when the pressure drops to 4 MPa, release the remaining gas and waste liquid, remove the material, rinse the surface with pure water, dry it in an electric blast oven at 103 ± 2 °C, and measure the chromaticity value of the test piece.
2.2.5. Vacuum-Pressurized Impregnation-Assisted Dyeing Test
- (1)
- Load the test material into the material barrel containing 120 mL of dyeing liquid between the material barrel and the kettle, with water as the temperature conduction medium; the water level should be higher than the dyeing liquid level in the material barrel to ensure that the dyed oak veneer can be completely immersed in the dyeing liquid. Lock the bolt of the pot lid to ensure safety during the test. To maximize the extraction of air inside the wood, open the dye-solution entry channel, set the pressure to −0.1 MPa, heat to the set temperature, and maintain for 30 min.
- (2)
- In order for the dye solution to quickly and evenly penetrate the wood surface and reach the internal vessels, fill the kettle with nitrogen gas pressurized to 2.5 MPa, start the timer, and run the magnetic stirrer for 5 min every 15 min during the test to prevent the dye collecting, caused by the wood remaining still.
- (3)
- At the end of the test, open the valve, release the pressure, remove the dyed veneer, use pure water to flush away the dye residue on the surface of the veneer, dry it in an electric blast oven at 103 ± 2 °C, and measure the chromaticity value of the test piece.
2.2.6. Measurement of Staining Rate
2.2.7. Determination and Analysis of Colorimetric Values
2.2.8. Analysis of Reflectance Spectra Using Different Staining Methods
2.2.9. Scanning Electron Microscope Micro-Morphology Analysis
2.2.10. Infrared Spectral Analysis
2.2.11. X-Ray Diffraction Analysis
2.2.12. Determination of Color Fastness to Washing
2.2.13. Determination of Color Fastness to Sunlight
3. Results and Discussion
3.1. Analysis of SC-CO2 Pretreatment Oak-Veneer Porosity Test Results
3.2. Analysis of the Results of Three Dyeing Methods to Determine the Dyeing Rate
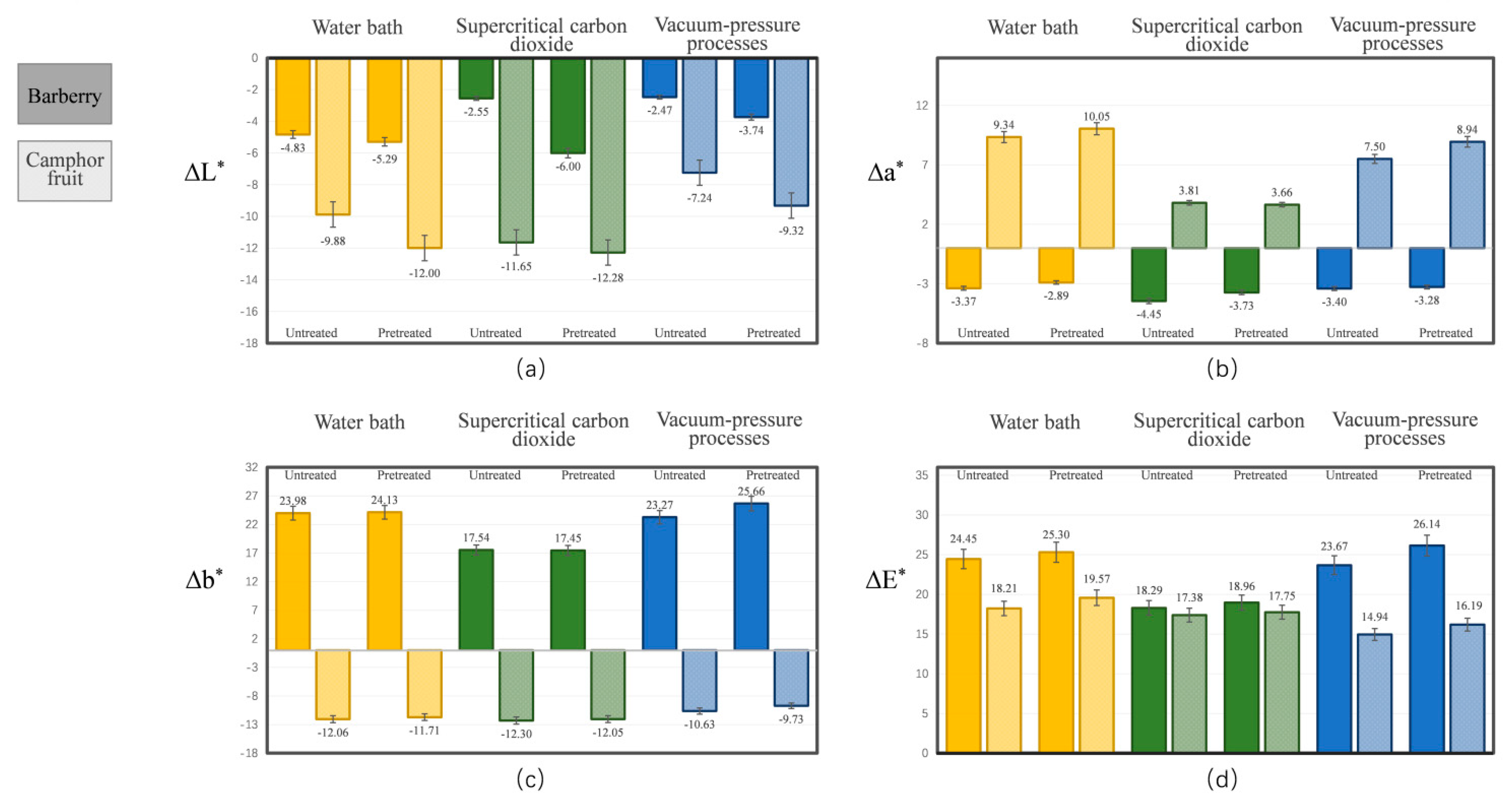
3.3. Analysis of Colorimetric Values of Stained Oak by Three Dyeing Methods
3.4. Reflectance Spectral Analysis of Dyed Oak on Three Dyeing Methods
3.5. Determination of Color Fastness to Washing of Oak Dyed by Three Dyeing Methods
3.6. Determination of Sunlight Color Fastness of Oak Dyed by Three Dyeing Methods
3.7. Microscopic Morphology Analysis of Stained Oak and Three Staining Methods with Scanning Electron Microscope
3.8. Infrared Spectral Analysis of Dyed Oak in Three Dyeing Methods
3.9. XRD Diffraction Analysis of Stained Oak by Three Staining Methods
4. Conclusions
Author Contributions
Funding
Data Availability Statement
Conflicts of Interest
References
- Fan, Z.; Sun, H.; Zhang, L.; Zhao, X.; Hu, Y. Lightweight, high-strength wood prepared by deep eutectic solvent treatment as a green structural material. ACS Sustain. Chem. Eng. 2022, 10, 9600–9611. [Google Scholar] [CrossRef]
- Luo, Z.; Zhang, Y. Construction of a Chitosan/ZnO-Based Light-Resistant Coating System to Protect Dyed Wood from Ultraviolet Irradiation via Layer-by-Layer Self-Assembly. Int. J. Mol. Sci. 2022, 23, 15735. [Google Scholar] [CrossRef]
- Zhao, W.; Rong, Y.; Xu, R.; Wu, Y. Study on Transparent Basswood Dyed with Reactive Dyes and Its Properties. ACS Omega 2024, 9, 5378–5385. [Google Scholar] [CrossRef]
