Soil Structure Characteristics in Three Mountainous Regions in Bulgaria Under Different Land Uses
Abstract
1. Introduction
2. Materials and Methods
2.1. Site Description
2.2. Laboratory Analyses
3. Results and Discussion
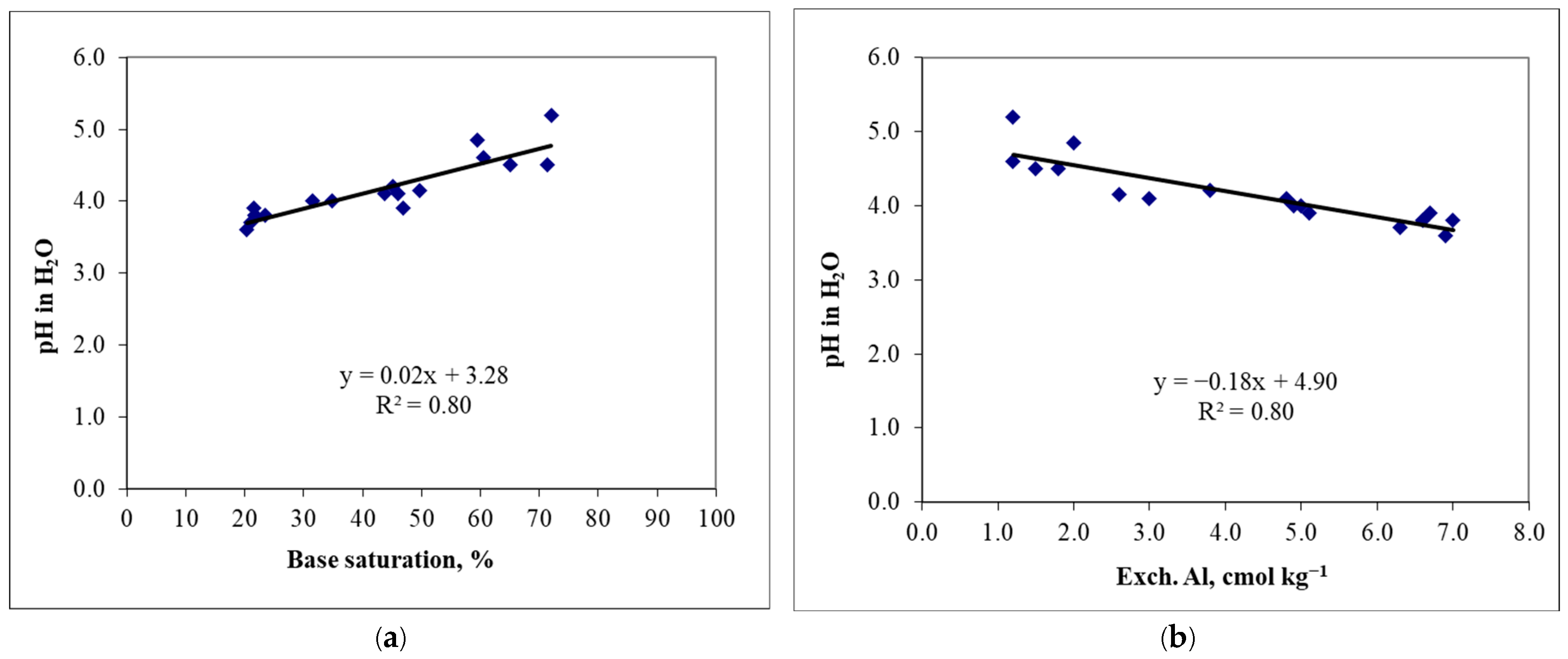
3.1. Characteristics of Solid Phase
3.2. Soil Microbiological Characteristics
3.3. Soil Aggregation
3.4. Characteristics of Porous System
4. Conclusions
Author Contributions
Funding
Data Availability Statement
Conflicts of Interest
Abbreviations
| H | Herbaceous |
| D | Deciduous |
| M | Mixed coniferous and deciduous forest |
| SP | Scots Pine |
| NS | Norway Spruce |
| WSAs | Water-stable soil aggregates |
| DSAs | Dry-sieved aggregates |
| MWD | Mean weight diameter |
| PAWC | Plant available water capacity |
| AC | Air capacity |
| RFC | Relative field capacity |
References
- Horn, R.; Taubner, H.; Wuttke, M.; Baumgartl, T. Soil Physical Properties Related to Soil Structure. Soil Tillage Res. 1994, 30, 187–216. [Google Scholar] [CrossRef]
- Lin, H.; Bouma, J.; Wilding, L.P.; Richardson, J.L.; Kutílek, M.; Nielsen, D.R. Advances in Hydropedology. In Advances in Agronomy; Academic Press: Cambridge, MA, USA, 2005; Volume 85, pp. 1–89. ISBN 978-0-12-000783-7. [Google Scholar]
- Letey, J. The Study of Soil Structure—Science or Art. Soil Res. 1991, 29, 699–707. [Google Scholar] [CrossRef]
- Usowicz, B.; Lipiec, J.; Usowicz, J.B.; Marczewski, W. Effects of Aggregate Size on Soil Thermal Conductivity: Comparison of Measured and Model-Predicted Data. Int. J. Heat Mass Transf. 2013, 57, 536–541. [Google Scholar] [CrossRef]
- Rabot, E.; Wiesmeier, M.; Schlüter, S.; Vogel, H.-J. Soil Structure as an Indicator of Soil Functions: A Review. Geoderma 2018, 314, 122–137. [Google Scholar] [CrossRef]
- Tecon, R.; Or, D. Biophysical Processes Supporting the Diversity of Microbial Life in Soil. FEMS Microbiol. Rev. 2017, 41, 599–623. [Google Scholar] [CrossRef]
- Six, J.; Elliott, E.T.; Paustian, K. Soil Structure and Soil Organic Matter II. A Normalized Stability Index and the Effect of Mineralogy. Soil Sci. Soc. Am. J. 2000, 64, 1042–1049. [Google Scholar] [CrossRef]
