Herb-Layer Dynamics in an Old-Growth Forest: Vegetation–Environment Relationships and Response to Invasion-Related Perturbations
Abstract
1. Introduction
2. Materials and Methods
2.1. Study Site
2.2. Data Collection
2.3. Data Analysis
3. Results
3.1. Temporal Changes in Relative Importance Values
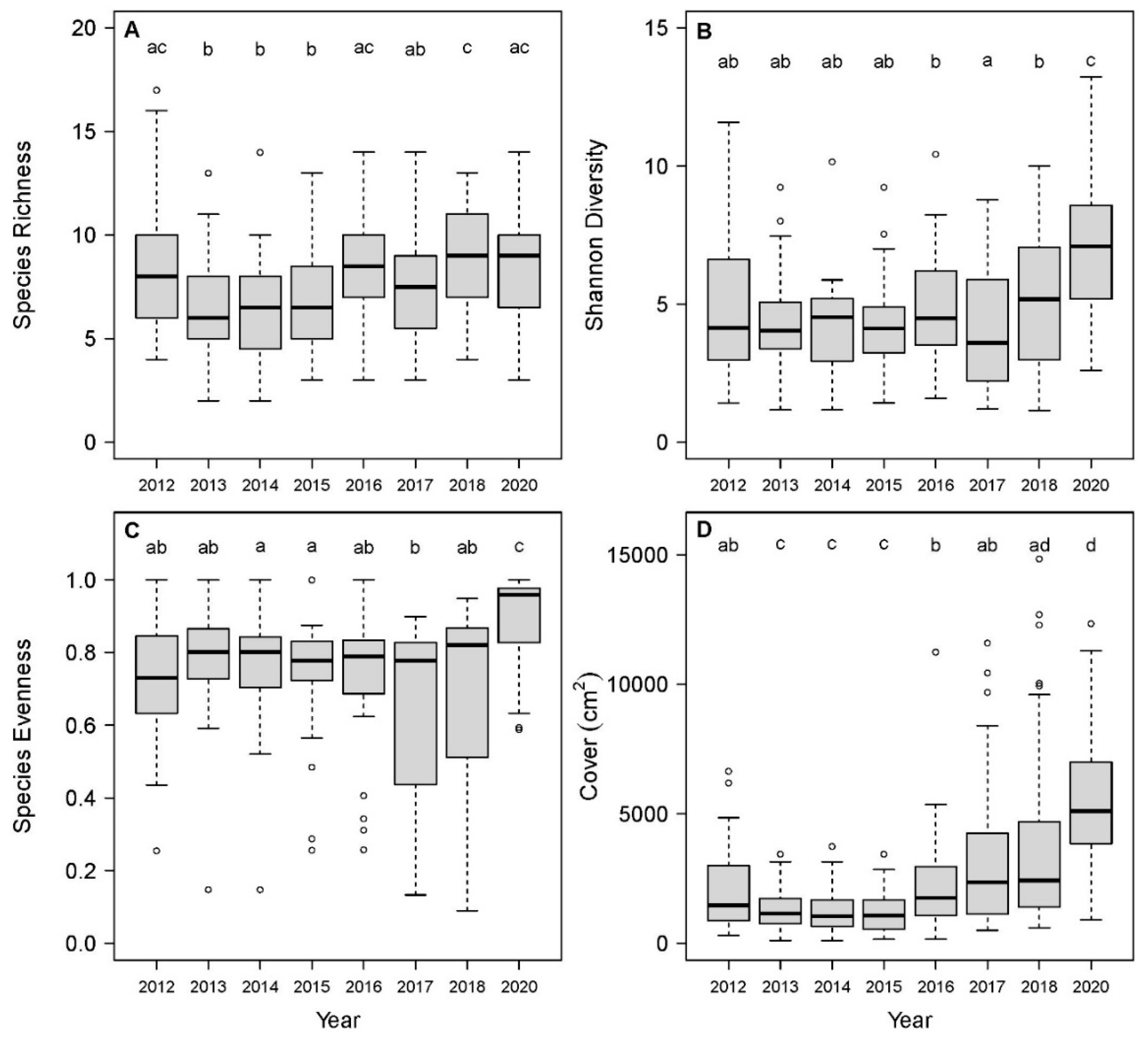
3.2. Temporal Changes in Herbaceous Diversity and Cover
3.3. Responses to Removal of Alliaria petiolata
3.4. Loss of Fraxinus spp. and Changes in Light Availability
3.5. Vegetation-Environment Relationships
4. Discussion
5. Conclusions
Supplementary Materials
Author Contributions
Funding
Acknowledgments
Conflicts of Interest
References
- Gilliam, F.S. The ecological significance of the herbaceous layer in temperate forest ecosystems. Bioscience 2007, 57, 845–858. [Google Scholar] [CrossRef]
- McEwan, R.W.; Muller, R.N. Dynamics, diversity, and resource gradient relationships in the herbaceous layer of an old-growth Appalachian forest. Plant Ecol. 2011, 212, 1179–1191. [Google Scholar] [CrossRef]
- Chapman, J.I.; McEwan, R.W. Spatiotemporal dynamics of a- and b-diversity across topographic gradients in the herbaceous layer of an old-growth deciduous forest. Oikos 2013, 122, 1–8. [Google Scholar] [CrossRef]
- Bratton, S.P. Resource division in an understory herb community: Responses to temporal and microtopographic gradients. Am. Nat. 1976, 110, 679–693. [Google Scholar] [CrossRef]
- Hutchinson, T.F.; Boerner, R.E.J.; Iverson, L.R.; Sutherland, S.; Sutherland, E.K. Landscape patterns of understory composition and richness across a moisture and nitrogen mineralization gradient in Ohio (U.S.A.) Quercus forests. Plant Ecol. 1999, 144, 177–189. [Google Scholar] [CrossRef]
- Dubbert, M.; Mosena, A.; Piayda, A.; Cuntz, M.; Correia, A.C.; Pereira, J.S.; Werner, C. Influence of tree cover on herbaceous layer development and carbon and water fluxes in a Portuguese cork-oak woodland. Acta Oecol. 2014, 59, 35–45. [Google Scholar] [CrossRef]
- Thompson, J.N. Treefalls and colonization patterns of temperate forest herbs. Am. Midl. Nat. 1980, 104, 176–184. [Google Scholar] [CrossRef]
- Brewer, R. A half-century of changes in the herb layer of a climax deciduous forest in Michigan. J. Ecol. 1980, 68, 823–832. [Google Scholar] [CrossRef]
