Predicting the Potential Geographic Distribution of Sirex nitobei in China under Climate Change Using Maximum Entropy Model
Abstract
1. Introduction
2. Materials and Methods
2.1. The Source of Occurrence Points
2.2. The Selection Occurrence Points
2.3. Environmental Variables
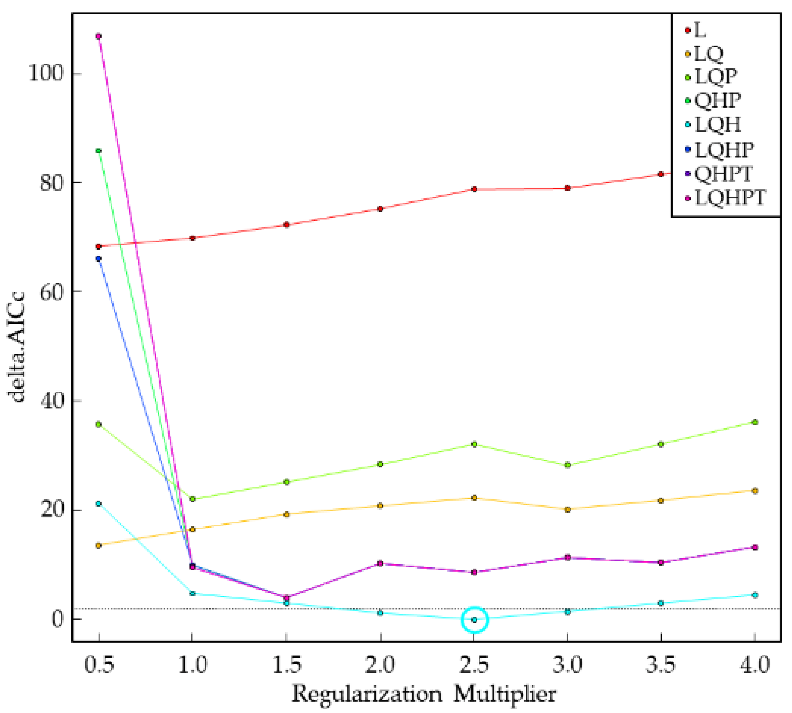
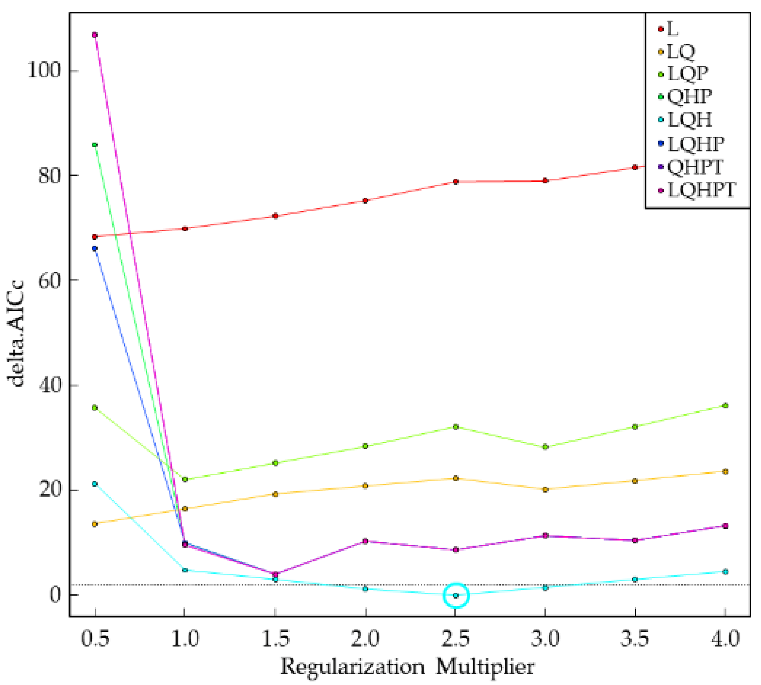
2.4. Maximum Entropy Model Optimization
2.5. Classification of Potentially Suitable Area
2.6. The Predictive Accuracy of Maximum Entropy Model
3. Results
3.1. The Major Parameters of Maximum Entropy Model
3.2. The Predictive Accuracy of Maximum Entropy Model
3.3. The Potential Distribution of S. nitobei under the Current Climate Condition
3.4. The Relationship between the Distribution of S. nitobei and the Environmental Variables
3.5. Potential Distribution of S. nitobei under Future Climate Conditions
4. Discussion
4.1. The Association between Environmental Variables and the Potential Spread of S. nitobei
4.2. The Main Factors Affecting the Predictive Accuracy of the Maximum Entropy Model
4.3. The Suitable Area of S. nitobei under the Future Climate Conditions and the Suggestions about the Pest Control
5. Conclusions
Author Contributions
Funding
Data Availability Statement
Acknowledgments
Conflicts of Interest
References
- Pimentel, D.; Zuniga, R.; Morrison, D. Update on the environmental and economic costs associated with alien-invasive species in the United States. Ecol. Econ. 2005, 52, 273–288. [Google Scholar] [CrossRef]
- Vilà, M.; Espinar, J.L.; Hejda, M.; Hulme, P.E.; Jarošík, V.; Maron, J.L.; Pergl, J.; Schaffner, U.; Sun, Y.; Pyšek, P. Ecological impacts of invasive alien plants: A meta-analysis of their effects on species, communities and ecosystems. Ecol. Lett. 2011, 14, 702–708. [Google Scholar] [CrossRef]
- Mack, R.; Smith, M. Invasive plants as catalysts for the spread of human parasites. NeoBiota 2011, 9, 13–29. [Google Scholar] [CrossRef]
- Vanbergen, A.J.; Espíndola, A.; Aizen, M.A. Risks to pollinators and pollination from invasive alien species. Nat. Ecol. Evol. 2018, 2, 16–25. [Google Scholar] [CrossRef]
- Vilà, M.; Corbin, J.D.; Dukes, J.S.; Pino, J.; Smith, S.D. Linking Plant Invasions to Global Environmental Change. In Terrestrial Ecosystems in a Changing World; Springer: Berlin/Heidelberg, Germany, 2007; pp. 93–102. [Google Scholar]
- Richardson, D.M.; Pyšek, P.; Rejmánek, M.; Barbour, M.G.; Panetta, F.D.; West, C.J. Naturalization and invasion of alien plants: Concepts and definitions. Divers. Distrib. 2000, 6, 93–107. [Google Scholar] [CrossRef]
- Early, R.; Bradley, B.A.; Dukes, J.S.; Lawler, J.J.; Olden, J.D.; Blumenthal, D.M.; Gonzalez, P.; Grosholz, E.D.; Ibañez, I.; Miller, L.P.; et al. Global threats from invasive alien species in the twenty-first century and national response capacities. Nat. Commun. 2016, 7, 1–9. [Google Scholar] [CrossRef]
