Next Article in Journal
Can Strict Protection Stop the Decline of Mangrove Ecosystems in China? From Rapid Destruction to Rampant Degradation
Previous Article in Journal
Effects of Metaxenia on Stone Cell Formation in Pear (Pyrus bretschneideri) Based on Transcriptomic Analysis and Functional Characterization of the Lignin-Related Gene PbC4H2
 
 
Font Type:
Arial Georgia Verdana
Font Size:
Aa Aa Aa
Line Spacing:
Column Width:
Background:
Article

Temporal Effects of Thinning on the Leaf C:N:P Stoichiometry of Regenerated Broadleaved Trees in Larch Plantations

1
CAS Key Laboratory of Forest Ecology and Management, Institute of Applied Ecology, Shenyang 110016, China
2
Qingyuan Forest CERN, Chinese Academy of Sciences, Shenyang 110016, China
3
University of Chinese Academy of Sciences, Beijing 100049, China
4
Natural Resources Bureau of Qingyuan Manchu Autonomous County, Qingyuan Manchu Autonomous County, Fushun 113300, China
*
Author to whom correspondence should be addressed.
Forests 2020, 11(1), 54; https://doi.org/10.3390/f11010054
Submission received: 25 November 2019 / Revised: 18 December 2019 / Accepted: 23 December 2019 / Published: 1 January 2020
(This article belongs to the Section Forest Ecology and Management)

Abstract

The shift from natural mixed broadleaved forests to pure coniferous plantations results in soil degradation and the unsustainable development of plantations due to the simple stand structure and low species diversity. Thinning can practically sustain the forest structure and promote the regeneration and growth of broadleaved trees in these pure coniferous plantations. The growth of regenerated broadleaved trees is closely related to leaf ecological stoichiometry, which is strongly restricted by environmental factors such as light, soil moisture, and nutrients after thinning. However, the temporal effects of thinning on leaf C:N:P stoichiometry are still not well understood, which constrains our understanding of implementing thinning in coniferous plantations to promote the regeneration and growth of broadleaved species, and further forming the mixed larch-broadleaf forests. Here, we compared canopy openness (i.e., light availability) and the soil and leaf stoichiometry for regenerated broadleaved trees in larch (Larix keampferi) plantations in short-term (1–3 years), medium-term (4–9 years), and long-term (≥10 years) periods after thinning, taking natural mixed broadleaved forests as a control in Northeast China. The results showed that the temporal effects of thinning were not significant with respect to soil C concentrations, but significant with respect to soil C:P and N:P ratios. The regenerated broadleaved trees adjusted their leaf N concentrations and C:N ratios in response to the changed environmental conditions after thinning over time. The responses of soil and leaf stoichiometry to thinning and their significant correlation indicated a strong interaction between the soil and understory regeneration following thinning. Thus, thinning affects the soil and leaf stoichiometry of regenerated trees over time. These findings provide new insights into the conversion of pure coniferous plantations into mixed larch-broadleaf forests by controlling thinning intervals.

1. Introduction

With the increasing demand for timber production, many plantation forests have been established in northern temperate zones, and the majority of these plantations are monocultures of pure conifers [1,2]. However, compared with mixed conifer-broadleaved forests, coniferous plantations are facing serious ecological problems, e.g., soil acidification and soil fertility declines [3,4], biodiversity losses [5], and forest pest damages [6], which have negative impacts on the sustainability of plantation forests [7,8,9]. A feasible solution to resolve these problems is the conversion of pure coniferous plantations into mixed forests with a more complex stand structure through natural regeneration of broadleaved tree species [3,10]. The complex stand structure and species composition could contribute to higher biodiversity, multiple canopy layers, and various litter compositions, which are favorable for the enhancement of ecosystem services and the maintenance of the sustainable development of plantations.
The establishment and growth of broadleaved tree species is a crucial step in the natural regeneration processes [11], and it is strongly restricted by environmental factors, e.g., the light environment and soil nutrients [12,13]. Plants can change leaf physiological traits following the growing conditions, and this rapid adjustment may depend on the nutrient status, especially the C:N:P stoichiometry [14,15]. For example, at lower light conditions, there are higher N and P concentrations in the leaves of plants [16,17], while at lower soil N and P conditions, plants tend to have lower leaf C:N and C:P ratios to enhance nutrient utilization efficiency [18,19]. There is a close relationship between soil and plant stoichiometry because of the interaction of plants with soil nutrients and changing environmental conditions [20,21,22]. Thus, understanding the alterations of nutrient stoichiometry to varying environmental factors might help predict the development of regenerated broadleaved trees in coniferous plantations.
As a widely applied silviculture practice in plantations, thinning could modify the availability of light and soil nutrients by changing the stand structure, and as a result, thinning could promote the natural regeneration of plant species in plantations [23,24,25]. The effects of thinning on light and nutrient availability are highly dependent on the thinning intensity and the time after thinning. Much more attention has been paid to the effects of thinning intensity in previous studies [22,26,27]. However, the light availability (canopy openness) may obviously decrease over time after thinning due to the rapid growth of residual and regenerated trees or shrubs [28,29,30]. Most studies have reported the changes of light availability in the short term (1–3 years) after thinning [31], but the variations in the medium- and long-term after thinning remain unknown [32,33]. On the other hand, a few studies have investigated the response of soil C and N to the length of time after thinning, but there are contradictory results [34,35,36,37]. For example, Hwang and Son reported that soil C and N concentrations in a pitch pine plantation and the available P concentration in a Japanese larch (Larix keampferi) plantation significantly increased over 1 year after thinning [38], but Bai et al. found that thinning had no effects on soil total C and N concentrations for both Corymbia variegata and C. citriodora plantations in 5 and 7 years post-thinning [22]. Therefore, further studies are urgently needed to reveal the temporal impacts of thinning on soil nutrients [36]. With changes in light and soil nutrient availability, the stoichiometry of regenerated broadleaved trees may be influenced by thinning over time in plantations [39,40]. Furthermore, the capacity for physiological acclimation to thinning also depends on the shade tolerance of tree species [41,42]. For example, Yan et al. [43] found that, compared with an intermediate shade tolerant group, seedlings of broadleaved tree species with shade intolerance had higher C:P and N:P ratios after a one-year thinning to acclimate to environmental conditions in larch plantations. Knowledge of acclimation to variation of light availability and soil nutrients in different years after thinning is required to increase the success of regeneration in coniferous plantations, but it still remains unclear.
In Northeast China, to meet the high demand for timber production, secondary forests (i.e., natural mixed broadleaved forests) have gradually been replaced by larch plantations (LPs) (Larix spp.: L. olgensis Henry, L. gmelinii Rupr., and L. keampferi (Lamb.) Carr.) since the 1950s, and the area of LPs has extended to more than 2 million hectares [7]. It has been proven that the conversion from pure LPs to mixed larch-broadleaf forests can resolve the problems in LPs (e.g., reduced biodiversity and soil fertility compared with the adjacent patches of secondary forests) [8], and the natural regeneration of broadleaved tree species in LPs can be promoted after thinning [10]. However, more attention has been paid to the effects of thinning intensity on early natural regeneration processes (i.e., seed rain, seed dispersal, seed germination, and seedling emergence and survival). It is little known if regenerated seedlings can be grown into saplings with the development of LPs after thinning. Therefore, it is essential to confirm the temporal effects of thinning to enhance nutrient cycles by promoting the growth of regenerated broadleaved trees in LPs.
Here, we investigated soil nutrients and the leaf stoichiometry of three regenerated broadleaved trees with different shade tolerances in Japanese larch plantations of three terms after thinning (i.e., short-term (1–3 years), medium-term (4–9 years) and long-term (≥10 years)) and in adjacent secondary forests (SFs: as control) in Northeast China. The specific questions we would like to address are as follows: (1) what is the temporal response of canopy openness (i.e., light availability) and soil stoichiometry to thinning? and (2) how do regenerated broadleaved trees adjust their leaf nutrient status to respond to the soil nutrients and light conditions of larch plantations over different terms after thinning? Furthermore, we developed two hypotheses for the study: (1) canopy openness will decrease, and soil C, N, and P concentrations will increase, but C:N:P ratios will decrease with time after thinning; and (2) based on the first hypothesis, leaf C, N, and P concentrations will increase with the changing environments along the thinning term. From the perspective of plant and soil stoichiometry, the above results would provide some new insights into increasing soil fertility via the conversion pure coniferous plantations into mixed conifer-broadleaf forests by thinning.

