Abstract
Pinewood nematode (Bursaphelenchus xylophilus) is a highly destructive invasive species, causing extensive economic and ecological losses across Eurasia. It has recently invaded mid-temperate zone of northern China, threating large areas of coniferous forests. Herein, we evaluated the physiological and molecular basis of cold tolerance in pinewood nematode isolates from different temperature zones of China. After exposure to −5 °C and −10 °C, the survival rates of five pinewood nematode isolates from different temperature zones were 93.94%–94.77% and 43.26%–45.58% after 8 h, and 93.04%–94.85% and 9.93%–10.56% after 24 h, without significant differences among isolates. In a comparison of an isolate from a mid-temperate zone and an isolate from a subtropical zone under gradient cooling, the survival rates remained steady at nearly 95% when minimum temperature ranged from −5 °C to −15 °C, with no significant difference between isolates. In addition, phylogenetic and population structure analyses based on whole genome resequencing data suggested that isolates from mid-temperate and warm temperate zones are clustered with different isolates from subtropical zone, with no obvious geographic pattern. We did not detect significant variation in cold tolerance ability and selected gene among pinewood nematode isolates from different temperature zones. The recently invaded pinewood nematodes in the mid-temperate zone of northern China may spread by multiple invasion events from southern China, without adaptive revolution. Our research implies that it is important to reinforce quarantine inspection to control the rapid spread of pinewood nematode.
1. Introduction
The pinewood nematode Bursaphelenchus xylophilus (Steiner et Buhrer) Nickle is the causal pathogen of pine wilt disease, which can cause the rapid death of conifer trees in Asia and Europa [1]. Native to North America, pinewood nematode invaded Japan and Korea in the twentieth century, killing millions of Pinus trees [2,3]. In China, it was first reported in a subtropical city of Nanjing in 1982 and has spread to 726 counties in 18 provinces over 40 years, affecting over 1.892 million ha of forest and causing enormous financial losses and ecological problems annually [3,4]. The species expanded northward, and in 2017, it was first identified with a new insect vector in China, Monochamus saltuarius, in Liaoning Province, a mid-temperate monsoon zone with an annual average temperature of 2–8 °C and minimum of −20 °C [5,6,7].
Survival under extremely low temperatures is crucial for the adaptation of pinewood nematode to new environments as well as determines its northern range limits. The life history of pinewood nematode includes reproductive and dispersal stages [8]. In autumn, with decreases in temperature and the moisture content of wood, propagative second-stage juveniles (J2) molt to third-stage dispersal juveniles (D3), which have a thick cuticle and a large number of lipid droplets inside the body. In addition to morphological changes, physiological changes occur in juvenile dispersal stages, including the accumulation of trehalose, glycerol, and other unsaturated fatty acids [9,10]. Many studies have confirmed that D3 juveniles are the major population of pinewood nematodes in the winter and display better cold tolerance than that of propagative juveniles [11,12,13].
Various studies have evaluated cold tolerance strategies and population variation in pinewood nematodes. In a recent study, a substantial number of pinewood nematodes survived after treatment at −20 °C for 30 days in a wood log, and most third-stage dispersal juveniles in dead pine could still survive at −40 °C [14]. Liu et al. reported that freezing notably influences pinewood nematode survival at subzero temperatures. Additionally, levels of trehalose and glycerol, the fatty acid content, and the proportion of unsaturated fatty acids were significantly higher, whereas the glucose content was lower in the winter population (dispersal forms) than in the summer population (propagative forms) [9]. Moreover, Pan et al. discovered that pinewood nematodes are able to enter cryptobiosis by dehydration under high osmotic pressure for survival under low temperatures and recover by rehydration under favorable conditions, suggesting that the species overcomes cold stress in host plants by cryptobiosis [15]. Kong et al. (2021) found that some pinewood nematode populations in the southern region, which are better adapted to Pinus tabuliformis, were likely directly dispersed to the northern region in China without adaptation to a new host and environment [16]. However, it remains unclear how the pinewood nematode invaded and spread so rapidly in the mid-temperate zone, and whether it underwent adaptive evolution during habitat expansion.
Adaptation is critical for species persistence in the face of environmental challenges. Understanding the genetic basis of adaptations that allow pinewood nematode to thrive in adverse environments can inform pest management efforts and thus aid in controlling its rapid expansion. On the other hand, it was reported that there is no niche divergence between pinewood nematode isolates from different climatic areas [17]. In the present study, we collected 21 pinewood nematode isolates from different temperature zones of China to examine cold tolerance and genetic diversity in order to investigate whether pinewood nematode experienced adaptive evolution against a cold environment during habitat expansion or it maintained niche conservatism and provide a foundation for the clarification of the origin of recently invaded isolates. The cold tolerance ability of different isolates was compared by tests of survival under low temperatures and under gradient cooling. Phylogenetic, principal component, and population structure analyses were performed based on whole genome resequencing data for 21 isolates, including isolates that recently invaded the mid-temperate zone. More generally, our results could help us understand how pinewood nematode and other plant pathogens adapt to large geographical areas with distinct climates.
