Occurrence of the Green Shield-Moss Buxbaumia viridis (Moug.) Brid. in the Bieszczady Mountains of Poland
Abstract
1. Introduction
2. Materials and Methods
- (1)
- Baligród Forest District: 62 forest subcompartments, including 61 subcompartments with at least 20% of firs aged 70 years or more and one sapling subcompartment with some retained firs.
- (2)
- Komańcza Forest District: 46 forest subcompartments with at least 20% of firs aged 70 years or more.
- (3)
- Lutowiska Forest District: 64 forest subcompartments, including 60 subcompartments with at least 20% of firs aged 70 years or more and four sapling subcompartments with some retained firs.
- (4)
- Stuposiany Forest District: 40 forest subcompartments, including 19 subcompartment with at least 20% of firs aged 70 years or more, 17 subcompartments with at least 10% of firs aged 70 years or more, and four sapling subcompartments with some retained firs.
- (5)
- Bieszczady National Park: 38 forest subcompartments, including 19 subcompartments with at least 20% of firs aged 70 years or more and 19 subcompartments with at least 10% of firs aged 70 years or more.
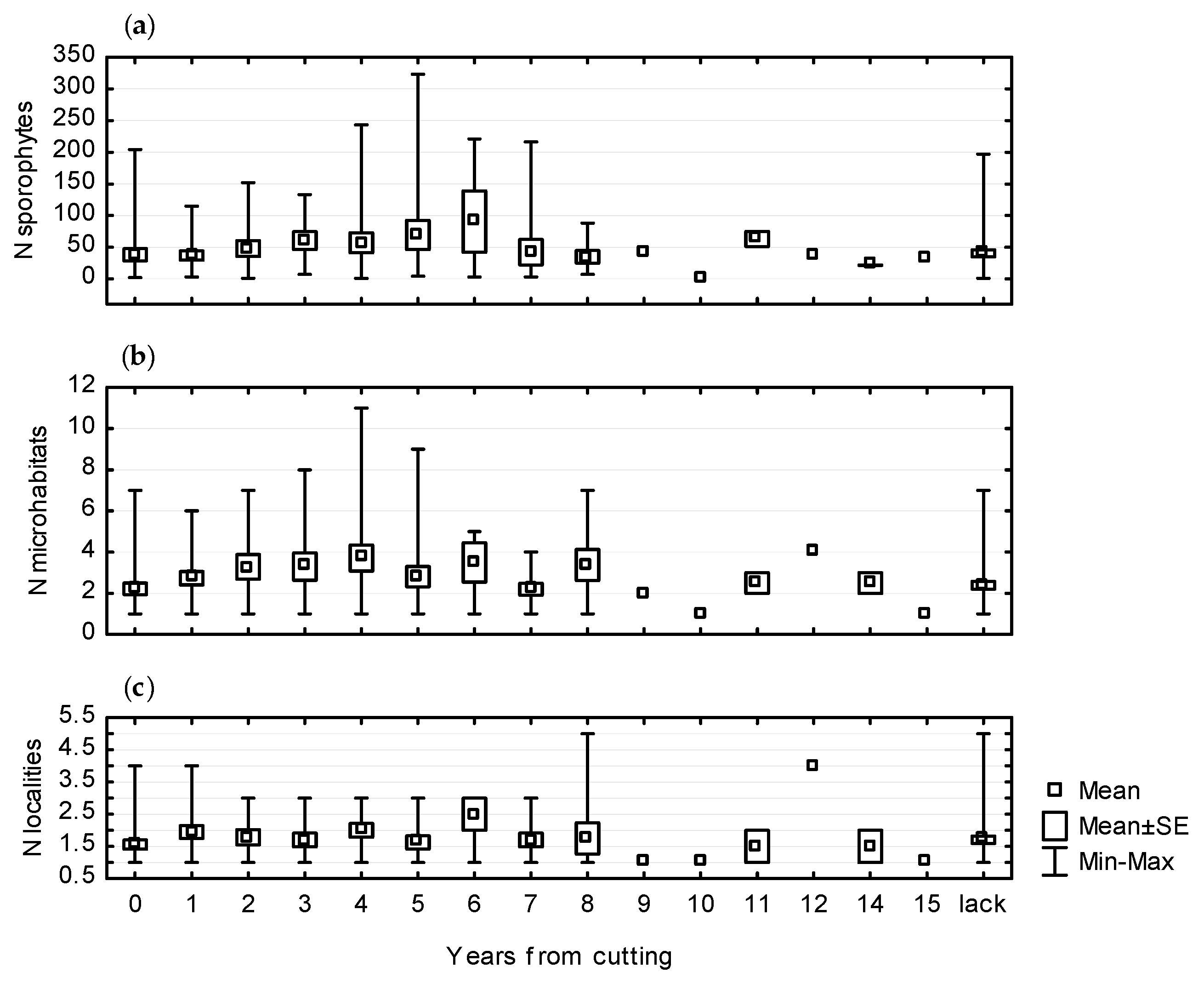
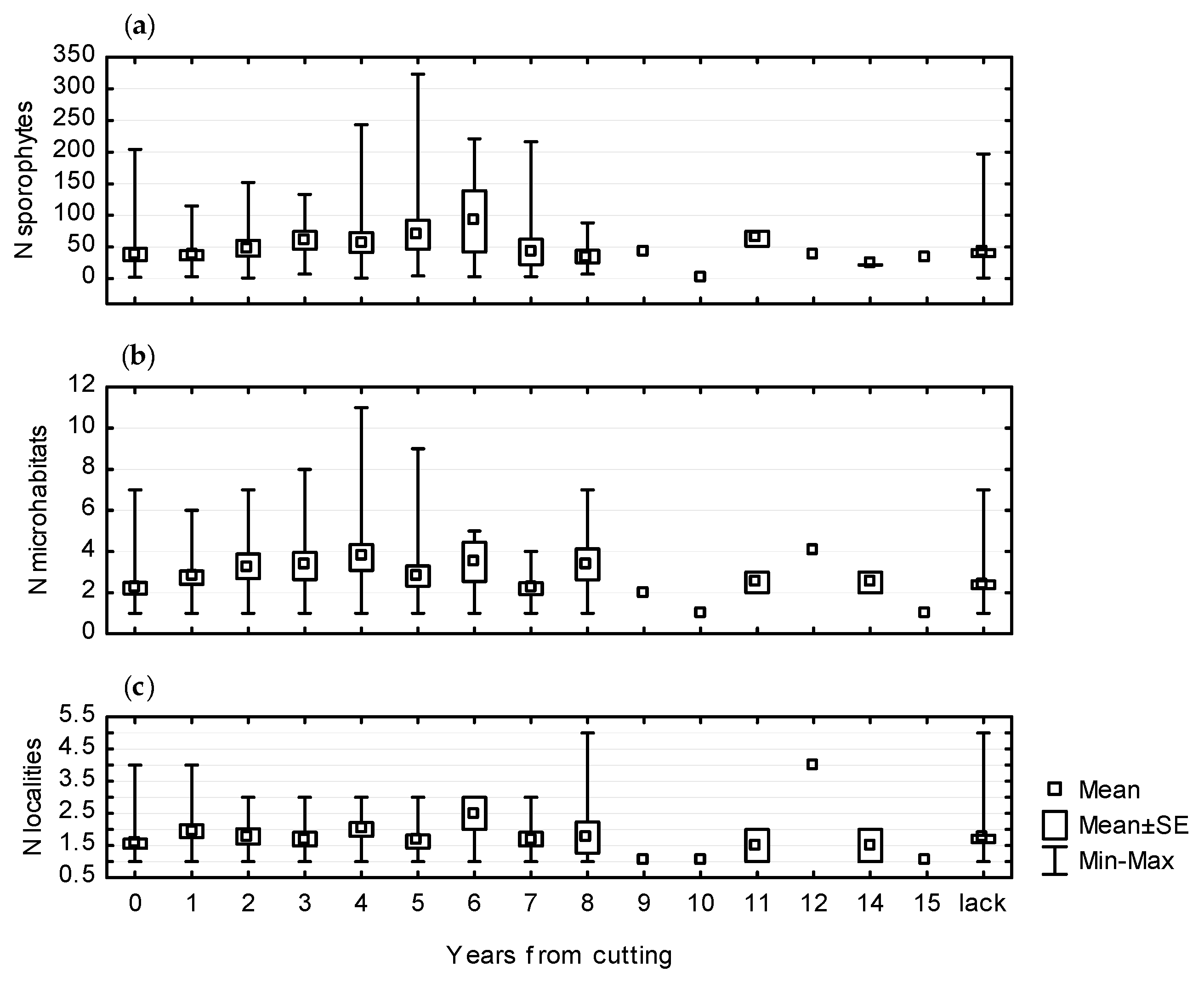
3. Results
4. Discussion
5. Conclusions
Supplementary Materials
Author Contributions
Funding
Institutional Review Board Statement
Informed Consent Statement
Data Availability Statement
Acknowledgments
Conflicts of Interest
References
- Vončina, G. Bezlist okrywowy Buxbaumia viridis (Moug. ex Lam. & DC.) Brid. ex Moug. & Nestl. [Green Shield-moss Buxbaumia viridis (Moug. ex Lam. & DC.) Brid. ex Moug. & Nestl. In Monitoring gatunków roślin. Przewodnik metodyczny. Część II Monitoring of Plant Species: Methodology Guide. Part II; Perzanowska, J., Ed.; GIOŚ: Warsaw, Poland, 2012; pp. 40–52. [Google Scholar]
- Vončina, G.; Chachuła, P. Aktualne występowanie bezlistu okrywowego Buxbaumia viridis (Buxbaumiaceae, Bryophyta) w Pienińskim Parku Narodowym. Contemporary distribution of Buxbaumia viridis (Buxbaumiaceae, Bryophyta) in the Pieniny National Park. Pieniny—Przyr. Człowiek 2012, 12, 81–86. [Google Scholar]
- Callaghan, D.; Taylor, S. Classification of sporophyte stages in Buxbaumia viridis. Field Bryol. 2017, 117, 5–7. [Google Scholar]