2. Materials and Methods

2.1. Site Description

This study was conducted in Qingyuan Manchu Autonomous County (41°47′52″–42°28′25″ N, 124°20′06″–125°28′58″ E), located in a mountainous area of Liaoning Province, Northeast China. The climate is continental monsoon with a humid, rainy summer and a cold, dry winter. Annual air temperature ranges between 5 and 8 °C. Annual precipitation ranges from 700 to 1200 mm, of which 80% falls in July–September [44]. The study area has a mosaic plantation/secondary forest landscape due to the conversion of broadleaved secondary forests into coniferous plantation forests since the 1950s to meet the high demand of timber production [10,43]. Plantations and natural secondary forests account for 43.04 and 49.86% of the total local forest area, respectively [44]. The plantations are mainly composed of coniferous trees (e.g., L. olgensis, L. keampferi, and Pinus koraiensis Sieb. et Zucc.). The secondary forests are mainly composed of broadleaved tree species, including Quercus mongolica Fisch. ex Ledeb, Acer mono Maxim., Betula costata Trautv., Fraxinus rhynchophylla Hance, Juglans mandshurica Maxim., Tilia mandshurica Rmpr. et Maxim., and Ulmus macrocarpa Hance.
According to the Regulation of Forest Tending of Liaoning Province, 15-year-old LPs start to be thinned when the canopy becomes closed. After that, all plantations are thinned again at a certain interval. Finally, all trees in LPs are harvested when they are nearly 40 years old [45].

2.2. Survey Methods

In this study, nine stands of pure LPs (L. keampferi), each with an area of ~1 ha, were selected in 2017 (Figure 1). The selected LPs were young (15–20 years) when the thinning was applied. All the nine LP stands were classified into three groups according to the term after thinning: short-term (1–3 years), medium-term (4–9 years), and long-term (≥10 years), with three replicated stands for each group. All the selected stands had not been thinned since the last thinning in 2017. The thinning intensity in the selected stands was approximately 15% of the stock volume. Stands with a similar topography (sunny slope and gradient of 15–25°) were all converted from the adjacent broadleaved SFs (Table 1). We used the nine stands of adjacent SFs as a control because (1) SFs are regarded as the ultimate goal of plantation transformation due to a higher biodiversity and sufficient soil nutrients, and (2) the age (approximately 60 years) and canopy openness (approximately 18%) of all the SF stands were similar to each other. The soil stoichiometry in all stands is shown in Table S1.
Three 20 × 30 m plots were randomly set up in each stand of LPs and adjacent SFs. There were 54 plots in total. Each plot was divided into six 10 × 10 m subplots. The investigation and sampling were conducted in August 2017. The basal diameter (D), total tree height (H), age (Yr), and composition of all the understory woody plants (including trees and shrubs) were surveyed in three subplots that were selected by a ‘Λ’ pattern (black square in Figure 2). The basal diameter was measured by an electronic digital indicator at a height of 2 cm, and the total tree height was measured by the meter rule. For the broadleaved trees with D > 2 cm, the age was determined by counting the tree rings after the trees were cut down, and we also counted the whorled branches of some saplings to supplement the age. For broadleaved woody plants with D ≤ 2 cm, the age was defined by counting the whorled branches or the branch (leaves) scars of each seedling.
The understory light availability was represented by the canopy openness (%) of the stands. Digital hemispherical photographs were taken at the central point of each subplot at a height of 1.3 m with a skyward facing fish eye lens (FC-E8, f = 8–24 mm, 183 field of view, Nikon, Japan) fixed on a digital camera (Coolpix 995, f = 7–32 mm, Nikon, Japan). The photographs were taken on cloudy days with a fully open aperture and automatic exposure at a resolution of 2048 × 1536 pixels [43]. All photographs were analyzed with Gap Light Analyzer software [46] to extract the canopy openness (%).