2. Materials and Methods
2.1. Nematode Collection
The climate regionalization in China refers to Zheng et al. [18], using annual average temperature and accumulated temperature as main guidelines. B. xylophilus isolates were originally isolated from diseased coniferous trees in different temperature zones of China (10 isolates from subtropical areas, 3 isolates from warm temperate areas, and 8 isolates from mid-temperate areas), followed by morphological and molecular identification [19] (Table 1).
Table 1.
Origin of Bursaphelenchus xylophilus strains used in this study.
The nematodes were cultured on mycelia of Botrytis cinerea in potato dextrose agar (PDA) plates at 25 °C for 7–10 days and were then separated using a modified Baermann funnel technique to obtain mixed-stage nematodes [20,21]. Artificially induced third-stage dispersal juveniles were cultured in PDA plates at 25 °C for 60 days according to the method of Ishibashi and Kondo, since D3 juveniles are the main overwintering form [8] (Supplementary Figures S1 and S2).
2.2. Test of Survival under Low Temperatures
Five pinewood nematode isolates from different temperature zones were randomly selected to evaluate cold tolerance. Briefly, 500 μL of a mixed-stage nematode suspension in 1× M9 solution (30 g L−1 KH2PO4, 60 g L−1 K2HPO4 and 50 g L−1 NaCl) [22], each containing approximately 200 pinewood nematodes, was placed in 1.5 mL Eppendorf tubes (four replicates) and stored in a refrigerator at −5 °C or −10 °C. These temperatures were set according to the lowest temperatures reported in P. tabuliformis in the winter [14]. After exposure to low temperatures for 8 h and 24 h, the samples were transferred to 25 °C for 12 h and nematode survival rates were determined as the proportion of individuals showing movement in response to a mechanical stimulus under an optical microscope (CKX53, ×4, ×10, ×40; Olympus, Tokyo, Japan). Every experiment was repeated twice.
2.3. Test of Survival under Gradient Cooling
Gradient cooling allows us to set a series of low temperatures and observe the reaction of different isolates and is widely used to determine the cold tolerance strategy and compare cold tolerance ability of nematodes [23,24,25]. Two isolates (one from the mid-temperate zone and one from the subtropical zone) were randomly selected to investigate survival under gradient cooling. Mixed-stage and third-stage dispersal juvenile nematode samples were prepared as described above. The samples were cooled rapidly in a cooling block (Haake Phoenix II) to 1 °C, cooled at 0.5 °C min−1 to various minimum temperatures (Tmin: −5 °C, −7 °C, −9 °C, −11 °C, −13 °C and −15 °C), kept at Tmin for 1 h, and then warmed to 1 °C at 0.5 °C min−1 [23,26]. After recovery at 25 °C for 12 h, nematode survival rates were determined by evaluating the proportion of individuals showing movement in response to a mechanical stimulus.
2.4. Statistical Analysis
Survival rates under low temperatures were subjected to one-way analysis of variance (ANOVA) implemented in SPSS Statistics 25.0 (SPSS, Inc., Chicago, IL, USA), using isolate of each exposure temperature and time as independent variables. Survival rates under gradient cooling were subjected to a one-way analysis of variance (ANOVA) using minimum temperature of each isolate as independent variables. Values are presented as means ± standard error (SE).
2.5. Whole Genome Sequencing and Quality Control
Nematodes of each isolate were cultured separately as described above to obtain sufficient sample sizes (≥1 μg DNA). All samples were rinsed with sterile water 5 times before DNA extraction. Genomic DNA was extracted using DNA Kit D0926-01 (Omega Bio-tek) and checked for quantity and quality using agarose gel electrophoresis and a NanoDrop Spectrophotometer 2000 (Wilmington, DE, USA). At least 3 µg of genomic DNA was used to construct paired-end libraries with an insert size of 500 bp using the Paired-End DNA Sample Prep Kit (Illumina Inc., San Diego, CA, USA). These libraries were sequenced using the NovaSeq 6000 platform (Illumina Inc.) by Genedenovo (Guangzhou, China). Raw reads were processed to obtain high-quality clean reads according to the following stringent filtering standards: (1) reads with ≥10% unidentified nucleotides (N) were removed; (2) reads in which >50% bases had phred quality scores of ≤20 were removed; and (3) reads aligned to the barcode adapter were removed.
2.6. Variant Identification and Annotation
To identify single nucleotide polymorphisms (SNPs) and insertion–deletion mutations (InDels), Burrows–Wheeler Aligner (BWA) was used to align the clean reads from each sample against the reference genome (BXYJv5, GenBank Number: GCA_904066235.2) with the settings ‘mem 4 −k 32 −M’, where −k is the minimum seed length, and −M is an option used to mark shorter split alignment hits as secondary alignments [27]. Variant calling was performed for all samples using the GATK Unified Genotyper. SNPs and InDels were filtered using GATK Variant Filtration (-Window 4, -filter “QD < 2.0‖FS > 60.0‖MQ < 40.0,” -G_filter “GQ < 20”), and those exhibiting segregation distortion or sequencing errors were discarded. To determine the physical positions of each SNP, ANNOVAR was used [28].