- Husch, P.E.; Ferreira, D.G.; Seraphim, N.; Harvey, N.; Silva-Brandão, K.L.; Sofia, S.H.; Sosa-Gómez, D.R. Structure and genetic variation among populations of E uschistus heros from different geographic regions in Brazil. Entomol. Exp. Appl. 2018, 166, 191–203. [Google Scholar] [CrossRef]
- Kenis, M.; Branco, M. Impact of alien terrestrial arthropods in Europe. Chapter 5. BioRisk 2010, 4, 51–71. [Google Scholar] [CrossRef]
- Fukuda, H.; Hijii, N. Different parasitism patterns of two hymenopterous parasitoids (Ichineumonidae and Ibaliidae) depending on the development of Sirex nitobei (Hym., Siricidae). J. Appl. Entomol. 1996, 120, 301–305. [Google Scholar] [CrossRef]
- Kobayashi, T.; Sasaki, K.; Enda, N. Correlation between Sirex nitobei and Amylostereum areolatum, associated with the death of Japanese pine trees during winter season. J. Jpn. For. Soc. 1978, 60, 405–411. [Google Scholar]
- Taeger, A.; Blank, S.M.; Liston, A.D. World catalog of symphyta (hymenoptera). Zootaxa 2010, 2580, 1–1064. [Google Scholar] [CrossRef]
- Xiao, G.R.; Huang, X.Y.; Zhou, S.Z.; Wu, J.; Zhang, P. Siricidae; Economic Sawfly Fauna of China (Hymenoptera, Symphyta); Tianze Eldonejo: Xi’an, China, 1991; pp. 37–42. [Google Scholar]
- Fukuda, H.; Kajimura, H.; Hijii, N. Fecundity of the woodwasp, Sirex nitobei Matsumura, in relation to its body size. J. Jpn. For. Soc. 1993, 75, 405–408. [Google Scholar]
- Wang, M.; Wang, L.X.; Li, D.P.; Fu, N.N.; Li, C.C.; Luo, Y.Q.; Ren, L.L. Advances in the Study of Mutualism Relationship Between Amylostereum areolatum and Sirex noctilio. J. Temp. For. Res. 2020, 3, 1–11. [Google Scholar]
- Morgan, F.D. Bionomics of siricidae. Annu. Rev. Entomol. 1968, 13, 239–256. [Google Scholar] [CrossRef]
- Cartwright, K.S.G. A further note on fungus association in the Siricidae. Ann. Appl. Biol. 1938, 25, 430–432. [Google Scholar] [CrossRef]
- Coutts, M.P. The mechanism of pathogenicity of Sirex noctilio on Pinus radiata II. Effects of S. noctilio mucus. Aust. J. Biol. Sci. 1969, 22, 1153–1162. [Google Scholar] [CrossRef]
- Coutts, M.P.; Dolezal, J.E. Sirex noctilio, its associated fungus, and some aspects of wood moisture content. Aust. For. Res. 1965, 1, 3–13. [Google Scholar]
- Coutts, M.P. The mechanism of pathogenicity of Sirex noctilio on Pinus radiata I. Effects of the symbiotic fungus Amylostereum sp. (Thelophoraceae). Aust. J. Biol. Sci. 1969, 22, 915–924. [Google Scholar] [CrossRef]
- Li, D.P.; Shi, J.; Lu, M.; Ren, L.L.; Zhen, C.A.; Luo, Y.Q. Detection and identification of the invasive Sirex noctilio (Hymenoptera: Siricidae) fungal symbiont, Amylostereum areolatum (Russulales: Amylostereacea), in China and the stimulating effect of insect venom on laccase production by A. areolatum YQL03. J. Econ. Entomol. 2015, 108, 1136–1147. [Google Scholar] [CrossRef]