2.3. Sampling and Chemical Analysis

Three dominant and native broadleaved tree species in the thinning plots were selected, including a shade intolerant species Q. mongolica (QM), an intermediate shade tolerant species A. mono (AM), and a shade tolerant species T. mandshurica (TM) [45] (Table S2). In September 2017, we randomly chose 1–3 individual tree for each species in each plot, and the age of the selected trees was 1–3 years in the short-term stands, 4–9 years in the medium-term stands, and ≥10 years in the long-term stands after thinning (i.e., the selected trees that regenerated at the beginning of thinning).
The D and H of the sampled trees were recorded, and at least five fresh leaves from the trees were collected and bulked by species for analysis. The leaf samples were dried at 65 °C for 48 h, and the dried leaf samples were ground with a 0.149 mm (100 meshes) sieve to determine their total C, N, and P concentrations.
Topsoil samples (0–10 cm) collected in the center of six subplots using a volumetric core sampler were mixed into one sample per plot. All soil samples were air-dried and ground with a 0.149 mm (100 meshes) sieve for chemical analyses (total C, N, and P concentrations). The C and N concentrations of the leaf and soil samples were determined by an elemental analyzer (Vario MICRO cube, Elementary Analysensysteme GmbH, Langenselbold, Germany). The P concentrations in the leaves and soils were determined by following the ammonium molybdate method after digestion in sulfuric acid-hydrogen peroxide and sulfuric acid-perchloric acid, respectively [47,48].

2.4. Data Analysis

Relative values (RVs) were used in the following data analysis to indicate the temporal effects of thinning on light, soil, and leaf stoichiometry, which were calculated as follows [36]:
RV = ( L P i S F i ) / S F i
where LPi is the value of a given variable in the LP stands, and SFi is the value of the corresponding variable in the SF stands.
Before analysis, the normality of the data was checked by Kolmogorov–Smirnov’s test, and the homogeneity of variances was examined by Levene’s test. A linear mixed model (LMM) was used to analyze the canopy openness (i.e., light availability) and soil stoichiometry, taking the thinning term as a fixed factor and the site as a random factor. The leaf stoichiometry of regenerated plants were analyzed using LMM, in which the thinning term and species were included as fixed factors and the site was taken as the random factor. The statistical significance of fixed factors was tested using an analysis of variance (ANOVA) and least significant difference (LSD) tests were applied post hoc to distinguish the temporal effects of thinning on the canopy openness, soil stoichiometry, and leaf stoichiometry of regenerated plants. The relationships of plant stoichiometry with canopy openness and soil stoichiometry were tested via Pearson correlation analysis. The statistical analyses were performed with IBM SPSS 22.0 (IBM Corp., Armonk, NY, USA), and significance was determined at the 0.05 level.

3. Results

3.1. Canopy Openness

The relative canopy openness in the short term after thinning was approximately two times higher than that in the medium and long terms after thinning (p < 0.05), but there was no significant variation in canopy openness between the medium and long terms after thinning (p > 0.05) (Figure 3).

3.2. Soil C:N:P Stoichiometry

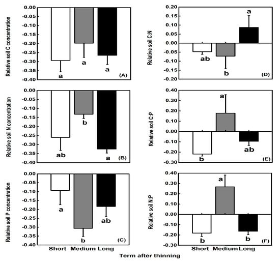
The relative soil C, N, and P concentrations and soil C:N ratios had no significant variation among the three terms after thinning (Figure 4). However, post hoc analysis showed that the relative soil N concentrations in the medium term after thinning were remarkably higher than those in the long term after thinning (Figure 4B), the relative soil P concentration in the medium term after thinning was remarkably lower than that in the short term (Figure 4C), and the relative soil C:N ratio in the long term after thinning was significantly larger than that in the medium term (Figure 4D). There were significant change for soil C:P and N:P ratios at different thinning terms. The relative soil C:P ratio in the medium term was significantly higher than that in the short term after thinning (p < 0.05) (Figure 4E). The relative soil N:P ratio in the medium term was significantly higher than that in both the short and long terms after thinning (p < 0.05) (Figure 4F).

3.3. Leaf C:N:P Stoichiometry

The relative leaf stoichiometry did not differ among species, but the relative leaf N concentrations, C:N ratios, and N:P ratios varied over time after thinning (Figure 5). Specifically, the relative leaf C concentration of AM showed a clear increase after thinning (Figure 5A), and the maximum relative N concentration and minimum relative leaf C:N ratios of three species occurred in the medium term after thinning (Figure 5B,D). The largest relative N:P ratios for AM and TM were in the medium and short terms after thinning, respectively (Figure 5F). In addition, the interaction between the thinning term and species had a significant influence on relative P and C:N:P ratios. The relative P concentration of AM in the medium and long terms after thinning decreased by approximately 60% compared with the short term after thinning (Figure 5C), but the relative C:P ratios of AM increased after thinning (Figure 5E).

3.4. Relationship between Plant Stoichiometry and Light Availability and Soil Stoichiometry

In the LP stands, the relative leaf N concentration was positively related to the soil N:P ratio, and negatively related to the relative soil C:N (Table 2). The relative leaf C:N ratio had a significantly positive correlation with the relative soil C:N ratio and a negative correlation with the relative soil N concentration and N:P ratio. The relative leaf N:P ratio was positively related with the relative soil N:P ratio. The relative leaf C concentration was significantly negative correlated with canopy openness.

4. Discussion

4.1. Temporal Effects of Thinning on Light Availability and Soil C:N:P Characteristics

The light availability could decrease rapidly form short term to long term after thinning and return to the initial levels before thinning quickly [30,31]. In our study, the low thinning intensity (15% of the stock volume) led to a quick reclosure of the canopy three years after thinning. This indicated that thinning could immediately promote the lateral growth of residual larch and the regeneration and growth of broadleaved tree species in the stands [49].
There are inconsistent results of the temporal effects of thinning on soil stoichiometry. In the larch plantations of this study, the temporal effects of thinning on the soil C concentrations were not significant (Figure 4), which was inconsistent with the first hypothesis and previous studies. Several studies have found that the short-term (1–3 years after thinning) effect increased the total mineral soil C concentrations [50], but the medium-term (5 and 7 years) or long-term (11 years) effects had no significant influence on soil C [22,37]. These results in part suggest that the thinning effects may persist only for a short term. The thinned organic materials and understory regeneration played important roles in the response of the soil nutrients to thinning [51,52]. In our study, the absence of temporal effects of thinning on soil C concentrations may be because thinned residues were left in the plantation and led to a change of soil C in the short term after thinning, while in the medium and long terms, the understory regeneration compensated for part of the decreased organic matter inputs after thinning [22].
Thinning influenced the soil N concentrations and C:N ratios over time but nonlinearly. The highest N concentration in the medium term after thinning may be caused by the regeneration of N-fixing plants (e.g., Lespedeza bicolor Turcz.) in medium-term stands, which could improve the increase of N concentrations (Figure 4). Further, the results indicated that, to some extent, soil nutrients could be influenced by thinning through the promotion of the growth of regenerated broadleaved trees. For the soil C:N ratio, some studies have reported that the soil C:N ratio was higher in the first 4 years after thinning because of the incorporation of high-C:N ratio woody residues, and later decreased due to the lower soil C content [22,53]. In our study, however, the soil C:N ratios deceased first and then increased with the extension of time after thinning (Figure 4). The lower soil C:N ratios in the medium term after thinning in our study may result from a higher N content.
Thinning had limited temporal effects on the soil P concentration and significant effects on soil C:P and N:P ratios (Figure 4). Because of the decrease of soil P concentration 4–9 years after thinning, the soil C:P and N:P ratios were significantly higher over this kind of period. This is different from the findings of Hu et al. [54], who reported that soil P in reforested spruce forests was not affected by thinning in the first four years, but this is consistent with previous studies that found that the time period since the application of thinning seemed to significantly affect soil P [55] and that the extractable P content declined over 30 years post-thinning [52]. The possible reason for such a difference is that soil nutrients are related to the composition and growth of aboveground species [22,37], and thinning could increase the uptake of P by plants [52,56,57]. Larch is a fast-growing tree species, especially during the middle-age period (21–30 years). Thus, in the medium term after thinning, the uptake of P by rapidly growing larch trees leads to a decrease in soil P [58].