- Pan, J.; Xia, Z.; Lu, J.; Zhang, H.; Liu, Y. Natural Dye Extracted from Pterocarpus Santalinus Wood Waste for Green Dyeing and Its Binding Mechanism with Yak Wool Fabrics. Ind. Crops Prod. 2024, 210, 118121. [Google Scholar] [CrossRef]
- Díez, B.H.; Torres, C.A.V.; Gaudêncio, S.P. Gaudêncio. Actinomycete-Derived Pigments: A Path Toward Sustainable Industrial Colorants. Mar. Drugs 2025, 23, 39. [Google Scholar] [CrossRef]
- Saha, P.D.; Sinha, K. Natural Dye from Bixa Seeds as a Potential Alternative to Synthetic Dyes for Use in Textile Industry. Desalin. Water Treat 2012, 40, 298–301. [Google Scholar] [CrossRef]
- Fahira, N.; Gareso, P.L.; Tahir, D. Exploring wood-based strategies for dye removal: A comprehensive literature review. Bioresour. Technol. Rep. 2025, 29, 102048. [Google Scholar] [CrossRef]
- Amellal, T.; Boukhalfa, N.; Meniai, A.H. Enhanced removal of Basic Brown1 dye from aqueous solutions by Sawdust activated carbon. equilibrium, thermodynamic and kinetics. Desalin. Water Treat. 2024, 317, 100057. [Google Scholar] [CrossRef]
- Schmidt-Przewozna, K.; Roj, E. Green Sustainable Textile Supercritical Dyeing Process Using CO2 Madder (Rubia tinctorum L.) Extract. J. Nat. Fibers 2023, 20, 2277836. [Google Scholar] [CrossRef]
- Guzel, E.T.; Karadag, R.; Alkan, R. Durability, Antimicrobial Activity and HPLC Analysis of Dyed Silk Fabrics Using Madder and Gall Oak. J. Nat. Fibers 2020, 17, 1654–1667. [Google Scholar] [CrossRef]
- Elsahida, K.; Fauzi, A.M.; Sailah, I.; Siregar, I.Z. Sustainable Production of Natural Textile Dyes Industry. In IOP Conference Series: Earth and Environmental Science, Proceedings of the International Conference on Innovation in Technology and Management for Sustainable Agroindustry (itamsa 2019), 9–10 October 2019; IoP Publishing Ltd.: Bristol, UK, 2020; Volume 472, p. 12036. [Google Scholar]
- Ji, X.; Zhao, Z.; Ren, Y.; Xu, F.; Liu, J. Dyeing Properties, Color Gamut, and Color Evaluation of Cotton Fabrics Dyed with Phellodendron Amurense Rupr. (Amur Cork Tree Bark). Molecules 2023, 28, 2220. [Google Scholar] [CrossRef]
- Qi, Y.; Liu, G.; Zhang, Z.; Zhou, Z. Optimization of Green Extraction Process of Cinnamomum camphora Fruit Dye and Its Performance by Response Surface Methodology. BioResources 2023, 18, 4916–4934. [Google Scholar] [CrossRef]
- Guo, S.; Geng, Z.; Zhang, W.; Liang, J.; Wang, C.; Deng, Z.; Du, S. The Chemical Composition of Essential Oils from Cinnamomum camphora and Their Insecticidal Activity against the Stored Product Pests. Int. J. Mol. Sci. 2016, 17, 1836. [Google Scholar] [CrossRef]
- Qi, Y.; Chen, Y.; Liu, G.; Shen, L. Study on microwave extraction of berberine coloring compound and extracts stability: Process optimization by Response Surface Method (RSM). Dye. Pigment. 2025, 237, 112609. [Google Scholar] [CrossRef]
- Yamagishi, K.; Ike, M.; Tanaka, A.; Tokuyasu, K. The RURAL (reciprocal upgrading for recycling of ash and lignocellulosics) process: A simple conversion of agricultural resources to strategic primary products for the rural bioeconomy. Bioresour. Technol. Rep. 2020, 12, 100574. [Google Scholar] [CrossRef] [PubMed]
- Vespignani, L.; Bonanni, M.; Marradi, M.; Pizzo, B.; Bianchini, R.; Goli, G. Naturalized Dyes: A New Opportunity for the Wood Coloring. Polymers 2023, 15, 3632. [Google Scholar] [CrossRef] [PubMed]
