Abstract
Miombo woodland (MW) has several multi-purpose forest species, which are over-exploited for agriculture, charcoal and logging. Industrial plantations are among the promising solutions for sustainable management of MW, but high-yielding MW species are still lacking in the forestry sector. In this context, the present study assessed the growth of MW species, with respect to their early (ES) or late (LS) successional status. Seedling development was assessed for eight tree species, which were ES (Combretum collinum, Pterocarpus tinctorius) and LS (Brachystegia boehmii, B. longifolia, B. spiciformis, B. wangermeana, Julbernardia globiflora, J. paniculata), 1, 2 and 4 years after planting. Germination and survival varied in relation to ontogenetic traits of the species, but not the successional status, as was the case for growth and productivity. Seed germination was 60% to 88% for all species (except C. collinum). Seedling survivorship was greater than 70% for most species, except for J. paniculata (36%). ES species have greater growth compared to LS, due to the allocation of biomass to diameter and the length of the root, respectively, from the early stage of seedling development. These two strategies of biomass allocation are positively correlated with height. We further observed two distinct phases of seedling development (0–2 and 2–4 years) for all species. Growth differences among LS species were identified 4 years after planting. Based on seedling biomass, B. spiciformis, C. collinum and P. tinctorius are the most productive potential candidates for reforestation of degraded MW. We concluded that seedling growth and productivity varied according to strategies of biomass allocation that were related to successional status (ES (Chipya group) versus LS (Miombo group)) and to age following planting.
1. Introduction
Miombo woodland (MW) occupies an area of about 2.7 million km2 of central and Southern Africa. MW is characterized by the dominance of trees in the genera Brachystegia, Julbernardia and Isoberlinia [1]. The vegetation is dominated by drought-deciduous woody plants (canopy: 10% of the ground surface), which experience a dry season of three months or more [2]. This woodland is spread across Angola, Zambia, Democratic Republic of Congo (DRC), Malawi, Zimbabwe, Mozambique and Tanzania [1,2]. The MW is degraded mainly by slash-and-burn agriculture and by demands for charcoal and fuel wood [3]. In the Lubumbashi region (southeast DRC), forest cover has been lost at an estimated rate of 89 km2/year between 2001 to 2011 [4].
MW has strong resilience, based on natural regeneration through resprouting [5,6]. Yet, it may take more than 20 years for resprouted vegetation to attain exploitable status [5,7]. As a result, reforestation programs use fast-growing exotic species, such as Australian acacias [8,9,10] and eucalyptus [11]. These species, in turn, can have a detrimental effect on soil microbial communities and the regeneration of native species [12], and cause imbalance in ecosystem form and function [13].
In addition, for stumped agricultural fallows, natural regeneration does not completely restore Miombo species [7]. To ensure sustainable use and sustainable management of the MW resources, local species must be integrated into the reforestation program. These species offer timber and non-timber forest products [14,15], which cannot be substituted by exotic species. For example, Pterocarpus tinctorius Welw. (African padouk or barwood, English; mkula, Nyanja; mukula, Bemba, Lunda) is used for fuel wood, timber, construction material and herbal medicine, especially to treat lung congestion in children [16,17,18]. The multiple uses for the species used in this study are listed in Section 2.2. Overall, there are few studies on the growth and productivity in plantations, for a large number of MW and other woodland species (ES: early successional; LS: late-successional) over a long period of monitoring.
Numerous studies have documented a high degree of variability in seed germination, ranging between 17% and 100%, for some MW and woodland species [19,20,21,22,23,24,25]. In studying the ecology of seedlings for over two years, Chidumayo [19] did not observe any differences between Brachystegia spiciformis Benth. (zebrawood, English; msasa, Swahili) and Julbernardia paniculata (Benth.) Troupin (mutondo, Bemba, Lenje, Nyanja; mwanda, Lunda) in terms of stem height and biomass. In contrast, interspecific variation in standing biomass in mature or degraded woodland is linked to variability in tree diameter and height [26,27], differences between sites [28], and land use [6,29]. The previous studies do not address successional status (ES, LS) and growth strategies as determinants of species growth, because tree seedlings slowly growth from seed for typical Miombo species (LS) [30]. At the seedling phase, the biomass allocation in root growth is a main drive of the slow shoot growth, as observed in B. spiciformis and J. paniculata seedlings [19]. In tropical habitats, such as cleared and abandoned Miombo woodland, the secondary succession is made by early successional fast growing species (e.g., Albizia, Combretum and Pterocarpus species), but the later successional species (e.g., Brachystegia and Julbernardia species in Miombo woodland) are sparse [7] and grow slowly as documented by Chidumayo [28]. This study assesses the growth of woodland species and selects the best species, based on productivity, in relation to the successional status (early and late species).
Our core research question is whether seedlings of pioneer species (Chipya group sensu Lawton [31]), such as P. tinctorius and C. collinum Fresen. (weeping bushwillow, English; vaiërende boswilg, Afrikaans), exhibit better development compared to late species (Miombo group). To answer this question, we evaluated the germination, survival, growth and productivity of seedlings, in a plantation from December 2010 to April 2014, in relation to the successional status (early and late successional species).
2. Materials and Methods
2.1. Study Site
This study was carried out in Mikembo (35 km NE of Lubumbashi, Haut Katanga Province) in the Southeastern Democratic Republic of Congo (11°28′5.22″ S, 27°39′35.7″ E; average elevation, 1192 m). It has a Cwa climate according to the Köppen classification. The Cwa climate is characterized by a dry winter and a hot summer [32], with a uni-modal rainfall pattern consisting of a rainy season (November to March) and a dry season (May to September). October and April are considered as transitional months. Annual precipitation is 1200 mm, while annual average temperature ranges from 17 to 26 °C [15].
The study area is dominated by Ferralsols (FAO; Oxisols, USDA 7th Approx.), particularly haplic ferralsols [33]. On the study site, we identified a clayey ferralsol with acidic pH, low nutrient content and high Al and Fe concentrations (Table 1). The experimental site was covered with Miombo woodland, which was currently degraded and consisted of a dense herbaceous cover and sparse trees. Hyparrhenia diplandra (Hack.) Stapf (thatching grass) was the most abundant grass species (more or less 90%). We identified other herbaceous species in isolated tufts, including: Affromum sanguineum (K. Schum.) K. Schum, Imperata cylindrica (L.) P. Beauv., Smilax anceps Willd. and Panicum maximum Jacq. The tree layer was composed of Albizia adiantifolia (Schumach.) W. Wight, Annona senegalensis Pers, C. collinum, Pericospsis angolensis (Baker) Meeuwen, Strychnos spinosa Lam., Syzygium guineense Wall. and Terminalia sp.
Table 1.
Soil properties of the Mikembo site, 20 cm depth.