- Whitney, G.G.; Foster, D.R. Overstorey composition and age as determinants of the understory flora of woods of central New England. J. Ecol. 1988, 76, 867–876. [Google Scholar] [CrossRef]
- Ford, M.F.; Odom, R.H.; Hale, P.E.; Chapman, B.R. Stand-age, stand characteristics, and landform effects on understory herbaceous communities in southern Appalachian cove-hardwoods. Biol. Conserv. 2000, 93, 237–246. [Google Scholar] [CrossRef]
- Gilliam, F.S.; Roberts, M.R. Interactions between the herbaceous layer and overstory canopy of eastern forests. In The Herbaceous Layer in Forests of Eastern North America; Gilliam, F.S., Roberts, M.R., Eds.; Oxford University Press: Oxford, UK, 2003; pp. 163–176. [Google Scholar]
- Zihan, J.; Ma, K.; Anand, M.; Zhang, Y. Interplay of temperature and woody cover shapes herb communities along an elevational gradient in a temperate forest in Beijing, China. Community Ecol. 2015, 16, 215–222. [Google Scholar]
- Wulf, M.; Naaf, T. Herb Layer Response to Broadleaf Tree Species with Different Leaf Litter Quality and Canopy Structure in Temperate Forests. J. Veg. Sci. 2009, 20, 517–526. [Google Scholar] [CrossRef]
- Poland, T.M.; McCullough, D.G. Emerald ash borer: Invasion of the urban forest and the threat to North America’s ash resource. J. For. 2006, 104, 118–124. [Google Scholar]
- Flower, C.E.; Knight, K.S.; Gonzalez-Meler, M.A. Impacts of the emerald ash borer (Agrilus planipennis Fairmaire) induced ash (Fraxinus spp.) mortality on forest carbon cycling and successional dynamics in the eastern United States. Biol. Invasions 2013, 15, 931–944. [Google Scholar] [CrossRef]
- Kashian, D.M.; Witter, J.A. Assessing the potential for ash canopy tree replacement via current regeneration following emerald ash borer-caused mortality on southeastern Michigan landscapes. For. Ecol. Manag. 2011, 261, 480–488. [Google Scholar] [CrossRef]
- Knight, K.S.; Brown, J.P.; Long, R.P. Factors affecting the survival of ash (Fraxinus spp.) trees infested by emerald ash borer (Agrilus planipennis). Biol. Invasions 2013, 15, 371–383. [Google Scholar] [CrossRef]
- Langenbruch, C.; Helfrich, M.; Flessa, H. Effects of beech (Fagus sylvatica), ash (Fraxinus excelsior) and lime (Tilia spec.) on soil chemical properties in a mixed deciduous forest. Plant Soil 2012, 352, 389–403. [Google Scholar] [CrossRef]