- Wiklund, K. Substratum preference, spore output and temporal variation in sporophyte production of the epixylic moss Buxbaumia viridis. J. Bryol. 2002, 24, 187–195. [Google Scholar] [CrossRef]
- Szmajda, P.; Bednarek-Ochyra, H.; Ochyra, R.M. 639. Buxbaumia viridis (DC.) Moug. & Nestl. In Atlas of the Geographical Distribution of Spore Plants in Poland, Ser. V. Mosses (Musci) 7; Ochyra, R., Szmajda, P., Eds.; W. Szafer Institute of Botany of the Polish Academy of Sciences, Adam Mickiewicz University: Kraków, Poland, 1991; pp. 47–52. ISBN 832320330X. [Google Scholar]
- Anonymous. Green Bug Moss—Draft Bryophyte Management Recommendation; The Bureau of Land Management: Oregon, WA, USA, 1996.
- Taylor, S. Buxbaumia viridis in Abernethy Forest and other sites in northern Scotland. Field Bryol. 2010, 100, 9–14. [Google Scholar]
- Hajek, B. Charakterystyka współczesnych stanowisk mchu Buxbaumia viridis na Wysoczyźnie Elbląskiej (Polska północna). Characterization of current Buxbaumia viridis localities in the Elbląg Upland (Northern Poland). Park. Nar. Rezerwaty Przyr. 2008, 27, 27–34. [Google Scholar]
- Hajek, B. Rozmieszczenie, wymagania środowiskowe oraz fenologia rzadkiego mchu Buxbaumia viridis (Moug. ex Lam. & DC.) Brid ex Moug & Nestl. w Trójmiejskim Parku Krajobrazowym. Distribution, environmental requirements and phenology of rare moss Buxbaumia viridis (Moug. ex Lam. & DC.) Brid. ex Moug. & Nestl. in Trójmiejski Landscape Park (N Poland). Acta Bot. Cassubica 2010, 7–9, 161–175. [Google Scholar]
- Szczepaniuk, A.; Kucharzyk, J. New occurrence of rare protected moss species Buxbaumia viridis (Bryopsida, Buxbaumiaceae) in the Białowieża Forest. Steciana 2016, 20, 93–96. [Google Scholar] [CrossRef]
- Schofield, W.B. Buxbaumiaceae. In Flora of North America North of Mexico. Volume 27, Bryophytes: Mosses, Part 1; Flora of North America Editorial Committee, Ed.; Oxford University Press: New York, NY, USA, 2007; pp. 118–120. [Google Scholar]
- Hill, M.O.; Bell, N.; Bruggeman-Nannenga, M.A.; Brugués, M.; Cano, M.J.; Enroth, J.; Flatberg, K.I.; Frahm, J.-P.; Gallego, M.T.; Garilleti, R.; et al. An annotated checklist of the mosses of Europe and Macaronesia. J. Bryol. 2006, 28, 198–267. [Google Scholar] [CrossRef]
