Condition of Illegally Logged Stands Following High Frequency Legal Logging in Bago Yoma, Myanmar
Abstract
1. Introduction
2. Materials and Methods
2.1. Study Site
2.2. Legal Logging Operations under the MSS
2.3. Field Measurements and Data Analysis
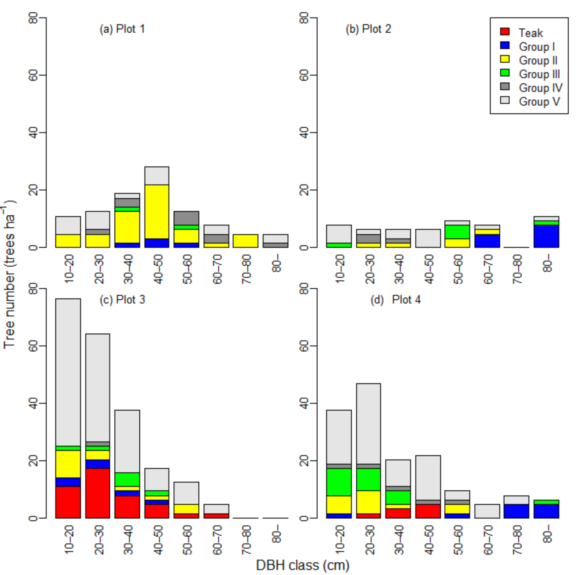
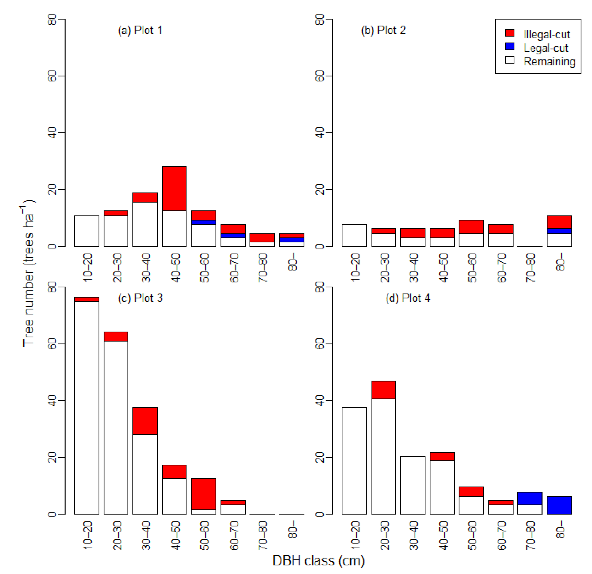
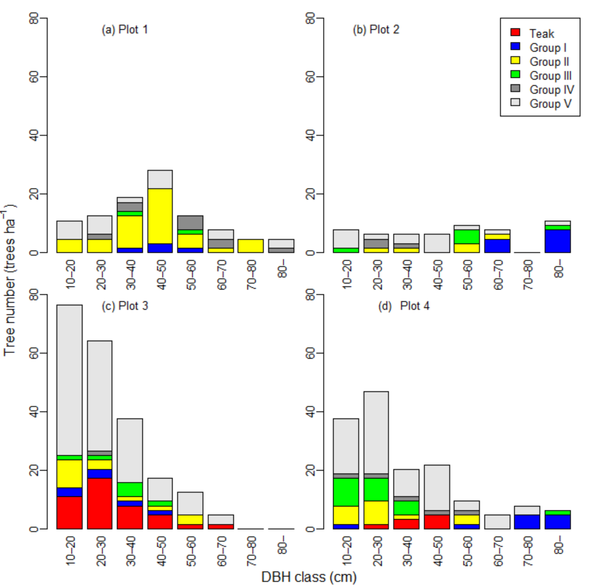
3. Results
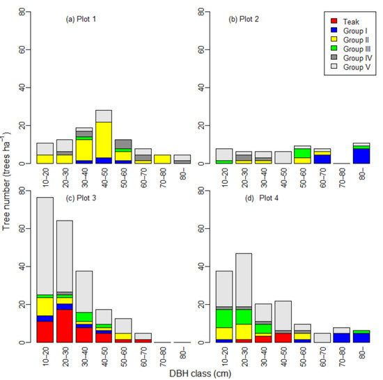
3.1. Stand Structure Prior to the Latest Legal Logging in 2011
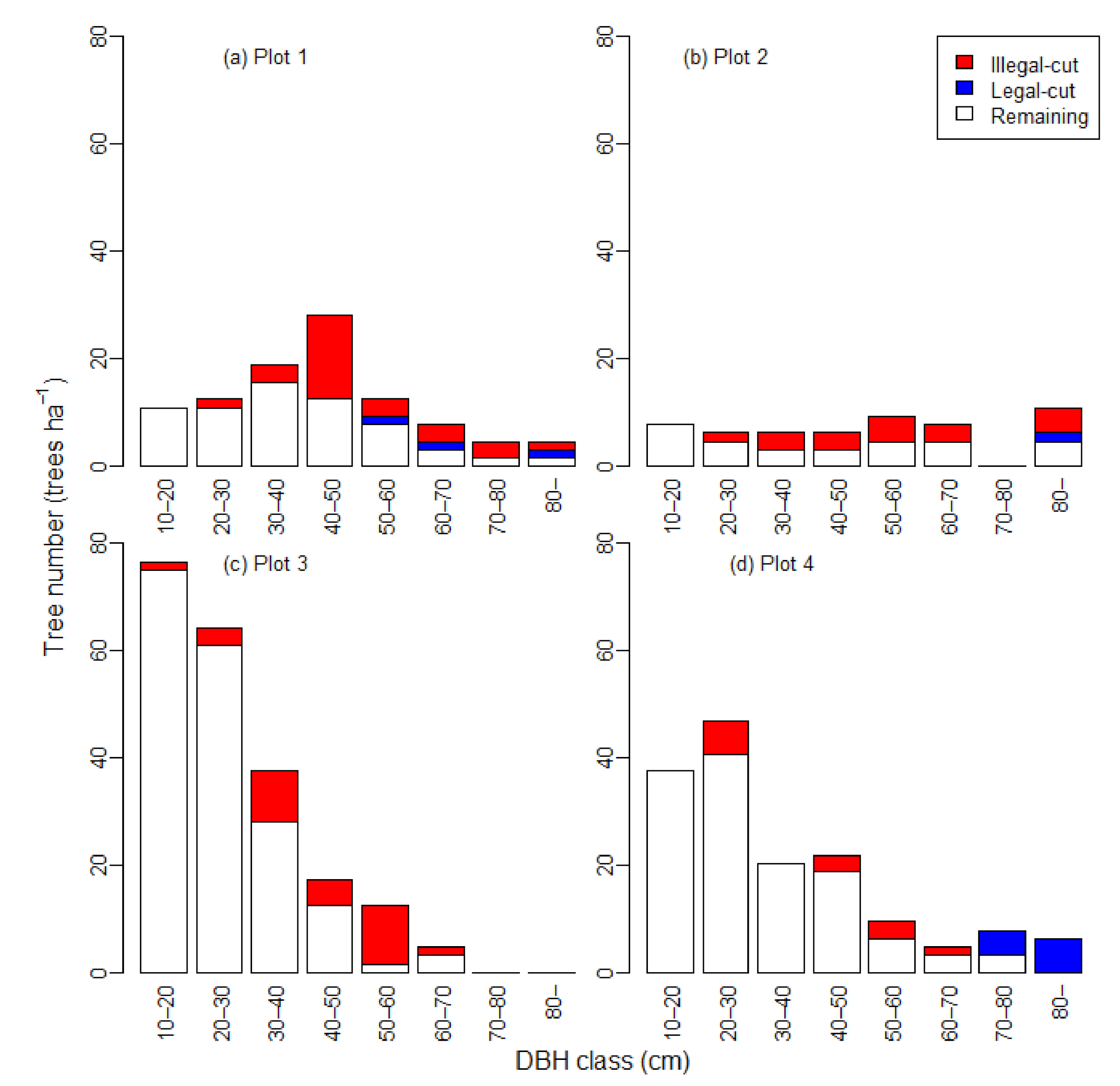
3.2. Legally and Illegally Cut Trees
3.3. The Remaining Stands in 2013
4. Discussion
4.1. Stand Structure before the Latest Legal Logging
4.2. Legal and Illegal Logging
4.3. Stand Structure after Legal and Illegal Logging, and Management Implications
5. Conclusions
Supplementary Materials
Author Contributions
Funding
Data Availability Statement
Acknowledgments
Conflicts of Interest
References
- Blaser, J.; Sarre, A.; Poore, D.; Johnson, S. Status of tropical management. ITTO Tech. Ser. Yokahama Jpn. 2011, 38, 460. [Google Scholar]
- Guariguata, M.R.; García-Fernández, C.; Sheil, D.; Nasi, R.; Herrero-Jáuregui, C.; Cronkleton, P.; Ingram, V. Compatibility of timber and non-timber forest product management in natural tropical forests: Perspectives, challenges, and opportunities. For. Ecol. Manag. 2010, 259, 237–245. [Google Scholar] [CrossRef]
- Rist, L.; Shanley, P.; Sunderland, T.; Sheil, D.; Ndoye, O.; Liswanti, N.; Tieguhong, J. The impacts of selective logging on non-timber forest products of livelihood importance. For. Ecol. Manag. 2012, 268, 57–69. [Google Scholar] [CrossRef]
- Edwards, D.P.; Tobias, J.A.; Sheil, D.; Meijaard, E.; Laurance, W.F. Maintaining ecosystem function and services in logged tropical forests. Trends Ecol. Evol. 2014, 29, 511–520. [Google Scholar] [CrossRef]