- Phillips, S.J.; Anderson, R.P.; Schapire, R.E. Maximum entropy modeling of species geographic distributions. Ecol. Model. 2006, 190, 231–259. [Google Scholar] [CrossRef]
- Phillips, S.J.; Dudík, M. Modeling of species distributions with Maxent: New extensions and a comprehensive evaluation. Ecography 2008, 31, 161–175. [Google Scholar] [CrossRef]
- Merow, C.; Smith, M.J.; Silander, J.A., Jr. A practical guide to MaxEnt for modeling species’ distributions: What it does, and why inputs and settings matter. Ecography 2013, 36, 1058–1069. [Google Scholar] [CrossRef]
- Phillips, S.J.; Anderson, R.P.; Dudík, M.; Schapire, R.E.; Blair, M.E. Opening the black box: An open-source release of Maxent. Ecography 2017, 40, 887–893. [Google Scholar] [CrossRef]
- Liu, Y.; Shi, J. Predicting the Potential Global Geographical Distribution of Two Icerya Species under Climate Change. Forests 2020, 11, 684. [Google Scholar] [CrossRef]
- Lin, L.L.; He, J.; Xie, L.; Cui, G.F. Prediction of the Suitable Area of the Chinese White Pines (Pinus subsect. Strobus) under Climate Changes and Implications for Their Conservation. Forests 2020, 11, 996. [Google Scholar] [CrossRef]
- Kotlov, I.; Chernenkova, T. Modeling of Forest Communities’ Spatial Structure at the Regional Level through Remote Sensing and Field Sampling: Constraints and Solutions. Forests 2020, 11, 1088. [Google Scholar] [CrossRef]
- Pandit, K.; Smith, J.; Quesada, T.; Villari, C.; Johnson, D.J. Association of Recent Incidence of Foliar Disease in Pine Species in the Southeastern United States with Tree and Climate Variables. Forests 2020, 11, 1155. [Google Scholar] [CrossRef]
- Elith, J.; Phillips, S.J.; Hastie, T.; Dudík, M.; Chee, Y.E.; Yates, C.J. A statistical explanation of MaxEnt for ecologists. Divers. Distrib. 2011, 17, 43–57. [Google Scholar] [CrossRef]
- Ahmed, S.E.; McInerny, G.; O’Hara, K.; Harper, R.; Salido, L.; Emmott, S.; Joppa, L.N. Scientists and software–surveying the species distribution modelling community. Divers. Distrib. 2015, 21, 258–267. [Google Scholar] [CrossRef]
- Farashi, A.; Kaboli, M.; Karami, M. Predicting range expansion of invasive raccoons in northern Iran using ENFA model at two different scales. Ecol. Inform. 2013, 15, 96–102. [Google Scholar] [CrossRef]
- Fischbein, D.; Lantschner, M.V.; Corley, J.C. Modelling the distribution of forest pest natural enemies across invaded areas: Towards understanding the influence of climate on parasitoid establishment success. Biol. Control 2019, 132, 177–188. [Google Scholar] [CrossRef]
