Sign in to use this feature.

Years

Between: -

Subjects

remove_circle_outline
remove_circle_outline
remove_circle_outline
remove_circle_outline
remove_circle_outline
remove_circle_outline
remove_circle_outline
remove_circle_outline
remove_circle_outline

Journals

remove_circle_outline
remove_circle_outline
remove_circle_outline
remove_circle_outline
remove_circle_outline
remove_circle_outline
remove_circle_outline
remove_circle_outline
remove_circle_outline
remove_circle_outline
remove_circle_outline
remove_circle_outline
remove_circle_outline
remove_circle_outline
remove_circle_outline

Article Types

Countries / Regions

remove_circle_outline
remove_circle_outline
remove_circle_outline
remove_circle_outline
remove_circle_outline
remove_circle_outline
remove_circle_outline
remove_circle_outline

Search Results (1,105)

Search Parameters:
Keywords = tree mortality

Order results
Result details
Results per page
Select all
Export citation of selected articles as:
23 pages, 13449 KB  
Article
Assessing Drought-Induced Tree Mortality in Open Mediterranean Forests Integrating Landsat Time Series, Spectral Unmixing, and UAS Validation
by Alma Raunak, Margarita Huesca, Panagiotis Nyktas and Claudia Paris
Remote Sens. 2026, 18(5), 792; https://doi.org/10.3390/rs18050792 - 5 Mar 2026
Viewed by 153
Abstract
Drought-induced tree mortality is a growing threat to Mediterranean ecosystems, which host high biodiversity but face increasing water stress under climate change. Detecting mortality over large areas with satellite data remains challenging due to open canopies and mixed pixels that obscure vegetation signals. [...] Read more.
Drought-induced tree mortality is a growing threat to Mediterranean ecosystems, which host high biodiversity but face increasing water stress under climate change. Detecting mortality over large areas with satellite data remains challenging due to open canopies and mixed pixels that obscure vegetation signals. This study evaluates the performance of two widely used vegetation indices—the Normalized Difference Vegetation Index (NDVI) and Normalized Difference Water Index (NDWI)—alongside a novel application of Spectral Unmixing derived vegetation cover Spectral Unmixing (SU) within the LandTrendr algorithm to track tree mortality in southwest Crete, Greece. High-resolution Unmanned Aerial System (UAS) imagery was used to validate satellite observations, demonstrating strong agreement with field data (R2 = 0.95) and confirming its suitability as reference data. LandTrendr applied to NDVI, NDWI, and SU detected major mortality events between 1995 and 2008, with SU identifying the largest affected area. While NDVI and NDWI achieved higher accuracy in distinguishing unaffected plots, SU performed best at detecting mortality. Regression analysis revealed a limited ability of all approaches to quantify mortality magnitude, though SU improved when high-mortality plots were excluded. Overall, NDVI effectively tracked canopy changes, NDWI provided early warnings of drought stress, and SU reduced soil interference to better capture mortality patterns. By integrating satellite time series with UAS validation, this study demonstrates a scalable approach for detecting forest decline and offers actionable insights to guide Mediterranean forest management under increasing drought pressure. Full article
Show Figures

Figure 1

21 pages, 1285 KB  
Article
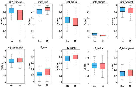
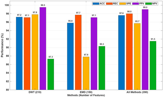
Nonlinear Feature-Based MI Detection Supported by DWT and EMD on ECG: A High-Performance Decision Support Approach
by Ali Narin and Merve Keser
Biosensors 2026, 16(3), 150; https://doi.org/10.3390/bios16030150 - 4 Mar 2026
Viewed by 178
Abstract
Myocardial infarction (MI) is a life-threatening cardiovascular disorder caused by a partial or complete interruption of oxygenated blood flow to the myocardium, leading to high mortality rates if not diagnosed promptly. Although electrocardiogram (ECG) signals are widely used due to their non-invasive and [...] Read more.
Myocardial infarction (MI) is a life-threatening cardiovascular disorder caused by a partial or complete interruption of oxygenated blood flow to the myocardium, leading to high mortality rates if not diagnosed promptly. Although electrocardiogram (ECG) signals are widely used due to their non-invasive and low-cost nature, MI-specific abnormalities may be subtle and subject to inter-observer variability. Therefore, reliable artificial intelligence-based decision support systems are essential to enhance diagnostic classification accuracy. In this study, only the Lead II derivation from 12-lead ECG recordings of 52 healthy individuals and 148 MI patients was analyzed. To effectively characterize the non-stationary nature of ECG signals, a hybrid time–frequency feature extraction framework was employed. Five-level intrinsic mode functions and wavelet detail and approximation coefficients were obtained using Empirical Mode Decomposition and Discrete Wavelet Transform with a Daubechies-6 wavelet. From these components, 390 times, nonlinear and complexity-based features were extracted using 23 entropy-driven measures. Particle Swarm Optimization was applied to select the most discriminative feature subset, significantly enhancing classification performance. The optimized features were evaluated using Support Vector Machines, Artificial Neural Networks, k-Nearest Neighbors, and Bagged Tree classifiers. The Bagged Trees classifier achieved the best classification performance with an overall correct classification rate of 97.6%. The results demonstrate that the proposed hybrid feature representation combined with PSO-based selection provides a robust and reliable framework for MI detection, offering strong potential for clinical decision support applications. Full article
Show Figures