- Reynolds, W.D.; Drury, C.F.; Tan, C.S.; Fox, C.A.; Yang, X.M. Use of Indicators and Pore Volume-Function Characteristics to Quantify Soil Physical Quality. Geoderma 2009, 152, 252–263. [Google Scholar] [CrossRef]
- Yudina, A.; Kuzyakov, Y. Dual Nature of Soil Structure: The Unity of Aggregates and Pores. Geoderma 2023, 434, 116478. [Google Scholar] [CrossRef]
- Six, J.; Bossuyt, H.; Degryze, S.; Denef, K. A History of Research on the Link between (Micro)Aggregates, Soil Biota, and Soil Organic Matter Dynamics. Soil Tillage Res. 2004, 79, 7–31. [Google Scholar] [CrossRef]
- Regelink, I.C.; Stoof, C.R.; Rousseva, S.; Weng, L.; Lair, G.J.; Kram, P.; Nikolaidis, N.P.; Kercheva, M.; Banwart, S.; Comans, R.N.J. Linkages between Aggregate Formation, Porosity and Soil Chemical Properties. Geoderma 2015, 247–248, 24–37. [Google Scholar] [CrossRef]
- Hajnos, M.; Lipiec, J.; Świeboda, R.; Sokołowska, Z.; Witkowska-Walczak, B. Complete Characterization of Pore Size Distribution of Tilled and Orchard Soil Using Water Retention Curve, Mercury Porosimetry, Nitrogen Adsorption, and Water Desorption Methods. Geoderma 2006, 135, 307–314. [Google Scholar] [CrossRef]
- Lipiec, J.; Hajnos, M.; Świeboda, R. Estimating Effects of Compaction on Pore Size Distribution of Soil Aggregates by Mercury Porosimeter. Geoderma 2012, 179–180, 20–27. [Google Scholar] [CrossRef]
- Lipiec, J.; Walczak, R.; Witkowska-Walczak, B.; Nosalewicz, A.; Słowińska-Jurkiewicz, A.; Sławiński, C. The Effect of Aggregate Size on Water Retention and Pore Structure of Two Silt Loam Soils of Different Genesis. Soil Tillage Res. 2007, 97, 239–246. [Google Scholar] [CrossRef]
- Jensen, J.L.; Schjønning, P.; Watts, C.W.; Christensen, B.T.; Munkholm, L.J. Short-Term Changes in Soil Pore Size Distribution: Impact of Land Use. Soil Tillage Res. 2020, 199, 104597. [Google Scholar] [CrossRef]
- Gajić, B. Physical Properties and Organic Matter of Fluvisols under Forest, Grassland, and 100years of Conventional Tillage. Geoderma 2013, 200–201, 114–119. [Google Scholar] [CrossRef]
- Dilkova, R. Structure, Physical Properties and Aeration of Soils in Bulgaria; PSSE: Sofia, Bulgaria, 2014; ISBN 978-954-749-105-2. [Google Scholar]