- Sun, X.T.; Xu, Q.; Luo, Y.Q. A Maximum Entropy Model Predicts the Potential Geographic Distribution of Sirex noctilio. Forests 2020, 11, 175. [Google Scholar] [CrossRef]
- Fick, S.E.; Hijmans, R.J. WorldClim 2: New 1 km spatial resolution climate surfaces for global land areas. Int. J. Climatol. 2017, 37, 4302–4315. [Google Scholar] [CrossRef]
- Hijmans, R.J.; Cameron, S.E.; Parra, J.L.; Jones, P.G.; Jarvis, A. Very high resolution interpolated climate surfaces for global land areas. Int. J. Climatol. A J. R. Meteorol. Soc. 2005, 25, 1965–1978. [Google Scholar] [CrossRef]
- Harris, R.M.B.; Grose, M.R.; Lee, G.; Bindoff, N.L.; Porfirio, L.L.; Fox-Hughes, P. Climate projections for ecologists. Wiley Interdiscip. Rev. Clim. Chang. 2014, 5, 621–637. [Google Scholar] [CrossRef]
- Moss, R.H.; Edmonds, J.A.; Hibbard, K.A.; Manning, M.R.; Rose, S.K.; Vuuren, D.P.V.; Carter, T.R.; Emori, S.; Kainuma, M.; Kram, T.; et al. The next generation of scenarios for climate change research and assessment. Nature 2010, 463, 747–756. [Google Scholar] [CrossRef] [PubMed]
- Vuuren, D.P.V.; Edmonds, J.; Kainuma, M.; Riahi, K.; Thomson, A.; Hibbard, K.; Hurtt, G.C.; Kram, T.; Krey, V.; Lamarque, J.-F.; et al. The representative concentration pathways: An overview. Clim. Chang. 2011, 109, 5–13. [Google Scholar] [CrossRef]
- Fan, X.W.; Miao, C.Y.; Duan, Q.Y.; Shen, C.W.; Wu, Y. The performance of CMIP6 versus CMIP5 in simulating temperature extremes over the global land surface. J. Geophys. Res. Atmos. 2020, 125, e2020JD033031. [Google Scholar] [CrossRef]
- Xin, X.G.; Wu, T.W.; Zhang, J.; Zhang, F.; Li, W.P.; Zhang, Y.W.; Lu, Y.X.; Fang, Y.J.; Jie, W.H.; Zhang, L.; et al. Comparison of simulation results of the Arctic sea ice by BCC_CSM: CMIP5 and CMIP6 historical experiments. Haiyang Xuebao 2020, 42, 49–64. [Google Scholar]
- Xin, X.G.; Wu, T.W.; Zhang, J.; Zhang, F.; Li, W.P.; Zhang, Y.W.; Lu, Y.X.; Fang, Y.J.; Jie, W.H.; Zhang, L.; et al. Introduction of BCC models and its participation in CMIP6. Adv. Clim. Chang. Res. 2019, 15, 533–539. [Google Scholar]
- Wu, X.Z. A preliminary study on Sirex rufi-abomins. Sci. Silvae Sin. 1985, 21, 315–318. [Google Scholar]
- Fu, G.S.; Xu, F.Y.; Ge, M.H. A preliminary study on Sirex juvencus imperialis Kirby and its parasitical natural enemy Ibalia leucospoided. J. Nanjing For. Univ. 1995, 19, 42–46. [Google Scholar]
- Du, W.G.; Jiao, J.W.; Wang, Q.Y. Brief Report on Luring and Collecting Sirex nitobei by Trap Log. Heilongjiang Agric. Sci. 2011, 5, 57–58. [Google Scholar]
- Wang, M.; Bao, M.; Ao, T.G.; Ren, L.L.; Luo, Y.Q. Population distribution patterns and ecological niches of two Sirex species damaging Pinus sylvestris var. mongolica. Chin. J. Appl. Entomol. 2017, 54, 924–932. [Google Scholar]