Figure 1

25 pages, 23655 KB  
Article
A Stochastic Simulation Framework to Predict the Spatial Spread of Xylella fastidiosa
by Nikolaos Marios Polymenakos, Iosif Polenakis, Christos Sarantidis, Ioannis Karydis and Markos Avlonitis
Mathematics 2026, 14(5), 847; https://doi.org/10.3390/math14050847 - 2 Mar 2026
Viewed by 362
Abstract
The spread of Xylella fastidiosa, a xylem-limited bacterial pathogen, has caused widespread mortality among olive trees in Apulian region, Italy in more than a decade, and represents a significant threat to Mediterranean agroecosystems. To encourage evidence-based containment strategies, we developed a stochastic, [...] Read more.
The spread of Xylella fastidiosa, a xylem-limited bacterial pathogen, has caused widespread mortality among olive trees in Apulian region, Italy in more than a decade, and represents a significant threat to Mediterranean agroecosystems. To encourage evidence-based containment strategies, we developed a stochastic, spatiotemporal simulation model that represents pathogen transmission at the individual-tree level. This work integrates high-resolution georeferenced olive-tree data and implicitly incorporates vector population dynamics through a tree-specific vulnerability index, which considers local host density and landscape connectivity. Vector dispersal is approximated using a radial transmission kernel, which preserves host–vector spatial interactions while avoiding the explicit modeling of insect trajectories. The system’s spatial structure is additionally formulated as a proximity graph, facilitating network-based analysis of spread pathways. A series of Monte Carlo simulation experiments is employed for calibration against the observed epidemic footprint, while validation utilizes independent infection records and global sensitivity analysis of key parameters. The findings indicate that the model effectively replicates realistic propagation patterns, and its calibrated parameters are consistent with out-of-sample data. This makes it an appropriate exploratory tool for scenario testing, assessing the potential impact of intervention strategies, and offering risk-based decision support for handling Xylella fastidiosa outbreaks. Subsequently, graph centrality metrics are used to identify epidemiologically critical trees that function as transmission bridges, thus representing priority targets for surveillance or removal efforts. Thus, multiple tests have been conducted using betweenness and closeness centrality, while comparing both methods leads to effective node-tree removal decisions. Full article
(This article belongs to the Special Issue Nonlinear Dynamics and Stochastic Modeling of Complex Systems)
Show Figures

Figure 1

14 pages, 2418 KB  
Protocol
Detached Twig Assay to Evaluate Bacterial Canker on Peaches
by Bilgehan A. Geylani, Stephen M. Parris, Jhulia Gelain, Guido Schnabel and Ksenija Gasic
Methods Protoc. 2026, 9(2), 34; https://doi.org/10.3390/mps9020034 - 28 Feb 2026
Viewed by 144
Abstract
Pseudomonas syringae pv. syringae (Pss) is the causal agent of bacterial canker, a disease that can result in yield losses, aerial tissue damage, and tree mortality in stone fruits worldwide. Peach, one of the major stone fruit crops, experiences significant yield [...] Read more.
Pseudomonas syringae pv. syringae (Pss) is the causal agent of bacterial canker, a disease that can result in yield losses, aerial tissue damage, and tree mortality in stone fruits worldwide. Peach, one of the major stone fruit crops, experiences significant yield losses and tree mortality attributed to bacterial canker in the United States. As the second-largest peach-producing state, South Carolina faces direct and significant impacts due to Pss. Early evaluations of peach scion responses to Pss infection have relied primarily on circumstantial field observations in rootstock trials. Although laboratory evaluations in peach have been reported, these studies primarily focused on pathogen virulence testing or small accession sets and did not establish a standardized, scalable detached twig protocol for systematic germplasm phenotyping. The absence of a clearly described laboratory assay has limited reproducible and large-scale evaluation of bacterial canker tolerance in peach. To address this gap, a detached dormant twig assay, previously developed for cherry, was adapted and optimized for peach. Dormant shoots from nine peach accessions were cut into 10 cm segments, surface-sterilized, and inoculated with a Pss suspension prepared in 10 mM MgCl2 buffer or with the buffer alone. After six weeks of incubation, inner bark lesion size was evaluated visually and quantified using ImageJ. A newly developed visual rating scale was established and compared with quantitative lesion measurements. Spearman correlation analysis showed strong positive correlations between visual disease scores and ImageJ-based lesion measurements across two independent replicates (ρ = 0.80–1.00, p < 0.01), while shoot segment diameter showed weak-to-moderate negative correlations with disease severity. This adapted and consolidated dormant twig assay provides a practical, reproducible, and scalable method for phenotyping bacterial canker tolerance in peach and supports future germplasm screening and breeding efforts. Full article
(This article belongs to the Section Omics and High Throughput)
Show Figures