- Hodgetts, N.; Cálix, M.; Englefield, E.; Fettes, N.; Criado, M.G.; Patin, L.; Nieto, A.; Bergamini, A.; Bisang, I.; Baisheva, E.; et al. A miniature World in Decline: European Red List of Mosses, Liverworts and Hornworts; IUCN, International Union for Conservation of Nature: Brussels, Belgium, 2019; ISBN 9782831719931. [Google Scholar]
- Uyar, G.; Alatas, M.; Oren, M.; Kecell, T. The Bryophyte Flora of Yenice Forests (Karabük, Turkey). Int. J. Bot. 2007, 3, 129–146. [Google Scholar] [CrossRef][Green Version]
- Özçelik, A.D.; Uyar, G.; Ören, M. Bryophyte flora of Gevne and Dimçayı Valleys (Antalya-Konya/Turkey). Biol. Divers. Conserv. 2016, 9, 25–34. [Google Scholar]
- Natura 2000 Access Database—European Environment Agency. Available online: https://www.eea.europa.eu/data-and-maps/data/natura-11/natura-2000-tabular-data-12-tables/natura-2000-access-database (accessed on 8 March 2021).
- Sabovljević, M.; Natcheva, R.; Dihoru, G.; Tsakiri, E.; Dragićević, S.; Erdağ, A.; Papp, B. Check-list of the mosses of SE Europe. Phytol. Balc. 2008, 14, 207–244. [Google Scholar]
- Akatova, T.V.; Ignatova, E.A. On the moss flora of Lagonaki Highland (Adygea Republic, the Western Caucasus). Arctoa 2015, 24, 148–155. [Google Scholar] [CrossRef][Green Version]
- Michalski, R.; Pawlaczyk, P.; Szymczuk, R. Raport o Stanie Ochrony Bezlistu Okrywowego Buxbaumia viridis na Terenie Nadleśnictwa Stuposiany w Granicach Obszaru Natura 2000 Bieszczady PLC180001. Report on the Conservation Status of the Green Shield-Moss Buxbaumia viridis in the Stuposiany Forest District within the Natura 2000 Site Bieszczady PLC180001; 2014. [Google Scholar]
- Michalski, R.; Pawlaczyk, P.; Szymczuk, R. Raport o Stanie Ochrony Bezlistu Okrywowego Buxbaumia viridis na terenie Nadleśnictwa Lutowiska w Granicach Obszaru Natura 2000 Bieszczady PLC180001. Report on the Conservation Status of the Green Shield-Moss Buxbaumia viridis in the Lutowiska Forest District within the Natura 2000 site Bieszczady PLC180001; 2014. [Google Scholar]
- Paciorek, T. New locality of moss Buxbaumia viridis (Moug. ex Lam. & DC.) Brid. ex Moug. & Nestl. in relation to its distribution in the Beskid Sądecki range (Western Carpathians, Poland). Acta Musei Silesiae Sci. Nat. 2012, 61, 285–288. [Google Scholar] [CrossRef]