2.2. Species Selection and Seed Collection
Species were selected based on the concept of ecological groups in the dynamics of natural regeneration of degraded woodland [31]. Lawton [31] classified the species into four ecological groups according to their successional status: Chipya, Uapaca spp., Miombo and Mateshi. In this study, we used only early and late successional species—which were respectively Chipya (ES) and Miombo (LS)—based on functional traits and seed availability. According to Lawton [31], the Chipya group is composed of pioneer species that are heliophilic, resistant to fire and grass competition. This is the case of species in the genus Combretum (Combretaceae) and the genus Pterocarpus (Fabaceae, Papilionoïdeae). In contrast, species in the Miombo group (Brachystegia and Julbernardia) belong to the family Fabaceae (often legumes without nodules), subfamily Caesalpinïoideae. They are shade-tolerant and require protection against fire and competition from grasses to progress from the sapling stage to the canopy (Table 2).
Table 2.
Characteristics of tree species used as seed sources for planting.
Seeds were collected from eight woody species (Table 2), from June to September 2010, in the Mikembo Floral-Faunal Reserve (Lubumbashi, DR Congo). Seed collection was carried out on 10 trees, selected for their desirable characteristics (e.g., healthy tree, straight stem, availability and viability of seeds), in three areas each of 4 to 10 ha. For species of Brachystegia and Julbernardia, seeds were collected under the canopy of the seed trees, disseminated by autochory (dehiscence of the pods). For C. collinum and P. tinctorius, seeds were extracted from the dried fruits and non-dehiscent pods, respectively. The seeds were sorted and mixed to form a composite sample of 1500 viable seeds per species, stored in polyethylene bags at 22 to 25 °C. A preliminary germination test was conducted at the Seed Conservation Laboratory, Faculty of Agricultural Sciences, University of Lubumbashi, DR Congo. The test determined that soaking seeds in lukewarm tap water for 24 h was the best seed pre-treatment for all species.
2.3. Installation and Assessment of Seedling Development
The development of the seedlings was evaluated on a cohort of seeds that were sown in a nursery from December 2010 to March 2014. In November 2010, a plot (15 × 15 m) was established by felling shrubs and mowing the grass cover, followed by plowing to 25 cm depth. The plot was divided into subplots of 1 m2, aligned in six linear blocks of eight subplots (Figure A1A). Within a given block and between blocks, the distance separating subplots was 30 cm. Seeds were planted on 10 December 2010 (100 seeds/plot) equidistant within subplots (10 × 10 cm) for all species listed in Table 2. Each species randomly occupied a subplot of 1 m2, in a linear block of eight subplots, which corresponded to a randomized complete block design (Figure A1A,B). In order to obtain a good survival rate and growth, seedlings were manually watered during the dry season (May to October) and the four years of plantation, on three alternating days per week, with 10 L of well water per plot for all species.
Seedling emergence was estimated during the rainy season from the number of seedlings per 100 seeds planted. The number of seedlings was counted at 15 day intervals from 10 December 2010 to 29 March 2011. Subsequent survival of seedlings was assessed in March, June and September 2011 (dry season), by counting the number of live seedlings present on the plot. In September 2011, thinning was conducted to leave three seedlings per plot for all species and selected according to their diameter and height, which were 30 cm apart and circumscribed by a triangle. Regrowth on thinned seedlings and competing vegetation were cut monthly (September to April: rainy season) and at two months (May to August: dry season) to eliminate competition with seedlings. In March 2012, stem traits (height and diameter) and root traits (diameter and length) were measured for all seedlings (1 and 2 years old). For root traits measurements, destructive method was used by excavating the seedlings from the soil. Indeed, stem diameter and root diameter are diameters measured at root collar level (1 and 2 years; or RCD) and at 15 cm from collar level for root diameter (RD), respectively. In March 2014, only height and stem diameter at 10 cm from the ground surface were measured for the 4-year-old saplings. All allometric measurements were made on three seedlings per subplot (3 blocks) for each of eight species with a caliper for diameter and a ruler for height.
From the primary data, we determined the stem height/root length ratio (SH/RL ratio), the stem height/stem diameter ratio (SH/SD ratio) and the seedlings volume index (SVI). The SH/RL ratio was calculated by dividing the stem height on root length (adapted from [34]). The SH/SD ratio was estimated by dividing the stem height by stem diameter. Finally, the volume index of the seedlings was calculated using the following formula: SVI = (D2 * H)/100, where D is stem diameter (cm) and H is stem height (cm) [35].
2.4. Data Analysis
Data that were collected in our study were submitted to repeated measures analysis of variance (RMANOVA, such as split-plot) using the MIXED procedure of SAS (version 9.4, SAS Institute Inc., Cary, NC, USA). In order to test the differences between variables, the species (8 levels) and block were used as the principal factor and subject, respectively; while age was considered as the subplot (within-subject, 2, 3 and 5 levels for growth traits, survival and germination, respectively). We used 3 and 6 block levels for growth traits and seedling emergence, respectively. Compound symmetry (cs) was used as the covariance structure. To validate the statistical model in our data (ANOVA assumptions), data were log10-transformed for seedling emergence (germination and survival), stem height and root length. Log10(x + 1) transformation was applied to data for stem diameter, root traits (root collar diameter and root diameter), SH/SD ratio, SH/RL ratio and volume index of seedlings. Means were compared through Tukey HSD tests (p < 0.05), including for interaction (species and age). Simple comparisons (1 degree-of-freedom contrasts) were used to examine the differences between and within groups of differing successional status (ecological groups) 4 years after planting.
To test the degree of correlation between variables, Pearson product-moment correlation (r) analysis was performed using the rcorr function from the Hmisc library [36] in the R statistical environment (R Core Team, 2019). To explain seedling mortality, we measured the correlation between seedling survival and growth variables (stem and root diameter, stem height and root length), 9 months after planting. The shoot growth strategy of the species was identified, two years after planting, based on Pearson correlations between heights, root length and stem and root diameter. For this last correlation, analysis was performed by pooling all species data for the Chipya (ES) group and, again, for the Miombo group (LS).
3. Results
3.1. Germination and Survival of Seedlings
To determine whether the rate of germination and survival of seedlings differed between species, we tested the effects of species, age (day after planting) and the species by age interaction. Germination was significantly different among all species (F (7. 40) = 44.27, p < 0.0001) and was affected by age (F (4. 160) = 15.34, p < 0.0001) and the species × age interaction (F (28, 16) = 3.25, p < 0.0001). The mean germination averaged between 50% (SD = 10.21) and 83.3% (SD = 3.09) for all species, except for C. collinum (26.3%). Most species germinated 15 days after planting (Figure 1). Yet, peak germination was reached respectively at 30 and 45 days for all LS species and one ES (C. collinum). Seedling mortality was noted from 60 days forward for all species, except P. tinctorius, the seeds of which germinated up to 75 days after planting.
Figure 1.
Emergence of seedlings of 8 tree species of woodland, during the rainy season (10 December 2010 to 29 March 2011). ccol: C. collinum and ptin: P. tinctorius (ES); bboe: B. boehmii, blon: B. longifolia, bspi: B. spiciformis, bwan: B. wangermeana, jglo: J. globiflora and jpan: J. paniculata (LS). N = 6 replicates (subplot) per species.