Figure 1

25 pages, 1285 KB  
Review
Climate-Smart Forestry and Its Strong Correlation with Forest Genetic Resources: Current State and Future Actions
by Ermioni Malliarou, Eleftheria Dalmaris and Evangelia V. Avramidou
Forests 2026, 17(2), 268; https://doi.org/10.3390/f17020268 - 16 Feb 2026
Viewed by 428
Abstract
Climate-smart forestry (CSF) is a comprehensive approach that aims to sustainably enhance wood productivity (production), improve forest resilience and adaptation, sequester carbon (mitigation), and support broader development goals. This strategy is profoundly linked with Forest Genetic Resources (FGR), which are crucial for the [...] Read more.
Climate-smart forestry (CSF) is a comprehensive approach that aims to sustainably enhance wood productivity (production), improve forest resilience and adaptation, sequester carbon (mitigation), and support broader development goals. This strategy is profoundly linked with Forest Genetic Resources (FGR), which are crucial for the adaptive capacity and long-term sustainability of forest ecosystems in the face of the escalating climatic changes. Climate change presents significant risks, including increased air temperatures, altered precipitation regimes, and a rise in extreme weather events, leading to tree mortality, shifts in vegetation distribution, and a potential loss of critical forest functions and services, such as carbon sequestration capacity. While forests have inherent resilience, the rapidity and magnitude of projected changes may exceed their natural adaptive capacity, potentially resulting in local extinction and degradation of ecosystems. This review explores various facets of the interplay between CSF and FGR, emphasizing their role in sustainable forest management. Key areas of focus include: (1) Genetic Diversity, (2) Genotype Selection and Breeding, (3) Modern Breeding Techniques, (4) Molecular Breeding, (5) Genomic Prediction (GP), (6) Breeding Programs, (7) Silvicultural Practices, (8) Adaptation Mechanisms, (9) Phenotypic Plasticity, (10) Migration, particularly Assisted Gene Flow (AGF) and (11) Reproductive Material Management. Ultimately, the study highlights the crucial role of FGR in the resilience of forest ecosystems and proposes future actions for their integration into CSF strategies, including in situ and ex situ conservation, assisted migration, advanced research and development, community involvement, and supportive policy frameworks, all vital for the long-term sustainability and vitality of forest ecosystems in a changing climate. Full article
Show Figures

Figure 1

23 pages, 2497 KB  
Article
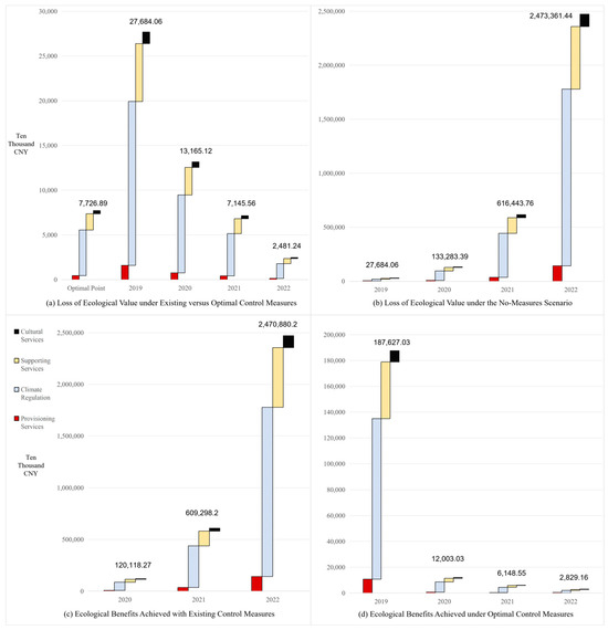
The Economic and Ecological Benefits of the Optimal Control Measures for Pine Wood Nematode Disease in Weihai City, China
by Qi Cai, Junhua Chen, Lina Jiang, Ning Ding, Tong Liu and Ming Yuan
Forests 2026, 17(2), 262; https://doi.org/10.3390/f17020262 - 15 Feb 2026
Viewed by 145
Abstract
Pine wilt disease poses a significant threat to forest ecosystems. This study evaluates the efficacy and economic–ecological benefits of its control measures in Weihai City, China, from 2019 to 2022. Employing disaster economics theory and a simultaneous equation model, we analyzed control performance, [...] Read more.
Pine wilt disease poses a significant threat to forest ecosystems. This study evaluates the efficacy and economic–ecological benefits of its control measures in Weihai City, China, from 2019 to 2022. Employing disaster economics theory and a simultaneous equation model, we analyzed control performance, influencing factors, and optimal strategies, estimating costs and losses under actual, optimal, and no-control scenarios. The results show that the optimal investment is 70.63 CNY per dead tree. Each additional treated hectare averts 119.6 tree deaths, and every 10,000 CNY invested prevents 88.5 mortalities. Economic benefits increased sharply from 2.169 to 94.749 billion CNY, while ecological benefits also grew substantially. However, control inputs in 2019 were insufficient, and subsequent years revealed opportunities for more efficient allocation, despite persistent constraints like limited funding and personnel. We recommend implementing a precision budgeting model with dynamic adjustment model and an integrated township-level management system to optimize control outcomes. Full article
(This article belongs to the Section Forest Ecology and Management)
Show Figures