- Putz, F.E.; Zuidema, P.A.; Synnott, T.; Peña-Claros, M.; Pinard, M.A.; Sheil, D.; Vanclay, J.K.; Sist, P.; Gourlet-Fleury, S.; Griscom, B.; et al. Sustaining conservation values in selectively logged tropical forests: The attained and the attainable. Conserv. Lett. 2012, 5, 296–303. [Google Scholar] [CrossRef]
- Berry, N.J.; Phillips, O.L.; Lewis, S.L.; Hill, J.K.; Edwards, D.P.; Tawatao, N.B. The high value of logged tropical forests: Lessons from northern Borneo. Biodivers Conserv. 2010, 19, 985–997. [Google Scholar] [CrossRef]
- Asner, G.P.; Broadbent, E.N.; Oliveira, P.J.C.; Keller, M.; Knapp, D.E.; Silva, J.N.M. Condition and fate of logged forests in the Brazilian Amazon. Proc. Natl. Acad. Sci. USA 2006, 103, 12947–12950. [Google Scholar] [CrossRef]
- Pereira, R.; Zweede, J.; Asner, G.P.; Keller, M. Forest canopy damage and recovery in reduced-impact and conventional selective logging in eastern Para, Brazil. For. Ecol. Manag. 2002, 168, 77–89. [Google Scholar] [CrossRef]
- Mon, M.S.; Mizoue, N.; Htun, N.Z.; Kajisa, T.; Yoshida, S. Factors affecting deforestation and forest degradation in selectively logged production forest: A case study in Myanmar. For. Ecol. Manag. 2012, 267, 190–198. [Google Scholar] [CrossRef]
- Panadda, L.; Moe, S.R.; Totland, Ø. Bamboo dominance reduces tree regeneration in a disturbed tropical forest. Oecologia 2011, 165, 161–168. [Google Scholar] [CrossRef]
- Larpkern, P.; Moe, S.R.; Totland, Ø. The effects of environmental variables and human disturbance on woody species richness and diversity in a bamboo-deciduous forest in northeastern Thailand. Ecol. Res. 2009, 24, 147–156. [Google Scholar] [CrossRef]