A significant difference in survival was observed in age (F (2. 80) = 87.29, p < 0.0001) and among species (F (7. 40) = 15.74, p < 0.0001). Given their interaction, temporal responses depended upon species and vice versa (F (14, 80) = 27.2, p < 0.0001). Seedling survival was greater than 73.35% (SD = 21.84), and there was no significant difference between 4, 7 and 10 months after planting for six of the eight species. Yet, seedling survival of J. globiflora and J. paniculata significantly differed between 10 and 7 months and 10 and 4 months (Figure 2). Ten months after planting (September 2011: hot, dry season), seedling survival of J. paniculata significantly decreased drastically (average = 36.8%, Figure 2).
Figure 2.
Survival of seedlings of 8 trees species of woodland, 4 to 10 months after planting (dry season: 30 March 2011 to 30 September 2011, corresponding to the dormancy period of the trees). ccol: C. collinum and ptin: P. tinctorius (ES); bboe: B. boehmii, blon: B. longifolia, bspi: B. spiciformis, bwan: B. wangermeana, jglo: J. globiflora and jpan: J. paniculata (LS). N = 6 replicates (subplot) per species.
3.2. Influence of Age on Seedling Growth
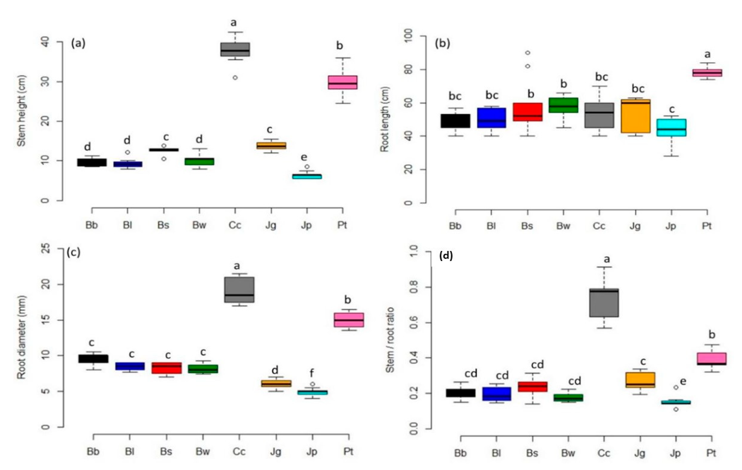
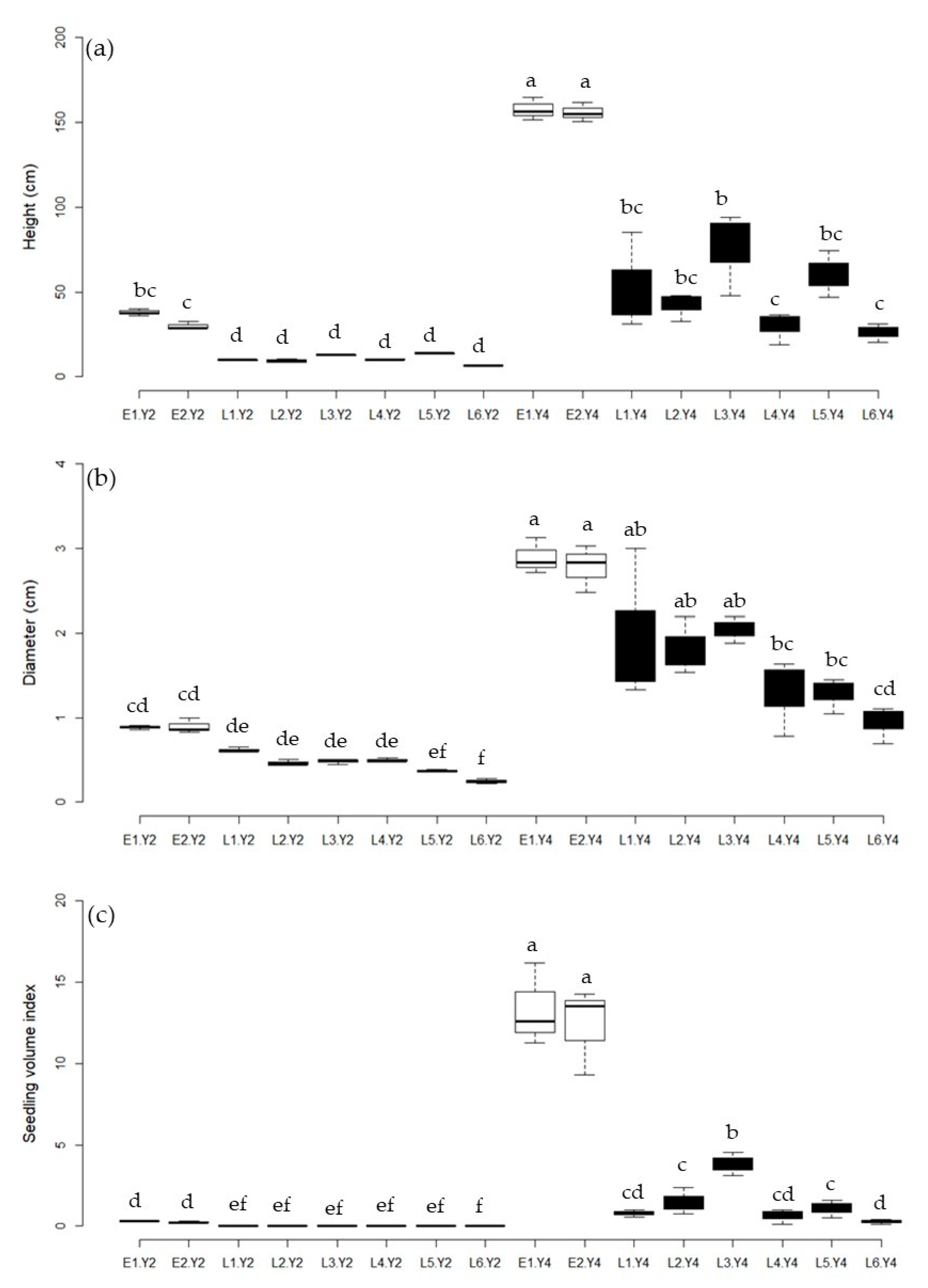
We conducted tests regarding the influence of age on seedling growth and found that growth of ES and LS species differed significantly between 2 and 4 years (Figure 3, Table A2 and Table A3) after planting. Age has a more significant effect (10–20 times) on height (F (1, 16) = 586.96; p < 0.0001), diameter of the stem at collar level (F (1, 16) = 355.95; p < 0.0001) and seedling volume index (F (1, 16) = 637.24; p < 0.0001) than the species factor and interaction (species x age) (Table A2 and Table A3). These important differences indicate two phases of seedling development, which are distinguished by strong growth in the root (0–2 years, Figure A2), height, RCD and seedling volume index or biomass (2–4 years, Figure 3). The first phase shows two different root growth strategies between the ES and LS species (Table 3a,b).
Figure 3.