- Lu, Z.B.; Gao, T.; Shui, S.Y.; Shi, H.L.; Ren, L.L.; Shi, J. Biological characteristics of Sirex nitobei (Hymenoptera: Siricidae) on the Hasi mountain natural Pinus tabuliformis forest in Gansu province. J. Northwest For. Univ. 2018, 33, 158–161. [Google Scholar]
- Guevara, L.; Gerstner, B.E.; Kass, J.M.; Anderson, R.P. Toward ecologically realistic predictions of species distributions: A cross-time example from tropical montane cloud forests. Glob. Chang. Biol. 2018, 24, 1511–1522. [Google Scholar] [CrossRef]
- Hortal, J.; Roura-Pascual, N.; Sanders, N.J.; Rahbek, C. Understanding (insect) species distributions across spatial scales. Ecography 2010, 33, 51–53. [Google Scholar] [CrossRef]
- Sillero, N. What does ecological modelling model? A proposed classification of ecological niche models based on their underlying methods. Ecol. Model. 2011, 222, 1343–1346. [Google Scholar] [CrossRef]
- Anderson, R.P.; Gonzalez, I., Jr. Species-specific tuning increases robustness to sampling bias in models of species distributions: An implementation with Maxent. Ecol. Model. 2011, 222, 2796–2811. [Google Scholar] [CrossRef]
- Verbruggen, H.; Tyberghein, L.; Belton, G.S.; Mineur, F.; Jueterbock, A.; Hoarau, G.; Gurgel, C.F.D.; De Clerck, O. Improving transferability of introduced species’ distribution models: New tools to forecast the spread of a highly invasive seaweed. PLoS ONE 2013, 8, e68337. [Google Scholar] [CrossRef]
- Phillips, S.J.; Dudík, M.; Schapire, R.E. A maximum entropy approach to species distribution modeling. In Proceedings of the Twenty-First International Conference on Machine Learning; Association for Computing Machinery: New York, NY, USA, 2004; pp. 655–662. [Google Scholar]
- Akaike, H. Information theory and an extension of the maximum likelihood principle. In The Second International Symposium on Information Theory; Akadémiai Kiadó: Budapest, Hungary, 1973; pp. 267–281. [Google Scholar]
- Morales, N.S.; Fernández, I.C.; Baca-González, V. MaxEnt’s parameter configuration and small samples: Are we paying attention to recommendations? A systematic review. PeerJ 2017, 5, e3093. [Google Scholar] [CrossRef] [PubMed]
- Radosavljevic, A.; Anderson, R.P. Making better Maxent models of species distributions: Complexity, over fitting and evaluation. J. Biogeogr. 2014, 41, 629–643. [Google Scholar] [CrossRef]
- Pearson, R.G.; Raxworthy, C.J.; Nakamura, M.; Peterson, A.T. Predicting species distributions from small numbers of occurrence records: A test case using cryptic geckos in Madagascar. J. Biogeogr. 2007, 34, 102–117. [Google Scholar] [CrossRef]
- Swets, J.A. Measuring the accuracy of diagnostic systems. Science 1988, 240, 1285–1293. [Google Scholar] [CrossRef] [PubMed]