- Brothers, T.S.; Spingarn, A. Forest Fragmentation and alien plant invasion of central Indiana old-growth forests. Conserv. Biol. 1992, 6, 91–100. [Google Scholar] [CrossRef]
- Herms, D.A.; McCullough, D.G. Emerald ash borer invasion of North America: History, biology, ecology, impacts, and management. Rev. Entomol. 2014, 59, 13–30. [Google Scholar] [CrossRef]
- Nuzzo, V. Invasion pattern of herb garlic mustard (Alliaria petiolata) in high quality forests. Biol. Invasions 1999, 1, 169–179. [Google Scholar] [CrossRef]
- Meekins, J.F.; McCarthy, B.C. Effect of population density on the demography of an invasive plant (Alliaria petiolata, Brassicaceae) population in a southeastern Ohio Forest. Am. Midl. Nat. 2002, 147, 256–278. [Google Scholar] [CrossRef]
- Meekins, J.F.; McCarthy, B.C. Effect of environmental variation on the invasive success of a non-indigenous forest herb. Ecol. Appl. 2001, 11, 1336–1348. [Google Scholar] [CrossRef]
- Chapman, J.I.; Cantino, P.D.; McCarthy, B.C. Seed production in garlic mustard (Alliaria petiolata) prevented by some methods of manual removal. Nat. Areas J. 2012, 32, 305–309. [Google Scholar] [CrossRef]
- Cipollini, D.; Cipollini, K. A review of garlic mustard (Alliaria petiolata, Brassicaceae) as an allelopathic plant. J. Torrey Bot. Soc. 2016, 143, 339–348. [Google Scholar] [CrossRef]
- Davis, M.A.; MacMillen, C.; LeFevre-Levy, M.; Dallavalle, C.; Kriegel, N.; Tyndel, S.; Martinez, Y.; Anderson, M.D.; Dosch, J.J. Population and plant community dynamics involving garlic mustard (Alliaria petiolata) in a Minnesota Oak Woodland: A four year study. J. Torrey Bot. Soc. 2014, 141, 205–216. [Google Scholar] [CrossRef]
- Carlson, A.M.; Gorchov, D.L. Effects of herbicide on the invasive biennial Alliaria petiolata (garlic mustard) and initial responses of native plants in a southwestern Ohio forest. Ecol. Restor. 2004, 12, 559–567. [Google Scholar] [CrossRef]
- Stinson, K.; Kaufman, S.; Durbin, L.; Lowenstein, F. Impacts of garlic mustard invasion on a forest understory community. Northeast. Nat. 2007, 14, 73–88. [Google Scholar] [CrossRef]
- Jules, E.S. Habitat fragmentation and demographic change for a common plant: Trillium in old-growth forest. Ecology 1998, 79, 1645–1656. [Google Scholar] [CrossRef]