- Wang, X.; Yu, Z.; Zhang, Y.; Qi, C.; Chang, W. Evaluation of Ultrasonic-Assisted Dyeing Properties of Fast-Growing Poplar Wood Treated by Reactive Dye Based on Grey System Theory Analysis. J. Wood Sci. 2018, 64, 861–871. [Google Scholar] [CrossRef]
- Qi, Y.; Zhou, Z.; Xu, R.; Dong, Y.; Zhang, Z.; Liu, M. Effect of NaOH Pretreatment on Permeability and Surface Properties of Three Wood Species. ACS Omega 2023, 8, 40362–40374. [Google Scholar] [CrossRef]
- Khafri, H.Z.; Ghaedi, M.; Asfaram, A.; Safarpoor, M. Synthesis and Characterization of ZnS:Ni-NPs Loaded on AC Derived from Apple Tree Wood and Their Applicability for the Ultrasound Assisted Comparative Adsorption of Cationic Dyes Based on the Experimental Design. Ultrason. Sonochemistry 2017, 38, 371–380. [Google Scholar] [CrossRef]
- Qi, Y.; Zhou, Z.; Xu, R.; Dong, Y.; Liu, M.; Shen, L.; Han, J. Research on the Dyeing Properties of Chinese Fir Using Ultrasonic-Assisted Mulberry Pigment Dyeing. Forests 2023, 14, 1832. [Google Scholar] [CrossRef]
- Hu, W.; Yu, R. Mechanical and acoustic characteristics of four wood species subjected to bending load. Maderas. Cienc. Y Tecnol. 2023, 25, 39. [Google Scholar] [CrossRef]
- Hu, W.-G.; Wan, H. Comparative study on weathering durability properties of phenol formaldehyde resin modified sweetgum and southern pine specimens. Maderas. Cienc. Y Tecnol. 2022, 24, 1–14. [Google Scholar] [CrossRef]
- Zhang, J.; Yang, L.; Liu, H. Green and Efficient Processing of Wood with Supercritical CO2: A Review. Appl. Sci. 2021, 11, 3929. [Google Scholar] [CrossRef]
- Machado, N.D.; Mosquera, J.E.; Cejudo-Bastante, C.; Goñi, M.L.; Martini, R.E.; Gañán, N.A.; Mantell-Serrano, C.; Casas-Cardoso, L. Supercritical Impregnation of PETG with Olea europaea Leaf Extract: Influence of Operational Parameters on Expansion Degree, Antioxidant and Mechanical Properties. Polymers 2024, 16, 1567. [Google Scholar] [CrossRef]
- Zhang, Y.; Wen, H. The supercritical carbon dioxide extraction of berberine from Phellodendron amurense. For. Prod. Chem. Ind. 2010, 30, 103–106. [Google Scholar]
- Jaxel, J.; Fontaine, L.; Krenke, T.; Hansmann, C.; Liebner, F. Bio-inspired conformational lipophilization of wood for scCO2-assisted colouring with disperse dyes. J. Supercrit. Fluids 2019, 147, 116–125. [Google Scholar] [CrossRef]
- Jaxel, J.; Liebner, F.W.; Hansmann, C. Solvent-free dyeing of solid wood in water-saturated supercritical carbon dioxide. ACS Sustain. Chem. Eng. 2020, 8, 5446–5451. [Google Scholar] [CrossRef]
- Liu, H.; Xie, Y.; Li, Z.; Zhang, X. Comparative Study on Supercritical Carbon Dioxide Dewatering and Conventional Kiln Drying of Bamboo Strips. J. Supercrit. Fluids 2024, 204, 106121. [Google Scholar] [CrossRef]
- Tong, K.; Zhang, H.; Zhang, Y.; Liu, J.; Wu, Y. An Ultraviolet Radiation Protective Transparent Wood Film Retained Natural Wood Texture and Tactile Properties. Polymer 2024, 311, 127560. [Google Scholar] [CrossRef]
- Zheng, J.; Zhu, X.; Yang, L. Dewatering of Juglans mandshurica Wood Using Supercritical Carbon Dioxide. Materials 2023, 16, 5521. [Google Scholar] [CrossRef]
- Zheng, J.; Xu, X.; Yang, L. Dewatering Characteristics of Juglans mandshurica Wood Using Supercritical Carbon Dioxide: A Comparison with Conventional Drying. Dry. Technol. 2024, 42, 926–935. [Google Scholar] [CrossRef]
