Coffee, Farmers, and Trees—Shifting Rights Accelerates Changing Landscapes
Abstract
1. Introduction
1.1. Problem Framing
1.2. Case Description
1.3. Objective and Approach
2. Materials and Methods
2.1. Companion Modelling
2.1.1. Model, Game Rules and Sessions
- cutting and pruning Trees
- obtaining and planting SO Seedlings and Pepper Vines
- buying and installing Irrigation
- selling Coffee, Pepper and Timber
- interacting with players and officers
- paying their living costs
2.1.2. Scenario Testing
2.2. Statistical Analysis
2.3. Ethics Statement
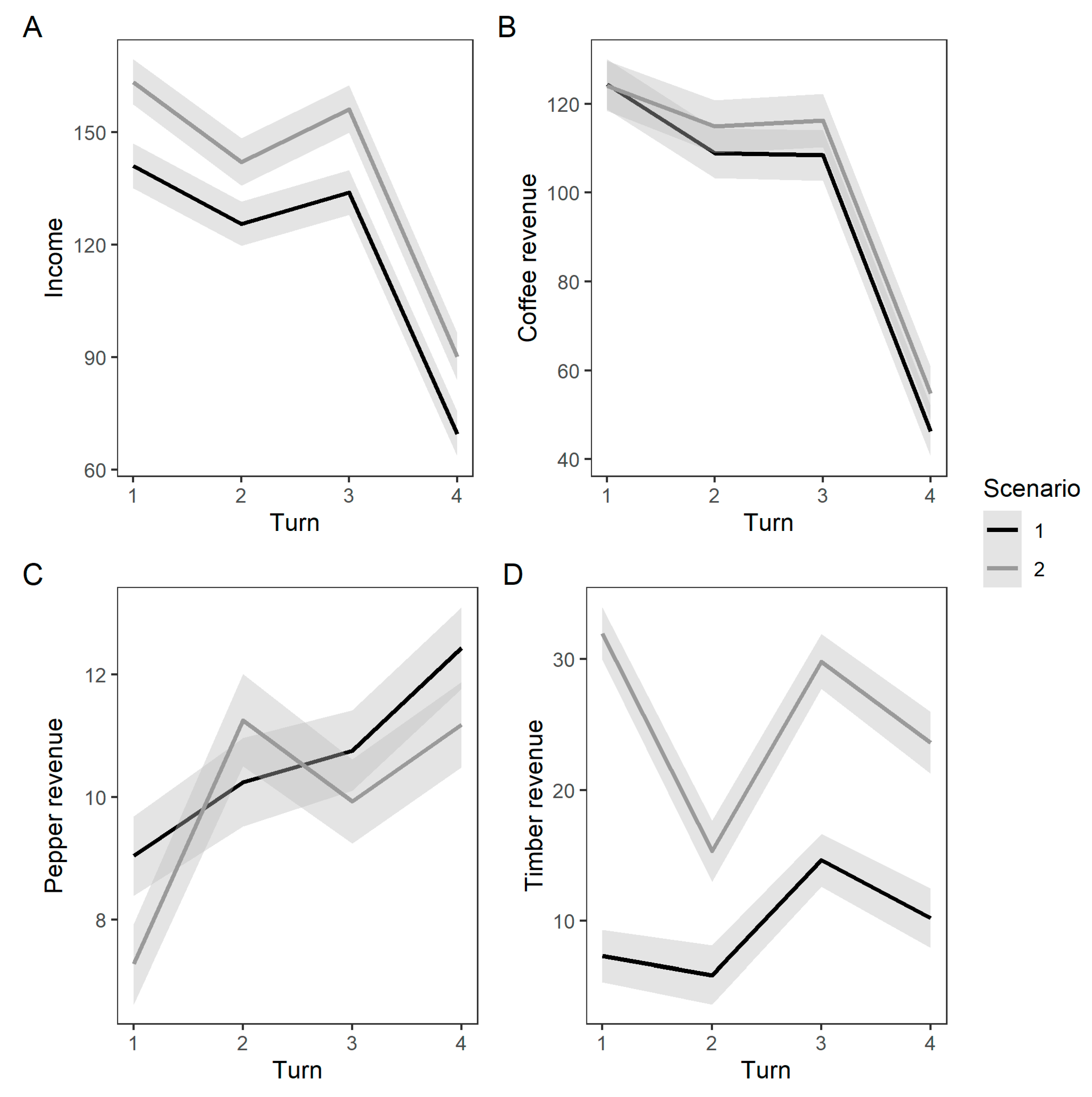
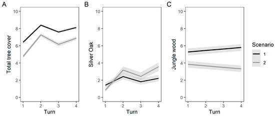
3. Results
3.1. Impact on Livelihoods
3.2. Impact on the Timber Supply Chain
3.3. Impact on Tree Cover
4. Discussion
Author Contributions
Acknowledgments
Conflicts of Interest
References
- Steffen, W.; Crutzen, P.J.; McNeill, J.R. The Anthropocene: Are humans now overwhelming the great forces of nature. AMBIO J. Hum. Environ. 2007, 36, 614–621. [Google Scholar] [CrossRef]
- Ericksen, P.J. What is the vulnerability of a food system to global environmental change? Ecol. Soc. 2008, 13, 14. [Google Scholar] [CrossRef]
- Hertel, T.W.; Lobell, D.B. Agricultural adaptation to climate change in rich and poor countries: Current modeling practice and potential for empirical contributions. Energy Econ. 2014, 46, 562–575. [Google Scholar] [CrossRef]
- Rockström, J.; Steffen, W.; Noone, K.; Persson, Å.; Chapin, F.S., III; Lambin, E.; Lenton, T.M.; Scheffer, M.; Folke, C.; Schellnhuber, H.J.; et al. Planetary boundaries: Exploring the safe operating space for humanity. Ecol. Soc. 2009, 14, 32. [Google Scholar] [CrossRef]
- Steffen, W.; Richardson, K.; Rockström, J.; Cornell, S.E.; Fetzer, I.; Bennett, E.M.; Biggs, R.; Carpenter, S.R.; De Vries, W.; De Wit, C.A.; et al. Planetary boundaries: Guiding human development on a changing planet. Science 2015, 347, 1259855. [Google Scholar] [CrossRef]
- Ripple, W.J.; Wolf, C.; Newsome, T.M.; Barnard, P.; Moomaw, W.R. World scientists’ warning of a climate emergency. BioScience 2019, 70, 8–12. [Google Scholar] [CrossRef]
- Lenton, T.M.; Rockström, J.; Gaffney, O.; Rahmstorf, S.; Richardson, K.; Steffen, W.; Schellnhuber, H.J. Climate tipping points—Too risky to bet against. Nature 2019, 575, 592–595. [Google Scholar] [CrossRef]
- Le Saout, S.; Hoffmann, M.; Shi, Y.; Hughes, A.; Bernard, C.; Brooks, T.M.; Bertzky, B.; Butchart, S.H.; Stuart, S.N.; Badman, T.; et al. Protected areas and effective biodiversity conservation. Science 2013, 342, 803–805. [Google Scholar] [CrossRef]