Seedling growth of 8 tree species of woodland. (a) Height (cm), (b) diameter of the stem measured at the root collar (RCD, 2 years) and at 10 cm above the soil surface (4 years) (cm) and (c) seedling volume index (cm3). E and L: early and late successional species, respectively. Y2 and Y4: 2 and 4 years after planting, respectively. E1: C. collinum and E2: P. tinctorius (ES); L1: B. boehmii, L2: B. longifolia, L3: B. spiciformis, L4: B. wangermeana, L5: J. globiflora and L6: J. paniculata (LS). N = 3 replicates (subplot) and 3 seedlings per replicate and per species Box and whisker plots summarize the 25th, 50th (median line) and 75th percentiles defining the box, together with the 10th (lower whisker) and 90th (upper whisker) percentiles, for the responses for each species. Letters above the boxplots indicate mean differences with respect to age and species, according to post-hoc Tukey HSD tests (p < 0.05).
Table 3.
Pearson correlation (r) between growth variables for early (a) and late (b) successional species, two years after planting.
ES species allocate biomass as reflected in the diameter and length of the root (RD and LR; Figure A2b,c). However, the root diameter (RD) is positively correlated with height growth (Table 3a). In contrast, LS species invest their biomass more in root length, which is positively correlated with height growth (Table 3b). In addition, the SH-RL ratio (Figure A2d) is significantly low for LS compared to ES (C. collinum and P. tinctorius) (F = 65.18, p < 0.0001).
In Figure 3, the increase in variation (CV) in height was positively correlated with the variation in stem diameter for all species (Spearman’s rank correlation: rs = 0.738, n = 16, p = 0.02). A great variation was observed between 2 and 4 years for all species (CV = 100.4% and 71.1% for height and stem diameter, respectively). It was average between species for the same year (2 (CV = 66.9% and 40.2%) and 4 years (CV = 69.3% and 40.1%) for height and diameter, respectively.
3.3. Variation in Seedling Growth and Productivity
The simple contrast analysis showed that differences in growth were highly significant between early and late successional species (ES vs. LS) for all observed variables (Table 4). Height was significantly greater for ES species compared to LS. The same pattern was observed for the stem diameter, the stem/diameter ratio and the volume index of seedlings. No difference was detected between the ES species in terms of any indices of growth. Yet, we found significant differences within LS species, between the species of the genus Brachystegia and the genus Julbernadia, and within these two genera (Table 4). Brachystegia spiciformis and J. globiflora had better growth (height and volume index) compared to other species within the genus Brachystegia and Julbernardia, respectively. Seedlings of B. spiciformis had a mean height (90.8 ± 2.6 cm) and volume index (3.28 ± 0.97 cm3) that were greater than B. boehmii, B. longifolia, and B. wangermeeana; this response was also the case for J. globiflora (64.9 ± 6.5 cm and 1.23 ± 0.24 cm3) compared to J. paniculata (28.4 ± 2.1 cm and 0.31 ± 0.06 cm3) (Table 4). Based on the volume index of the seedlings, C. collinum, P. tinctorius and B. spiciformis were more productive (Table 4).
Table 4.
Differences in mean (±SD) seedling length and diameter growth among eight tree species from woodland (ES versus LS), four years after planting. Means in a given column with the same letter do not differ from one another (p ≥ 0.05).
4. Discussion
We made the first comprehensive comparison of growth, 4 years after planting, between ES and LS of the woodlands. ES had early growth (shoot and productivity) compared to LS, as reported for four tropical trees (2 ES and 2 LS) from India [37]. In the present work, the difference is due to different root growth strategies between ES and LS, which were identified 2 years after planting. ES species allocate more biomass in terms of increasing root diameter, while LS species allocate more biomass to the root length. These strategies of root growth are positively correlated with shoot height, in agreement with Chidumayo [19] who showed that the slow shoot growth in LS (B. spiciformis and J. paniculata, Miombo trees) is a result of biomass allocation in root growth.
4.1. Interspecific Variation in Seedling Emergence and Survival
Differences in seedling emergence and survival were not related to successional status. The germination rate suggests a virtual absence of seed dormancy, together with substantial germination for B. boehmii, B. longifolia, B. spiciformis, B. wangermeeana, J. globiflora, J. paniculata and P. tinctorius (>50%), except for C. collinum (26%). Our results agree with other studies of J. globiflora (>85%) [38], B. spiciformis (85%) and J. paniculata (68%) [19], and B. utilis, B. bussei, B. microphylla and J. globiflora (>80%) [25].
Low seed germination of C. collinum (ES) can be explained by low viability of the seeds and the adaptation to regeneration by resprouting. In this study, seeds lost their viability after six months of storage, given that laboratory germination rates were high (>80%) using seeds that were one-month-old. Loss of germinability has been reported after one year of seed storage for J. globiflora [39] and J. paniculata [19]. For seeds that were planted in the field, as was the case in our trial, viability is affected by fungal infection, as observed by Chidumayo [39] for J. globiflora. Low germination rates were detected in a species within the Combretaceae (Terminalia sericea Buch. ex Dc.), i.e., 12.7% to 51% [23] and 35% to 67% [20]. This suggests strong variability in the germination capacity of seeds for species within the Combretaceae family.
Previous studies have reported that C. collinum regenerates easily through stump resprouting in Kenya [40] and South Africa [41]. This species appears to have adapted to vegetative regeneration, thereby reducing its reliance on viable seed. In fact, resprouting is a resilient strategy for most species in tropical savannas and dry forests [42]. This is the case of C. collinum, which was inventoried in degraded woodlands in Botswana [43] and Kenya [39], in the savannas of Limpopo Province (South Africa) [40], and in wasteland that is subject to fire in Zambia [7,31].
A high number of seedlings was obtained 15 days after planting. Except for P. tinctorius (ES), mortality was observed from 60 days onward for the seedlings of C. collinum (ES), B. boehmii, B. longifolia, B. spiciformis, B. wangermeana, J. globiflora and J. paniculata (LS). This mortality is probably due to insect herbivory (field observations) rather than to drought, which is a major cause of seedling mortality [19]. In our study, 45 days after planting corresponds to the middle of the rainy season, i.e., the month of February [15].
In September 2011 (10 months after planting), seedling survival was low for J. globiflora and J. paniculata (species LS) compared to other species. For seedlings of J. paniculata, 64% mortality is higher than that observed for J. paniculata (54% [19]) and J. globiflora (57–60% [39]). In our study, watering did not reduce seedling mortality of these two species, while Chidumayo [19] reported that seedling mortality (B. spiciformis and J. paniculata) was caused by drought. Adaptation to the unimodal rainfall regime means that irrigation during the dry season would not improve the survival of some species of the woodland (e.g., 20% seedling survival with Uapaca kirkiana Müll. Arg. (mahobohobo or sugar plum), despite irrigation [44]). The low survival of seedlings can be explained by a low growth (height, stem and root diameter, Figure A2) positively correlated with survival (Table A1). Seedlings did not accumulate considerable biomass in terms of height and diameter to resist desiccation in September 2011 (end of dry season and hot temperature), as reported by Chidumayo [19]. In particular, J. paniculata regenerates mainly by stump resprouting in charcoal production sites [45].