- Schweizer, S.A.; Fischer, H.; Häring, V.; Stahr, K. Soil Structure Breakdown Following Land Use Change from Forest to Maize in Northwest Vietnam. Soil Tillage Res. 2017, 166, 10–17. [Google Scholar] [CrossRef]
- Heiskanen, J.; Mäkitalo, K. Soil Water-Retention Characteristics of Scots Pine and Norway Spruce Forest Sites in Finnish Lapland. For. Ecol. Manag. 2002, 162, 137–152. [Google Scholar] [CrossRef]
- Han, L.; Wang, C.; Meng, J.; He, Y. Spatial Variability in Soil Water-Physical Properties in Southern Subtropical Forests of China. Forests 2024, 15, 1590. [Google Scholar] [CrossRef]
- Kercheva, M.; Dimitrov, E.; Doneva, K.; Velizarova, E.; Glushkova, M.; Shishkov, T. Soil Water Retention Properties of Forest Soils under Different Land Use. Silva Balc. 2019, 20, 73–85. [Google Scholar]
- Rousseva, S.; Kercheva, M.; Shishkov, T.; Lair, G.J.; Nikolaidis, N.P.; Moraetis, D.; Krám, P.; Bernasconi, S.M.; Blum, W.E.H.; Menon, M.; et al. Soil Water Characteristics of European SoilTrEC Critical Zone Observatories. In Advances in Agronomy; Academic Press: Cambridge, MA, USA, 2017; Volume 142, pp. 29–72. ISBN 978-0-12-812222-8. [Google Scholar]
- Suzuki, L.E.A.S.; Reinert, D.J.; Secco, D.; Fenner, P.T.; Reichert, J.M. Soil Structure under Forest and Pasture Land-Uses Affecting Compressive Behavior and Air Permeability in a Subtropical Soil. Soil Syst. 2022, 6, 98. [Google Scholar] [CrossRef]
- Marinov, I. Climate characteristics of Ihtimanska Sredna Gora. For. Sci. 2004, 40, 73–87. [Google Scholar]
- Stoyanova, N.; Dimitrov, D.; Miteva, S. Climate Characteristic of Coniferous Belt Dominated by Picea abies (L.) Karst. in Northern Rila. For. Sci. 2009, 46, 89–99. [Google Scholar]
- Marinov, I. Climatic Conditions and Raifall Erosivity in Maleshevska Mountain. For. Sci. 2009, 46, 73–87. [Google Scholar]
- IUSS Working Group WRB. World Reference Base for Soil Resources 2022: International Soil Classification System for Naming Soils and Creating Legends for Soil Maps, 4th ed.; International Union of Soil Sciences: Vienna, Austria, 2022; ISBN 979-8-9862451-1-9. [Google Scholar]
- ISO 11277-2020; Soil Quality—Determination of Particle Size Distribution in Mineral Soil Material—Method by Sieving and Sedimentation. ISO: Geneva, Switzerland, 2020.