- UNEP-WCMC and IUCN. Protected Planet Report 2016; UNEP-WCMC and IUCN: Cambridge, UK; Gland, Switzerland, 2016. [Google Scholar] [CrossRef]
- Harvey, C.A.; Komar, O.; Chazdon, R.; Ferguson, B.G.; Finegan, B.; Griffith, D.M.; Martínez-Ramos, M.I.; Morales, H.; Nigh, R.; Soto-Pinto, L.O.; et al. Integrating agricultural landscapes with biodiversity conservation in the Mesoamerican hotspot. Conserv. Biol. 2008, 22, 8–15. [Google Scholar] [CrossRef]
- Perfecto, I.; Vandermeer, J. Biodiversity conservation in tropical agroecosystems. Ann. N. Y. Acad. Sci. 2008, 1134, 173–200. [Google Scholar] [CrossRef]
- Schroth, G.; Izac, A.M.N.; Vasconcelos, H.L.; Gascon, C.; da Fonseca, G.A.; Harvey, C.A. (Eds.) Agroforestry and Biodiversity Conservation in Tropical Landscapes; Island Press: Washington, DC, USA, 2004. [Google Scholar]
- Malhi, Y.; Gardner, T.A.; Goldsmith, G.R.; Silman, M.R.; Zelazowski, P. Tropical forests in the Anthropocene. Annu. Rev. Environ. Resour. 2014, 39, 125–159. [Google Scholar] [CrossRef]
- Geist, H.J.; Lambin, E.F. Proximate Causes and Underlying Driving Forces of Tropical Deforestation. Bioscience 2002, 52, 143–150. [Google Scholar] [CrossRef]
- Lambin, E.F.; Meyfroidt, P. Land use transitions: Socio-ecological feedback versus socio-economic change. Land Use Policy 2010, 27, 108–118. [Google Scholar] [CrossRef]
- Feintrenie, L.; Schwarze, S.; Levang, P. Are Local People Conservationists? Analysis of transition dynamics from agroforests to monoculture plantations in Indonesia. Ecol. Soc. 2010, 15. Available online: http://www.ecologyandsociety.org/vol15/iss4/art37/ (accessed on 12 November 2019). [CrossRef]
- Garcia, C.A.; Bhagwat, S.A.; Ghazoul, J.; Nath, C.D.; Nanaya, K.M.; Kushalappa, C.G.; Raghuramulu, Y.; Nasi, R.; Vaast, P. Biodiversity conservation in agricultural landscapes: Challenges and opportunities of coffee agroforests in the Western Ghats, India. Conserv. Biol. 2010, 24, 479–488. [Google Scholar] [CrossRef]
- Dellas, E.; Pattberg, P.; Betsill, M. Agency in earth system governance: Refining a research agenda. Int. Environ. Agreem. Politics Law Econ. 2011, 11, 85–98. [Google Scholar] [CrossRef]
- Ongolo, S. On the banality of forest governance fragmentation: Exploring ‘‘gecko politics’’ as a bureaucratic behaviour in limited statehood. For. Policy Econ. 2015, 53, 12–20. [Google Scholar] [CrossRef]
- Simon, H.A. Models of Bounded Rationality: Empirically Grounded Economic Reason; MIT Press: Cambridge, MA, USA, 1997. [Google Scholar]
- Mermet, L. Strategic Environmental Management Analysis: Addressing the Blind Spots of Collaborative Approaches. IDRRI Work. Pap. 2011, 5, 34. [Google Scholar]