- Jasík, M.; Potocký, P. Analýza aktuálneho výskytu Buxbaumia viridis na strednom slovensku. Analysis of the recent distribution of Buxbaumia viridis in central Slovakia. Bryonora 2016, 58, 1–17. [Google Scholar]
- Holá, E.; Vrba, J.; Linhartová, R.; Novozámská, E.; Zmrhalová, M.; Plášek, V.; Kučera, J. Thirteen years on the hunt for Buxbaumia viridis in the Czech Republic: Still on the tip of the iceberg? Acta Soc. Bot. Pol. 2014, 83, 137–145. [Google Scholar] [CrossRef]
- Plášek, V. Výskyt mechu Buxbaumia viridis v NPR Stužica (NP Poloniny). An occurrence of the moss Buxbaumia viridis in “Stužica” National Nature Reserve (“Poloniny” National Park). Bull. Slov. Bot. Spoločn. 2006, 28, 57–59. [Google Scholar]
- Chachuła, P.; Vončina, G. The discovery of Buxbaumia viridis (Bryophyta, Buxbaumiaceae) in the Bieszczady National Park. Rocz. Bieszczadzkie 2010, 18, 419–423. [Google Scholar]
- Cykowska, B.; Vončina, G. Recent occurrence of moss Buxbaumia viridis (Bryophyta, Buxbaumiaceae) in the Kłodzko region (Central and Eastern Sudetes, SW Poland). Čas. Slezského Zemského Muz. 2011, 60, 85–89. [Google Scholar] [CrossRef]
- Kropik, M.; Zechmeister, H.G.; Fuxjäger, C. The Fate of Bryophyte Sporophytes—Phenology and Vectors of Buxbaumia viridis in the Kalkalpen National Park, Austria. Plants 2020, 9, 1320. [Google Scholar] [CrossRef]
- Kozik, J.; Vončina, G. Odkrycie bezlistu okrywowego Buxbaumia viridis (Bryophyta, Buxbaumiaceae) w Beskidzie Niskim (Karpaty Zachodnie). Discovery of Buxbaumia viridis (Bryophyta, Buxbaumiaceae) in the Beskid Niski range (Western Carpathians). Rocz. Bieszczadzkie 2012, 20, 378–383. [Google Scholar]
- Hodgetts, N.; Blockeel, T.; Konstantinova, N.; Lönnell, N.; Papp, B.; Schnyder, N. Buxbaumia viridis. Available online: https://www.iucnredlist.org/species/84329324/87793246 (accessed on 10 February 2021).
- Rozporządzenie Ministra Środowiska z dnia 11 września 2001 r. w sprawie listy gatunków roślin rodzimych dziko występujących objętych ochroną gatunkową ścisłą częściową oraz zakazów właściwych dla tych gatunków i odstępstw od tych zakazów. Dziennik Ustaw nr 106 poz. 1167. Regulation of the Minister of the Environment of September 11, 2001 on the list of native wild plant species under strict and partial legal protection, prohibitions specific to those species and exemptions from those prohibitions. J. Laws 2001, 1167, 106. [Google Scholar]