- Kononova, M.M. Soil Organic Matter: Its Nature, Its Role in Soil Formation and in Soil Fertility, 2nd ed.; Pergamon Press: Oxford, UK, 2013; ISBN 978-1-4831-8568-2. [Google Scholar]
- Filcheva, E.G.; Tsadilas, C.D. Influence of Clinoptilolite and Compost on Soil Properties. Commun. Soil Sci. Plant Anal. 2002, 33, 595–607. [Google Scholar] [CrossRef]
- Ganev, S.; Arsova, A. Methods for Determining the Strongly Acid and Weakly Acid Cation Exchange in Soil. Soil Sci. Agrochem. 1980, 15, 22–33. [Google Scholar]
- Grudeva, V.; Moncheva, P.; Naumova, S.; Gocheva, B.; Nedeva, T.; Antonova-Nikolova, S. Manual for Microbiology; St. Kliment Ohridski University Press: Sofia, Bulgaria, 2006; ISBN 954-07-2318-3. [Google Scholar]
- Alef, K. Chapter 7—Enzyme Activities. In Methods in Applied Soil Microbiology and Biochemistry; Alef, K., Nannipieri, P., Eds.; Academic Press: New York, NY, USA, 1995; pp. 311–373. ISBN 978-0-12-513840-6. [Google Scholar]
- Alef, K. Soil Respiration. In Methods in Applied Soil Microbiology and Biochemistry; Alef, K., Nannipieri, P., Eds.; Academic Press: New York, NY, USA, 1995; pp. 214–219. ISBN 978-0-12-513840-6. [Google Scholar]
- Revut, I.B. Methods of Soil Structure Investigations; Kolos Press: Moscow, Russia, 1969. [Google Scholar]
- Greenland, D.J. Soil Management and Soil Degradation. Eur. J. Soil Sci. 1981, 32, 301–322. [Google Scholar] [CrossRef]
- Jensen, J.L.; Schjønning, P.; Watts, C.W.; Christensen, B.T.; Peltre, C.; Munkholm, L.J. Relating Soil C and Organic Matter Fractions to Soil Structural Stability. Geoderma 2019, 337, 834–843. [Google Scholar] [CrossRef]
- Dexter, A.R.; Richard, G.; Arrouays, D.; Czyż, E.A.; Jolivet, C.; Duval, O. Complexed Organic Matter Controls Soil Physical Properties. Geoderma 2008, 144, 620–627. [Google Scholar] [CrossRef]
- Guillaume, T.; Makowski, D.; Libohova, Z.; Bragazza, L.; Sallaku, F.; Sinaj, S. Soil Organic Carbon Saturation in Cropland-Grassland Systems: Storage Potential and Soil Quality. Geoderma 2022, 406, 115529. [Google Scholar] [CrossRef]
- Juhos, K.; Madarász, B.; Kotroczó, Z.; Béni, Á.; Makádi, M.; Fekete, I. Carbon Sequestration of Forest Soils Is Reflected by Changes in Physicochemical Soil Indicators—A Comprehensive Discussion of a Long-Term Experiment on a Detritus Manipulation. Geoderma 2021, 385, 114918. [Google Scholar] [CrossRef]
- Ganev, S. Modern Soil Chemistry; “Nauka & Ikustvo” Press: Sofia, Bulgaria, 1990. [Google Scholar]
- Filcheva, E.; Hristova, M.; Haigh, M.; Malcheva, B.; Noustorova, M. Soil Organic Matter and Microbiological Development of Technosols in the South Wales Coalfield. CATENA 2021, 201, 105203. [Google Scholar] [CrossRef]
- Perfanova, J.; Nedyalkova, K.; Donkova, R. Microbiological Properties of Soils from Mountainous Areas. JMAB 2020, 23, 292–304. [Google Scholar]
- Doneva, K.; Kercheva, M.; Dimitrov, E.; Velizarova, E.; Glushkova, M. Thermal Properties of Cambisols in Mountain Regions under Different Vegetation Covers. Soil Water Res. 2022, 17, 113–122. [Google Scholar] [CrossRef]