- Sayer, J.; Sunderland, T.; Ghazoul, J.; Pfund, J.L.; Sheil, D.; Meijaard, E.; Venter, M.; Boedhihartono, A.K.; Day, M.; Garcia, C.; et al. Ten principles for a landscape approach to reconciling agriculture, conservation, and other competing land uses. Proc. Natl. Acad. Sci. USA 2013, 110, 8349–8356. [Google Scholar] [CrossRef]
- Zellner, M.L. Embracing complexity and uncertainty: The potential of agent-based modeling for environmental planning and policy. Plan. Theory Pract. 2008, 9, 437–457. [Google Scholar] [CrossRef]
- Hirsch, P.D.; Adams, W.M.; Brosius, J.P.; Zia, A.; Bariola, N.; Dammert, J.L. Acknowledging Conservation Trade-Offs and Embracing Complexity. Conserv. Biol. 2011, 25, 259–264. [Google Scholar] [CrossRef] [PubMed]
- Sandker, M.; Campbell, B.M.; Ruiz-Pérez, M.; Sayer, J.A.; Cowling, R.; Kassa, H.; Knight, A.T. The role of participatory modeling in landscape approaches to reconcile conservation and development. Ecol. Soc. 2010, 15. Available online: http://www.ecologyandsociety.org/vol15/iss2/art13/ (accessed on 7 November 2019). [CrossRef]
- Preston, B.L.; King, A.W.; Ernst, K.M.; Absar, S.M.; Nair, S.S.; Parish, E.S. Scale and the representation of human agency in the modeling of agroecosystems. Curr. Opin. Environ. Sustain. 2015, 14, 239–249. [Google Scholar] [CrossRef]
- Basco-Carrera, L.; Warren, A.; van Beek, E.; Jonoski, A.; Giardino, A. Collaborative modelling or participatory modelling? A framework for water resources management. Environ. Model. Softw. 2017, 91, 95–110. [Google Scholar] [CrossRef]
- Voinov, A.; Bousquet, F. Modelling with stakeholders. Environ. Model. Softw. 2010, 25, 1268–1281. [Google Scholar] [CrossRef]
- Hewitt, R.; van Delden, H.; Escobar, F. Participatory land use modelling, pathways to an integrated approach. Environ. Model. Softw. 2014, 52, 149–165. [Google Scholar] [CrossRef]
- Peterson, G.D.; Cumming, G.S.; Carpenter, S.R. Scenario planning: A tool for conservation in an uncertain world. Conserv. Biol. 2003, 17, 358–366. [Google Scholar] [CrossRef]
- Myers, N.; Mittermeier, R.A.; Mittermeier, C.G.; daFonseca, G.A.B.; Kent, J. Biodiversity hotspots for conservation priorities. Nature 2000, 403, 853–858. [Google Scholar] [CrossRef]
- Coffee Board of India. Database on coffee. Economic and Market Intelligence Unit of the Coffee Board; Bangalore, India. 2008. Available online: http://www.indiacoffee.org (accessed on 12 January 2009).