- Zarzecki, R. Nowe stanowisko Buxbaumia viridis (Buxbaumiaceae, Bryophyta) w połoudniowo-wschodniej Polsce. New localities of Buxbaumia viridis (Buxbaumiaceae, Bryophyta) in SE Poland. Fragm. Florist. Geobot. Pol. 2012, 19, 561–564. [Google Scholar]
- Torzewski, K.; Kozienko, A.; Rajsz, A. New records of Buxbaumia viridis (Buxbaumiaceae bryophyta) in the Sudetes. Steciana 2018, 21, 93–96. [Google Scholar] [CrossRef]
- Torzewski, K. Locality of Buxbaumia viridis (Buxbaumiaceae) on the Ślęża Massif (Stanowisko Buxbaumia viridis (Buxbaumiaceae) w Masywie Ślęży. Fragm. Florist. Geobot. Pol. 2019, 26, 422–425. [Google Scholar]
- Stebel, A. Buxbaumia viridis—bezlist okrywowy [Buxbaumia viridis—green shield-moss]. In Poradniki Ochrony Siedlisk i Gatunków Natura 2000—Podręcznik Metodyczny [Natura 2000 Site and Species Conservation Guides]. T. 9. Gatunki roślin [Plant Species]; Sudnik-Wójcikowska, B., Werblan-Jakubiec, H., Eds.; Ministry of the Environment: Warsaw, Poland, 2004; pp. 29–32. ISBN 8386564431. [Google Scholar]
- Talarczyk, A. National Forest Inventory in Poland. Balt. For. 2014, 20, 333–341. [Google Scholar]
- Plášek, V. The moss Buxbaumia viridis (Bryopsida, Buxbaumiaceae) in the Czech part of the Western Carpathians—Distribution and ecology. In Bryological Studies in the Western Carpathians; Stebel, A., Ochyra, R., Eds.; Sorus: Poznań, Poland, 2004; pp. 37–44. [Google Scholar]
- Rozporządzenie Ministra Środowiska z dnia 30 marca 2010 r. w sprawie sporządzania projektu planu ochrony dla obszaru Natura 2000. Dziennik Ustaw nr 64 poz. 401 z późn. zmian. Regulation of the Minister of the Environment of March 30, 2010 on preparing a conservation plan for a Natura 2000 site. J. Laws 2010, 401, 64. [Google Scholar]
- R Core Team. R: A Language and Environment for Statistical Computing; 2013. [Google Scholar]
- StatSoft, I. STATISTICA (Data Analysis Software System); 2014. [Google Scholar]