- Chazdon, R.L. Beyond deforestation: Restoring forests and ecosystem services on degraded lands. Science 2008, 320, 1458–1460. [Google Scholar] [CrossRef] [PubMed]
- Lamb, D.; Erskine, P.D.; Parrotta, J.A. Restoration of degraded tropical forest landscapes. Science 2005, 310, 1628–1632. [Google Scholar] [CrossRef] [PubMed]
- Philipson, C.; Cutler, M.; Brodrick, P.G.; Asner, G.P.; Boyd, D.S.; Costa, P.M.; Fiddes, J.; Foody, G.M.; van der Heijden, G.M.F.; Ledo, A.; et al. Active restoration accelerates the carbon recovery of human modified-tropical forests. Science 2020, 369, 838–841. [Google Scholar] [CrossRef] [PubMed]
- Tálamo, A.; Lopez de Casenave, J.; Garibaldi, L.A.; Núñez-Regueiro, M. Direct and indirect relationships between logging intensity and regeneration of two timber species in the Dry Chaco of Argentina. For. Ecol. Manag. 2020, 474, 118343. [Google Scholar] [CrossRef]
- Fadrique, B.; Santos-Andrade, P.; Farfan-Rios, W.; Salinas, N.; Silman, M.; Feeley, K.J. Reduced tree density and basal area in Andean forests are associated with bamboo dominance. For. Ecol. Manag. 2021, 480, 118648. [Google Scholar] [CrossRef]
- Khai, T.C.; Mizoue, N.; Kajisa, T.; Ota, T.; Yoshida, S. Stand structure, composition and illegal logging in selectively logged production forests of Myanmar: Comparison of two compartments subject to different cutting frequency. Glob. Ecol. Conserv. 2016, 7, 132–140. [Google Scholar] [CrossRef]
- Khai, T.C.; Mizoue, N.; Ota, T. Harvesting intensity and disturbance to residual trees and ground under Myanmar selection system; comparison of four sites. Glob. Ecol. Conserv. 2020, 24, e01214. [Google Scholar] [CrossRef]