- Marie-Vivien, D.; Garcia, C.A.; Kushalappa, C.G.; Vaast, P. Trademarks, geographical indications and environmental labelling to promote biodiversity: The case of agroforestry coffee in India. Dev. Policy Rev. 2014, 32, 379–398. [Google Scholar] [CrossRef]
- Garcia, C.; Marie-Vivien, D.; Kushalappa, C.; Chengappa, P.G.; Nanaya, K.M. Geographical indications and biodiversity in the Western Ghats, India. Can labelling benefit producers and the environment in a mountain agroforestry landscape? Mt. Res. Dev. 2007, 27, 206–210. [Google Scholar] [CrossRef]
- Bhagwat, S.A.; Kushalappa, C.G.; Williams, P.H.; Brown, N. The role of informal protected areas in maintaining biodiversity in the Western Ghats of India. Ecol. Soc. 2005, 10, 8. [Google Scholar] [CrossRef]
- Garcia, C.; Pascal, J.P. Sacred forests of Kodagu: Ecological value and social role. In Ecological Nationalisms: Nature, Livelihoods, and Identities in South Asia; Cederlöf, G., Sivaramakrishnan, K., Eds.; University of Washington Press: Seattle, WA, USA; London, UK, 2006; pp. 199–229. [Google Scholar]
- Bhagwat, S.A.; Willis, K.J.; Birks, H.J.B.; Whittaker, R.J. Agroforestry: A refuge for tropical biodiversity? Trends Ecol. Evol. 2008, 23, 261–267. [Google Scholar] [CrossRef] [PubMed]
- Garcia, C. Cafnet Database. Harv. Dataverse 2013, 2. [Google Scholar] [CrossRef]
- Boreux, V.; Kushalappa, C.G.; Vaast, P.; Ghazoul, J. Interactive effects among ecosystem services and management practices on crop production: Pollination in coffee agroforestry systems. Proc. Natl. Acad. Sci. USA 2013, 110, 8387–8392. [Google Scholar] [CrossRef]
- Ghazoul, J. Placing humans at the heart of conservation. Biotropica 2007, 39, 565–566. [Google Scholar] [CrossRef]
- Nath, C.; Pélissier, R.; Ramesh, B.; Garcia, C. Promoting native trees in shade coffee plantations of southern India: Comparison of growth rates with the exotic Grevillea robusta. Agrofor. Syst. 2011, 83, 107–119. [Google Scholar] [CrossRef]
- Ambinakudige, S.; Satish, B.N. Comparing tree diversity and composition in coffee farms and sacred forests in the Western Ghats of India. Biodivers. Conserv. 2009, 18, 987–1000. [Google Scholar] [CrossRef]
- Vijaya, T.P. Contemporary society and land tenure. The social structure of Kodagu. In Mountain Biodiversity, Land Use Dynamics and Traditional Ecological Knowledge; Man and the Biosphere, Ramakrishnan, P.S., Chandashekara, U.M., Elouard, C., Guilmoto, C.Z., Eds.; Oxford and IBH Publishing Co. Pvt. Ltd.: New Delhi, India, 2000; pp. 44–53. [Google Scholar]
- Neilson, J.; Pritchard, B. Value Chain Struggles: Institutions and Governance in the Plantation Districts of South India; John Wiley & Sons: Hoboken, NJ, USA, 2011. [Google Scholar]