- Deme, J.; Erzberger, P.; Kovács, D.; Tóth, I.Z.; Csiky, J. Buxbaumia viridis (Moug. ex Lam. & DC.) Brid. ex Moug. & Nestl. in Hungary predominantly terricolous and found in managed forests. Cryptogam. Bryol. 2020, 41, 89–103. [Google Scholar] [CrossRef]
- Hajek, B. Nowe stanowisko rzadkiego mchu Buxbaumia viridis (Moug. ex Lam. & DC.) Brid. ex Moug. & Nestl. (Bryophyta, Buxbaumiaceae) na Pomorzu Gdańskim. New record of a rare moss Buxbaumia viridis (Moug. ex Lam. & DC.) Brid. ex Moug. & Nestl. (Bryophyta, Buxbaumiaceae) in the Pomorze Gdańskie region (northern Poland). Acta Bot. Cassubica 2012, 11, 207–211. [Google Scholar]
- Rozporządzenie Ministra Środowiska z dnia 9 października 2014 roku w sprawie ochrony gatunkowej roślin. Dziennik Ustaw 2014 poz. 1409. Regulation of the Minister of the Environment of October 9, 2014 on the legal protection of plant species. J. Laws 2014, 1409, 2014. [Google Scholar]
- Schumacker, R.; Martiny, P. Threatened bryophytes in Europe including Macronesia. In Red Data Book of European Bryophytes; Stewart, N.F., Schumacker, R., Martiny, P., Hodgetts, N.G., Eds.; European Committee for Conservation Bryophytes: Trondheim, Norway, 1995; pp. 31–193. ISBN 8299364507. [Google Scholar]
- Bern Convention. Convention on the Conservation of European Wildlife and Natural Habitats. Available online: https://rm.coe.int/1680078aff (accessed on 8 March 2021).
- Council Directive 92/43/EEC of 21 May 1992 on the Conservation of Natural Habitats and of Wild Fauna and Flora. Annex II Animal and Plant Species of Community Interest Whose Conservation Requires the Designation of Special Areas of Conservation. Available online: https://eur-lex.europa.eu/legal-content/EN/TXT/?uri=celex%3A31992L0043 (accessed on 8 March 2021).
- Cykowska, B. New records of Buxbaumia viridis (Bryophyta, Buxbaumiaceae) in the Polish Carpathian. In Bryophytes of the Polish Carpathians; Stebel, A., Ochyra, R., Eds.; Sorus: Poznań, Poland, 2008; pp. 251–255. [Google Scholar]
- Projekt Planu Ochrony dla Obszaru Natura 2000 Bieszczady PLC180001. Conservation Plan Draft for the Natura 2000 Site Bieszczady PLC180001. Available online: http://bip.gdos.gov.pl/procedowanie-projektu-rozporzadzenia-ustanawiajacego-plan-ochrony-dla-obszaru-natura-2000-bieszczady-plc180001 (accessed on 8 March 2021).