4.2. Temporal Effects of Thinning on Leaf C:N:P Characteristics of Different Species

In our study, no significant differences were found among the three terms for leaf C and P concentrations after thinning, although there were some differences for AM, and the changes of C and P contributed to temporal differences in the leaf C:P ratios after thinning (Figure 5). The relative stability of the C concentration was consistent with previous studies, which reported that C mainly acted as a relatively stable structural material of plants [59]. Negative responses and an absence of responses of leaf P concentrations to thinning over different terms have been observed [22,56,60]. In our study, leaf P concentrations were not influenced by thinning over time (Figure 5).
Thinning had positive effects on leaf N concentrations over time. The leaf N concentrations first increased and then decreased over time post-thinning (Figure 5B). This result is quite different from those of previous studies, which observed a significant decrease in N from 1 to 4 years post-thinning [60] and found that leaf N concentrations showed few significant differences in the medium and long terms after thinning. Bai et al. reported that thinning did not affect the leaf N concentrations of Corymbia spp. over 5 and 7 years post-thinning [22]. Kranabetter and Coates also concluded that thinning had little effect on the foliar N concentrations of conifer saplings over 10 years after thinning [61]. These inconsistencies may be due to differences in tree species (e.g., growth rate) and variations in environment factors (e.g., light availability and soil N) [53,62]. Compared with short-term thinning, the light received by the regenerated plants growing in the understory of plantations after medium- and long-term thinning sharply decreased (Figure 3). The leaf N concentrations increased under lower light conditions [63,64], so the leaf N concentrations increased from a short term to a medium term after thinning. In addition, the leaf N concentration was positively related with the soil N and N:P ratios (Table 2), which inferred a strong interaction between soil and understory regeneration [14,65]. The highest soil N concentrations in the medium-term stands may have also contributed to the highest leaf N concentration, while in the long term after thinning, the lower leaf N may be caused by the increases in crown biomass [66]. Thus, the variation in leaf N concentration caused a temporal change in leaf C:N ratios after thinning.
Leaf N:P ratios are used to indicate N-limitations or P-limitations in ecosystems, i.e., N:P ratios <14 indicate N limitation, and N:P ratios >16 indicate P limitation [67,68]. In this study, the N:P ratios were greater than 16, suggesting a P limitation in this area (Figure S1).
The variations of leaf ecological stoichiometry among species were not significant in the medium term after thinning. Previous studies have reported that soil nutrient availability can seriously alter the responsiveness of a species to light [69,70]. In our study, the absence of a difference in the leaf stoichiometry between species may be due to the interacting effects of light and soil nutrients on leaf traits [71].

4.3. Implication for Determining the Thinning Interval

The increase of light after thinning promoted the regeneration of broadleaved trees, especially the regeneration of N-fixing plants in the middle term after thinning, which played important roles in improving soil N content. At the same time, higher soil nutrients in turn mostly promoted the plant growth. Thus, we recommend that the thinning interval of larch plantations be 4–9 years to enhance the growth of regenerated broadleaved trees and the soil nutrient status. In addition, in the process of promoting the regeneration of broadleaved trees, N-fixing plants should be given priority to ensure regeneration and growth.
However, this recommendation has two inadequacies. Firstly, the recommendation is only based on the results of one instance of thinning. Thinning effects are likely to be transient, which might influence our recommendation. Consequently, to propose a more reliable thinning interval, thinning should be applied regularly at short-term, medium-term, and long-term intervals, and measurements and investigations should be taken at relatively the same time in the future. Furthermore, forest management decisions are driven by economic factors. However, this study mainly focused on the ecological stoichiometry of regenerated broadleaved trees and soil after thinning, which reflected the ecological function and did not discuss the change of larch timber production in different thinning intervals. Aiming to develop a more comprehensive forest management strategy, the economic factors (i.e., larch timber production) should be taken into account in further studies.
Despite these limitations, our findings demonstrate the importance of the thinning interval with respect to the conversion of pure coniferous plantations into mixed conifer-broadleaved forests and provide new insights into such conversion with controlled thinning intervals.

5. Conclusions

Thinning had no significant temporal effects on soil C concentrations, but affected soil C:P and N:P ratios significantly because of the impacts of unremoved thinned materials and the growth of understory vegetation. The regenerated broadleaved trees adjusted the leaf N concentration and C:N ratios to respond to thinning over time. The responses of soil and leaf stoichiometry to thinning indicated a strong interaction between the soil and understory regeneration following thinning. Overall, our findings demonstrated the importance of the thinning interval with respect to the conversion of pure coniferous plantations into mixed conifer-broadleaved forests, and we would regularly conduct measurements at approximately the same time in thinned larch plantations.

Supplementary Materials

The following are available online at https://www.mdpi.com/1999-4907/11/1/54/s1, Table S1: Ecological stoichiometry of soil in larch plantations (LPs) and corresponding adjacent secondary forests (SFs); Table S2: Tree density and basal area of understory species in larch plantations (LPs) after thinning over time and adjacent secondary forests (SFs); Figure S1: Leaf ecological stoichiometry of regenerated plants in larch plantations (LPs) and corresponding secondary forests (SFs).