- Agrawal, A.; Ostrom, E. (Eds.) Collective Action, Property Rights and Devolution in Forest and Protected Area Management. In Proceedings of the Devolution, Property Rights, and Collective Action, Puerto Azul, Philippines, 21–25 June 1999. [Google Scholar]
- Neilson, J. Environmental governance in the coffee forests of Kodagu, South India. Transform. Cult. eJ. 2008, 3. [Google Scholar] [CrossRef]
- Leroy, M.; Garcia, C.; Aubert, P.M.; Vendé, J.; Bernard, C.; Brams, J.; Caron, C.; Junker, C.; Payet, G.; Rigal, C.; et al. Thinking the Future: Coffee, Forests and People. Conservation and Development in Kodagu; AgroParisTech: Montpellier, France, 2011; Available online: http://www2.agroparistech.fr/geeft/Downloads/Training/110912_memoire_Inde_BR.pdf (accessed on 16 March 2020).
- Kushalappa, C.G.; Raghuramulu, Y.; Vaast, P.; Garcia, C. Project Cafnet-an effort to document the ecosystem services from coffee based agro-forestry systems in Kodagu. Indian Coffee 2012, 76, 18–23. [Google Scholar]
- Redpath, S.M.; Keane, A.; Andrén, H.; Baynham-Herd, Z.; Bunnefeld, N.; Duthie, A.B.; Frank, J.; Garcia, C.A.; Månsson, J.; Nilsson, L.; et al. Games as tools to address conservation conflicts. Trends Ecol. Evol. 2018, 33, 415–426. [Google Scholar] [CrossRef]
- Étienne, M. (Ed.) Companion Modelling; Quae/Springer: Versailles, France, 2011. [Google Scholar]
- Etienne, M. A Participatory approach to support sustainable development. In Companion Modelling; Springer: Dordrecht, The Netherlands, 2014; Volume XII, p. 403. [Google Scholar]
- Etienne, M.; Du Toit, D.R.; Pollard, S. ARDI: A co-construction method for participatory modeling in natural resources management. Ecol. Soc. 2011, 16, 44. [Google Scholar] [CrossRef]
- Barreteau, O.; Bousquet, F.; Étienne, M.; Souchère, V.; d’Aquino, P. Companion Modelling: A Method of Adaptive and Participatory Research. In Companion Modelling; Étienne, M., Ed.; Springer: Dordrecht, The Netherlands, 2014; pp. 13–40. [Google Scholar]
- Bousquet, F.; Barreteau, O.; Le Page, C.; Mullon, C.; Weber, J. An environmental modelling approach: The use of multi-agent simulations. In Advances in Environmental and Ecological Modelling; Elsevier: Paris, France, 1999; pp. 113–122. [Google Scholar]
- Barreteau, O.; Antona, M.; D’Aquino, P.; Aubert, S.; Boissau, S.; Bousquet, F.; Daré, W.S.; Etienne, M.; Le Page, C.; Mathevet, R.; et al. Our companion modelling approach. JASS 2003, 6. Available online: http://jasss.soc.surrey.ac.uk/6/2/1.html (accessed on 5 February 2020).