Figure 1

15 pages, 1792 KB  
Article
Integrated Analysis of Parenchymal and Vascular HRCT Patterns with Circulating Biomarkers in Severe COVID-19 Pneumonia
by Aldo Carnevale, Luca Morandi, Gaetano Scaramuzzo, Savino Spadaro, Gianluca Calogero Campo, Melchiore Giganti, Alberto Papi and Marco Contoli
Diagnostics 2026, 16(4), 587; https://doi.org/10.3390/diagnostics16040587 - 15 Feb 2026
Viewed by 366
Abstract
Purpose: To explore the correlation between radiologic patterns on high-resolution computed tomography (HRCT) and circulating biomarkers of inflammation and endothelial activation in patients with COVID-19 pneumonia, with the aim of identifying imaging-biomarker phenotypes that may offer insights for clinical stratification. Materials and [...] Read more.
Purpose: To explore the correlation between radiologic patterns on high-resolution computed tomography (HRCT) and circulating biomarkers of inflammation and endothelial activation in patients with COVID-19 pneumonia, with the aim of identifying imaging-biomarker phenotypes that may offer insights for clinical stratification. Materials and Methods: This prospective single-center study included 84 consecutive patients hospitalized with PCR-confirmed SARS-CoV-2 infection and respiratory failure. All underwent baseline HRCT, along with parallel biohumoral profiling, including inflammatory (IL-1Ra, IL-6, IL-10) and endothelial (Angiopoietin-2, sVCAM-1, sE-Selectin) biomarkers. HRCT scans were reviewed for parenchymal and vascular abnormalities (vascular tree-in-bud [TIB], vascular enlargement pattern [VEP]). Semi-quantitative scores were assigned for parenchymal (PS) and vascular (VS) involvement. Results: Patients with higher PS had significantly prolonged hospital stay (35 vs. 17 days; p = 0.014), increased ICU admission rates (68.8% vs. 21.4%; p = 0.003), and elevated serum levels of IL-1Ra, IL-6, and IL-10 (p < 0.05). At multivariable analysis, PS remained independently associated with ICU admission after adjustment for age, inflammatory burden, and comorbidities (p = 0.014). A high VS was associated with significantly increased Angiopoietin-2 levels (p = 0.036), although it did not directly correlate with ICU admission or mortality. A significant positive correlation was observed between PS and VS (r =0.392; p < 0.001). Conclusions: in this study, HRCT-based parenchymal and vascular patterns appear significantly correlated with biological processes occurring in severe COVID-19 pneumonia. These observations, although preliminary, may offer a conceptual basis for future studies exploring radiologic and biomarker-based stratification in severe respiratory infections. Full article
(This article belongs to the Special Issue Computed Tomography Imaging in Medical Diagnosis, 2nd Edition)
Show Figures