Author Contributions

Conceptualization: J.X. and Q.Y.; investigation: J.X., J.Y., and R.L.; methodology: J.X. and Q.Y.; resources: S.L.; writing—original draft: J.X.; writing—review & editing: Q.Y., X.L., and J.Z. All authors have read and agreed to the published version of the manuscript.

Funding

This work was supported by grants from the National Key R & D Program of China (2016YFD0600206), the National Natural Science Foundation of China (U1808201, 31670637), and the Liaoning Revitalization Talents Program (XLYC1807102).

Acknowledgments

We are grateful to Lizhong Yu for valuable assistance in site selection. We would also like to thank Ting Zhang and Jing Wang for their laboratory assistance, and Deliang Lu for his help on statistical analysis.

Conflicts of Interest

The authors declare no conflict of interest.

References

  1. Evans, J. Planted Forests: Uses, Impacts and Sustainability; FAO and CAB International: Wallingford, UK, 2009. [Google Scholar]
  2. Spracklen, B.D.; Lane, J.V.; Spracklen, D.V.; Williams, N.; Kunin, W.E. Regeneration of native broadleaved species on clearfelled conifer plantations in upland Britain. For. Ecol. Manag. 2013, 310, 204–212. [Google Scholar] [CrossRef]
  3. Felton, A.; Lindbladh, M.; Brunet, J.; Fritz, O. Replacing coniferous monocultures with mixed-species production stands: An assessment of the potential benefits for forest biodiversity in northern Europe. For. Ecol. Manag. 2010, 260, 939–947. [Google Scholar] [CrossRef]
  4. Yang, K.; Shi, W.; Zhu, J.J. The impact of secondary forests conversion into Larch plantations on soil chemical and microbiological properties. Plant Soil 2013, 368, 535–546. [Google Scholar] [CrossRef]
  5. Zhou, L.; Cai, L.; He, Z.; Wang, R.; Wu, P.; Ma, X. Thinning increases understory diversity and biomass, and improves soil properties without decreasing growth of Chinese fir in southern China. Environ. Sci. Pollut. Res. 2016, 23, 24135–24150. [Google Scholar] [CrossRef] [PubMed]
  6. Holuša, J.; Lubojacký, J.; Čurn, V.; Tonka, T.; Lukášová, K.; Horák, J. Combined effects of drought stress and Armillaria infection on tree mortality in Norway spruce plantations. For. Ecol. Manag. 2018, 427, 434–445. [Google Scholar] [CrossRef]
  7. Mason, W.L.; Zhu, J.J. Silviculture of planted forests managed for multifunctional objectives: Lessons from Chinese and British experience. In Challenge and Opportunity for the World’s Forests in the 21st Century; Fenning, T., Ed.; Springer: Dordrecht, The Netherlands, 2014; pp. 767–781. [Google Scholar]
  8. Yan, T.; Lü, X.T.; Yang, K.; Zhu, J.J. Leaf nutrient dynamics and nutrient resorption: A comparison between larch plantations and adjacent secondary forests in northeast China. J. Plant Ecol. 2016, 9, 165–173. [Google Scholar] [CrossRef]
  9. Mazza, G.; Agnelli, A.E.; Cantiani, P. Short-term effects of thinning on soil CO2, N2O and CH4 fluxes in Mediterranean forest ecosystems. Sci. Total Environ. 2019, 651, 713–724. [Google Scholar] [CrossRef]
  10. Zhu, J.J.; Yang, K.; Yan, Q.L.; Liu, Z.G.; Wang, H.X. The feasibility of implementing thinning in pure even-aged Larix olgensis plantations to establish uneven aged larch-broad leaved mixed forests. J. For. Res. 2010, 15, 71–80. [Google Scholar] [CrossRef]
  11. Carón, M.M.; De Frenne, P.; Brunet, J. Interacting effects of warming and drought on regeneration a-nd early growth of Acer pseudoplatanus and A. platanoides. Plant Biol. 2015, 17, 52–62. [Google Scholar] [CrossRef]
  12. Elemans, M. Light, nutrients and the growth of herbaceous forest species. Acta Oecol. 2004, 26, 197–202. [Google Scholar] [CrossRef]
  13. Ceccon, E.; Sánchez, S.; Campo, J. Tree seedling dynamics in two abandoned tropical dry forests of differing successional status in Yucatán, Mexico: A field experiment with N and P fertilization. Plant. Ecol. 2004, 170, 277–285. [Google Scholar] [CrossRef]
  14. Granhus, A.; Brække, F.H. Nutrient status of Norway spruce stands subjected to different levels of overstorey removal. Trees 2001, 15, 393–402. [Google Scholar] [CrossRef]
  15. Muraoka, H.; Tang, Y.; Koizumi, H.; Washitani, I. Effects of light and soil water availability on leaf photosynthesis and growth of Arisaema heterophyllum, a riparian forest understorey plant. J. Plant Res. 2002, 115, 419–427. [Google Scholar] [CrossRef] [PubMed]
  16. Sterck, F.J.; Poorter, L.; Schieving, F. Leaf traits determine the growth-survival trade-off across rain forest tree species. Am. Nat. 2006, 167, 758–765. [Google Scholar] [CrossRef] [PubMed]
  17. Kennedy, S.; Dhubháin, A.N.; Ferguson, J.; Schmidt, O.; Dyckmans, J.; Osborne, B.; Black, K. Potential use of leaf carbon isotope discrimination for the selection of shade-tolerant species. For. Ecol. Manag. 2006, 237, 394–403. [Google Scholar] [CrossRef]
  18. González, A.L.; Kominoski, J.S.; Danger, M.; Ishida, S.; Iwai, N.; Rubach, A. Can ecological stoichiometry help explain patterns of biological invasions? Oikos 2010, 119, 779–790. [Google Scholar] [CrossRef]
  19. Zechmeister-Boltenstern, S.; Keiblinger, K.M.; Mooshammer, M.; Peñuelas, J.; Richter, A.; Sardans, J.; Wanek, W. The application of ecological stoichiometry to plant–microbial–soil organic matter transformations. Ecol. Monogr. 2016, 85, 133–155. [Google Scholar] [CrossRef]
  20. Lambers, H.; Mougel, C.; Jaillard, B.; Hinsinger, P. Plant microbe-soil interactions in the rhizosphere: An evolutionary perspective. Plant Soil 2009, 321, 83–115. [Google Scholar] [CrossRef]