- Vellend, M.; Verheyen, K.; Jacquemyn, H.; Kolb, A.; Calster, H.V.; Peterken, G.; Hermy, M. Extinction dept of forest plants persists for more than a century following habitat fragmentation. Ecology 2006, 87, 542–548. [Google Scholar] [CrossRef]
- Vellend, M.; Verheyen, K.; Flinn, K.M.; Jacquemyn, H.; Kolb, A.; Calster, H.V.; Peterken, G.; Graae, B.J.; Bellemare, J.; Honnay, O.; et al. Homogenization of forest plant communities and weakening of species-environment relationships via agricultural land-use. J. Ecol. 2007, 95, 565–573. [Google Scholar] [CrossRef]
- Condit, R. Tropical Forest Census Plots: Methods and Results from Barro Colorado Island, Panama and a Comparison with Other Plots; Springer: Berlin/Heidelberg, Germany, 1998. [Google Scholar]
- Bechtold, W.A.; Patterson, P.L. The Enhanced Forest Inventory and Analysis Program-National Sampling Design and Estimation Procedures; Gen. Tech. Rep. SRS-80; US Department of Agriculture, Forest Service, Southern Research Station: Asheville, NC, USA, 2005; p. 80. [Google Scholar]
- McEwan, R.W.; Dyer, J.M.; Pederson, N. Multiple interacting ecosystem drivers: Toward an encompassing hypothesis of oak forest dynamics across eastern North America. Ecography 2011, 34, 244–256. [Google Scholar] [CrossRef]
- Goins, S.M.; Chapman, J.I.; McEwan, R.W. Composition shifts, disturbance, and canopy-accession strategy in an oldgrowth forest of Southwestern Ohio, USA. Nat. Areas J. 2013, 33, 384–394. [Google Scholar] [CrossRef]
- National Climate Data Center. Available online: http://www.ncdc.noaa.gov (accessed on 8 May 2012).
- Boerner, R.E.J.; Kooser, J.G. Vegetation of Drew Woods, an old-growth forest remnant in western Ohio, and issues of preservation. Nat. Areas J. 1991, 11, 48–54. [Google Scholar]
- Brockman, C.S. Physiographic Regions of Ohio; Ohio Department of Natural Resources, Ohio Division of Geological Survey: Columbus, OH, USA, 1998. [Google Scholar]
- Chapman, J.I.; Myers, A.L.; Burky, A.J.; McEwan, R.W. Edge Effects, invasion, and the spatial Pattern of herb-layer biodiversity in an old-growth deciduous forest fragment. Nat. Areas J. 2015, 35, 439–451. [Google Scholar] [CrossRef]
- Jones, R.L. Plant Life of Kentucky; University Press of Kentucky: Lexington, KY, USA, 2005. [Google Scholar]
- USDA. The PLANTS Database; National Plant Data Team: Greensboro, NC, USA. Available online: http://plants.usda.gov (accessed on 25 September 2020).