Figure 1

12 pages, 386 KB  
Article
Hierarchical Risk Profiles in Tuberculosis Treatment Outcomes: The Role of Drug Resistance, Age, and Socio-Economic Factors
by Nande Ndamase, Lindiwe Modest Faye, Ntandazo Dlatu, Teke Apalata and Mojisola Clara Hosu
Microbiol. Res. 2026, 17(2), 42; https://doi.org/10.3390/microbiolres17020042 - 14 Feb 2026
Viewed by 261
Abstract
Background: Tuberculosis (TB) outcomes remain suboptimal in high-burden, resource-constrained settings. Clinical and socio-economic factors contribute to loss to follow-up, failure, and mortality, yet their relative importance remains underexplored. Methods: We analyzed a retrospective cohort of patients treated for pulmonary TB in the Eastern [...] Read more.
Background: Tuberculosis (TB) outcomes remain suboptimal in high-burden, resource-constrained settings. Clinical and socio-economic factors contribute to loss to follow-up, failure, and mortality, yet their relative importance remains underexplored. Methods: We analyzed a retrospective cohort of patients treated for pulmonary TB in the Eastern Cape, South Africa. Treatment outcomes were dichotomized as success (cured or treatment completed) versus unsuccessful (loss to follow-up, failure, or death), excluding transfers and patients still on treatment. Predictors included age, gender, income, occupation, comorbidities, HIV status, previous treatment history, patient category, and drug resistance status. Regularized logistic regression was used to estimate odds ratios, while the best decision tree model was applied to identify hierarchical risk profiles. Results: Logistic regression demonstrated high accuracy (86%) and identified drug susceptibility, age, income stability, and comorbidity burden as the strongest predictors of treatment success. The decision tree achieved lower accuracy (65%) but improved detection of unsuccessful outcomes, highlighting a clear hierarchy of risk: (1) drug resistance status, (2) age, (3) income source, and (4) comorbidities. Patients with drug-resistant TB, older age, no income or reliance on grants, and coexisting conditions were at the highest risk of poor outcomes. Conclusions: Drug resistance, age, income, and comorbidity burden shape a hierarchical risk profile for TB treatment outcomes in rural South Africa. Logistic regression offered robust overall classification, while the decision tree provided transparent stratification of at-risk groups. These findings underscore the need for integrated clinical and socio-economic support strategies to improve outcomes in high-burden settings. Full article
Show Figures

Figure 1

19 pages, 2496 KB  
Article
Emergency Department Prediction of In-Hospital Mortality in Suspected Pulmonary Embolism: An Explainable Machine Learning Approach
by Meliha Fındık, Tufan Alatlı, Salih Kocaoğlu, Yeltuğ Esra Gelen and Rahime Sema Taş
J. Clin. Med. 2026, 15(4), 1340; https://doi.org/10.3390/jcm15041340 - 8 Feb 2026
Viewed by 432
Abstract
Background: Pulmonary embolism (PE) is a significant cause of cardiovascular mortality, and emergency department (ED) management requires early risk assessment to guide monitoring and disposition. Because key decisions are often needed while diagnostic evaluation is ongoing, the simplified Pulmonary Embolism Severity Index (sPESI) [...] Read more.
Background: Pulmonary embolism (PE) is a significant cause of cardiovascular mortality, and emergency department (ED) management requires early risk assessment to guide monitoring and disposition. Because key decisions are often needed while diagnostic evaluation is ongoing, the simplified Pulmonary Embolism Severity Index (sPESI) may provide limited discrimination for in-hospital outcomes. We evaluated whether explainable machine-learning (ML) models integrating routine ED variables with validated risk scores can predict in-hospital mortality in adults evaluated for suspected acute PE. Methods: A retrospective single-center cohort study was performed, including 220 consecutive adults evaluated for suspected acute PE in the ED between January 2021 and March 2025, comprising both PE-confirmed and PE-excluded cases. Predictors included demographics, vital signs, arterial blood gas indices, available imaging/echocardiographic findings, and Wells, Revised Geneva, and sPESI scores. Seven ML algorithms were trained and internally evaluated using the area under the receiver operating characteristic curve (AUC) and complementary metrics. Model interpretability was assessed using SHAP (SHAPley Additive exPlanations), and a sensitivity analysis was conducted in the PE-confirmed subgroup. Results: Tree-based ensemble models demonstrated higher discrimination for in-hospital all-cause mortality than simpler classifiers. SHAP analyses consistently highlighted sPESI, oxygenation/arterial blood gas indices, and malignancy as key contributors to mortality risk. Findings were similar in the PE-confirmed sensitivity analysis. Conclusions: Explainable ML models combining established risk scores with routinely collected ED variables may complement risk stratification along the suspected-PE pathway. External multicenter validation and prospective impact studies are warranted before clinical implementation. Full article
(This article belongs to the Special Issue Advancements in Emergency Medicine Practices and Protocols)
Show Figures