2.7. Phylogenetic and Population Structure Analyses
A phylogenetic tree was constructed by the neighbor-joining method using PHYLIP (version 3.69). The bootstrap confidence values are based on 1000 replicates. Population differentiation was preliminarily classified by a principal component analysis (PCA) using GCTA [29]. Admixture V1.3.0 was further used to estimate the population structure (Q matrix) [30]. The tested K values were 1–10, and the optimal K was determined by the lowest cross-validation error. The kinship matrix (K matrix) was calculated following the method of Loiselle et al. using SPAGeDi V1.5 [31,32].
3. Results
3.1. Effect of Low Temperatures on the Survival Rates of Different Nematode Isolates
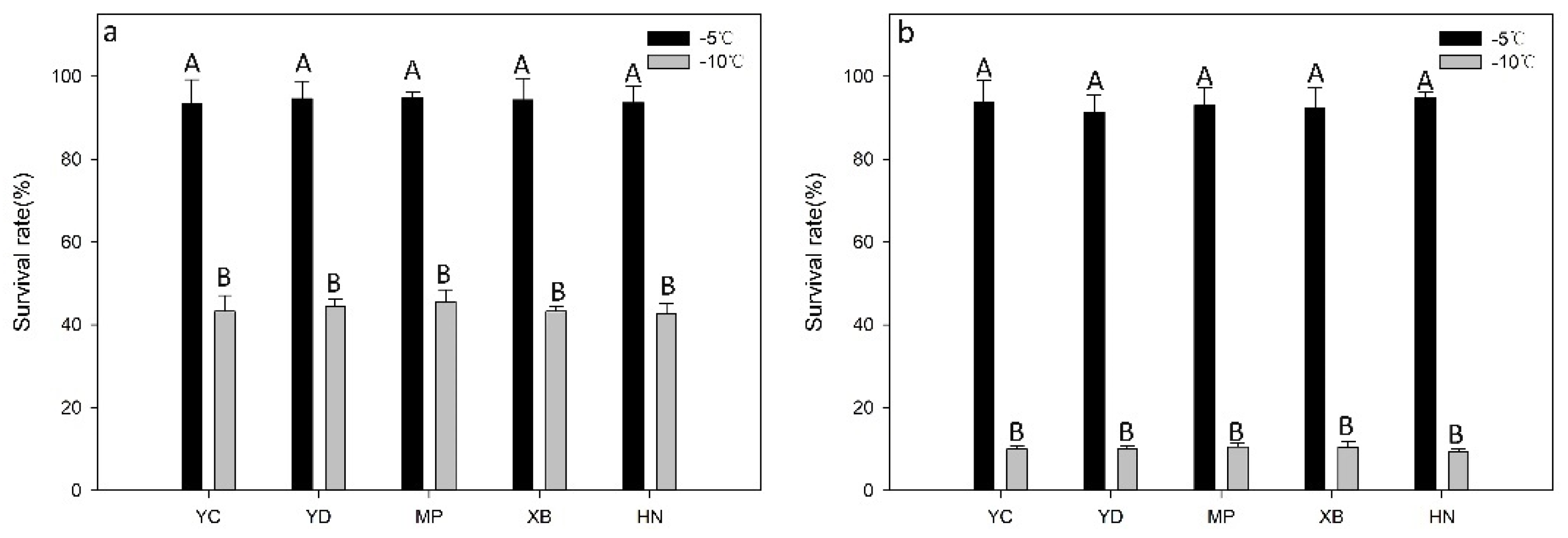
As the temperature decreased, the survival rate of each nematode isolate also declined significantly. After the exposure to −5 °C and −10 °C for 8 h, the survival rates of the five isolates from different temperature zones were approximately 93.94%–94.77% (absolute percentage) and 43.26%–45.58%, with no significant differences among isolates. The survival rates after the exposure to −5 °C and −10 °C for 24 h were 93.04%–94.85% and 9.93%–10.56%, with no significant differences among isolates (using isolate as independent variables, p < 0.05) (Figure 1) (Supplementary Tables S1 and S2).
Figure 1.
Survival rates of different isolates under low temperatures for 8 h (a) and 24 h (b). The isolate abbreviations are its place of origin used as IDs. YD and YC isolates are from the subtropical zone; MP is from the warm temperate zone; XB and HN are from the mid-temperate zone. Standard errors are represented by error bars, different capital letters (A, B) above bars denote significant differences at p < 0.01.
3.2. Effect of Gradient Cooling on the Survival Rate and Activity of Different Nematode Isolates
The effects of gradient cooling on mixed-stage pinewood nematode survival are shown in Figure 2. The survival rates were 92.54%–97.84% when Tmin ranged from −5 °C to −15 °C, with no significant difference between isolates (using minimum temperature as independent variables, p < 0.05). The results for third-stage dispersal juveniles were similar to those for mixed-stage isolates (using minimum temperature as independent variables, p < 0.05) (Figure 3) (Supplementary Tables S3 and S4).
Figure 2.
Effect of temperature on the survival of two mixed−stage pine wood nematode isolates after cooling to various Tmin at 0.5 °C min−1. Southern isolate is the YD isolate from the subtropical zone (a); Northern isolate is the XB isolate from the mid-temperate zone (b). Standard errors are represented by error bars, the letter (a) above bars denotes significant differences at p < 0.05.
Figure 3.