  21. Elser, J.J.; Fagan, W.; Kerkhoff, A.; Swenson, N.; Enquist, B. Biological stoichiometry of plant production: Metabolism, scaling and ecological response to global change. New Phytol. 2010, 186, 593–608. [Google Scholar] [CrossRef]
  22. Bai, S.H.; Dempsey, R.; Reverchon, F.; Blumfield, T.J.; Ryan, S.; Cernusak, L.A. Effects of forest thinning on soil-plant carbon and nitrogen dynamics. Plant Soil 2017, 411, 437–449. [Google Scholar] [CrossRef]
  23. Ares, A.; Neill, A.R.; Puettmann, K.J. Understory abundance, species diversity and functional attribute response to thinning in coniferous stands. For. Ecol. Manag. 2010, 260, 1104–1113. [Google Scholar] [CrossRef]
  24. Willms, J.; Bartuszevige, A.; Schwilk, D.W.; Kennedy, P.L. The effects of thinning and burning on understory vegetation in North America: A meta-analysis. For. Ecol. Manag. 2017, 392, 184–194. [Google Scholar] [CrossRef]
  25. Dang, P.; Gao, Y.; Liu, J.; Yu, S.; Zhao, Z. Effects of thinning intensity on understory vegetation and soil microbial communities of a mature Chinese pine plantation in the Loess Plateau. Sci. Total Environ. 2018, 630, 171–180. [Google Scholar] [CrossRef] [PubMed]
  26. Johnson, D.W.; Curtis, P.S. Effects of forest management on soil C and N storage: Meta-analysis. For. Ecol. Manag. 2001, 140, 227–238. [Google Scholar] [CrossRef]
  27. Haughian, S.R.; Frego, K.A. Short-term effects of three commercial thinning treatments on diversity of understory vascular plants in white spruce plantations of northern New Brunswick. For. Ecol. Manag. 2016, 370, 45–55. [Google Scholar] [CrossRef]
  28. Hale, S.E. The effect of thinning intensity on the below-canopy light environment in a Sitka spruce plantation. For. Ecol. Manag. 2003, 179, 341–349. [Google Scholar] [CrossRef]
  29. Ritter, E.; Dalsgaard, L.; Einhorn, K.S. Light, temperature and soil moisture regimes following gap formation in a semi-natural beech-dominated forest in Denmark. For. Ecol. Manag. 2005, 206, 15–23. [Google Scholar] [CrossRef]
  30. Tsai, H.C.; Chiang, J.M.; Mcewan, R.W.; Lin, T.C. Decadal effects of thinning on understory light environments and plant community structure in a subtropical forest. Ecosphere 2018, 9, e02464. [Google Scholar] [CrossRef]
  31. Cogliastro, A.; Paquette, A. Thinning effect on light regime and growth of under planted red oak and black cherry in post-agricultural forests of south-eastern Canada. New For. 2012, 43, 941–954. [Google Scholar] [CrossRef]
  32. Bauhus, J.; Aubin, I.; Messier, C.; Connell, M. Composition, structure, light attenuation and nutrient content of the understorey vegetation in a Eucalyptus sieberi regrowth stand 6 years after thinning and fertilisation. For. Ecol. Manag. 2001, 144, 275–286. [Google Scholar] [CrossRef]
  33. Son, Y.; Lee, Y.Y.; Jun, Y.C.; Kim, Z.S. Light availability and understory vegetation four years after thinning in a Larix leptolepis plantation of central Korea. J. For. Res. 2004, 9, 133–139. [Google Scholar] [CrossRef]
  34. Tan, X.; Chang, S.X.; Comeau, P.G.; Wang, Y.H. Thinning effects on microbial biomass, N mineralization, and tree growth in a mid-rotation fire-origin lodge pole pine stand in the lower foothills of Alberta, Canada. For. Sci. 2008, 54, 465–474. [Google Scholar] [CrossRef]
  35. Jerabkova, L.; Prescott, C.E.; Titus, B.D.; Hope, G.D.; Walters, M.B. A meta-analysis of the effects of clearcut and variable-retention harvesting on soil nitrogen fluxes in boreal and temperate forests. Can. J. For. Res. 2011, 41, 1852–1870. [Google Scholar] [CrossRef]
  36. Zhou, D.; Zhao, S.Q.; Liu, S.; Oeding, J. A meta-analysis on the impacts of partial cutting on forest structure and carbon storage. Biogeosciences 2013, 10, 3691–3703. [Google Scholar] [CrossRef]
  37. Ganzlin, P.W.; Gundale, M.J.; Becknell, R.E.; Cleveland, C.C. Forest restoration treatments have subtle long-term effects on soil C and N cycling in mixed conifer forests. Ecol. Appl. 2016, 26, 1503–1516. [Google Scholar] [CrossRef]
  38. Hwang, J.; Son, Y. Short-term effects of thinning and liming on forest soils of pitch pine and Japanese larch plantations in central Korea. Ecol. Res. 2006, 21, 671–680. [Google Scholar] [CrossRef]
  39. Kuehne, C.; Puettmann, K.J. Natural regeneration in thinned Douglas-fir stands in Western Oregon. J. Sustain. Forest. 2008, 27, 246–274. [Google Scholar] [CrossRef]
  40. Dumais, D.; Marcel, P. Ecophysiology and growth of advance red spruce and balsam fir regeneration after partial cutting in yellow birch-conifer stands. Tree Physiol. 2008, 28, 1221–1229. [Google Scholar] [CrossRef]
  41. Ramovs, B.V.; Roberts, M.R. Response of plant functional groups within plantations and naturally regenerated forests in southern New Brunswick, Canada. Can. J. For. Res. 2005, 35, 1261–1276. [Google Scholar] [CrossRef]
  42. Renninger, H.J.; Meinzer, F.C.; Gartner, B.L. Hydraulic architecture and photosynthetic capacity as constraints on release from suppression in Douglas-fir and western hemlock. Tree Physiol. 2007, 27, 33–42. [Google Scholar] [CrossRef][Green Version]
  43. Yan, Q.L.; Zhu, J.J.; Gang, Q. Comparison of spatial patterns of soil seed banks between larch plantations and adjacent secondary forests in northeast China: Implication for spatial distribution of larch plantations. Trees 2013, 27, 1747–1754. [Google Scholar] [CrossRef]
  44. Bu, C.Q.; Hu, Z.B.; Yu, L.Z.; Yan, Q.L.; Zheng, X. Forest resources in Qingyuan of Liaoning, Northeast China: Their structure and optimal spatial allocation. Chin. J. Appl. Ecol. 2013, 24, 1070–1076. [Google Scholar]
  45. Liaoning Forestry Department. Regulation of Forest Tending of Liaoning Province; Liaoning Bureau of Quality and Technical Supervision: Shenyang, China, 2013.