- Niu, X.; Liu, X.; Li, T.; Lin, J.; Qin, S.; Jing, F.; Zhang, X.; Zhang, J.; Jiang, J. Long-Term Planting of Taxodium Hybrid ‘Zhongshanshan’ Can Effectively Enhance the Soil Aggregate Stability in Saline–Alkali Coastal Areas. Forests 2024, 15, 1376. [Google Scholar] [CrossRef]









| Place | Soil Type | Land Use | Abbreviation |
|---|---|---|---|
| Gabra, Lozen Mountain (23.63 E; 42.53 N; 916–937 m) | Eutric Leptic Cambisols—Ochric | Herbaceous plantation (1) | H |
| Dystric Cambisols | Deciduous forest (1) | D | |
| Dystric Cambisols | Mixed coniferous and deciduous forest (1) | M | |
| Govedartsi, Rila Mountains (23.46 E; 42.22 N; 1503–1579 m) | Dystric Cambisols—Humic | Herbaceous plantation (1) | H |
| Dystric Cambisols—Humic | Scots pine forest (1) | SP | |
| Dystric Cambisols—Humic | Norway spruce forest (1) | NS | |
| Igralishte, Maleshevska Mountains (23.13 E; 41.57 N; 848–869 m) | Eutric Leptic Cambisols—Ochric | Herbaceous plantation (2) | H |
| Eutric Cambisols—Ochric | Deciduous forest (1) | D | |
| Eutric Cambisols—Ochric | Scots pine forest (2) | SP |
| Soil Characteristics | Gabra | Govedartsi | Igralishte | ||||||
|---|---|---|---|---|---|---|---|---|---|
| H | D | M | H | SP | NS | H | D | SP | |
| Clay <2 μm, % | 21 | 20 | 14 | 18 | 19 | 20 | 7 | 2 | 4 |
| Silt 2–63 μm, % | 47 | 29 | 32 | 32 | 37 | 32 | 21 | 25 | 14 |
| Sand 63–2000 μm, % | 32 | 52 | 54 | 51 | 43 | 48 | 72 | 73 | 82 |
| Texture class | L | SL | SL | L | L | L | LS | LS | LS |
| Gravel, % | 11 | 19 | 22 | 26 | 13 | 6 | 11 | 6 | 4 |
| SOC, % | 1.51 | 2.73 | 1.44 | 3.3 | 4.2 | 6.8 | 2.9 | 2.4 | 0.3 |
| SOC:Clay | 0.07 | 0.14 | 0.10 | 0.18 | 0.22 | 0.34 | 0.41 | 1.20 | 0.08 |
| SI (eq. 5) | 4 | 10 | 5 | 11 | 13 | 23 | 18 | 15 | 3 |
| W5.6 (75%RH, pF 5.6) | 6.2 | 2.6 | 2.3 | 3.8 | 5.2 | 6.8 | 2.6 | 2.6 | 3.2 |
| Exchangeable cations and CEC | |||||||||
| CEC, cmol kg−1 | 37.5 | 20.0 | 23.0 | 29.0 | 28.4 | 29.0 | 18.5 | 21.2 | 24.5 |
| CECSA, cmol kg−1 | 28.5 | 11.7 | 13.0 | 13.0 | 16.9 | 12.5 | 12.5 | 15.5 | 18.9 |
| CECA, cmol kg−1 | 9.0 | 8.3 | 10.0 | 16.0 | 11.5 | 16.5 | 6.0 | 5.7 | 5.6 |
| Exch. H8.2, cmol kg−1 | 10.4 | 15.2 | 15.0 | 22.5 | 15.4 | 22.8 | 7.2 | 7.5 | 7.1 |
| Exch. Al, cmol kg−1 | 1.2 | 6.7 | 5.0 | 6.6 | 3.8 | 6.3 | 1.2 | 1.8 | 1.5 |
| Exch. Ca, cmol kg−1 | 20.1 | 3.1 | 6.0 | 5.0 | 10.2 | 5.1 | 10.0 | 11.0 | 15.2 |
| Exch. Mg, cmol kg−1 | 6.9 | 1.2 | 2.0 | 1.8 | 2.6 | 1.0 | 1.2 | 2.8 | 2.3 |
| Base saturation, % | 72.0 | 21.5 | 34.8 | 23.4 | 45.1 | 21.0 | 60.5 | 65.1 | 71.4 |
| pH in H2O | 5.2 | 3.9 | 4.0 | 3.8 | 4.2 | 3.7 | 4.6 | 4.5 | 4.5 |
| Minerals | Gabra | Govedartsi | Igralishte | |||||||||
|---|---|---|---|---|---|---|---|---|---|---|---|---|
| Land Use | D | D | H | H | NS | NS | H | H | ||||
| Soil texture fraction | >63 μm | <63 μm | >63 μm | <63 μm | >63 μm | <63 μm | >63 μm | <63 μm | ||||
| Depth, cm | 0–5 | 15–20 | 0–5 | 15–20 | 4–9 | 20–25 | 4–9 | 20–25 | 10–20 | 10–20 | 4–24 | 4–24 |
| Quarz (SiO2) | 37 | 41 | 34 | 23 | 17 | 33 | 23 | 14 | 14 | 14 | 19 | 9 |
| Plagioclase [(Na,Ca)(Si,Al)4O8] | 6 | 11 | 16 | 15 | 25 | 28 | 21 | 24 | 48 | 24 | 25 | 15 |