Effect of temperature on the survival of third−stage dispersal juveniles of two pine wood nematode isolates after cooling to various Tmin at 0.5 °C min−1. Southern isolate is the YD isolate from the subtropical zone (a); Northern isolate is the XB isolate from the mid-temperate zone (b). Standard errors are represented by error bars, the letter (a) above bars denotes significant differences at p < 0.05.
We selected two isolates from the mid-temperate zone and subtropical zone with the biggest climate difference to conduct the gradient cooling experiment, and the results showed that there was no significant difference. The results of SNPs mentioned below also indicated there were no genetic variance that could lead to phenotype difference. Thus, we think it is not necessary to further include a warm-temperate isolate in this test.
3.3. Summary of Whole Genome Resequencing Data and Variant Calling
To investigate genetic diversity, we performed whole genome resequencing of 21 pinewood nematode isolates, generating over 323 million paired-end reads (45.25 GB of data) (BioProject accession: PRJNA786365), with a mean of 15.38 million reads per sample. Over 98.64% (98.06%–98.89%) of the generated sequence reads were high-quality reads and were mapped to approximately 88.92% (64.01%–95.72%) of the pinewood nematode reference genome [33,34]. The mean coverage depth varied from 24.3× to 35.8× (mean 29.5×), indicating that high-quality sequences were obtained (Supplementary Tables S5–S8).
After stringent quality-filtering, 663,890 polymorphisms were detected, including 587,668 SNPs and 76,222 InDels (≤50 bp). Over 78.68% of the SNPs and InDels were synonymous. The SNPs and InDels were distributed across intronic regions (29.6%), intergenic regions (25.36%), or exonic regions (24.27%). Additionally, it is worth noting that two subtropical zone isolates, DY and YD, had higher SNP counts (442,227 and 492,996) than those of other isolates (approximately 300,000 to 360,000) (Supplementary Tables S9–S19).
3.4. Phylogenetic Analysis and Principal Component Analysis of 21 Pinewood Nematode Isolates
The core set of SNPs was used to analyze the phylogenetic relationships and population structure of the pinewood nematode isolates. As shown in Figure 4, a neighbor-joining phylogeny revealed three major clades, each including isolates from different temperature zones. DY and YD clustered together and were clearly distinct from other isolates, which were more closely related. The FC isolate (from the mid-temperate zone) clustered with several subtropical zone isolates. The other major clade included most of the isolates from the mid-temperate zone, all three isolates from the warm temperate zone, and several isolates from the subtropical zone, suggesting that the newly invaded population in northern China had a complex origin and may have originated from southern China.
Figure 4.
Neighbor-joining tree of 21 pine wood nematode isolates inferred from whole genome SNPs. Branch colors indicate isolate origins: red represents isolates from the subtropical zone; green represents isolates from the warm temperate zone; and blue represents isolates from the mid-temperate zone. The stability of the nodes was assessed by bootstrap analysis with 1000 replications and bootstrap values are shown at the corresponding nodes. Solid lines represents foe the branch length, and dashed lines are generated after the alignment of labels.
A PCA corroborated the results of the phylogenetic analysis (Figure 5). Along the first principal component, the DY and YD isolates were separated from the other two main populations. The FC isolate and other southern isolates formed a cluster, whereas most of the other northern isolates and southern isolates formed a major compact cluster. The second principal component also revealed a separation between the DY and YD isolates and other isolates.
Figure 5.
Principal component analysis of the first two principal components. Point colors indicate isolate origins: red represents isolates from the subtropical zone; green represents isolates from the warm temperate zone; and blue represents isolates from the mid-temperate zone.
3.5. Population Structure of 21 Pinewood Nematode Isolates
To evaluate the geographic differentiation, we compared the genetic structure of 21 pinewood nematode isolates with isolate origins (Supplementary Figures S3 and S4). Using Admixture, K = 2 was the optimal number of subpopulations (Figure 6) [30]. Similar to the results of the phylogenetic analysis and PCA, the FC isolate shared a common ancestry with several southern isolates, whereas other isolates formed a major population with shared ancestry.
Figure 6.
Population structure and genetic diversity of 21 pinewood nematode isolates (K = 2). Each color represents one ancestral population. Each isolate is represented by a pie chart, and the area of each color in the pie chart represents the proportion contributed by that ancestral population. FC isolate is the only red pie chart located in the upper right of the figure, surrounded by blue pie charts.
Further dividing individuals into three or more subsets did not improve resolution. Population structure was not obviously correlated with the geographic distribution of isolates. This section may be divided by subheadings. It should provide a concise and precise description of the experimental results, their interpretation, as well as the experimental conclusions that can be drawn.
4. Discussion
Some researches agreed that the pine wilt disease can only outbreak in areas with an annual average temperature above 10 °C [2,35,36]. However, outbreaks in Liaoning Province in 2017, China provoked the reconsideration of its potential distribution [6,37]. We did not observe differences in survival rates under low temperatures among isolates from different temperature zones. In a previous study, after exposure to −10 °C for 12 h in supercooled unfrozen water, the survival rate of summer populations of pinewood nematode was around 80%, which is much higher than the survival rates in our study [9]. Our lab-cultured nematodes did not experience adverse conditions in the wild, and this might explain the difference in survival rates between different research works. In addition, instantaneous cooling may not be sufficient to reveal cold tolerance and differences between isolates.