- Northeast Forestry University; Xu, H.; Reza Taghiyari, H.; Clauson, M.; Milota, M.R.; Morrell, J.J. Oregon State University Effect of Supercritical Carbon Dioxide Treatment on Gas Permeability of Paulownia fortunei Heartwood and Sapwood. Wood Fiber Sci. 2019, 51, 69–73. [Google Scholar] [CrossRef]
- Jaxel, J.; Gusenbauer, C.; Böhmdorfer, S.; Liebner, F.; Hansmann, C. Improving Single-Step scCO2 Dyeing of Wood by DMSO-Induced Micro-Swelling. J. Supercrit. Fluids 2020, 165, 104978. [Google Scholar] [CrossRef]
- Mousa, A.A.; Mohamed, F.A.; Abd El-Megied, S.A.; Youssef, Y.A. Dyeing of Synthetic Fiber-Based Wool Blended Fabrics in Supercritical Carbon Dioxide. Sci. Rep. 2024, 14, 30604. [Google Scholar] [CrossRef]
- Basilio, B.G.O.; Cholán, D.R.V.; Silva, M.E.T.; Socantaype, F.V.H.; Malpartida, J.L.S.; Flores, S.M.F.; Navarro, S.M.T.; López, E.V.C. Operation parameters of alpaca fiber dyeing with supercritical fluid. J. Supercrit. Fluids 2025, 216, 106432. [Google Scholar] [CrossRef]
- Sasaki, K.; Hirogaki, K.; Tabata, I.; Nakane, K. Supercritical fluid dyeing of polyester fabrics using polymeric nanofibers loaded with disperse dye. J. Supercrit. Fluids 2024, 211, 106289. [Google Scholar] [CrossRef]
- Tao, M.; Liu, X.; Xu, W. Effect of the Vacuum Impregnation Process on Water Absorption and Nail-Holding Power of Silica Sol-Modified Chinese Fir. Forests 2024, 15, 270. [Google Scholar] [CrossRef]
- Nguyen, N.; Ozarska, B.; Fergusson, M.; Vinden, P. Investigation into the Optimal Dyeing Method for Bluegum (Eucalyptus globulus) Veneer. BioResources 2018, 13, 6444–6464. [Google Scholar] [CrossRef]
- Li, L.; Chen, Z.; Lu, J.; Wei, M.; Huang, Y.; Jiang, P. Combustion Behavior and Thermal Degradation Properties of Wood Impregnated with Intumescent Biomass Flame Retardants: Phytic Acid, Hydrolyzed Collagen, and Glycerol. ACS Omega 2021, 6, 3921–3930. [Google Scholar] [CrossRef] [PubMed]
- Guan, P.; Li, P.; Wu, Y.; Li, X.; Yuan, G.; Zuo, Y. Comparative Study on the Properties of Inorganic Silicate and Organic Phenolic Prepolymer Modified Poplar Wood by Vacuum Cycle Pressurization. J. Renew. Mater. 2022, 10, 2451–2463. [Google Scholar] [CrossRef]
- Wang, D.; Ling, Q.; Nie, Y.; Zhang, Y.; Zhang, W.; Wang, H.; Sun, F. In-Situ Cross-Linking of Waterborne Epoxy Resin inside Wood for Enhancing Its Dimensional Stability, Thermal Stability, and Decay Resistance. ACS Appl. Polym. Mater. 2021, 3, 6265–6273. [Google Scholar] [CrossRef]
- Hao, X.; Li, M.; Huang, Y.; Sun, Y.; Zhang, K.; Guo, C. High-Strength, Dimensionally Stable, and Flame-Retardant Fast-Growing Poplar Prepared by Ammonium Polyphosphate-Waterborne Epoxy Impregnation. ACS Appl. Polym. Mater. 2022, 4, 1305–1313. [Google Scholar] [CrossRef]
- Taghiyari, H.R.; Bayani, S.; Militz, H.; Papadopoulos, A.N. Heat Treatment of Pine Wood: Possible Effect of Impregnation with Silver Nanosuspension. Forests 2020, 11, 466. [Google Scholar] [CrossRef]
- Sürdem, S.; Eserog, C.; Yörükog, A. Combustion and Decay Resistance Performance of Scots Pine Treated with Boron and Copper Based Wood Preservatives. Drv. Ind. 2022, 73, 397–404. [Google Scholar] [CrossRef]
- Rahayu, I.; Prihatini, E.; Ismail, R.; Darmawan, W.; Karlinasari, L.; Laksono, G.D. Fast-Growing Magnetic Wood Synthesis by an In-Situ Method. Polymers 2022, 14, 2137. [Google Scholar] [CrossRef]