- Lobo, J.M.; Jiménez-Valverde, A.; Real, R. AUC: A misleading measure of the performance of predictive distribution models. Glob. Ecol. Biogeogr. 2008, 17, 145–151. [Google Scholar] [CrossRef]
- Peterson, A.T.; Papeş, M.; Soberón, J. Rethinking receiver operating characteristic analysis applications in ecological niche modeling. Ecol. Model. 2008, 213, 63–72. [Google Scholar] [CrossRef]
- Qiao, H.J.; Peterson, A.T.; Campbell, L.P.; Soberón, J.; Ji, L.Q.; Escobar, L.E. NicheA: Creating virtual species and ecological niches in multivariate environmental scenarios. Ecography 2016, 39, 805–813. [Google Scholar] [CrossRef]
- Fukuda, H.; Hijii, N. Host-tree conditions affecting the oviposition activities of the woodwasp, Sirex nitobei Matsumura (Hymenoptera: Siricidae). J. For. Res. 1996, 1, 177–181. [Google Scholar] [CrossRef]
- Fukuda, H.; Hijii, N. Bark thickness of host pine trees and female body size affecting ovipositional success of Sirex nitobei Matsumura (Hymenoptera: Siricidae). J. For. Res. 1998, 3, 185–186. [Google Scholar] [CrossRef]
- Martínez, A.S.; Villacide, J.; Fernández Ajó, A.A.; Martinson, S.J.; Corley, J.C. Sirex noctilio flight behavior: Toward improving current monitoring techniques. Entomol. Exp. Appl. 2014, 152, 135140. [Google Scholar] [CrossRef]
- Liu, X.B.; Zheng, Z.J.; Zhou, F.; Ren, L.L.; Luo, Y.Q. Effects of age (in days), gender and nematode infection on the flight capacity of Sirex noctilio. Chin. J. Appl. Entomol. 2017, 54, 933–939. [Google Scholar]
- Lovejoy, T.E. Discontinuous wilderness: Minimum areas for conservation. Parks 1980, 5, 13–15. [Google Scholar]
- Soulé, M. Thresholds for survival: Maintaining fitness and evolutionary potential. In Comservation Biology: An Evolutionary-Ecological Perspective; Sinauer Associates: Sunderland, MA, USA, 1980; pp. 151–169. [Google Scholar]
- Shaffer, M.L. Minimum population sizes for species conservation. BioScience 1981, 31, 131–134. [Google Scholar] [CrossRef]
- Xu, H.F.; Lu, H.J. Minimum Viable Population—A Basic Theory of Conservation Biology. Chin. J. Ecol. 1996, 15, 25–30. [Google Scholar]
- Fukuda, H.; Hijii, N. Reproductive strategy of a woodwasp with no fungal symbionts, Xeris spectrum (Hymenoptera: Siricidae). Oecologia 1997, 112, 551–556. [Google Scholar] [CrossRef]
- Li, C.C.; Wang, L.X.; Ren, L.L.; Li, H.D.; Luo, Y.Q. Effects of Temperature Adaptation of Symbiotic Wood-decay Fungus Amylostereum areolatum on Potential Distribution Area of Sirex noctilio. J. Northeast For. Univ. 2019, 47, 112–117. [Google Scholar]
- Li, C.C.; Wang, L.X.; Li, J.L.; Gao, C.L.; Luo, Y.Q.; Ren, L.L. Thermal survival limits of larvae and adults of Sirex noctilio (Hymenoptera: Siricidae) in China. PLoS ONE 2019, 14, e0218888. [Google Scholar] [CrossRef]