We further evaluated divergence among isolates with respect to survival under gradient cooling. Intriguingly, the survival rates for pinewood nematode showed a stable tendency between from −5 °C to −15 °C, whereas other nematode species show a gradually declining trends in survival [24,25]. The amount of time held at each temperature and the cooling approach (instantaneous and gradual cooling) both contributed to the difference in survival rates between two tests. In winter of mid-temperate zone, the variation of the temperature inside host plant P. tabuliformis was −5 °C to −10 °C, and our results indicate that pinewood nematodes possess a considerable cold tolerance ability to survive a low-temperature environment in a mid-temperate zone [14]. More detailed analyses, including microscopic observations of nematodes during freezing, are needed to determine the cold tolerance strategy and mechanism.
In respect of a genetic relationship, the phylogenetic analysis and PCA indicated that 21 pinewood nematode isolates were clustered into two major groups (other than two divergent isolates), with no obvious geographical pattern. Ten isolates from the subtropical zone, Guangdong and Guangxi Province, displayed a complex genetic background. In previous analyses of pinewood nematode isolates in Guangdong and east China, the number of SNPs differed significantly among isolates, and all isolates were divided into three populations by PCA and hierarchical clustering, consistent with our results [38,39]. Other research showing that the current nematode populations in China are mixed with each other by severe cross-infection, and only small portions of introgressions can be traced in Guangdong Province, also approve this point [40].
Most northern pinewood nematode isolates recently invaded the mid-temperate zone. All three warm temperate zone isolates formed a major group, including several isolates from the subtropical zone, whereas one isolate from the mid-temperate zone (FC) was assigned to another subtropical group. Selective sweeps were not detected in northern pinewood nematode isolates (data not shown). These results imply that the process of pinewood nematode invasion does not involve a founder effect or genetic bottleneck, indicating that the mid-temperate zone isolates originated from the subtropical zone of southern China with multiple introductions.
Considering the results of our physiological experiment, we concluded that the pinewood nematode was directly transported to the mid-temperate zone of northern China from a subtropical zone of southern China via multiple invasion events, without acclimation. Genetic factors related to cold tolerance may facilitate successful invasion, and there seems to be niche conservatism. This explanation is plausible since pinewood nematode is distributed in cool areas of North America and high altitude areas [41,42]. Niche conservationism is observed in many plant pathogens, including pinewood nematode [17,43]. The study that northern isolates exhibit stronger pathogenicity to the main host P. tabuliformis in northern China, than that of southern isolates, also support this point [16]. In addition, abundant materials carrying pinewood nematode, including unprocessed logs, wooden crates, and dunnage, are intercepted by Chinese customs inspection each year, and both Dalian and Dandong City are port cities. In China, more than 75% of cases of pinewood nematode disease are caused by human transmission [3,44]. The average summer temperature in Liaoning Province can reach 24 °C, which is suitable for pinewood nematode reproduction. The diurnal variation in temperature in dead P. tabuliformis is significantly less than the variation in environmental temperature, and the lowest temperature in P. tabuliformis is higher than the lowest temperature in the environment within a day [14]. The main insect vector, M. saltuarius, and the plant host, P. tabuliformis and P. koraiensis, are native to China and have a large distribution area [37]. These conditions are favorable for pinewood nematode colonization and eventually led to the spread of the species. The recent identification of pinewood nematode in Jilin Province also revealed its expansion to high latitude areas. Furthermore, it is possible that the mid-temperate zone pinewood nematodes are from abroad, such as Japan, given the close proximity to busy trading areas. This is further supported by the close relationship between pinewood nematode isolates in China and Japan [45]. Broader sampling worldwide is needed to further clarify these points.
5. Conclusions
In conclusion, we did not detect significant differences in cold tolerance among isolates of pinewood nematode from different temperature zones in China based on analyses of survival under low temperatures and under gradient cooling. We also conducted the first whole genome resequencing of pinewood nematode isolates from the recently invaded mid-temperate zone of northern China. Phylogenetic and population structure analyses revealed that isolates from mid-temperate and warm temperate zones are closely related to isolates from the subtropical zone. Populations in the mid-temperate zone of northern China may have been directly transmitted from southern China, without adaptive evolution, possibly via multiple invasion events. Our results demonstrated that pinewood nematodes have considerable cold resistance ability or potential, which can promote the adaptation to large geographical areas with distinct climates. This research sheds light on the fact that pinewood nematode can be directly introduced to cold regions, crossing long distances, and is likely to continue to spread to the northern limits of the insect vector and plant host, thus emphasizing the importance of quarantine inspection and providing a foundation for the control of its rapid expansion.