- Wang, Y.; Wu, Y.; Yang, F.; Yang, L.; Wang, J.; Zhou, J.; Wang, J. A Highly Transparent Compressed Wood Prepared by Cell Wall Densification. Wood Sci. Technol. 2022, 56, 669–686. [Google Scholar] [CrossRef]
- Yang, T.; Zhang, S.; Mei, C.; Ma, E. Performance Improvement of Poplar Wood Based on the Synergies of Furfurylation and Polyethylene Glycol Impregnation. Holzforschung 2022, 76, 825–837. [Google Scholar] [CrossRef]
- Huang, B.; Wang, X.; Su, N.; Fang, C. High-performance engineered bamboo units with customizable radius based on pressure-drying technology: Multi-scale mechanical properties. Constr. Build. Mater. 2024, 457, 139472. [Google Scholar] [CrossRef]
- Wang, C.; Zhang, C.-Y.; Ding, K.-Q.; Jiang, M.-H. Immersion polishing post-treatment of PLA 3D printed formed parts on its surface and mechanical performance. BioResources 2023, 18, 7995–8006. [Google Scholar] [CrossRef]
- Zou, Y.; Pan, P.; Zhang, N.; Yan, X. Effect of Nano-Silver Solution Microcapsules Mixed with Rosin-Modified Shellac Microcapsules on the Performance of Water-Based Coating on Andoung Wood (Monopetalanthus spp.). Coatings 2024, 14, 286. [Google Scholar] [CrossRef]
- Zou, Y.-P.; Wang, X.-K.; Zhang, Y.-T.; Fei, B.-H.; Chen, H. Effect of SiO2 aerogel nanoparticles impregnation on properties of bamboo. J. For. Eng. 2022, 7, 46–51. [Google Scholar]
- Wang, Y.; Yan, X. Preparation of Toddalia asiatica (L.) Lam. extract Microcapsules and Their Effect on Optical, Mechanical and Antibacterial Performance of Waterborne Topcoat Paint Films. Coatings 2024, 14, 655. [Google Scholar] [CrossRef]
- Wang, Y.; Qi, Y.; Zhao, Z. Research on the Factors Influencing the Thermoplastic Rheological Properties of Wood. Forests 2025, 16, 118. [Google Scholar] [CrossRef]
- Lin, Q.; Ji, X.; Sun, S.; Zhao, Z. Breaking the Barrier of High Curing Temperature: Efficient Caramelization for Fructose-Based Adhesives in a One-Pot Process. ACS Sustain. Chem. Eng. 2024, 12, 14128–14140. [Google Scholar] [CrossRef]
- Xue, J.; Xu, W.; Zhou, J.; Mao, W.; Wu, S. Effects of high-temperature heat treatment modification by impregnation on physical and mechanical properties of poplar. Materials 2022, 15, 7334. [Google Scholar] [CrossRef] [PubMed]
- Qi, Y.; Sun, Y.; Zhou, Z.; Huang, Y.; Li, J.; Liu, G. Response Surface Optimization Based on Freeze-Thaw Cycle Pretreatment of Poplar Wood Dyeing Effect. Wood Res. 2023, 68, 293–305. [Google Scholar] [CrossRef]
- Dagher, R.; Stevanovic, T.; Landry, V. Wood Color Modification with Iron Salts Aqueous Solutions: Effect on Wood Grain Contrast and Surface Roughness. Holzforschung 2023, 77, 356–367. [Google Scholar] [CrossRef]
- Machová, D.; Baar, J.; Paschová, Z.; Pařil, P.; Křenková, J.; Kúdela, J. Color Changes and Accelerated Ageing in Oak Wood Treated with Ammonia Gas and Iron Nanoparticles. Eur. J. Wood Wood Prod. 2019, 77, 705–716. [Google Scholar] [CrossRef]
- Vjuginova, A.A.; Novik, A.A.; Vjuginov, S.N.; Ivanov, V.A. Ultrasonic Modification for Improvement of Wood-Surface Properties. Wood Mater. Sci. Eng. 2023, 18, 193–200. [Google Scholar] [CrossRef]
- Miklečić, J.; Kaša, A.; Jirouš-Rajković, V. Colour Changes of Modified Oak Wood in Indoor Environment. Eur. J. Wood Wood Prod. 2012, 70, 385–387. [Google Scholar] [CrossRef]