- Przybylska, K.; Kucharzyk, S. Skład gatunkowy i struktura lasów BdPN. Species composition and structure of the BNP forests. In Bieszczadzki Park Narodowy—40 Lat Ochrony. The Bieszczady National Park—Forty Years of Conservation; Górecki, A., Zemanek, B., Eds.; Bieszczadzki Park Narodowy: Ustrzyki Górne, Poland, 2016; pp. 117–128. [Google Scholar]
- Gawryś, R.; Szulc, A. Nowe stanowisko mchu Buxbaumia viridis w Puszczy Białowieskiej. New location of the moss Buxbaumia viridis in the Białowieża Forest. For. Res. Pap. 2017, 78, 248–250. [Google Scholar] [CrossRef]
- Bobrowicz, G.; Gottfried, I.; Gottfried, T.; Jankowski, W.; Kisiel, P.; Smoczyk, M.; Zając, K. Siedliska przyrodnicze, rośliny i grzyby. [Natural habitats, plants and fungi]. In Inwentaryzacja Przyrodnicza Gminy Bystrzyca Kłodzka. [Inventory of Natural Heritage in the Commune Bystrzyca Kłodzka]; Jankowski, W., Zając, K., Eds.; „Fulica” Wojciech Jankowski: Wrocław, Poland, 2010. [Google Scholar]
- Wiklund, K. Establishment, Growth and Population Dynamics in two Mosses of Old-Growth Forests. Ph.D. Thesis, Acta Universitatis Upsaliensis, Uppsala, Sweden, 2004. [Google Scholar]
- Ellis, L.T.; Afonina, O.M.; Aleffi, M.; Andriamiarisoa, R.L.; Bačkor, M.; Goga, M.; Bednarek-Ochyra, H.; Callaghan, D.A.; Campisi, P.; Dia, M.G.; et al. New national and regional bryophyte records, 55. J. Bryol. 2018, 40, 173–187. [Google Scholar] [CrossRef]




| Forest District or BNP | Study Areas N | Study Areas with B. viridis | Localities N | Microhabitats N | Sporophytes and Setae N | |
|---|---|---|---|---|---|---|
| N | % | |||||
| Baligród | 62 | 42 | 67.7 | 78 | 107 | 1936 |
| Cisna | 71 (10 1) | 14 (6 1) | 19.7 (42.9 1) | 14 | 38 | 343 |
| Komańcza | 46 | 41 | 89.1 | 74 | 127 | 1892 |
| Lutowiska | 64 | 56 | 87.5 | 104 | 161 | 2467 |
| Stuposiany | 40 | 29 | 72.5 | 55 | 79 | 1550 |
| BNP | 38 | 20 | 52.6 | 28 | 33 | 1009 |
| Others 2 | - | 14 | - | 17 | - | >90 |
| Total | 321 (275 1) | 202 (216 3) | 67.3 (78.5 1) | 353 (370 3) | 545 | 9197 (>9287 3) |
| Type of Treatment | Study Areas N | Study Areas with B. viridis N | B. viridis Localities N | B. viridis Microhabitats N | B. viridis Sporophytes and Setae N | Mean Number of B. viridis Localities per Study Area 1 | Mean Number of B. viridis Microhabitats per Study Area 2 | Mean Number of B. viridis Sporophytes per Study Area 3 |
|---|---|---|---|---|---|---|---|---|
| No treatment | 69 | 30 | 48 | 60 | 1201 | 1.60 a | 2.0 b | 40.03 a |
| Final felling | 99 | 66 | 130 | 208 | 3975 | 1.97 a | 3.15 a | 60.23 a |
| Incidental cutting | 112 | 83 | 139 | 221 | 3330 | 1.67 a | 2.66 ab | 40.12 a |
| Intermediate cutting | 41 | 23 | 36 | 56 | 691 | 1.57 a | 2.43 ab | 30.04 a |
| Total | 321 | 202 | 353 | 545 | 9197 | 1.75 | 2.70 | 45.53 |
| Parameter 1/Indicator ID and Name | Cardinal Indicator | Shares of Localities of a Given Conservation Status 2 | Overall Status 2 | ||||
|---|---|---|---|---|---|---|---|
| FV | U1 | U2 | XX | FV | |||
| I./1 | Number of sporophytes | Yes | 71.6% | 28.4% | 0.0% | 0.0% | FV |
| I./2 | Population area | No | 50.3% | 49.3% | 0.3% | 0.0% | FV |
| II./1 | Number of colonized logs | No | 1.4% | 98.6% | 0.0% | 0.0% | U1 |
| II./2 | Potential habitat area | Yes | 97.6% | 2.4% | 0.0% | 0.0% | FV |
| II./3 | Occupied habitat area | No | 87.0% | 13.0% | 0.0% | 0.0% | FV |