4.2. Variation in the Growth of Tree Species in Relation with Successional Status
We observed significant differences between ES and LS species, in terms of their growth (height, RCD, SD, RD, SH/SD ratio and volume index of the seedlings). The early growth for ES would be linked to adaptations to intense luminosities in degraded woodland [31] and biomass allocation strategies (stem versus root) [37]. ES species have large leaf areas and a high rate of leaf renewal [37], which permits high photosynthetic capacity and productivity. In this study, we did not measure light interception variables, a crucial research question for the future. Yet, Inman-Narahari et al [46] observed reductions in seedling growth (11%–12%) due to light effects on six Hawaiian species. As was the case in our study, Shukla and Ramakrishnan [37] reported that ES and LS species allocate biomass to the stem and root, respectively. In this study, biomass is allocated both in the stem (height) and in the root (RD and RL) for ES species (C. collinum and P. tinctorius) during the first phase of growth (0 to 2 years). Our observations reveal two different growth strategies based on a positive correlation of height with diameter and length of root for ES and LS, respectively. The ES species allocate the biomass to growth in diameter and length of the root, while the LS invest their biomass more in terms of root length which would explain a slow shoot growth during the development of the seedlings, as observed in Miombo seedlings trees (B. spiciformis and J. paniculata [19]). However, for 66 tree species of temperate forest, specific length of the root and root diameter were not clearly related to growth rate [38]. The relationship between stem growth and root traits requires more data and remains an open question for future research of the woodland tree species.
Woodland species regenerate both sexually (seeds) and vegetatively (stump resprouting and root suckers) [30,45]. Regeneration of Miombo species (LS) is slow for planted seeds compared to stump resprouting [30]. This study also reveals the low growth rate of LS species (in the genera Brachistegia and Julbernardia) compared to ES, due to the low stem height/root length ratio, in the first growth phase, for all Miombo species (LS). Chidumayo [19] reports a high allocation of biomass to root growth during seedling development of Miombo species, in agreement with our findings.
4.3. Substantial Change of Seedling Growth in Relation to Age
In the secondary succession of abandoned woodland in Zambia, Stromgaard [7] reported three distinct phases of growth over a 25-year period (0–1, 2–6 and 6–25 years). In our study, the four growing seasons can be split into two phases (0–2 and 2–4 years), causing a substantial change in growth, especially in terms of seedling biomass (Seedling volume index). Evaluation of the biomass at 4 years also allowed us to identify significant differences between LS species. The differences between LS species, which were characterized by slow initial growth, were not observed by Chidumayo [19] between the biomass of seedlings of B. spiciformis and J. paniculata, two years after planting. Growth as a function of age agrees with Chidumayo [30], who reported that age better predicts annual increment in diameter.
The standing biomass of certain species, which was estimated using allometric models, does not clearly show the differences between species in mature or degraded open forests. This is due to variability in tree diameter and height [26,27] differences between sites [28] and use of the woodland [6,29]. In contrast to these studies, our results clearly showed interspecific differences in the growth of seedlings of similar age being subjected to the same environmental conditions. The volume index of seedlings, which indicates their productivity [35], shows that C. collinum and P. tinctorius (ES) are more productive because the index is 3- to 40-fold higher compared to LS species (Miombo). Based on the volume index of seedlings, the three best-performing species were C. collinum and P. tinctorius (ES), and B. spiciformis (LS).
C. collinum and P. tinctorius (ES) had an average height greater than 1 m (157.6 ± 5.4 and 155.8 ± 4.5 cm), a diameter less than 3 cm (27.3 ± 2.5 and 27.8 ± 2.3 mm) and a seedling volume index of 11.87 ± 2.43 and 12.17 ± 2.09 cm3, respectively. In contrast, B. spiciformis has a height of less than one meter (90.8 ± 2.6 cm), a diameter of 18.8 ± 2.7 mm and a volume index of 3.28 ± 0.97 cm3. The mean height is in the range of that reported by Chidumayo [30] for both typical Miombo (LS) species and other canopy species, following 4 year old coppice regrowth. Yet, for the same age of the trees (4 years), our dendrometric measures are far lower compared to the growth of an exotic model species (Acacia auriculiformis A. Cunn. Ex Benth. (northern black wattle), diameter = 10.6 to 17.8 cm; height = 10.4 to 15.3 m and biomass = 53.6 to 150.9 kg), which is used for fuelwood in six provinces of the Democratic Republic of Congo [10].
5. Conclusions
ES species (C. collinum and P. tinctorius) have early growth (height, RCD, SD, RD and volume index of seedlings) compared to LS species (B. boehmii, B. longifolia, B. spiciformis, B. wangermeeana, J. globiflora and J. paniculata). Based on seedling productivity (volume index), B. spiciformis, C. collinum and P. tinctorius are more productive and potential candidates for reforestation of degraded woodland. Variations in growth are due to the allocation of biomass in the diameter and length of the root, from the first phase of seedling development of ES and LS, respectively. A substantial change in seedling productivity was observed for all species between 0–2 and 2–4 years, indicating two distinct phases of seedling development. Yet, growth differences between LS species (Miombo group) were observed 4 years after planting. The transferability of these results to reforestation programs, is very limited, because of site variability (different responses of tree species to rainfall and physicochemical soil properties) and multiple uses of the forest.
Author Contributions
K.K.J.M.: conceptualization, methodology, formal analysis and writing first draft of manuscript. K.N.A.: data collection; M.M.M.M., K.L.M.E., N.S.M. and T.H.: contribution to drafting and critical revision of the manuscript; D.K.: supervision and project administration and critical revision of the manuscript. All authors have read and agreed to the published version of the manuscript.
Funding
This research was funded by the Foundation Rachel Forest and the Network of Forest and Environmental Training Institutions of Central Africa (RIFFEAC, project to support the expanded training program in natural resource management in the Congo Basin funded by the Congo Basin Forest Fund and managed by the African development Bank.
Acknowledgments
The authors thank engineers Mukobe Kaymba and Mwema Musenge for establishing and monitoring seedlings in the nursery during the first year. We also thank the other students (anonymous) for data collection (2 and 4 years after planting).
Conflicts of Interest
The authors declare no conflict of interest.
Appendix A
Figure A1.
Experimental design (A), seedlings at three months (B) and at four years of age (C) for tree species of woodland. CC: C. collinum and PT: P. tinctorius (Early successional species), BB: B. boehmii, BL: B. longifolia, BS: B. spiciformis, BW: B. wangermeana, JG: J. globiflora and JP: J. paniculata (Late successional species). B1 to B6: linear blocks.
Figure A1.
Experimental design (A), seedlings at three months (B) and at four years of age (C) for tree species of woodland. CC: C. collinum and PT: P. tinctorius (Early successional species), BB: B. boehmii, BL: B. longifolia, BS: B. spiciformis, BW: B. wangermeana, JG: J. globiflora and JP: J. paniculata (Late successional species). B1 to B6: linear blocks.

Table A1.