- Zhang, L.; Guan, Q.; Jiang, J.; Khan, M.S. Tannin Complexation with Metal Ions and Its Implication on Human Health, Environment and Industry: An Overview. Int. J. Biol. Macromol. 2023, 253, 127485. [Google Scholar] [CrossRef] [PubMed]
- Huang, Y.; Lin, Q.; Yu, Y.; Yu, W. Functionalization of Wood Fibers Based on Immobilization of Tannic Acid and in Situ Complexation of Fe (II) Ions. Appl. Surf. Sci. 2020, 510, 145436. [Google Scholar] [CrossRef]
- Zhu, Y.; Fu, P.; Qin, L.; Zhang, H.; Ren, H.; Zhai, H. Controllable Self-Assembly of Double Polyphenol-Metal-Network: A Universal Gravel-like Lignin Catalysts for Water Purification. Int. J. Biol. Macromol. 2024, 282, 137023. [Google Scholar] [CrossRef]
- Toprak-Cavdur, T.; Anis, P.; Bakir, M.; Sebatli-Saglam, A.; Cavdur, F. Dyeing Behavior of Enzyme and Chitosan-Modified Polyester and Estimation of Colorimetry Parameters Using Random Forests. Fibers Polym. 2023, 24, 221–241. [Google Scholar] [CrossRef]
- ISO 105-C06:2010; Textiles—Tests for Colour Fastness—Part C06: Colour Fastness to Domestic and Commercial Laundering. International Organization for Standardization: Geneva, Switzerland, 2010.
- ISO 105-B02:2014; Textiles—Tests for Colour Fastness—Part B02: Colour Fastness to Artificial Light: Xenon arc Fading Lamp Test. International Organization for Standardization: Geneva, Switzerland, 2014.
- Nuralin, L.; Guru, M.; Cete, S. Extraction and Quantification of Some Valuable Flavonoids from Pinecone of Pinus brutia via Soxhlet and Supercritical CO2 Extraction: A Comparison Study. Chem. Pap. 2021, 75, 5363–5373. [Google Scholar] [CrossRef] [PubMed]
- Zhuang, Z.; Liu, Y.; Wei, W.; Shi, J.; Jin, H. Preparation of Biochar Adsorption Material from Walnut Shell by Supercritical CO2 Pretreatment. Biochar 2024, 6, 11. [Google Scholar] [CrossRef]
- Yang, Q.; Qin, S.; Chen, J.; Ni, W.; Xu, Q. Supercritical Carbon Dioxide-Assisted Loosening Preparation of Dry Leather. J. Appl. Polym. Sci. 2009, 113, 4015–4022. [Google Scholar] [CrossRef]
- Ngoc, N.; Ozarska, B.; Fergusson, M.; Vinden, P. Dyeing of Eucalyptus globulus Veneers with Reactive Dye Using Sequential Vacuum and Varied Pressures. Bioresources 2018, 13, 8690–8708. [Google Scholar] [CrossRef]
- Hu, J.; Lu, W.; Li, L.; Guo, H. The Effect of Supercritical Carbon Dioxide Fluid Pretreatment on the Dyeing Performance of Wood Sheets. J. Northeast. For. Univ. 2023, 51, 125–130. [Google Scholar] [CrossRef]
- Jankowska, A.; Kwiatkowski, A. Effectiveness of European Oak Wood Staining with Iron (Ii) Sulphate during Natural Weathering. Maderas. Cienc. Y Tecnol. 2022, 24, 1–10. [Google Scholar] [CrossRef]
- Elmaaty, T.A.; Mousa, A.A.; Farouk, R.; Elsisi, H.; Sorour, H.; Youssef, Y.A.; Abbas, D. Organoclay-Assisted Disperse Dyeing of Polypropylene Nanocomposite Fabrics in Supercritical Carbon Dioxide. Sci. Rep. 2024, 14, 13570. [Google Scholar] [CrossRef]
- Wu, J.; Zhao, H.; Wang, M.; Zhi, W.; Xiong, X.; Zheng, L. A Novel Natural Dye Derivative for Natural Fabric Supercritical Carbon Dioxide Dyeing Technology. Fibers Polym. 2019, 20, 2376–2382. [Google Scholar] [CrossRef]
- Falcioni, R.; Antunes, W.C.; Demattê, J.A.M.; Nanni, M.R. Reflectance Spectroscopy for the Classification and Prediction of Pigments in Agronomic Crops. Plants 2023, 12, 2347. [Google Scholar] [CrossRef]