- Win, Z.C.; Mizoue, N.; Ota, T.; Kajisa, T.; Yoshida, S.; Oo, T.N.; Ma, H. Evaluating the Condition of Selectively Logged Production Forests in Myanmar: An Analysis Using Large-scale Forest Inventory Data for Yedashe Township. J. For. Plan 2018, 23, 1–8. [Google Scholar] [CrossRef]
- Win, Z.C.; Mizoue, N.; Ota, T.; Wang, G.; Innes, J.L.; Kajisa, T.; Yoshida, S. Spatial and temporal patterns of illegal logging in selectively logged production forest: A case study in Yedashe, Myanmar. J. For. Plan 2018, 23, 15–25. [Google Scholar] [CrossRef]
- Khai, T.C.; Mizoue, N.; Ota, T. Post-harvest stand dynamics over five years in selectively logged production forests in Bago, Myanmar. Forests 2020, 11, 195. [Google Scholar] [CrossRef]
- Forest Department. Forest Law in Myanmar; Forest Department, The State Law and Order Restoration Council: Naypyitaw, Myanmar, 1992. [Google Scholar]
- Thein, H.M.; Kanzaki, M.; Fukushima, M.; Yazar, M. Structure and Composition of a Teak-bearing Forest under the Myanmar Selection System: Impacts of Logging and Bamboo Flowering. Southeast Asian Stud. 2007, 45, 297–302. [Google Scholar]
- Kress, W.; Lace, J. A Checklist of the Trees, Shrubs, Herbs, and Climber of Myanmar; Department of Systematic Biology-Botany, National Museum of Natural History: Washington, DC, USA, 2003. [Google Scholar]
- Toyama, H.; Kajisa, T.; Tagane, S.; Mase, K.; Chhang, P.; Samreth, V.; Ma, V.; Sokh, H.; Ichihashi, R.; Onoda, Y.; et al. Effects of Logging and Recruitment on Community Phylogenetic Structure in 32 Permanent Forest Plots of Kampong Thom, Cambodia. Philos. Trans. R. Soc. B Biol. Sci. 2015, 370, 1–13. [Google Scholar] [CrossRef]
- R Core Team. A Language and Environment for Statistical Computing; R Foundation for Statistical Computing: Vienna, Austria, 2019; Available online: https://www.R-project.org/ (accessed on 20 January 2021).