Figure 1

20 pages, 2981 KB  
Article
Changes in Forest Hydrology and Biogeochemistry Following a Simulated Tree Mortality Event of Southern Pine Beetle: A Case Study
by Courtney M. Siegert, Heidi J. Renninger, Nicole J. Hornslein, Padmanava Dash, John J. Riggins and Natalie A. Clay
Forests 2026, 17(2), 211; https://doi.org/10.3390/f17020211 - 4 Feb 2026
Viewed by 429
Abstract
Southern pine beetle infestations impact ecosystems throughout the southeastern US. Our understanding of hydrologic and biogeochemical impacts on ecosystem structure and function is largely guided by severe outbreaks occurring in the western US. A simulated mortality experiment was conducted on loblolly pine trees [...] Read more.
Southern pine beetle infestations impact ecosystems throughout the southeastern US. Our understanding of hydrologic and biogeochemical impacts on ecosystem structure and function is largely guided by severe outbreaks occurring in the western US. A simulated mortality experiment was conducted on loblolly pine trees via girdling with and without blue-stain fungi inoculation to mimic a small-scale infestation. We measured whole-tree water use, canopy-derived hydrologic and biogeochemical fluxes, soil moisture, and soil respiration for two years following treatments to quantify the impacts of tree mortality on water, carbon, and nitrogen cycles. In the second year of our study, a significant drought occurred, subjecting study trees to a secondary stressor. We found that compared to control trees, girdled trees exhibited reduced water uptake within 6 months and succumbed to mortality within 18 months. We found that by the time trees reached the gray phase of attack, stemflow was 1.7-times lower in girdled trees compared to control trees. Stemflow from girdled trees had up to 7.2-times higher concentrations of ammonium and 2.8-times higher concentrations of total nitrogen. Although stemflow carbon concentrations were indistinguishable between treatments, total carbon flux in stemflow was 2.0-times greater in non-girdled trees (p = 0.030). Finally, even though soil moisture and respiration were not different between treatments, it was not possible to isolate the response of these to mortality versus drought. Our results present the connection between bark beetle outbreaks and the initial impacts on forest biogeochemistry. Changes in the distribution of canopy-derived water inputs, coupled with altered carbon and nitrogen fluxes, serve as hot spots around bark beetle-killed trees. Further research is necessary to understand whether these isolated hot spots may prime the system, alter microbial and invertebrate communities, and lead to changes in decomposition processes at larger scales. Full article
(This article belongs to the Special Issue Effects of Disturbance on Forest Hydrology)
Show Figures

Figure 1

17 pages, 3662 KB  
Article
Pathogenic Species of Botryosphaeriaceae Involved in Tree Dieback in an Urban Forest Affected by Climate Change
by Alessandra Benigno, Viola Papini and Salvatore Moricca
Pathogens 2026, 15(2), 155; https://doi.org/10.3390/pathogens15020155 - 31 Jan 2026
Viewed by 323
Abstract
Urban forests are highly valued for the multiple benefits they provide to city dwellers. The strategic provision of ecosystem services by these forests is threatened by climate change, warming conditions being responsible for heat waves and chronic droughts that inflict stress and mortality [...] Read more.
Urban forests are highly valued for the multiple benefits they provide to city dwellers. The strategic provision of ecosystem services by these forests is threatened by climate change, warming conditions being responsible for heat waves and chronic droughts that inflict stress and mortality on trees. A three-year study (2011–2013) conducted at Parco Nord Milano (PNM) (Milano, Italy) assessed the impact of thinning interventions on the dynamics of fungal pathogens in declining forest plots. Symptomatic trees of the genera Alnus, Acer, Fraxinus, Platanus, Quercus and Ulmus, exhibited in thinned subplot pronounced decline/dieback, exhibiting symptoms like microphyllia, leaf yellowing, leaf shedding, sunken cankers, shoot wilting and branch dieback. Comparative analyses between the thinned and unthinned subplots revealed a significantly higher incidence of pathogens in the thinned one. Five species of Botryosphaeriaceae, namely Botryosphaeria dothidea, Diplodia corticola, Diplodia seriata, Dothiorella omnivora and Neofusicoccum parvum, were consistently isolated from tissues of declining hosts. There is evidence that thinning altered plot-level microclimate conditions and microbial equilibrium, favoring the proliferation of latent, pathogenic Botryosphaeriaceae. In fact, during the study period, the presence of N. parvum increased tenfold and that of B. dothidea fivefold in thinned subplot. Conversely, in unthinned subplot, the same pathogenic taxa maintained stable proportions. These results demonstrate that thinning altered ecological balances increasing tree susceptibility to harmful, cosmopolitan botryosphaeriaceous fungi. Our findings challenge assumptions about thinning as a universally beneficial practice, emphasizing the need for silvicultural strategies that take into account host and pathogen ecology and the microclimatic resilience of forest stands. This study emphasizes the importance of adaptive management in urban forestry to mitigate the unintended ecological consequences of climate change. Full article
Show Figures