- Jost, L. Entropy and diversity. Oikos 2006, 113, 363–375. [Google Scholar] [CrossRef]
- Mauchly, J.W. Significance test for sphericity of a normal n-variate distribution. Ann. Math. Stat. 1940, 11, 204–209. [Google Scholar] [CrossRef]
- Greenhouse, S.W.; Geisser, S. On methods in the analysis of profile data. Psychometrika 1959, 24, 95–112. [Google Scholar] [CrossRef]
- R Core Team. R: A Language and Environment for Statistical Computing; R Foundation for Statistical Computing: Vienna, Austria, 2020. [Google Scholar]
- Franklin, J.F.; Shugart, H.H.; Harmon, M.E. Tree death as an ecological process: The causes, consequences, and variability of tree mortality. Bioscience 1987, 37, 550–556. [Google Scholar] [CrossRef]
- Runkle, J.R. Patterns of disturbance in some old-growth mesic forests of eastern North America. Ecology 1982, 63, 1533–1546. [Google Scholar] [CrossRef]
- Siegert, N.W.; McCullough, D.G.; Liebhold, A.M.; Telewski, F.W. Resurrected from the ashes: A historical reconstruction of emerald ash borer dynamics through dendrochronological analysis. In Proceedings of the Emerald ash borer and Asian Longhorned Beetle Research and Development Review Meeting, Cincinnati, OH, USA, 29 October–2 November 2006; FHTET 2007-04. U.S. Forest Service, Forest Health Technology Enterprise Team: Morgantown, WV, USA, 2006; pp. 18–19. [Google Scholar]
- Pardini, E.A.; Drake, J.M.; Chase, J.M.; Knight, T.M. Complex population dynamics and control of the invasive biennial Alliaria petiolata (garlic mustard). Ecol. Appl. 2009, 19, 387–397. [Google Scholar] [CrossRef]
- Palik, B.J.; Murphy, P.G. Disturbance versus edge effects in sugar-maple/beech forest fragments. For. Ecol. Manag. 1990, 32, 187–202. [Google Scholar] [CrossRef]
- Murphy, S.J.; McCarthy, B.C. Temporal change in the herbaceous understory community of an old-growth forest: From seasons to decades. Plant Ecol. 2014, 215, 221–232. [Google Scholar] [CrossRef]


| Species | 2012 | 2013 | 2014 | 2015 | 2016 | 2017 | 2018 | 2020 |
|---|---|---|---|---|---|---|---|---|
| Alliaria petiolata (M. Bieb.) Cavara and Grande | 15.4 | 8.87 | 7.14 | 3.10 | 3.90 | 1.80 | 3.83 | 1.46 |
| Impatiens capensis Meerb. | 9.58 | 5.14 | 5.43 | 5.64 | 5.84 | 4.28 | 5.62 | 7.74 |
| Sanicula odorata (Raf.) K.M. Pryer and L.R. Phillipe | 8.44 | 6.70 | 8.00 | 12.2 | 20.8 | 19.4 | 19.6 | 6.81 |
| Galium aparine L. | 5.36 | 0.86 | – | – | 1.82 | 6.00 | 2.54 | 4.17 |
| Podophyllum peltatum L. | 4.53 | 4.68 | 3.43 | 3.40 | 2.25 | 3.63 | 3.85 | 2.10 |