Pearson correlations between survival and growth of seedlings of woodland trees, 9 months after planting. RCD: diameter of the stem at collar level, RD: diameter of the root at 15 cm from collar level; SH: height of the stem and RL: the root length. ***: p ≤ 0.001; **: p ≤ 0.01 and ns: not significant (p > 0.05).
Table A1.
Pearson correlations between survival and growth of seedlings of woodland trees, 9 months after planting. RCD: diameter of the stem at collar level, RD: diameter of the root at 15 cm from collar level; SH: height of the stem and RL: the root length. ***: p ≤ 0.001; **: p ≤ 0.01 and ns: not significant (p > 0.05).
| Survival | |
|---|---|
| SH | 0.464 ** |
| RL | 0.197 ns |
| RCD | 0.683 *** |
| RD | 0.464 ** |
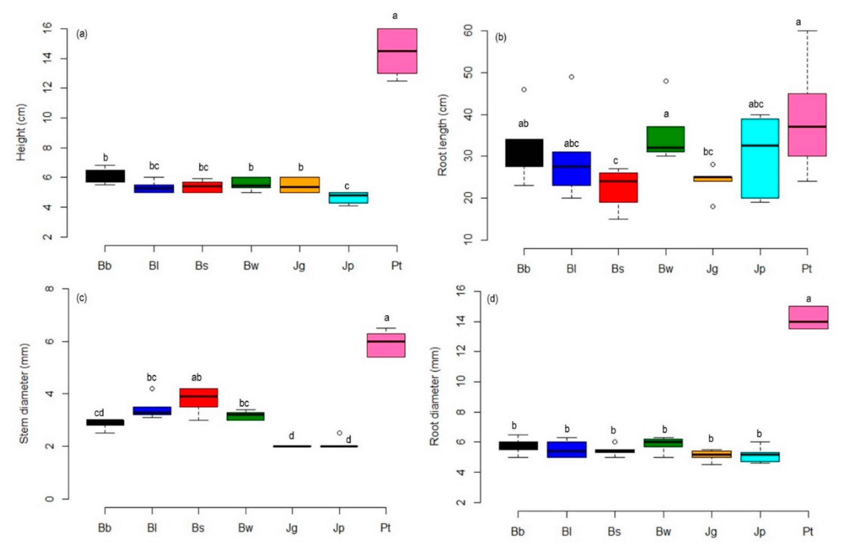
Figure A2.
Growth of seedlings of 7 tree species from the woodland, 9 months after planting (September 2011). Bb: B. boehmii, Bl: B. longifolia, Bs: B. spiciformis, Bw: B. wangermeana, Jg: J. globiflora, Jp: J. paniculata and Pt: P. tinctorius. N = 3 replicates and 6 seedlings per replicate and per species. (a) Height of stem (SH), (b) length of root (RL), (c) diameter of stem at collar level (RCD) and (d) diameter of root at 15 cm of collar level (RD). Letters indicate differences at the 5% level according to post-hoc Tukey HSD tests.
Figure A2.
Growth of seedlings of 7 tree species from the woodland, 9 months after planting (September 2011). Bb: B. boehmii, Bl: B. longifolia, Bs: B. spiciformis, Bw: B. wangermeana, Jg: J. globiflora, Jp: J. paniculata and Pt: P. tinctorius. N = 3 replicates and 6 seedlings per replicate and per species. (a) Height of stem (SH), (b) length of root (RL), (c) diameter of stem at collar level (RCD) and (d) diameter of root at 15 cm of collar level (RD). Letters indicate differences at the 5% level according to post-hoc Tukey HSD tests.

Table A2.
Analysis of variance on the effects of age and species on height (standard error = 0.075, N = 48) and diameter of the stem at collar level (Diameter, standard error = 0.037, N= 48).
Table A2.
Analysis of variance on the effects of age and species on height (standard error = 0.075, N = 48) and diameter of the stem at collar level (Diameter, standard error = 0.037, N= 48).
| log10Height | log10(Diameter + 1) | |||
|---|---|---|---|---|
| Species | 2 Years | 4 Years | 2 Years | 4 Years |
| B. boehmii | 0.98 bB | 1.68 bcA | 0.21 abB | 0.46 abA |
| B. longifolia | 0.97 bB | 1.62 bcA | 0.17 abB | 0.45 abA |
| B. spiciformis | 1.10 bB | 1.86 bA | 0.17 abB | 0.48 abB |
| B. wangermeana | 1.01 bB | 1.46 cA | 0.18 abB | 0.36 bA |
| J. globiflora | 1.14 bB | 1.77 bcA | 0.14 abB | 0.36 bA |
| J. paniculata | 0.81 bB | 1.42 cA | 0.096 bB | 0.29 cA |
| P. tinctorius | 1.48 aB | 2.19 aA | 0.28 aB | 0.58 aA |
| C. collinum | 1.58 aB | 2.20 aA | 0.28 aB | 0.59 aA |
| Species | F = 54.54; p < 0.0001 | F = 19.00; p < 0.0001 | ||
| Age | F = 583.95; p < 0.0001 | F = 376.57; p < 0.0001 | ||
| Species × Age | F = 1.52; p = 0.23 | F = 2.06; p = 0.11 | ||
Letters indicate differences at the 5% level, based on post-hoc Tukey HSD tests. Lowercase and uppercase letters, respectively, represent comparisons between species (same year) and between years (for one species).
Figure A3.
Seedling growth of the woodland tree species, 2 years after planting. (a) Height, (b) root length, (c) root diameter at 15 cm of collar level (RD) and (d) stem height/root length ratio. Cc: C. collinum and Pt: P. tinctorius (ES); Bb: B. boehmii, Bl: B. longifolia, Bs: B. spiciformis, Bw: B. wangermeana, Jg: J. globiflora and Jp: J. paniculata (LS). N = 3 replicates and 3 seedlings per replicate and per species. Letters indicate differences in species, according to the Tukey HSD test (p < 0.05).
Figure A3.
Seedling growth of the woodland tree species, 2 years after planting. (a) Height, (b) root length, (c) root diameter at 15 cm of collar level (RD) and (d) stem height/root length ratio. Cc: C. collinum and Pt: P. tinctorius (ES); Bb: B. boehmii, Bl: B. longifolia, Bs: B. spiciformis, Bw: B. wangermeana, Jg: J. globiflora and Jp: J. paniculata (LS). N = 3 replicates and 3 seedlings per replicate and per species. Letters indicate differences in species, according to the Tukey HSD test (p < 0.05).

Table A3.
Analysis of variance of the effect of age and species on the ratio of stem height-to-stem diameter at collar level (RHD: standard error = 0.016, N = 48) and the seedling volume index (SVI, standard error = 0.056, N = 48).
Table A3.