- Bonifazi, G.; Calienno, L.; Capobianco, G.; Lo Monaco, A.; Pelosi, C.; Picchio, R.; Serranti, S. Modeling Color and Chemical Changes on Normal and Red Heart Beech Wood by Reflectance Spectrophotometry, Fourier Transform Infrared Spectroscopy and Hyperspectral Imaging. Polym. Degrad. Stab. 2015, 113, 10–21. [Google Scholar] [CrossRef]
- Bonifazi, G.; Calienno, L.; Capobianco, G.; Lo Monaco, A.; Pelosi, C.; Picchio, R.; Serranti, S. A New Approach for the Modelling of Chestnut Wood Photo-Degradation Monitored by Different Spectroscopic Techniques. Environ. Sci. Pollut. Res. 2017, 24, 13874–13884. [Google Scholar] [CrossRef] [PubMed]
- Zhu, T.; Liu, S.; Ren, K.; Chen, J.; Lin, J.; Li, J. Colorability of Dyed Wood Veneer Using Natural Dye Extracted from Dalbergia cochinchinensis with Different Organic Solvents. BioResources 2018, 13, 7197–7211. [Google Scholar] [CrossRef]
- Zhu, T.; Ren, K.; Sheng, J.; Zhang, Q.; Li, J.; Lin, J. Natural Dye Extracted from Dalbergia cochinchinensis Residue with Water Fastness, Mildew Resistance and Permeability Properties for Wood Staining. Wood Sci. Technol. 2022, 56, 969–988. [Google Scholar] [CrossRef]














| Sample Name | Specific Surface Area (m2/g) | Pore Volume (cm3/g) | Average Pore Diameter (nm) | The Most Probable Aperture (nm) | ||
|---|---|---|---|---|---|---|
| Untreated Oak | 0.2153 | 38% increase | 0.0013 | 46% increase | 24.1523 | 33.3139 |
| SC-CO2 Treated Oak | 0.2980 | 0.0019 | 25.5034 | 31.2587 | ||
| Origin | Sum of Squares | DOF | Mean Square | F Value | Significance | ||
|---|---|---|---|---|---|---|---|
| Camphor fruit | ΔE* | Pretreatment | 8.858 | 1 | 8.858 | 6.087 | 0.020 |
| Dying method | 67.375 | 2 | 33.687 | 23.150 | 0.000 | ||
| Interaction | 1.768 | 2 | 0.884 | 0.607 | 0.551 | ||
| Internal | 43.655 | 30 | 1.455 | ||||
| Total | 121.655 | 35 | |||||
| ΔL* | Pretreatment | 3.416 | 1 | 3.416 | 2.301 | 0.140 | |
| Dying method | 19.237 | 2 | 9.618 | 6.479 | 0.005 | ||
| Interaction | 13.728 | 2 | 6.864 | 4.624 | 0.018 | ||
| Internal | 44.536 | 30 | 1.485 | ||||
| Total | 80.917 | 35 | |||||
| Δa* | Pretreatment | 3.947 | 1 | 3.947 | 5.941 | 0.021 | |
| Dying method | 231.198 | 2 | 115.599 | 174.011 | 0.000 | ||
| Interaction | 3.834 | 2 | 1.917 | 2.886 | 0.071 | ||
| Internal | 19.930 | 30 | 0.664 | ||||
| Total | 258.908 | 35 | |||||
| Δb* | Pretreatment | 2.300 | 1 | 2.300 | 1.581 | 0.218 | |
| Dying method | 28.037 | 2 | 14.019 | 9.636 | 0.001 | ||
| Interaction | 0.740 | 2 | 0.370 | 0.254 | 0.777 | ||
| Internal | 43.644 | 30 | 1.455 | ||||
| total | 74.721 | 35 | |||||
| Phellodendron Bark | ΔE* | Pretreatment | 15.991 | 1 | 15.991 | 5.571 | 0.025 |
| Dying method | 313.926 | 2 | 156.963 | 54.680 | 0.000 | ||
| Interaction | 5.888 | 2 | 2.944 | 1.025 | 0.371 | ||
| Internal | 86.117 | 30 | 2.871 | ||||
| Total | 421.922 | 35 | |||||
| ΔL* | Pretreatment | 30.360 | 1 | 30.360 | 13.337 | 0.001 | |
| Dying method | 20.999 | 2 | 10.500 | 4.612 | 0.018 | ||
| Interaction | 12.096 | 2 | 6.048 | 2.657 | 0.087 | ||
| Internal | 68.292 | 30 | 2.276 | ||||
| Total | 131.747 | 35 | |||||
| Δa* | Pretreatment | 1.762 | 1 | 1.762 | 9.259 | 0.005 | |
| Dying method | 6.056 | 2 | 3.028 | 15.916 | 0.000 | ||
| Interaction | 0.539 | 2 | 0.269 | 1.416 | 0.258 | ||
| Internal | 5.707 | 30 | 0.190 | ||||
| Total | 14.063 | 35 | |||||
| Δb* | Pretreatment | 9.714 | 1 | 9.714 | 3.232 | 0.082 | |
| Dying method | 369.833 | 2 | 184.916 | 61.524 | 0.000 | ||
| Interaction | 9.427 | 2 | 4.713 | 1.568 | 0.225 | ||