  46. Frazer, G.W.; Canham, C.D.; Lertzman, K.P. Gap Light Analyzer (GLA): Imaging Software to Extract Canopy Structure and Gap Light Transmission Indices from True-Colour Fisheye Photographs, Users Manual and Program Documentation; Simon Fraser University, Burnaby, British Columbia, and the Institute of Ecosystem Studies: Millbrook, NY, USA, 1999. [Google Scholar]
  47. Olsen, S.R.; Sommers, L.E. Phosphorus. In Methods of Soil Analysis. Part 2. Chemical and Microbiological Methods; Page, A.L., Miller, R.H., Keeney, D.R., Eds.; American Society of Agronomy: Madison, WI, USA, 1982. [Google Scholar]
  48. Bao, S.D. Soil and Agricultural Chemistry Analysis, 3rd ed.; China Agriculture Press: Beijing, China, 2000. [Google Scholar]
  49. Giuggiola, A.; Jérôme, O.; Rigling, A.; Gessler, A.; Bugmann, H.; Treydte, K. Improvement of water and light availability after thinning at a xeric site: Which matters more? A dual isotope approach. New Phytol. 2016, 210, 108–121. [Google Scholar] [CrossRef] [PubMed]
  50. Overby, S.T.; Hart, S.C. Short-term belowground responses to thinning and burning treatments in Southwestern ponderosa pine forests of the USA. Forests 2016, 7, 45. [Google Scholar] [CrossRef]
  51. Grady, K.C.; Hart, S.C. Influences of thinning, prescribed burning, and wildfire on soil processes and properties in southwestern ponderosa pine forests: A retrospective study. For. Ecol Manag. 2006, 234, 123–135. [Google Scholar] [CrossRef]
  52. Johnson, D.W.; Trettin, C.C.; Todd, D.E. Changes in forest floor and soil nutrients in a mixed oak forest 33 years after stem only and whole-tree harvest. For. Ecol. Manag. 2016, 361, 56–68. [Google Scholar] [CrossRef]
  53. Black, T.A.; Harden, J.W. Effect of timber harvest on soil carbon storage at Blodgett Experimental Forest, California. Can. J. For. Res. 1995, 25, 1385–1396. [Google Scholar] [CrossRef]
  54. Hu, B.; Yang, B.; Pang, X.; Bao, W.; Tian, G. Responses of soil phosphorus fractions to gap size in a reforested spruce forest. Geoderma 2016, 279, 61–69. [Google Scholar] [CrossRef]
  55. Wic-Baena, C.; Andrés-Abellán, M.; Lucas-Borja, M.E.; Martínez-García, E.; García-Morote, F.A.; Rubio, E.; López-Serrano, F.R. Thinning and recovery effects on soil properties in two sites of a Mediterranean forest, in Cuenca Mountain (South-eastern of Spain). For. Ecol. Manag. 2013, 308, 223–230. [Google Scholar] [CrossRef]
  56. Mitchell, A.K.; Barclay, H.J.; Brix, H.; Pollard, D.F.W.; Benton, R.; Dejong, R. Biomass and nutrient element dynamics in Douglas-fir: Effects of thinning and nitrogen fertilization over 18 years. Can. J. For. Res. 1996, 26, 376–388. [Google Scholar] [CrossRef]
  57. Kaye, J.P.; Hart, S.C.; Fulé, P.Z.; Covington, W.W.; Moore, M.M.; Kaye, M.W. Initial carbon, nitrogen, and phosphorus fluxes following ponderosa pine restoration treatments. Ecol. Appl. 2005, 15, 1581–1593. [Google Scholar] [CrossRef]
  58. Yan, T.; Lü, X.T.; Zhu, J.J.; Yang, K.; Yu, L.Z.; Gao, T. Changes in nitrogen and phosphorus cycling suggest a transition to phosphorus limitation with the stand development of larch plantations. Plant Soil 2018, 422, 385–396. [Google Scholar] [CrossRef]
  59. Zhang, W.; Gao, D.X.; Chen, Z.X.; Li, H.; Deng, J.; Qiao, W.J.; Han, X.H.; Yang, G.H.; Zhong, F.Y.; Huang, J.Y. Substrate quality and soil environmental conditions predict litter decomposition and drive soil nutrient dynamics following afforestation on the Loess Plateau of China. Geoderma 2018, 325, 152–161. [Google Scholar] [CrossRef]
  60. Piatek, K.B.; Fajvan, M.A.; Turcotte, R.M. Thinning effects on foliar elements in eastern hemlock: Implications for managing the spread of the hemlock woolly adelgid. Can. J. For. Res. 2017, 47, 81–88. [Google Scholar] [CrossRef]
  61. Kranabetter, J.M.; Coates, K.D. Ten-year postharvest effects of silviculture systems on soil-resource availability and conifer nutrition in a northern temperate forest. Can. J. For. Res. 2004, 34, 800–809. [Google Scholar] [CrossRef]
  62. Li, M.C.; Zhu, J.J.; Zhang, M. Foliar carbon isotope discrimination and related traits along light gradients in two different functional-type tree species. Eur. J. For. Res. 2013, 132, 815–824. [Google Scholar] [CrossRef]
  63. Xie, H.; Yu, M.; Cheng, X. Leaf non-structural carbohydrate allocation and C:N:P stoichiometry in response to light acclimation in seedlings of two subtropical shade-tolerant tree species. Plant Physiol. Bioch. 2018, 124, 146–154. [Google Scholar] [CrossRef] [PubMed]
  64. Hirano, I.; Iida, H.; Ito, Y.; Park, H.D.; Takahashi, K. Effects of light conditions on growth and defense compound contents of Datura inoxia and D. stramonium. J. Plant Res. 2019, 132, 473–480. [Google Scholar] [CrossRef] [PubMed]
  65. Lilles, E.B.; Astrup, R.; Lefrançois, M.L.; David, C.K. Sapling leaf trait responses to light, tree height and soil nutrients for three conifer species of contrasting shade tolerance. Tree Physiol. 2014, 34, 1334–1347. [Google Scholar] [CrossRef] [PubMed]
  66. Medhurst, J.L.; Beadle, C.L. Photosynthetic capacity and foliar nitrogen distribution in Eucalyptus nitens is altered by high-intensity thinning. Tree Physiol. 2005, 25, 981–991. [Google Scholar] [CrossRef]
  67. Koerselman, W.; Meuleman, A.F.M. The vegetation N:P ratio: A new tool to detect the nature of nutrient limitation. J. Appl. Ecol. 1996, 33, 1441–1450. [Google Scholar] [CrossRef]
  68. Reich, P.B.; Oleksyn, J. Global patterns of plant leaf N and P in relation to temperature and latitude. Proc. Natl. Acad. Sci. USA 2004, 101, 11001–11006. [Google Scholar] [CrossRef] [PubMed]