Analysis of variance of the effect of age and species on the ratio of stem height-to-stem diameter at collar level (RHD: standard error = 0.016, N = 48) and the seedling volume index (SVI, standard error = 0.056, N = 48).
| Temps | Species | log10(RHD + 1) | log10(SVI + 1) |
|---|---|---|---|
| Brachystegia boehmii | 0.41 f | 0.015 ef | |
| Brachystegia longifolia | 0.48 ef | 0.009 ef | |
| Brachystegia spiciformis | 0.56 de | 0.013 ef | |
| Brachystegia wangermeana | 0.49 ef | 0.011 ef | |
| 2 years | Julbernardia globiflora | 0.68 c | 0.008 ef |
| Julbernardia paniculata | 0.57 de | 0.002 f | |
| Pterocarpus tinctorius | 0.65 cd | 0.095 d | |
| Combretum collinum | 0.73 bc | 0.116 d | |
| Brachystegia boehmii | 0.55 de | 0.252 cd | |
| Brachystegia longifolia | 0.53 e | 0.382 c | |
| Brachystegia spiciformis | 0.74 abc | 0.681 b | |
| Brachystegia wangermeana | 0.52 e | 0.199 cd | |
| 4 years | Julbernardia globiflora | 0.76 ab | 0.309 c |
| Julbernardia paniculata | 0.59 de | 0.101 d | |
| Pterocarpus tinctorius | 0.82 a | 1.119 a | |
| Combretum collinum | 0.81 ab | 1.152 a | |
| Species | F = 95.53; p < 0.0001 | F = 63.24; p < 0.0001 | |
| Age | F = 128.6; p < 0.0001 | F = 637.24; p < 0.0001 | |
| Species × Age | F = 6.82; p = 0.0007 | F = 45.93; p < 0.0001 |
Letters indicate differences based on post-hoc Tukey HSD tests (p < 0.05).
References
- Frost, P. The ecology of miombo woodlands. In The Miombo in Transition: Woodlands and Welfare in Africa; Campbell, B., Ed.; CIFOR (Centre for International Forestry Research): Bogor, Indonesia, 1996; p. 273. [Google Scholar]
- Timberlake, J.; Chidumayo, E.; Sawadogo, L. Distribution and Characteristics of African Dry Forests and Woodlands. In The Dry Forests and Woodlands of Africa Managing for Products and Services; Chidumayo, E.N., Gumbo, D.J., Eds.; Center for International Forestry Research: London, UK; Washington, DC, USA, 2010; p. 304. [Google Scholar]
- GTCR. Etude Qualitative Sur les Causes de la Déforestation et de la Dégradation des Forêts en République Démocratique du Congo; UN-REDD Programme (FAO—UNDP-UNEP) et Ministère de l’Environnement, Conservation de la Nature et Tourisme: Kinshasa, RD Congo, 2012. [Google Scholar]
- Cabala, S.K. Dynamique Spatiotemporelle de la Forêt Claire dans la Plaine de Lubumbashi. Mémoire du Diplôme d’Étude. Approfondie Thesis, Université de Lubumbashi, Lubumbashi, RD Congo, 2012. [Google Scholar]
- Chidumayo, E.N. Development of Brachystegia-Julbernardia woodland after clear-felling in central Zambia: Evidence for high resilience. Appl. Veg. Sci. 2004, 7, 237–242. [Google Scholar] [CrossRef]
- Kalaba, F.K.; Quinn, C.H.; Dougill, A.J.; Vinya, R. Floristic composition, species diversity and carbon storage in charcoal and agriculture fallows and management implications in Miombo woodlands of Zambia. For. Ecol. Manag. 2013, 304, 99–109. [Google Scholar] [CrossRef]
- Stromgaard, P. Early secondary succession on abandoned shifting cultivator’s plots in the Miombo of south central Africa. Biotropica 1986, 18, 97–106. [Google Scholar] [CrossRef]
- Khasa, P.D.; Li, P.; Vallée, G.; Magnussen, S.; Bousquet, J. Early evaluation of Racosperma auriculiforme and R. mangium provenance trials on four sites in Zaire. For. Ecol. Manag. 1995, 78, 99–113. [Google Scholar] [CrossRef]
- Bisiaux, F.; Peltier, R.; Muliele, J.-C. Plantations industrielles et agroforesterie au service des populations des plateaux Batéké, Mampu, en République démocratique du Congo. Bois Forets Des Trop. 2009, 301, 21–32. [Google Scholar] [CrossRef]
- Péroches, A.; Fayolle, A.; Park, W. Production d’ Acacia auriculiformis dans le système agroforestier de Mampu, plateau Batéké, République démocratique du Congo. Bois Forets Des Trop. 2017, 4, 23–36. [Google Scholar]
- Bangirinama, F.; Nzitwanayo, B.; Hakizimana, P. Utilisation du charbon de bois comme principale source d’énergie de la population urbaine: Un sérieux problème pour la conservation du couvert forestier au Burundi. Bois Forets Des Trop. 2016, 8, 45–53. [Google Scholar] [CrossRef]
- Boudiaf, I.; Baudoin, E.; Sanguin, H.; Beddiar, A.; Thioulouse, J.; Galiana, A.; Prin, Y.; Le Roux, C.; Lebrun, M.; Duponnois, R. The exotic legume tree species, Acacia mearnsii, alters microbial soil functionalities and the early development of a native tree species, Quercus suber, in North Africa. Soil Biol. Biochem. 2013, 65, 172–179. [Google Scholar] [CrossRef]
- Bucharova, A. Assisted migration within species range ignores biotic interactions and lacks evidence. Restor. Ecol. 2017, 25, 14–18. [Google Scholar] [CrossRef]
- Campbell, B.; Byron, N. Miombo woodlands and rural livelihoods: Options and opportunities. In The Miombo in Transition: Woodlands and Welfare in Africa; Campbell, B., Ed.; CIFOR (Center for International Forestry Research): Bogor, Indonesia, 1996; p. 273. [Google Scholar]
- Malaisse, F. Se Nourrir en Foret Claire Africaine. In Approche Écologique et Nutritionnelle; Les presses Agronomiques de Gembloux ASBL: Gembloux, Belgique, 1997; 384 p. [Google Scholar]
- Augustino, S.; Hall, J. Population status of Pterocarpus tinctorius: A medicinal plant species in Urumwa forest reserve, Tanzania. Tanzan. J. For. Nat. Conserv. 2008, 78, 89–99. [Google Scholar]
- Chidumayo, E.; Marunda, C. Dry Forests and Woodlands in Sub-Saharan Africa: Context and Challenges. In The Dry Forests and Woodlands of Africa: Managing for Products and Services; Chidumayo, E.N., Gumbo, D.J., Eds.; Center for International Forestry Research: London, UK; Washington, DC, USA, 2010; p. 304. [Google Scholar]
- Mgumia, F.H. Traditional Uses of Miombo Woodland Tree Species in Sikonge District, Tanzania. Int. J. Nat. Resour. Ecol. Manag. 2017, 2, 69. [Google Scholar]
- Chidumayo, E.N. Seedling ecology of two miombo woodland trees. Vegetatio 1992, 103, 51–58. [Google Scholar]
- Amri, E. Germination of Terminalia sericea Buch ex Dc. seeds: Effects of temperature regime, photoperiod, gibberellic acid and potassium nitrate. Am. J. Agric. Environ. Sci. 2010, 8, 722–727. [Google Scholar]