- Saung, T.; Mizoue, N.; Ota, T.; Kajisa, T. Differences in forest use strategies and forest income dependency between households living outside and inside selectively logged production forests in Myanmar. Forests 2020, 11, 1263. [Google Scholar] [CrossRef]
- Gourlet-Fleury, S.; Mortier, F.; Fayolle, A.; Baya, F.; Ouédraogo, D.; Bénédet, F.; Picard, N. Tropical forest recovery from logging: A 24 year silvicultural experiment from Central Africa. Philos. Trans. R. Soc. B Biol. Sci. 2013, 368. [Google Scholar] [CrossRef]
- Sist, P.; Nolan, T.; Bertault, J.G.; Dykstra, D. Harvesting intensity versus sustainability in Indonesia. For. Ecol. Manag. 1998, 108, 251–260. [Google Scholar] [CrossRef]
- Fadilah, D.; Tyrie, G.; Yasman, I. Financial and ecological analysis of management options for logged-over Dipterocarp forests in Indonesian Borneo. For. Ecol. Manag. 2003, 183, 1–29. [Google Scholar] [CrossRef]
- Kammesheidt, L.; Ago, A.; Schwarzwa, W. Growth patterns of dipterocarps in treated and untreated plots. For. Ecol. Manag 2003, 174, 437–445. [Google Scholar] [CrossRef]
- Silva, J.N.M.; De Carvalhoa, J.O.P.; Lopes, J.C.A.; De Almeida, B.F.; Costa, D.H.M. Growth and yield of a tropical rain forest in the Brazilian Amazon 13 years after logging. For. Ecol. Manag. 1995, 71, 267–274. [Google Scholar] [CrossRef]
- Griscom, B.W.; Ashton, P.M.S. Bamboo control of forest succession: Guadua sarcocarpa in Southeastern Peru. For. Ecol. Manag. 2003, 175, 445–454. [Google Scholar] [CrossRef]
- Campanello, P.I.; Villagra, M.; Garibaldi, J.F.; Ritter, L.J.; Araujo, J.J.; Goldstein, G. Liana abundance, tree crown infestation, and tree regeneration ten years after liana cutting in a subtropical forest. For. Ecol. Manag. 2012, 284, 213–221. [Google Scholar] [CrossRef]
- Sist, P.; Nguyen-the, N. Logging damage and the subsequent dynamics of a dipterocarp forest in East Kalimantan (1990–1996). For. Ecol. Manag. 2002, 165, 85–103. [Google Scholar] [CrossRef]
- Win, Z.C.; Mizoue, N.; Ota, T.; Kajisa, T.; Yoshida, S. Consumption rates and use patterns of firewood and charcoal in urban and rural communities in Yedashe Township, Myanmar. Forests 2018, 9, 429. [Google Scholar] [CrossRef]





| Attributes | Plot 1 | Plot 2 | Plot 3 | Plot 4 |
|---|---|---|---|---|
| Stand structure prior to the latest official logging in 2011 | ||||
| Tree density (trees ha−1) | 100.0 | 54.7 | 212.5 | 154.7 |
| Mean tree DBH (cm) | 43.8 | 52.0 | 27.3 | 34.5 |
| Tree BA (m2 ha−1) | 18.1 | 15.5 | 15.3 | 19.4 |
| Tree species richness (counts 0.64-ha−1) | 16 | 19 | 22 | 23 |
| Legal cut trees in 2011 | ||||
| Cut-tree number (trees ha−1) | 4.7 | 1.6 | 0.0 | 10.9 |
| Mean cut tree DBH (cm) | 69.9 | 103.0 | 0.0 | 83.9 |
| Cut-tree BA (m2 ha−1) | 1.9 | 1.3 | 0.0 | 6.1 |
| Cut-tree species number (counts 0.64-ha−1) | 1 | 1 | 0 | 2 |
| Illegal cut trees from 2011 to 2013 | ||||
| Cut-tree number (trees ha−1) | 31.3 | 20.3 | 31.3 | 14.1 |
| Mean cut tree DBH (cm) | 50.4 | 59.2 | 44.1 | 38.5 |
| Cut-tree BA (m2 ha−1) | 6.7 | 6.6 | 5.1 | 1.9 |
| Cut-tree species number (counts 0.64-ha−1) | 7 | 9 | 7 | 6 |
| Stand structure of remaining stands in 2013 | ||||