- Hughes, G.; Madden, L.V. Evaluating predictive models with application in regulatory policy for invasive weeds. Agric. Syst. 2003, 76, 755–774. [Google Scholar] [CrossRef]
- Xia, W.C.; Zhang, C.; Zhuang, H.F.; Ren, B.P.; Zhou, J.; Shen, J.; Ali, K.; Luan, X.F.; Li, D.Y. The potential distribution and disappearing of Yunnan snub-nosed monkey: Influences of habitat fragmentation. Glob. Ecol. Conserv. 2020, 21, e00835. [Google Scholar] [CrossRef]







| Climate Variables | Code | Percent Contribution |
|---|---|---|
| Monthly total precipitation in July (mm) | prec7 | 35.9 |
| Monthly average maximum temperature in February (°C) | tmax2 | 21.0 |
| Monthly total precipitation in December (mm) | prec12 | 8.6 |
| Monthly average minimum temperature in July (°C) | tmin7 | 2.8 |
| Isothermality (×100) | bio3 | 0.5 |
| Climate Conditions | AUC | AUC Ratio |
|---|---|---|
| Near current | 0.990 | 1.90 |
| 2021–2040 ssp126 | 0.990 | 1.85 |
| 2041–2060 ssp126 | 0.980 | 1.89 |
| 2061–2080 ssp126 | 0.986 | 1.88 |
| 2081–2100 ssp126 | 0.987 | 1.86 |
| 2021–2040 ssp245 | 0.991 | 1.87 |
| 2041–2060 ssp245 | 0.981 | 1.85 |
| 2061–2080 ssp245 | 0.989 | 1.84 |
| 2081–2100 ssp245 | 0.995 | 1.86 |
| 2021–2040 ssp370 | 0.984 | 1.86 |
| 2041–2060 ssp370 | 0.986 | 1.88 |
| 2061–2080 ssp370 | 0.983 | 1.85 |
| 2081–2100 ssp370 | 0.980 | 1.84 |
| 2021–2040 ssp585 | 0.992 | 1.86 |
| 2041–2060 ssp585 | 0.982 | 1.86 |
| 2061–2080 ssp585 | 0.984 | 1.88 |
| 2081–2100 ssp585 | 0.985 | 1.86 |
Publisher’s Note: MDPI stays neutral with regard to jurisdictional claims in published maps and institutional affiliations. |
© 2021 by the authors. Licensee MDPI, Basel, Switzerland. This article is an open access article distributed under the terms and conditions of the Creative Commons Attribution (CC BY) license (http://creativecommons.org/licenses/by/4.0/).
Share and Cite
Gao, T.; Xu, Q.; Liu, Y.; Zhao, J.; Shi, J. Predicting the Potential Geographic Distribution of Sirex nitobei in China under Climate Change Using Maximum Entropy Model. Forests 2021, 12, 151. https://doi.org/10.3390/f12020151
Gao T, Xu Q, Liu Y, Zhao J, Shi J. Predicting the Potential Geographic Distribution of Sirex nitobei in China under Climate Change Using Maximum Entropy Model. Forests. 2021; 12(2):151. https://doi.org/10.3390/f12020151
Chicago/Turabian StyleGao, Tai, Qiang Xu, Yang Liu, Jiaqiang Zhao, and Juan Shi. 2021. "Predicting the Potential Geographic Distribution of Sirex nitobei in China under Climate Change Using Maximum Entropy Model" Forests 12, no. 2: 151. https://doi.org/10.3390/f12020151
APA StyleGao, T., Xu, Q., Liu, Y., Zhao, J., & Shi, J. (2021). Predicting the Potential Geographic Distribution of Sirex nitobei in China under Climate Change Using Maximum Entropy Model. Forests, 12(2), 151. https://doi.org/10.3390/f12020151