| Hydrophyllum macrophyllum Nutt. | 4.22 | 5.00 | 6.29 | 5.73 | 4.60 | 4.29 | 3.45 | 6.16 |
| Geranium maculatum L. | 4.12 | 5.19 | 5.43 | 4.00 | 4.24 | 7.83 | 5.59 | 3.79 |
| Floerkea proserpinacoides Willd. | 4.07 | 13.0 | 10.3 | 11.4 | 8.46 | 6.43 | 8.73 | 11.4 |
| Circaea lutetiana L. | 3.86 | 1.43 | 3.14 | 3.10 | 6.47 | 4.40 | 5.42 | 2.46 |
| Trillium sessile L. | 3.57 | 7.51 | 7.15 | 6.50 | 4.33 | 4.17 | 3.47 | 4.46 |
| Claytonia virginica L. | 3.46 | 8.56 | 8.57 | 8.46 | 5.81 | 6.42 | 5.76 | 8.16 |
| Cardamine concatenate (Michx.) Sw. | 3.32 | 9.52 | 8.29 | 8.16 | 4.48 | 6.43 | 4.23 | 9.37 |
| Jeffersonia diphylla (L.) Pers. | 3.05 | 2.73 | 2.86 | 1.84 | 1.99 | 2.15 | 3.65 | 0.71 |
| Viola pubescens Aiton | 2.29 | 2.00 | 2.00 | 1.97 | 2.18 | 1.80 | 2.07 | 2.82 |
| Polygonatum pubescens (Willd.) Pursh | 1.97 | 2.24 | 1.14 | 1.69 | 0.62 | 0.79 | 0.94 | 2.04 |
| Arisaema triphyllum (L.) Schott | 1.89 | 0.57 | 1.71 | 1.45 | 1.35 | 1.47 | 1.41 | 0.89 |
| Phlox divaricata L. | 1.76 | 0.57 | 0.29 | 0.28 | 0.83 | 1.24 | 1.41 | 1.52 |
| Polygonum virginianum L. | 1.56 | – | 0.29 | – | 2.08 | 1.24 | 2.06 | 1.46 |
| Geum vernum (Raf.) Torr. and A. Gray | 1.42 | 1.11 | 2.00 | 2.61 | 2.77 | 1.81 | 1.79 | 1.26 |
| Viola sororia Willd. | 1.42 | 0.56 | 0.57 | 0.28 | 0.57 | 0.56 | 0.47 | 0.71 |
| Symphyotrichum lanceolatum (Willd.) G.L. Nesom | 1.13 | 0.56 | 0.29 | 0.28 | – | – | – | – |
| Oxalis stricta L. | 1.02 | – | – | 0.56 | 1.45 | – | 0.57 | – |
| Sanguinaria canadensis L. | 1.02 | 1.14 | 0.57 | 0.85 | 0.83 | 0.90 | 0.57 | 1.26 |
| Uvularia grandiflora Sm. | 1.01 | 1.13 | 0.86 | 1.45 | 1.15 | 1.01 | 1.21 | 1.15 |
| Cardamine douglassii Britton | 0.81 | 1.14 | 1.43 | 1.69 | 1.04 | 0.90 | 1.33 | 2.80 |
| Allium tricoccum Aiton | 0.61 | 2.48 | 4.86 | 4.04 | 1.30 | 2.38 | 1.75 | 4.94 |
| Erythronium spp. L. | 0.61 | 2.22 | 2.86 | 3.04 | 1.62 | 2.60 | 1.12 | 2.85 |
| Pilea pumila (L.) A. Gray | 0.20 | – | – | – | 1.20 | 0.23 | 0.76 | – |
| Minor spp. | 8.25 | 5.09 | 5.14 | 6.32 | 5.99 | 5.86 | 6.86 | 7.46 |
| TOTAL | 100 | 100 | 100 | 100 | 100 | 100 | 100 | 100 |
| Variable | Repeated Measures ANOVA (Sphericity Assumed) | Mauchly’s Test of Sphericity | Greenhouse–Geisser Correction | ||
|---|---|---|---|---|---|
| F | dfyear | Pyear | p | PGG | |
| Richness | 16.3 | 7 | <<0.001 | <<0.001 | <<0.001 |
| Cover | 25.0 | 7 | <<0.001 | <<0.001 | <<0.001 |
| Shannon Diversity | 12.8 | 7 | <<0.001 | <<0.001 | <<0.001 |
| Evenness | 9.73 | 7 | <<0.001 | 0.0000033 | 0.0000018 |
| Beta Diversity | 43.9 | 7 | <<0.001 | 0.26 | <<0.001 |