- Vendé, J. Management of tree cover in coffee-based agroforestry systems of Kodagu. In ComMod Approach for Integrated Renewable Resources Management; AgroParisTech: Montpellier, France, 2010. [Google Scholar]
- Wintgens, J.N. Coffee: Growing, Processing, Sustainable Production. A Guidebook for Growers, Processors, Traders and Researchers; Wiley-Vch Verlag: Weinheim, Germany, 2009. [Google Scholar]
- Clark, W.C.; Tomich, T.P.; Van Noordwijk, M.; Guston, D.; Catacutan, D.; Dickson, N.M.; McNie, E. Boundary work for sustainable development: Natural resource management at the Consultative Group on International Agricultural Research (CGIAR). Proc. Natl. Acad. Sci. USA 2011, 113, 4615–4622. [Google Scholar] [CrossRef] [PubMed]
- Bates, D.; Mächler, M.; Bolker, B.; Walker, S. Fitting Linear Mixed-Effects Models Using lme4. arXiv 2014, arXiv:1406.5823. [Google Scholar]
- Bolker, B.M.; Brooks, M.E.; Clark, C.J.; Geange, S.W.; Poulsen, J.R.; Stevens, M.H.H.; White, J.S.S. Generalized linear mixed models: A practical guide for ecology and evolution. Trends Ecol. Evol. 2009, 24, 127–135. [Google Scholar] [CrossRef]
- Gelman, A. Data Analysis Using Regression and Multilevel/Hierarchical Models; Cambridge University Press: Cambridge, UK, 2007. [Google Scholar]
- Halekoh, U.; Højsgaard, S. A Kenward-Roger Approximation and Parametric Bootstrap Methods for Tests in Linear Mixed Models—The R Package pbkrtest. J. Stat. Softw. 2014, 59, 32. [Google Scholar] [CrossRef]
- Speelman, E.N.; van Noordwijk, M.; Garcia, C. Gaming to better manage complex natural resource landscapes. In Coinvestment in Ecosystem Services: Global Lessons from Payment and Incentive Schemes; Namirembe, S., Leimona, B., van Noordwijk, M., Minang, P.A., Eds.; World Agroforestry Centre (ICRAF): Nairobi, Kenya, 2017; p. 11. [Google Scholar]
- Levins, R. The strategy of model building in population biology. Am. Sci. 1966, 54, 421–431. [Google Scholar]
- Dolia, J.; Devy, M.S.; Aravind, N.A.; Kumar, A. Adult butterfly communities in coffee plantations around a protected area in the Western Ghats, India. Anim. Conserv. 2008, 1, 26–34. [Google Scholar] [CrossRef]
- Gaucherel, C.; Alet, J.; Garcia, C. Coffee monoculture trends in tropical agroforested landscapes of Western Ghats (India). Environ. Conserv. 2017, 44, 183–190. [Google Scholar] [CrossRef]
- Nath, C.D.; Schroth, G.; Burslem, D.F. Why do farmers plant more exotic than native trees? A case study from the Western Ghats, India. Agric. Ecosyst. Environ. 2016, 230, 315–328. [Google Scholar] [CrossRef]
- Barreteau, O.; Le Page, C.; D’Aquino, P. Role-Playing Games, Models and Negotiation Processes. J. Artif. Soc. Soc. Simul. 2003, 6. Available online: http://jasss.soc.surrey.ac.uk/6/2/10.html (accessed on 5 February 2020).