Graphical abstract

13 pages, 778 KB  
Article
Predicting In-Hospital Mortality in Acute Mesenteric Ischemia: The RADIAL Score
by Luis Castilla-Guerra, Paula Luque-Linero, Maria del Carmen Fernandez-Moreno, Belén Gutiérrez-Gutiérrez, Francisco Fuentes-Jiménez, María Adoración Martín-Gómez, María Dolores Martínez-Esteban, María del Pilar Segura-Torres, Maria Dolores López-Carmona and Patricia Rubio-Marín
J. Clin. Med. 2026, 15(3), 1106; https://doi.org/10.3390/jcm15031106 - 30 Jan 2026
Viewed by 460
Abstract
Background/Objectives: Acute mesenteric ischemia (AMI) is a time-dependent condition associated with exceptionally high in-hospital mortality, particularly among elderly and comorbid patients. Early identification of patients at high risk of death remains challenging and has important implications for clinical decision-making. The objective of this [...] Read more.
Background/Objectives: Acute mesenteric ischemia (AMI) is a time-dependent condition associated with exceptionally high in-hospital mortality, particularly among elderly and comorbid patients. Early identification of patients at high risk of death remains challenging and has important implications for clinical decision-making. The objective of this study was to derive and internally validate a prognostic score for in-hospital mortality of patients with AMI. Materials and Methods: We conducted a multicenter, observational, retrospective cohort study including patients with AMI from 10 participating hospitals. A descriptive and analytical approach was performed. A Classification and Regression Tree (CART) model was used to determine cut-off points for continuous variables and assess their association with mortality. Based on these thresholds, a univariate analysis was performed, and variables with statistical significance (p < 0.05) were incorporated into a multivariate logistic regression model. A score—the RADIAL score—was then derived from the beta coefficients. The discriminative ability of the score was evaluated using the receiver operating characteristic (ROC) curve. Results: A total of 693 patients were studied. Thee mean age was 81 years (IQR 73–86) and 54.2% were women. A history of cardiovascular disease was present in 75.3% of participants. Overall mortality was 62.4%. Most patients (74%) were managed conservatively. Significant variables in the bivariate analysis included hypotension, age > 65 years, pH < 7.3, creatinine > 1.7 mg/dL, and absence of rectal bleeding. These variables were incorporated into the multivariate model. The resulting score showed an area under the ROC curve of 0.78 (95% CI: 0.74–0.82). Conclusions: The RADIAL score demonstrated robust predictive performance and allowed the identification of three mortality-risk groups: 30–40% (low), 50–60% (intermediate), and 80% (high). This tool may support clinical decision-making in the management of patients with AMI. Full article
(This article belongs to the Section Cardiovascular Medicine)
Show Figures

Figure 1

17 pages, 2176 KB  
Article
Turing Instability of Hopf Bifurcation Periodic Solutions and Stability Analysis in a Diffusive Forest Kinematic Model
by Jiahui You, Yuhang Hu, Wenyu Zhang and Mi Wang
Mathematics 2026, 14(3), 481; https://doi.org/10.3390/math14030481 - 29 Jan 2026
Viewed by 327
Abstract
In this paper, we investigate the asymptotic behavior of solutions to a diffusive forest kinematic model, which describes the interactions among young trees, old trees, and airborne seeds. Our study focuses on the stability of the positive equilibrium, the occurrence of Hopf bifurcation [...] Read more.
In this paper, we investigate the asymptotic behavior of solutions to a diffusive forest kinematic model, which describes the interactions among young trees, old trees, and airborne seeds. Our study focuses on the stability of the positive equilibrium, the occurrence of Hopf bifurcation yielding spatially homogeneous periodic solutions, and the subsequent Turing instability induced by diffusion in these periodic states. The analysis highlights that the juvenile tree mortality rate, represented by a quadratic function of mature tree density, plays a central dynamical role. Specifically, the parameter corresponding to the mature tree density at which juvenile mortality is minimized serves as a key Hopf bifurcation parameter. This indicates that the system’s transition to periodic solutions and later to diffusion-driven pattern formation can be effectively regulated through this parameter. From an ecological perspective, these results suggest that forest management strategies capable of indirectly influencing factors related to this critical parameter could help control the emergence of spatial patterns, such as forest patches. Furthermore, the functional form of the mortality rate offers a useful foundation for future studies examining how different assumptions regarding tree interaction morphology may influence ecosystem patterning. Full article
Show Figures