| A. petiolata Cover | 3.49 | 7 | 0.0014 | <<<0.001 | 0.067 |
| Explanatory | Response | R2 | p |
|---|---|---|---|
| A. petiolata cover | Species richness | 0.133 | 0.023 |
| Shannon diversity | −0.017 | 0.488 | |
| Evenness | −0.001 | 0.336 | |
| Cover | 0.053 | 0.109 | |
| Beta diversity | −0.017 | 0.496 | |
| LAI | Species richness | 0.106 | 0.039 |
| Shannon diversity | 0.188 | 0.008 | |
| Evenness | 0.026 | 0.186 | |
| Cover | −0.021 | 0.549 | |
| Beta diversity | −0.033 | 0.977 | |
| Live Fraxinus BA | Species richness | −0.032 | 0.827 |
| Shannon diversity | −0.031 | 0.814 | |
| Evenness | −0.025 | 0.620 | |
| Cover | 0.034 | 0.158 | |
| Beta diversity | −0.033 | 0.925 |
| Year | Distance to S Edge | Distance to W Edge | Soil Moisture | LAI | ||||
|---|---|---|---|---|---|---|---|---|
| R2 | p | R2 | p | R2 | p | R2 | p | |
| Richness | ||||||||
| 2012 | 0.368 | <0.001 | −0.027 | 0.675 | 0.111 | 0.035 | 0.151 | 0.016 |
| 2013 | 0.176 | 0.010 | −0.029 | 0.717 | 0.068 | 0.082 | – | – |
| 2014 | 0.202 | 0.006 | −0.033 | 0.913 | 0.103 | 0.041 | – | – |
| 2015 | 0.216 | 0.004 | −0.029 | 0.739 | 0.126 | 0.026 | – | – |
| 2016 | 0.191 | 0.007 | −0.014 | 0.457 | 0.114 | 0.033 | – | – |
| 2017 | 0.259 | 0.002 | −0.033 | 0.909 | 0.205 | 0.005 | −0.033 | 0.920 |
| 2018 | 0.301 | 0.001 | −0.033 | 0.989 | 0.165 | 0.012 | – | – |
| 2020 | 0.351 | <0.001 | −0.032 | 0.826 | 0.172 | 0.010 | – | – |
| Shannon Diversity | ||||||||
| 2012 | 0.327 | <0.001 | 0.003 | 0.306 | 0.110 | 0.036 | 0.152 | 0.016 |
| 2013 | 0.086 | 0.057 | −0.030 | 0.761 | 0.086 | 0.057 | – | – |
| 2014 | 0.133 | 0.023 | −0.022 | 0.562 | 0.158 | 0.014 | – | – |
| 2015 | 0.049 | 0.117 | −0.017 | 0.495 | 0.149 | 0.017 | – | – |
| 2016 | 0.012 | 0.250 | 0.087 | 0.056 | 0.143 | 0.019 | – | – |
| 2017 | 0.063 | 0.089 | 0.101 | 0.043 | 0.106 | 0.038 | −0.030 | 0.750 |
| 2018 | −0.020 | 0.537 | 0.163 | 0.013 | 0.091 | 0.052 | – | – |
| 2020 | 0.219 | 0.004 | −0.005 | 0.362 | 0.091 | 0.052 | – | – |
| Evenness | ||||||||
| 2012 | 0.130 | 0.024 | −0.004 | 0.361 | 0.136 | 0.022 | −0.009 | 0.404 |
| 2013 | −0.032 | 0.855 | −0.023 | 0.590 | 0.181 | 0.009 | – | – |
| 2014 | 0.000 | 0.328 | −0.023 | 0.589 | 0.049 | 0.117 | – | – |
| 2015 | −0.031 | 0.789 | −0.031 | 0.783 | 0.039 | 0.145 | – | – |
| 2016 | −0.026 | 0.637 | −0.002 | 0.338 | 0.084 | 0.059 | – | – |
| 2017 | −0.029 | 0.736 | 0.023 | 0.197 | 0.094 | 0.049 | −0.033 | 0.945 |
| 2018 | −0.026 | 0.650 | 0.029 | 0.174 | 0.029 | 0.177 | – | – |
| 2020 | −0.020 | 0.540 | 0.019 | 0.214 | −0.026 | 0.646 | – | – |