Supplementary Materials
The following supporting information can be downloaded at: https://www.mdpi.com/article/10.3390/f13071100/s1, Figure S1: Morphological characteristics of the third−stage dispersal juveniles of pinewood nematode; Figure S2: Morphological characteristics of the third−stage propagative juveniles of pinewood nematode; Figure S3: Cross-validation error in the admixture analysis; Figure S4: Admixture plot (a–h: K = 2–9) for 21 pinewood nematode samples; Table S1: Survival rates of different isolates under low temperatures for 8 h and 24 h; Table S2: ANOVA tests statistic of survival rates of different strains under low temperatures for 8 h and 24 h; Table S3: Survival rates of different isolates after gradient cooling; Table S4: ANOVA tests statistic of survival rates of different strains after gradient cooling; Table S5: Reads statistics of 21 pinewood nematode samples; Table S6: Base statistics after filtration; Table S7: Mapping statistics of 21 pinewood nematode samples; Table S8: Genome coverage statistics of 21 pinewood nematode samples; Table S9: SNP and InDel number of 21 pinewood nematode samples; Table S10: Summary of SNP and InDel location; Table S11: Summary of SNP and InDel function annotation; Table S12: Summary of transition and transversion; Table S13: SNP location summary of 21 pinewood nematode samples; Table S14: SNP function summary of 21 pinewood nematode samples; Table S15: SNP transition and transversion summary of 21 pinewood nematode samples; Table S16: SNP homozygosity and heterozygosity summary of 21 pinewood nematode samples; Table S17: InDel location summary of 21 pinewood nematode samples; Table S18: InDel function summary of 21 pinewood nematode samples; Table S19: InDel homozygosity and heterozygosity summary of 21 pinewood nematode samples.
Author Contributions
Z.L. wrote the manuscript and performed the experiments; S.Z. and J.T. guided the manuscript writing. All authors have read and agreed to the published version of the manuscript.
Funding
This study was funded by the National Key Research and Development Program of China (2021YFD1400300).
Institutional Review Board Statement
Not applicable.
Informed Consent Statement
Not applicable.
Data Availability Statement
The whole genome resequencing data is available on NCBI (BioProject accession: PRJNA786365) (https://www.ncbi.nlm.nih.gov/sra?linkname=bioproject_sra_all&from_uid=786365 (accessed on 11 July 2022)) and CNCB (China National Center for Bioinformation) (GSA accession: CRA007422) (https://ngdc.cncb.ac.cn/gsa/browse/CRA007422 (accessed on 11 July 2022)).
Acknowledgments
We appreciate the help of Huanhua Huang from Guangdong Academy of Forestry, Hao Wu from Station of Forest and Grassland Pest Control and Quarantine; Lili Ren from Beijing Forestry University, Haiwei Wu from Shandong Academy of Forestry; Xiuhao Yang from Guangxi Academy of Forestry; and Ping Hu from Guangxi University in sample collection. We gratefully acknowledge Jiaxing Li, Yiming Niu, and Qidi Hou from Beijing Forestry University, for their kind assistance with the photography of pinewood nematodes.
Conflicts of Interest
The authors declare no conflict of interest.
References
- Futai, K. Pine wood nematode, Bursaphelenchus xylophilus. Annu. Rev. Phytopathol. 2013, 51, 61–83. [Google Scholar] [CrossRef] [Green Version]
- Mamiya, Y. History of pine wilt disease in Japan. J. Nematol. 1988, 20, 219–226. [Google Scholar] [PubMed]
- Ye, J. Epidemic status of pine wilt disease in China and its prevention and control techiques and counter measures. Sci. Silvae Sin. 2019, 55, 1–10. [Google Scholar]
- Sun, H.; Zhou, Y.; Li, X.; Zhang, Y.; Wang, Y. Occurrence of major forestry pests in China in 2020 and prediction of occurrence trend in 2021. For. Pest Dis. 2021, 40, 45–48. [Google Scholar]
- Yu, H.; Wu, H.; Zhang, X.; Wang, L.; Zhan, X.; Song, Y. Preliminary study on Larix spp. infected by Bursaphelenchus xylophilus in natural environment. For. Pest Dis. 2019, 38, 7–10. [Google Scholar]
- Pan, L.; Li, Y.; Liu, Z.; Meng, F.; Chen, J.; Zhang, X. Isolation and identification of pine wood nematode in Pinus koraiensis in Fengcheng, Liaoning Province. For. Pest Dis. 2019, 38, 1–4. [Google Scholar]
- Yu, H.; Wu, H.; Huang, R.; Wang, J.; Zhang, R.; Song, Y. Separation and identification of Bursaphelenchus xylophilus from Pinus sylvestris var. mongolica in Fushun city. For. Pest Dis. 2020, 39, 6–10. [Google Scholar]