- Deutsch, M. Constructive conflict resolution: Principles, training, and research. J. Soc. Issues 1994, 50, 13–32. [Google Scholar] [CrossRef]
- Coleman, P.T.; Deutsch, M.; Marcus, E.C. (Eds.) The Handbook of Conflict Resolution: Theory and Practice; John Wiley & Sons: San Francisco, CA, USA, 2014. [Google Scholar]
- Reibelt, L.M.; Moser, G.; Dray, A.; Randriamalala, I.H.; Chamagne, J.; Ramamonjisoa, B.; Barrios, L.G.; Garcia, C.; Waeber, P.O. Tool development to understand rural resource users’ land use and impacts on land type changes in Madagascar. Madag. Conserv. Dev. 2019. [Google Scholar] [CrossRef]
- Chen, W.J.; Krajbich, I. Computational modeling of epiphany learning. Proc. Natl. Acad. Sci. USA 2017, 114, 4637–4642. [Google Scholar] [CrossRef]
- Vongvisouk, T.; Broegaard, R.B.; Nertz, O.; Thngmanivong, S. Rush for cash crops and forest protection: Neither land sparing nor land sharing. Land Use Policy 2016, 55, 18–192. [Google Scholar] [CrossRef]
- Bodonirina, N.; Reibelt, L.M.; Stoudmann, N.; Chamagne, J.; Jones, T.G.; Ravaka, A.; Ranjaharivelo, H.V. Approaching local perceptions of forest governance and livelihood challenges with companion modeling from a case study around Zahamena National Park, Madagascar. Forests 2018, 9, 624. [Google Scholar] [CrossRef]
- Bos, S.P.; Cornioley, T.; Dray, A.; Waeber, P.O.; Garcia, C.A. Exploring livelihood strategies of shifting cultivation farmers in Assam through games. Sustainability 2020, 12, 2438. [Google Scholar] [CrossRef]
- Zaehringer, J.G.; Lundsgaard-Hansen, L.; Thein, T.T.; Llopis, J.C.; Tun, N.N.; Myint, W.; Schneider, F. The cash crop boom in southern Myanmar: Tracing land use regime shifts through participatory mapping. Ecosyst. People 2020, 16, 36–49. [Google Scholar] [CrossRef]
- Barnaud, C.; d’Aquino, P.; Daré, W.; Fourage, C.; Mathevet, R.; Trébuil, G. Power Asymmetries in Companion Modelling Processes. In Companion Modelling; Étienne, M., Ed.; Springer: Dordrecht, The Netherlands, 2014; pp. 127–153. [Google Scholar]







| Parameter | Without Irrigation | With Irrigation |
|---|---|---|
| −45 | −35 | |
| 40 | 20 | |
| 10 | 20 |
| Item | Cost (in CINR) |
|---|---|
| Irrigation (per round) | 10 |
| Pepper vine | 1 |
| Silver Oak Seedling | 1 |
| Simple House (per round) | 80 |
| Medium House (per round) | 140 |
| Large House (per round) | 220 |
| Jungle Wood Sapling | 0 |
| Jungle Wood mature Tree | 16 |
| Silver Oak Sapling | 3 |
| Silver Oak mature Tree | 10 |
| Coffee bag (normal price) | 6 |
| Coffee bag (crash price) | 2 |
| Pepper bag | 2 |
© 2020 by the authors. Licensee MDPI, Basel, Switzerland. This article is an open access article distributed under the terms and conditions of the Creative Commons Attribution (CC BY) license (http://creativecommons.org/licenses/by/4.0/).
Share and Cite
Garcia, C.A.; Vendé, J.; Konerira, N.; Kalla, J.; Nay, M.; Dray, A.; Delay, M.; Waeber, P.O.; Stoudmann, N.; Bose, A.; et al. Coffee, Farmers, and Trees—Shifting Rights Accelerates Changing Landscapes. Forests 2020, 11, 480. https://doi.org/10.3390/f11040480
Garcia CA, Vendé J, Konerira N, Kalla J, Nay M, Dray A, Delay M, Waeber PO, Stoudmann N, Bose A, et al. Coffee, Farmers, and Trees—Shifting Rights Accelerates Changing Landscapes. Forests. 2020; 11(4):480. https://doi.org/10.3390/f11040480
Chicago/Turabian StyleGarcia, Claude A., Jérémy Vendé, Nanaya Konerira, Jenu Kalla, Michelle Nay, Anne Dray, Maëlle Delay, Patrick O. Waeber, Natasha Stoudmann, Arshiya Bose, and et al. 2020. "Coffee, Farmers, and Trees—Shifting Rights Accelerates Changing Landscapes" Forests 11, no. 4: 480. https://doi.org/10.3390/f11040480
APA StyleGarcia, C. A., Vendé, J., Konerira, N., Kalla, J., Nay, M., Dray, A., Delay, M., Waeber, P. O., Stoudmann, N., Bose, A., Le Page, C., Raghuram, Y., Bagchi, R., Ghazoul, J., Kushalappa, C. G., & Vaast, P. (2020). Coffee, Farmers, and Trees—Shifting Rights Accelerates Changing Landscapes. Forests, 11(4), 480. https://doi.org/10.3390/f11040480