| Cover | ||||||||
| 2012 | −0.033 | 0.908 | −0.032 | 0.853 | −0.024 | 0.612 | −0.033 | 0.995 |
| 2013 | 0.072 | 0.074 | −0.009 | 0.405 | −0.027 | 0.666 | – | – |
| 2014 | 0.053 | 0.108 | −0.018 | 0.509 | −0.031 | 0.804 | – | – |
| 2015 | 0.092 | 0.051 | 0.016 | 0.231 | −0.026 | 0.652 | – | – |
| 2016 | 0.100 | 0.044 | 0.004 | 0.296 | −0.003 | 0.347 | – | – |
| 2017 | 0.004 | 0.300 | 0.104 | 0.040 | 0.040 | 0.140 | −0.023 | 0.578 |
| 2018 | 0.102 | 0.041 | 0.099 | 0.044 | −0.033 | 0.893 | – | – |
| 2020 | 0.079 | 0.065 | 0.035 | 0.156 | 0.013 | 0.246 | – | – |
| Beta Diversity | ||||||||
| 2012–2013 | 0.028 | 0.179 | −0.031 | 0.782 | −0.020 | 0.537 | – | – |
| 2013–2014 | 0.031 | 0.169 | −0.033 | 0.976 | −0.018 | 0.505 | – | – |
| 2014–2015 | −0.016 | 0.482 | −0.033 | 0.949 | −0.029 | 0.735 | – | – |
| 2015–2016 | −0.033 | 0.961 | −0.003 | 0.346 | 0.040 | 0.139 | – | – |
| 2016–2017 | 0.133 | 0.023 | 0.015 | 0.234 | −0.023 | 0.585 | – | – |
| 2017–2018 | 0.021 | 0.207 | −0.032 | 0.843 | −0.033 | 0.891 | – | – |
| 2018–2020 | −0.033 | 0.935 | 0.228 | 0.003 | −0.008 | 0.395 | – | – |
| 2012–2017 | – | – | – | – | – | – | −0.033 | 0.977 |
| 2012–2020 | −0.029 | 0.726 | −0.030 | 0.744 | 0.058 | 0.098 | – | – |
© 2020 by the authors. Licensee MDPI, Basel, Switzerland. This article is an open access article distributed under the terms and conditions of the Creative Commons Attribution (CC BY) license (http://creativecommons.org/licenses/by/4.0/).
Share and Cite
Buskey, T.M.; Maloney, M.E.; Chapman, J.I.; McEwan, R.W. Herb-Layer Dynamics in an Old-Growth Forest: Vegetation–Environment Relationships and Response to Invasion-Related Perturbations. Forests 2020, 11, 1069. https://doi.org/10.3390/f11101069
Buskey TM, Maloney ME, Chapman JI, McEwan RW. Herb-Layer Dynamics in an Old-Growth Forest: Vegetation–Environment Relationships and Response to Invasion-Related Perturbations. Forests. 2020; 11(10):1069. https://doi.org/10.3390/f11101069
Chicago/Turabian StyleBuskey, Taylor M., Margaret E. Maloney, Julia I. Chapman, and Ryan W. McEwan. 2020. "Herb-Layer Dynamics in an Old-Growth Forest: Vegetation–Environment Relationships and Response to Invasion-Related Perturbations" Forests 11, no. 10: 1069. https://doi.org/10.3390/f11101069
APA StyleBuskey, T. M., Maloney, M. E., Chapman, J. I., & McEwan, R. W. (2020). Herb-Layer Dynamics in an Old-Growth Forest: Vegetation–Environment Relationships and Response to Invasion-Related Perturbations. Forests, 11(10), 1069. https://doi.org/10.3390/f11101069