- Chisha-Kasumu, E.; Woodward, S.; Price, A. Comparison of the effects of mechanical scarification and gibberellic acid treatments on seed germination in Pterocarpus angolensis. South Hemisph For. J. 2007, 69, 63–70. [Google Scholar] [CrossRef]
- De Cauwer, V.; Younan, R. Seed germination of Namibian woodland tree species. Dinteria 2015, 35, 43–52. [Google Scholar]
- Likoswe, M.G.; Njoloma, J.P.; Mwase, W.F.; Chilima, C.Z. Effect of seed collection times and pretreatment methods on germination of Terminalia sericea Burch. ex DC. Afr. J. Biotechnol. 2008, 7, 2840–2846. [Google Scholar]
- Mng’omba, S.A.; du Toit, E.S.; Akinnifesi, F.K. Germination characteristics of tree Seeds: Spotlight on Southern African tree species. Tree For. Sci. Biotechnol. 2007, 1, 1–8. [Google Scholar]
- Nkengurutse, J.; Khalid, A.; Mzabri, I.; Kakunze, A.C.; Masharabu, T.; Berrichi, A. Germination optimization study of five indigenous fabaceae tree species from Burundi miombo woodlands. J. Mater. Environ. Sci. 2016, 7, 4391–4403. [Google Scholar]
- Stromgaard, P. Biomass estimation equations for miombo woodland, Zambia. Agrofor. Syst. 1985, 3, 3–13. [Google Scholar] [CrossRef]
- Grundy, I.M. Wood biomass estimation in dry miombo woodland in Zimbabwe. For. Ecol. Manag. 1995, 72, 109–117. [Google Scholar] [CrossRef]
- Chidumayo, E.N. Forest degradation and recovery in a miombo woodland landscape in Zambia: 22 years of observations on permanent sample plots. For. Ecol. Manag. 2013, 291, 154–161. [Google Scholar] [CrossRef]
- Chamshama, S.A.O.; Mugasha, A.G.; Zahabu, E. Stand biomass and volume estimation for miombo woodlands at kitulangalo, morogoro, tanzania. S. Afr. For. J. 2004, 200, 59–70. [Google Scholar] [CrossRef]
- Chidumayo, E.N. Management implications of tree growth patterns in miombo woodlands of Zambia. For. Ecol. Manag. 2019, 436, 105–116. [Google Scholar] [CrossRef]
- Lawton, R. A Study of the Dynamic Ecology of Zambian Vegetation. J. Ecol. 1978, 66, 175–198. [Google Scholar] [CrossRef]
- Peel, M.C.; Finlayson, B.L.; McMahon, T.A. Updated world map of the Köppen-Geiger climate classification. Hydrol. Earth Syst. Sci. 2007, 11, 1633–1644. [Google Scholar] [CrossRef]
- Ngongo, M.L.; Van Ranst, E.; Baert, G.; Kasongo, E.L.; Verdoodt, A.; Mujinya, B.B.; et Mukalay, J.M. Guide des Sols en R.D. Congo; Etude et Gestion. Ecole Technique Salama-Don Bosco: Lubumbashi, République Démocratique du Congo, 2009; 262 p. [Google Scholar]
- Bolinder, M.A.; Angers, D.A.; Bélanger, G.; Michaud, R.; Laverdière, M.R. Root biomass and shoot to root ratios of perennial forage crops in eastern Canada. Can. J. Plant. Sci. 2002, 82, 731–737. [Google Scholar] [CrossRef]
- Balneaves, J.M.; Menzies, M.I. Water potential and subsequent growth of Pinus radiata seedlings: Influence of lifting, packaging, and storage conditions. N. Z. J. For. Sci. 1990, 20, 257–267. [Google Scholar]
- Harrell, F.E. Harrell Miscellaneous (Package ‘Hmisc’). CRAN. 2018, p. 421. Available online: https://github.com/harrelfe/Hmisc (accessed on 6 April 2020).
- Shukla, R.P.; Ramakrishnan, P.S. Biomass allocation strategies and productivity of tropical trees related to successional status. For. Ecol. Manag. 1984, 9, 315–324. [Google Scholar] [CrossRef]
- Kramer-Walter, K.R.; Bellingham, P.J.; Millar, T.R.; Smissen, R.D.; Richardson, S.J.; Laughlin, D.C. Root traits are multidimensional: Specific root length is independent from root tissue density and the plant economic spectrum. J. Ecol. 2016, 104, 1299–1310. [Google Scholar] [CrossRef]
- Chidumayo, E.N. Seedling development of the miombo woodland tree Julbernardia globiflora. J. Veg. Sci. 1991, 2, 21–26. [Google Scholar] [CrossRef]
- Kiruki, H.M.; van der Zanden, E.H.; Gikuma-Njuru, P.; Verburg, P.H. The effect of charcoal production and other land uses on diversity, structure and regeneration of woodlands in a semi-arid area in Kenya. For. Ecol. Manag. 2017, 391, 282–295. [Google Scholar] [CrossRef]
- Neke, K.S.; Owen-Smith, N.; Witkowski, E.T.F. Comparative resprouting response of Savanna woody plant species following harvesting: The value of persistence. For. Ecol. Manag. 2006, 232, 114–123. [Google Scholar] [CrossRef]
- Poorter, L.; Kitajima, K.; Mercado, P.; Chubiña, J.; Melgar, I.; Prins, H.H.T. Resprouting as a persistence strategy of tropical forest trees: Relations with carbohydrate storage and shade tolerance. Ecology 2010, 91, 2613–2627. [Google Scholar] [CrossRef] [PubMed]
- Neelo, J.; Teketay, D.; Kashe, K.; Masamba, W. Stand Structure, Diversity and Regeneration Status of Woody Species in Open and Exclosed Dry Woodland Sites around Molapo Farming Areas of the Okavango Delta, Northeastern Botswana. Open J. For. 2015, 5, 313–328. [Google Scholar] [CrossRef]
- Akinnifesi, F.K.; Mhango, J.; Sileshi, G.; Chilanga, T. Early growth and survival of three miombo woodland indigenous fruit tree species under fertilizer, manure and dry-season irrigation in southern Malawi. For. Ecol. Manag. 2008, 255, 546–557. [Google Scholar] [CrossRef]
- Syampungani, S.; Geldenhuys, C.J.; Chirwa, P.W. Regeneration dynamics of miombo woodland in response to different anthropogenic disturbances: Forest characterisation for sustainable management. Agrofor Syst. 2016, 90, 563–576. [Google Scholar] [CrossRef]
- Inman-Narahari, F.; Ostertag, R.; Asner, G.P.; Cordell, S.; Hubbell, S.P.; Sack, L. Trade-offs in seedling growth and survival within and across tropical forest microhabitats. Ecol. Evol. 2014, 4, 3755–3767. [Google Scholar] [CrossRef]
Publisher’s Note: MDPI stays neutral with regard to jurisdictional claims in published maps and institutional affiliations. |
© 2021 by the authors. Licensee MDPI, Basel, Switzerland. This article is an open access article distributed under the terms and conditions of the Creative Commons Attribution (CC BY) license (http://creativecommons.org/licenses/by/4.0/).