- Ishibashi, N.; Kondo, E. Occurrence and survival of the dispersal forms of pine wood nematode, Bursaphelenchus lignicolus. Appl. Entomol. Zool. 1977, 12, 293–302. [Google Scholar] [CrossRef] [Green Version]
- Liu, Z.; Li, Y.; Pan, L.; Meng, F.; Zhang, X. Cold adaptive potential of pine wood nematodes overwintering in plant hosts. Biol. Open 2019, 8, bio041616. [Google Scholar] [CrossRef] [Green Version]
- Wang, B.; Liu, W.; Wang, F.; Ma, L.; Li, D.; Wang, B.; Hao, X. Fat accumulation in Bursaphelenchus xylophilus by positively regulating Bx-SCD under low temperature. J. Northeast For. Univ. 2017, 45, 89–93. [Google Scholar]
- Chen, Q.; Zhang, R.; Li, D.; Wang, F.; Jiang, S.; Wang, J. Trehalose in pine wood nematode participates in DJ3 formation and confers resistance to low-temperature stress. BMC Genom. 2021, 22, 524. [Google Scholar] [CrossRef] [PubMed]
- Chen, Q.; Zhang, R.; Li, D.; Wang, F. Genetic characteristics of Bursaphelenchus xylophilus third-stage dispersal juveniles. Sci. Rep. UK 2021, 11, 3908. [Google Scholar] [CrossRef] [PubMed]
- Zhao, L.; Wei, W.; Kulhavy, D.L.; Zhang, X.Y.; Sun, J. Low temperature induces two growth-arrested stages and change of secondary metabolites in Bursaphelenchus xylophilus. Nematology 2007, 9, 663–670. [Google Scholar] [CrossRef] [Green Version]
- Pan, L.; Cui, R.; Li, Y.; Feng, Y.; Zhang, X. Investigation of pinewood nematodes in Pinus tabuliformis Carr. under low-temperature conditions in Fushun, China. Forests 2020, 11, 993. [Google Scholar] [CrossRef]
- Pan, L.; Cui, R.; Li, Y.; Zhang, W.; Bai, J.; Li, J.; Zhang, X. Third-stage dispersal juveniles of Bursaphelenchus xylophilus can resist low-temperature stress by entering cryptobiosis. Biology 2021, 10, 785. [Google Scholar] [CrossRef]
- Kong, Q.; Ding, X.; Chen, Y.; Ye, J. Comparison of morphological indexes and the pathogenicity of Bursaphelenchus xylophilus in northern and southern China. Forests 2021, 12, 310. [Google Scholar] [CrossRef]
- Pimentel, C.S.; Ayres, M.P. Latitudinal patterns in temperature-dependent growth rates of a forest pathogen. J. Therm. Biol. 2018, 72, 39–43. [Google Scholar] [CrossRef]
- Zheng, J.; Bian, J.; Ge, Q.; Zhixin, H.; Yin, Y.; Liao, Y. The climate regionalization in China for 1981–2010. Chin. Sci. Bull. 2013, 50, 3088–3099. (In Chinese) [Google Scholar]
- Cheng, X.; Xie, P.; Cheng, F.; Xu, R.; Xie, B. Competitive displacement of the native species Bursaphelenchus mucronatus by an alien species Bursaphelenchus xylophilus (Nematoda: Aphelenchida: Aphelenchoididae): A case of successful invasion. Biol. Invasions 2008, 11, 205–213. [Google Scholar] [CrossRef]
- Wang, Y.; Yamada, T.; Sakaue, D.; Suzuki, K. Variations in life history parameters and their influence on rate of population increase of different pathogenic isolates of the pine wood nematode, Bursaphelenchus xylophilus. Nematology 2005, 7, 459–467. [Google Scholar] [CrossRef]
- Viglierchio, D.R.; Schmitt, R.V. On the methodology of nematode extraction from field samples: Baermann funnel modifications. J. Nematol. 1983, 15, 438–444. [Google Scholar] [PubMed]
- Liu, H.B.; Rui, L.; Feng, Y.Q.; Wu, X.Q. Autophagy contributes to resistance to the oxidative stress induced by pine reactive oxygen species metabolism, promoting infection by Bursaphelenchus xylophilus. Pest Manag. Sci. 2020, 76, 2755–2767. [Google Scholar] [CrossRef] [PubMed]
- Wharton, D.A.; Raymond, M.R. Cold tolerance of the Antarctic nematodes Plectus murrayi and Scottnema lindsayae. J. Comp. Physiol. B 2015, 185, 281–289. [Google Scholar] [CrossRef]
- Hayashi, M.; Wharton, D.A. The oatmeal nematode Panagrellus redivivus survives moderately low temperatures by freezing tolerance and cryoprotective dehydration. J. Comp. Physiol. B 2011, 181, 335–342. [Google Scholar] [CrossRef] [PubMed]
- Smith, T.; Wharton, D.A.; Marshall, C.J. Cold tolerance of an Antarctic nematode that survives intracellular freezing: Comparisons with other nematode species. J. Comp. Physiol. B 2008, 178, 93–100. [Google Scholar] [CrossRef] [PubMed]
- Raymond, M.R.; Wharton, D.A. The ability of the Antarctic nematode Panagrolaimus davidi to survive intracellular freezing is dependent upon nutritional status. J. Comp. Physiol. B 2013, 183, 181–188. [Google Scholar] [CrossRef] [PubMed]
- Li, H.; Durbin, R. Fast and accurate short read alignment with Burrows-Wheeler transform. Bioinformatics 2009, 25, 1754–1760. [Google Scholar] [CrossRef] [Green Version]