| K-feldspar (KAlSi3O8) | 14 | 22 | 10 | 16 | 35 | 14 | 9 | 12 | 11 | 12 | 9 | |
| Muscovite {KAl2[AlSi3O10](OH)2} | 38 | 22 | 30 | 28 | 11 | 13 | 22 | 20 | 15 | 20 | 53 | 51 |
| Amphibol {Ca2[Mg4(Al,Fe)]Si7AlO22(OH)2} | 4 | 3 | 6 | 5 | 11 | 8 | 4 | 8 | ||||
| Chlorite {[Mg,Al,Fe]6[Si,Al]4O10(OH)8} | 3 | 4 * | 7 * | 4 | 6 | 10 * | 19 | 5 | 14 | 3 | 15 | |
| Hematite (Fe2O3) | 1 | 1 | 1 | 4 | ||||||||
| Talc [Mg3Si4O10(OH)2] | 3 | 2 | 2 | 4 | ||||||||
| Montmorillonite [(Na,Ca)0,3(Al,Mg)2Si4O10(OH)2•n(H2O)] | 1 | 2 | 0.3 | 0.3 | 2 | 2 | ||||||
| Kaolinite [Al2Si2O5(OH)4] | 2 | 8 | 5 | |||||||||
| Soil Structural Indicators | Gabra | Govedartsi | Igralishte | ||||||
|---|---|---|---|---|---|---|---|---|---|
| H | D | M | H | SP | NS | H | D | SP | |
| PAWC, %vol. | 26.0 | 22.9 | 16.2 | 20.5 | 27.5 | 28.2 | 24.7 | 19.9 | 12.8 |
| RFC | 0.6 | 0.5 | 0.4 | 0.5 | 0.6 | 0.5 | 0.5 | 0.4 | 0.4 |
| AC = Pt−θpF2.0, %vol. | 23.9 | 31.5 | 30.3 | 29.0 | 28.1 | 34.6 | 28.0 | 43.1 | 30.0 |
| WSAF1–3 > 0.25 mm, % | 59.7 | 68.7 | 57.9 | 77.1 | 69.7 | 80.6 | 82.0 | 83.8 | 68.5 |
| Skeleton in fraction F1–3, % | 28.1 | 22.1 | 30.8 | 19.5 | 7.4 | 2.2 | 14.4 | 12.1 | 27.1 |
Disclaimer/Publisher’s Note: The statements, opinions and data contained in all publications are solely those of the individual author(s) and contributor(s) and not of MDPI and/or the editor(s). MDPI and/or the editor(s) disclaim responsibility for any injury to people or property resulting from any ideas, methods, instructions or products referred to in the content. |
© 2025 by the authors. Licensee MDPI, Basel, Switzerland. This article is an open access article distributed under the terms and conditions of the Creative Commons Attribution (CC BY) license (https://creativecommons.org/licenses/by/4.0/).
Share and Cite
Kercheva, M.; Paparkova, T.; Dimitrov, E.; Doneva, K.; Nedyalkova, K.; Perfanova, J.; Sechkova, R.; Velizarova, E.; Glushkova, M. Soil Structure Characteristics in Three Mountainous Regions in Bulgaria Under Different Land Uses. Forests 2025, 16, 1065. https://doi.org/10.3390/f16071065
Kercheva M, Paparkova T, Dimitrov E, Doneva K, Nedyalkova K, Perfanova J, Sechkova R, Velizarova E, Glushkova M. Soil Structure Characteristics in Three Mountainous Regions in Bulgaria Under Different Land Uses. Forests. 2025; 16(7):1065. https://doi.org/10.3390/f16071065
Chicago/Turabian StyleKercheva, Milena, Tsvetina Paparkova, Emil Dimitrov, Katerina Doneva, Kostadinka Nedyalkova, Jonita Perfanova, Rosica Sechkova, Emiliya Velizarova, and Maria Glushkova. 2025. "Soil Structure Characteristics in Three Mountainous Regions in Bulgaria Under Different Land Uses" Forests 16, no. 7: 1065. https://doi.org/10.3390/f16071065
APA StyleKercheva, M., Paparkova, T., Dimitrov, E., Doneva, K., Nedyalkova, K., Perfanova, J., Sechkova, R., Velizarova, E., & Glushkova, M. (2025). Soil Structure Characteristics in Three Mountainous Regions in Bulgaria Under Different Land Uses. Forests, 16(7), 1065. https://doi.org/10.3390/f16071065