| Tree density (trees ha−1) | 64.1 | 32.8 | 181.3 | 129.7 |
| Mean tree DBH (cm) | 38.6 | 45.1 | 24.4 | 29.9 |
| Tree BA (m2 ha−1) | 9.5 | 7.6 | 10.1 | 11.4 |
| Tree species richness (counts 0.64-ha−1) | 15 | 15 | 22 | 23 |
| Bamboo clump density (clumps ha−1) | 54.7 | 145.3 | 6.3 | 17.2 |
| Bamboo clump BA (m2 ha−1) | 4.4 | 7.8 | 0.5 | 1.1 |
| Species Group | Prior to the Latest Legal Logging in 2011 | Legally Cut Trees in 2011 | Lllegally Cut Trees from 2011 to 2013 | Remaining Stand in 2013 | ||||||||||||
|---|---|---|---|---|---|---|---|---|---|---|---|---|---|---|---|---|
| Plot 1 | Plot 2 | Plot 3 | Plot 4 | Plot 1 | Plot 2 | Plot 3 | Plot 4 | Plot 1 | Plot 2 | Plot 3 | Plot 4 | Plot 1 | Plot 2 | Plot 3 | Plot 4 | |
| Teak | 0.0 | 0.0 | 43.8 | 9.4 | 0.0 | 0.0 | 0.0 | 0.0 | 0.0 | 0.0 | 1.6 | 0.0 | 0.0 | 0.0 | 42.2 | 9.4 |
| Group I | 6.3 | 12.5 | 9.4 | 12.5 | 0.0 | 1.6 | 0.0 | 9.4 | 6.3 | 6.3 | 6.3 | 1.6 | 0.0 | 4.7 | 3.1 | 1.6 |
| Group II | 50.0 | 7.8 | 18.8 | 18.8 | 0.0 | 0.0 | 0.0 | 0.0 | 15.6 | 3.1 | 4.7 | 3.1 | 34.4 | 4.7 | 14.1 | 15.6 |
| Group III | 3.1 | 7.8 | 9.4 | 23.4 | 0.0 | 0.0 | 0.0 | 1.6 | 1.6 | 1.6 | 1.6 | 3.1 | 1.6 | 6.3 | 7.8 | 18.8 |
| Group IV | 14.1 | 4.7 | 1.6 | 7.8 | 4.7 | 0.0 | 0.0 | 0.0 | 0.0 | 3.1 | 0.0 | 0.0 | 9.4 | 1.6 | 1.6 | 7.8 |
| Group V | 26.6 | 21.9 | 129.7 | 82.8 | 0.0 | 0.0 | 0.0 | 0.0 | 7.8 | 6.3 | 17.2 | 6.3 | 18.8 | 15.6 | 112.5 | 76.6 |
| Total | 100.0 | 54.7 | 212.5 | 154.7 | 4.7 | 1.6 | 0.0 | 10.9 | 31.3 | 20.3 | 31.3 | 14.1 | 64.1 | 32.8 | 181.3 | 129.7 |
| Variable | Estimate | Std. Error | Z-Value | Pr (>|Z|) |
|---|---|---|---|---|
| Intercept | −1.6112 | 0.5568 | −2.8940 | 0.0038 |
| DBH (cm) | 0.0306 | 0.0069 | 4.4140 | <0.00001 |
| Quality for charcoal | −0.7108 | 0.1714 | −4.1470 | <0.00001 |
| Quality for timber | 0.1770 | 0.1309 | 1.3520 | 0.176 |
Publisher’s Note: MDPI stays neutral with regard to jurisdictional claims in published maps and institutional affiliations. |
© 2021 by the authors. Licensee MDPI, Basel, Switzerland. This article is an open access article distributed under the terms and conditions of the Creative Commons Attribution (CC BY) license (http://creativecommons.org/licenses/by/4.0/).
Share and Cite
Saung, T.; Khai, T.C.; Mizoue, N.; Ota, T.; Kajisa, T. Condition of Illegally Logged Stands Following High Frequency Legal Logging in Bago Yoma, Myanmar. Forests 2021, 12, 115. https://doi.org/10.3390/f12020115
Saung T, Khai TC, Mizoue N, Ota T, Kajisa T. Condition of Illegally Logged Stands Following High Frequency Legal Logging in Bago Yoma, Myanmar. Forests. 2021; 12(2):115. https://doi.org/10.3390/f12020115
Chicago/Turabian StyleSaung, Thein, Tual Cin Khai, Nobuya Mizoue, Tetsuji Ota, and Tsuyoshi Kajisa. 2021. "Condition of Illegally Logged Stands Following High Frequency Legal Logging in Bago Yoma, Myanmar" Forests 12, no. 2: 115. https://doi.org/10.3390/f12020115
APA StyleSaung, T., Khai, T. C., Mizoue, N., Ota, T., & Kajisa, T. (2021). Condition of Illegally Logged Stands Following High Frequency Legal Logging in Bago Yoma, Myanmar. Forests, 12(2), 115. https://doi.org/10.3390/f12020115