- Wang, K.; Li, M.; Hakonarson, H. ANNOVAR: Functional annotation of genetic variants from high-throughput sequencing data. Nucleic Acids Res. 2010, 38, e164. [Google Scholar] [CrossRef]
- Yang, J.; Lee, S.H.; Goddard, M.E.; Visscher, P.M. GCTA: A tool for genome-wide complex trait analysis. Am. J. Hum. Genet. 2011, 88, 76–82. [Google Scholar] [CrossRef] [Green Version]
- Alexander, D.H.; Novembre, J.; Lange, K. Fast model-based estimation of ancestry in unrelated individuals. Genome Res. 2009, 19, 1655–1664. [Google Scholar] [CrossRef] [Green Version]
- Hardy, O.J.; Vekemans, X. Spagedi: A versatile computer program to analyse spatial genetic structure at the individual or population levels. Mol. Ecol. Notes 2002, 2, 618–620. [Google Scholar] [CrossRef] [Green Version]
- Loiselle, B.A.; Sork, V.L.; Nason, J.; Graham, C. Spatial genetic structure of a tropical understory shrub, Psychotria officinalis (Rubiaceae). Am. J. Bot. 1995, 82, 1420–1425. [Google Scholar] [CrossRef]
- Dayi, M.; Sun, S.; Maeda, Y.; Tanaka, R.; Yoshida, A.; Tsai, I.J.; Kikuchi, T.; Rokas, A. Nearly complete genome assembly of the pinewood nematode Bursaphelenchus xylophilus strain Ka4C1. Microbiol. Resour. Announc. 2020, 9, e01002-20. [Google Scholar] [CrossRef] [PubMed]
- Kikuchi, T.; Cotton, J.A.; Dalzell, J.J.; Hasegawa, K.; Kanzaki, N.; McVeigh, P.; Takanashi, T.; Tsai, I.J.; Assefa, S.A.; Cock, P.J.; et al. Genomic insights into the origin of parasitism in the emerging plant pathogen Bursaphelenchus xylophilus. PLoS Pathog. 2011, 7, e1002219. [Google Scholar] [CrossRef] [Green Version]
- Jikumaru, S.; Togashi, K. Resistance of an indigenous biological system against expansion of the invasive nematode, Bursaphelenchus xylophilus, in cool areas of Japan. Nematol. Int. J. Fundam. Appl. Nematol. Res. 2008, 10, 679–687. [Google Scholar] [CrossRef]
- Wang, F. Pine wilt in meteorological hazard environments. Nat. Hazards 2014, 72, 723–741. [Google Scholar] [CrossRef]
- Li, Y.; Zhang, X. Analysis on the trend of invasion and expansion of Bursaphelenchus xylophilus. For. Pest Dis. 2018, 37, 1–4. [Google Scholar]
- Huang, J.; Xi, X.; Ding, X.; Ye, J. Study on the population differentiation of Bursaphelenchus xylophilus in Guangdong Province by SNP markers. J. Nanjing For. Univ. Nat. Sci. Ed. 2019, 43, 25–31. [Google Scholar]
- Wang, Q.; Ding, X.; Ye, J.; Shi, X. Study on the genetic differentiation of Bursaphelenchus xylophilus in East China based on SNP markers. J. Nanjing For. Univ. Nat. Sci. Ed. 2021, 1, 1–10. [Google Scholar]
- Ding, X.; Guo, Y.; Ye, J.; Wu, X.; Lin, S.; Chen, F.; Zhu, L.; Huang, L.; Song, X.; Zhang, Y.; et al. Population differentiation and epidemic tracking of Bursaphelenchus xylophilus in China based on chromosome—Level assembly and whole—Genome sequencing data. Pest Manag. Sci. 2022, 78, 1213–1226. [Google Scholar] [CrossRef]
- Rutherford, T.A.; Webster, J.M. Distribution of pine wilt disease with respect to temperature in North America, Japan, and Europe. Can. J. For. Res. 1987, 17, 1050–1059. [Google Scholar] [CrossRef]
- Ohsawa, M.; Akiba, M. Possible altitude and temperature limits on pine wilt disease: The reproduction of vector sawyer beetles (Monochamus alternatus), survival of causal nematode (Bursaphelenchus xylophilus), and occurrence of damage caused by the disease. Eur. J. For. Res. 2014, 133, 225–233. [Google Scholar] [CrossRef]
- Sturrock, R.N.; Frankel, S.J.; Brown, A.V.; Hennon, P.E.; Kliejunas, J.T.; Lewis, K.J.; Worrall, J.J.; Woods, A.J. Climate change and forest diseases. Plant Pathol. 2011, 60, 133–149. [Google Scholar] [CrossRef]
- Robinet, C.; Roques, A.; Pan, H.; Fang, G.; Ye, J.; Zhang, Y.; Sun, J. Role of human-mediated dispersal in the spread of the pinewood nematode in China. PLoS ONE 2009, 4, e4646. [Google Scholar] [CrossRef] [PubMed] [Green Version]
- Figueiredo, J.; Simões, M.J.; Gomes, P.; Barroso, C.; Pinho, D.; Conceição, L.; Fonseca, L.; Abrantes, I.; Pinheiro, M.; Egas, C.; et al. Assessment of the geographic origins of pinewood nematode isolates via single nucleotide polymorphism in effector genes. PLoS ONE 2013, 8, e83542. [Google Scholar] [CrossRef] [Green Version]
Publisher’s Note: MDPI stays neutral with regard to jurisdictional claims in published maps and institutional affiliations. |
© 2022 by the authors. Licensee MDPI, Basel, Switzerland. This article is an open access article distributed under the terms and conditions of the Creative Commons Attribution (CC BY) license (https://creativecommons.org/licenses/by/4.0/).