| II./4 | Habitat fragmentation | Yes | 93.2% | 6.8% | 0.0% | 0.0% | FV |
| II./5 | Shade | Yes | 59.6% | 40.4% | 0.0% | 0.0% | FV |
| II./6 | Air humidity | Yes | 53.8% | 42.5% | 3.8% | 0.0% | FV |
| II./7 | Tree and shrub cover | No | 86.0% | 14.0% | 0.0% | 0.0% | FV |
| II./8 | Ground vegetation cover | No | 99.0% | 1.0% | 0.0% | 0.0% | FV |
| II./9 | Bryophyte cover and characteristics | No | 94.2% | 5.1% | 0.7% | 0.0% | FV |
| II./10 | Competing moss species | No | 69.5% | 26.4% | 4.1% | 0.0% | FV |
| II./11 | Expansive species | No | 96.9% | 3.1% | 0.0% | 0.0% | FV |
| II./12 | Alien and invasive species | No | 100.0% | 0.0% | 0.0% | 0.0% | FV |
| III./1 | Conservation prospects | No | 99.7% | 0.3% | 0.0% | 0.0% | FV |
| Type of Substrate | Sporophytes N | Microhabitats N | Mean Number of Sporophytes per Log 1 |
|---|---|---|---|
| Abies alba Mill. | 8362 | 464 | 18.02 a |
| Fagus sylvatica L. | 229 | 19 | 12.05 ab |
| Salix sp. | 120 | 5 | 24.00 a |
| Picea abies (L.) H. Karst. | 105 | 8 | 13.13 ab |
| Populus tremula L. | 25 | 4 | 6.25 ab |
| Alnus incana (L.) Moench. | 6 | 5 | 1.20 b |
| Soil | 5 | 1 | 5 2 |
| No data | 345 | 39 | 8.85 2 |
| Deadwood Decay Stage | Sporophytes N | Logs N | Mean Log Area m2 | Mean Number of Sporophytes per Log | Mean Number of Sporophytes per m2 of Log 1 |
|---|---|---|---|---|---|
| 1 | 20 | 6 | 3.4 | 3.3 | 4.0 |
| 2 | 7149 | 379 | 7.2 | 18.9 | 12.9 a |
| 3 | 1611 | 116 | 4.0 | 13.9 | 14.5 b |
| No data | 412 | 43 | 1.7 | 9.6 | 7.9 |
| Length Class | Diameter Class | Total | ||||
|---|---|---|---|---|---|---|
| <7 cm | 7–30 cm | 30–50 cm | ≥50 cm | No Data | ||
| <0.5 m | 6 | 8 | 2 | 16 | ||
| 0.5–1 m | 19 | 4 | 2 | 25 | ||
| 1–3 m | 2 | 93 | 38 | 15 | 148 | |
| >3 m | 175 | 95 | 46 | 316 | ||
| No data | 39 | 39 | ||||
| Total | 8 | 295 | 137 | 65 | 39 | 544 |
| Air Humidity Level | Microhabitats N | Sporophytes N | Mean Number of Sporophytes per Microhabitat 1 |
|---|---|---|---|
| Very humid | 313 | 5353 | 17.10 a |
| Humid | 216 | 3703 | 17.14 a |
| Dry | 16 | 141 | 8.81 a |
Publisher’s Note: MDPI stays neutral with regard to jurisdictional claims in published maps and institutional affiliations. |
© 2021 by the authors. Licensee MDPI, Basel, Switzerland. This article is an open access article distributed under the terms and conditions of the Creative Commons Attribution (CC BY) license (http://creativecommons.org/licenses/by/4.0/).
Share and Cite
Brewczyński, P.; Grałek, K.; Bilański, P. Occurrence of the Green Shield-Moss Buxbaumia viridis (Moug.) Brid. in the Bieszczady Mountains of Poland. Forests 2021, 12, 374. https://doi.org/10.3390/f12030374
Brewczyński P, Grałek K, Bilański P. Occurrence of the Green Shield-Moss Buxbaumia viridis (Moug.) Brid. in the Bieszczady Mountains of Poland. Forests. 2021; 12(3):374. https://doi.org/10.3390/f12030374
Chicago/Turabian StyleBrewczyński, Piotr, Kamil Grałek, and Piotr Bilański. 2021. "Occurrence of the Green Shield-Moss Buxbaumia viridis (Moug.) Brid. in the Bieszczady Mountains of Poland" Forests 12, no. 3: 374. https://doi.org/10.3390/f12030374
APA StyleBrewczyński, P., Grałek, K., & Bilański, P. (2021). Occurrence of the Green Shield-Moss Buxbaumia viridis (Moug.) Brid. in the Bieszczady Mountains of Poland. Forests, 12(3), 374. https://doi.org/10.3390/f12030374