| Internal | 90.168 | 30 | 3.006 | ||||
| Total | 479.141 | 35 | |||||
| Dye | Method Comparison (A vs. B) | % Increase |
|---|---|---|
| Camphor Fruits | SC-CO2 vs. water bath | 0.088 |
| vacuum pressure vs. water bath | −0.010 | |
| vacuum pressure vs. SC-CO2 | −0.089 | |
| Phellodendron Bark | SC-CO2 vs. water bath | 0.116 |
| vacuum pressure vs. water bath | 0.060 | |
| vacuum pressure vs. SC-CO2 | −0.050 |
| Dyes | Pretreatment | Dyeing Method | ΔE* | Gray Scale |
|---|---|---|---|---|
| Phellodendron Amurense | Untreated | Water Bath | 10.65 | 2.0 |
| Supercritical Carbon Dioxide | 5 | 3.0 | ||
| Vacuum-Pressure Processes | 8.63 | 2.0 | ||
| SC-CO2 Pretreated | Water Bath | 8.51 | 2.0 | |
| Supercritical Carbon Dioxide | 3.15 | 4.0 | ||
| Vacuum-Pressure Processes | 6.65 | 2–3 | ||
| Camphor Fruits | Untreated | Water Bath | 12.13 | 1–2 |
| Supercritical Carbon Dioxide | 9.03 | 2.0 | ||
| Vacuum-Pressure Processes | 9.72 | 2.0 | ||
| SC-CO2 Pretreated | Water Bath | 10.33 | 2.0 | |
| Supercritical Carbon Dioxide | 8.6 | 2.0 | ||
| Vacuum-Pressure Processes | 7.61 | 2–3 |
| Dyes | Pretreatment | Dyeing Method | ΔE* | Gray Scale |
|---|---|---|---|---|
| Phellodendron Amurense | Untreated | Water Bath | 10.77 | 2.0 |
| Supercritical Carbon Dioxide | 9.76 | 2.0 | ||
| Vacuum-Pressure Processes | 11.5 | 1–2 | ||
| SC-CO2 Pretreated | Water Bath | 8.97 | 2.0 | |
| Supercritical Carbon Dioxide | 8.13 | 2.0 | ||
| Vacuum-Pressure Processes | 9.58 | 2.0 | ||
| Camphor Fruits | Untreated | Water Bath | 10.23 | 2.0 |
| Supercritical Carbon Dioxide | 5.08 | 3.0 | ||
| Vacuum-Pressure Processes | 4.4 | 3–4 | ||
| SC-CO2 Pretreated | Water Bath | 5.21 | 3.0 | |
| Supercritical Carbon Dioxide | 3.27 | 3–4 | ||
| Vacuum-Pressure Processes | 4.25 | 3–4 |
Disclaimer/Publisher’s Note: The statements, opinions and data contained in all publications are solely those of the individual author(s) and contributor(s) and not of MDPI and/or the editor(s). MDPI and/or the editor(s) disclaim responsibility for any injury to people or property resulting from any ideas, methods, instructions or products referred to in the content. |
© 2025 by the authors. Licensee MDPI, Basel, Switzerland. This article is an open access article distributed under the terms and conditions of the Creative Commons Attribution (CC BY) license (https://creativecommons.org/licenses/by/4.0/).
Share and Cite
Liu, Y.; Qi, Y.; Chen, Y.; Zhou, Z.; Cao, C.; Zu, Q.; Han, J. Properties of Oak Veneer Dyed with Supercritical CO2 and Vacuum-Pressurized Assisted Natural Dyes. Forests 2025, 16, 1428. https://doi.org/10.3390/f16091428
Liu Y, Qi Y, Chen Y, Zhou Z, Cao C, Zu Q, Han J. Properties of Oak Veneer Dyed with Supercritical CO2 and Vacuum-Pressurized Assisted Natural Dyes. Forests. 2025; 16(9):1428. https://doi.org/10.3390/f16091428
Chicago/Turabian StyleLiu, Yue, Yiqing Qi, Yining Chen, Ziwen Zhou, Chanchan Cao, Qiao Zu, and Jianlin Han. 2025. "Properties of Oak Veneer Dyed with Supercritical CO2 and Vacuum-Pressurized Assisted Natural Dyes" Forests 16, no. 9: 1428. https://doi.org/10.3390/f16091428
APA StyleLiu, Y., Qi, Y., Chen, Y., Zhou, Z., Cao, C., Zu, Q., & Han, J. (2025). Properties of Oak Veneer Dyed with Supercritical CO2 and Vacuum-Pressurized Assisted Natural Dyes. Forests, 16(9), 1428. https://doi.org/10.3390/f16091428