Figure 1

23 pages, 7280 KB  
Article
Genomic Epidemiology of Carbapenem-Resistant Acinetobacter baumannii Isolated from Patients Admitted to Intensive Care Units in Network Hospitals in Southern Thailand
by Arnon Chukamnerd, Komwit Surachat, Rattanaruji Pomwised, Prasit Palittapongarnpim, Kamonnut Singkhamanan and Sarunyou Chusri
Antibiotics 2026, 15(2), 133; https://doi.org/10.3390/antibiotics15020133 - 28 Jan 2026
Viewed by 380
Abstract
Background/Objectives: Carbapenem-resistant Acinetobacter baumannii (CRAB) is classified as an urgent-threat pathogen because of its resistance to nearly all available antibiotics, resulting in high morbidity and mortality rates. However, data on the molecular epidemiology of CRAB isolates in southern Thailand are limited. This [...] Read more.
Background/Objectives: Carbapenem-resistant Acinetobacter baumannii (CRAB) is classified as an urgent-threat pathogen because of its resistance to nearly all available antibiotics, resulting in high morbidity and mortality rates. However, data on the molecular epidemiology of CRAB isolates in southern Thailand are limited. This study aimed to investigate the genomic epidemiology of CRAB isolates within a hospital network in lower southern Thailand. Methods: Whole-genome sequencing data of CRAB clinical isolates (n = 224) were obtained from a previous study. Additional isolates (n = 70) were included, for which genomic DNA was extracted and sequenced. In total, 294 isolates were collected from patients across seven hospitals in southern Thailand between 2019 and 2020. Their genomes were analyzed using several bioinformatic tools. Results: A high proportion of isolates were obtained from sputum samples of patients with CRAB infection or colonization. Sequence type (ST) 2 was the most frequent ST and was classified in the quadrant with high resistance and virulence. The Sankey diagram showed that ST2 was the dominant and most versatile CRAB lineage circulating across major hospitals, commonly associated with pneumonia, and that diverse resistance genes and plasmid combinations were dominated by blaOXA-23. The core single-nucleotide polymorphism (SNP)-based phylogenetic tree revealed clades A1 (ST215), A2 (multiple STs), and B (ST2). Bloodstream, skin, and soft tissue infections were predominantly observed in clade B. Conclusions: Our analysis revealed widespread circulation of a high-risk ST2 CRAB lineage with enhanced resistance and virulence across hospital networks in the studied region, highlighting the importance of genomics-informed surveillance for controlling CRAB dissemination. Full article
Show Figures

Figure 1

14 pages, 259 KB  
Review
The Role of Plant-Based Diets for Cancer Survivors and Planetary Health
by Kaitlyn H. Kwok, Thomas E. Hedley and Caroline J. Mariano
Curr. Oncol. 2026, 33(2), 72; https://doi.org/10.3390/curroncol33020072 - 26 Jan 2026
Viewed by 602
Abstract
Purpose: A growing body of evidence has emerged on the role of diet for health outcomes in cancer survivors. Patients transitioning to post-treatment care may seek guidance on dietary changes, and summaries of the evidence for dietary patterns recommended by guidelines can support [...] Read more.
Purpose: A growing body of evidence has emerged on the role of diet for health outcomes in cancer survivors. Patients transitioning to post-treatment care may seek guidance on dietary changes, and summaries of the evidence for dietary patterns recommended by guidelines can support providers in effectively answering questions. Increasing evidence suggests that food choices impact planetary health. Plant-based diets are one eating pattern that may improve patient outcomes and planetary health. Methods: We performed a literature review and used narrative reporting to summarize evidence for plant-based diets and offer specific guidance for breast, colorectal, and prostate cancer patients who are post-diagnosis. Specifically, we reviewed impacts on recurrence, all-cause, and cancer-specific mortality. Results: Increased fibre intake by consuming foods like fruits, vegetables, and whole grains is associated with a decreased risk of breast cancer-specific and all-cause mortality, as well as reduced colon cancer-specific mortality. Replacing refined grains with whole grains is associated with improved disease-free survival for colon cancer survivors. Higher tree nut consumption is associated with improved disease-free survival for breast, colorectal, and prostate cancer survivors. Soy is safe to consume for breast cancer survivors and is associated with a reduced risk of recurrence. Conversely, more Western dietary patterns high in processed meat intake are associated with an increased risk of colon cancer recurrence and prostate cancer mortality. There are also environmental benefits of a shift towards plant-based diets to address the adverse health outcomes associated with climate change and its potential impact on cancer care delivery as previously outlined in a 2024 ASCO policy statement. Conclusions: Based on the best existing evidence, providers can suggest that patients consider plant-based dietary patterns in the post-treatment phase of their cancer care to support health outcomes and planetary health. Full article
(This article belongs to the Section Palliative and Supportive Care)
Show Figures

Graphical abstract

Back to TopTop