  69. Dent, D.H.; Burslem, D.F.R.P. Leaf traits of dipterocarp species with contrasting distributions across a gradient of nutrient and light availability. Plant Ecol. Divers. 2016, 9, 521–533. [Google Scholar] [CrossRef]
  70. Portsmuth, A.; Niinemets, Ü. Structural and physiological plasticity in response to light and nutrients in five temperate deciduous woody species of contrasting shade tolerance. Funct. Ecol. 2007, 2, 61–77. [Google Scholar] [CrossRef]
  71. Nobles, M.M.; Dillon, W.; Mbila, M. Initial response of soil nutrient pools to prescribed burning and thinning in a managed forest ecosystem of northern Alabama. Soil Sci. Soc. Am. J. 2009, 73, 285–292. [Google Scholar] [CrossRef]
Figure 1. An overlay of nine selected stands of larch plantations (marked by red dots) in Qingyuan Manchu Autonomous County (Qingyuan County), Liaoning Province, Northeast China.
Figure 1. An overlay of nine selected stands of larch plantations (marked by red dots) in Qingyuan Manchu Autonomous County (Qingyuan County), Liaoning Province, Northeast China.
Forests 11 00054 g001
Figure 2. The sketch map of the sampling design in larch plantations (LPs) and adjacent secondary forest (SFs).
Figure 2. The sketch map of the sampling design in larch plantations (LPs) and adjacent secondary forest (SFs).
Forests 11 00054 g002
Figure 3. Relative values of canopy openness in larch plantations (LPs) of different terms after thinning. Values were shown as the means ± S.E. (n = 3). Short term: 1–3 years after thinning; medium term: 4–9 years after thinning; long term: ≥10 years after thinning. Different letters represent significant differences for canopy openness among the three terms after thinning in LPs.
Figure 3. Relative values of canopy openness in larch plantations (LPs) of different terms after thinning. Values were shown as the means ± S.E. (n = 3). Short term: 1–3 years after thinning; medium term: 4–9 years after thinning; long term: ≥10 years after thinning. Different letters represent significant differences for canopy openness among the three terms after thinning in LPs.
Forests 11 00054 g003
Figure 4. Relative values of soil stoichiometric characteristics (AF) in larch plantations (LPs) in different terms after thinning. Values were shown as the means ± S.E. (n = 3). Short term: 1–3 years after thinning; medium term: 4–9 years after thinning; long term: ≥10 years after thinning. Different letters represent significant differences among three terms after thinning in LPs.
Figure 4. Relative values of soil stoichiometric characteristics (AF) in larch plantations (LPs) in different terms after thinning. Values were shown as the means ± S.E. (n = 3). Short term: 1–3 years after thinning; medium term: 4–9 years after thinning; long term: ≥10 years after thinning. Different letters represent significant differences among three terms after thinning in LPs.
Forests 11 00054 g004
Figure 5. Relative values of leaf stoichiometric characteristics (AF) in different regenerated broadleaved trees (QM, AM, and TM) with three terms after thinning in larch plantations (LPs). Values were shown as means ± S.E. (n = 3). QM = Quercus mongolica; TM = Tilia mandshurica; AM = Acer mono. Short term: 1–3 years after thinning; medium term: 4–9 years after thinning; long term: ≥10 years after thinning. S: Species; T: term after thinning. NS: not significant; *: p < 0.05. Different lowercase letters represent significant differences among three terms after thinning for the same species.
Figure 5. Relative values of leaf stoichiometric characteristics (AF) in different regenerated broadleaved trees (QM, AM, and TM) with three terms after thinning in larch plantations (LPs). Values were shown as means ± S.E. (n = 3). QM = Quercus mongolica; TM = Tilia mandshurica; AM = Acer mono. Short term: 1–3 years after thinning; medium term: 4–9 years after thinning; long term: ≥10 years after thinning. S: Species; T: term after thinning. NS: not significant; *: p < 0.05. Different lowercase letters represent significant differences among three terms after thinning for the same species.
Forests 11 00054 g005
Table 1. Basic information of nine selected stands of larch plantations (LPs) and adjacent secondary forests (SFs).
Table 1. Basic information of nine selected stands of larch plantations (LPs) and adjacent secondary forests (SFs).
Term after ThinningGeographic InformationSlope (°)LPsSFs
Age 1 (yr)DBH (cm)Height (m)YT (yr)TI (%)Age (yr)DBH (cm)Height (m)Vegetation Composition of Overstory Trees (%)
Short125°0′23″ E, 42°3′15″ N201816.318.7113.0~6012.511.1Juglans mandshurica (27.8), Quercus mongolica (21.1), Ulmus pumila (15.6), Acer mono (9.4), Tilia tuan (7.2)
125°19′18″ E, 41°59′40″ N171715.113.6213.5~6018.013.6Quercus mongolica (35.5), Ulmus pumila (20.8), Fraxinus rhynchophylla (15.8), Acer mono (7.7), Fraxinus mandshurica (4.4)
125°19′9″ E, 41°59′29″ N151717.615.8318.6~6013.710.9Fraxinus rhynchophylla (33.9), Juglans mandshurica (28.1), Ulmus pumila (11.3), Quercus mongolica (6.8), Fraxinus mandshurica (6.3)
Medium125°7′57″ E, 42°41′31″ N181715.015.6514.3~6014.911.9Quercus mongolica (76.3), Acer mono (7.0), Acer pesudo-sieboldianum (6.5), Tilia tuan (5.7)
124°52′26″ E, 42°17′45″ N251818.719.1516.5~6014.310.6Quercus mongolica (15.4), Sorbus alnifolia (12.4), Betula costata (11.8), Ulmus pumila (8.9), Fraxinus rhynchophylla (8.3)
125°0′13″ E, 41°51′36″ N251618.918.4916.3~6014.111.2Quercus mongolica (33.3), Acer pesudo-sieboldianum (24.8), Acer mono (7.9), Tilia tuan (6.1) Phellodendron amurense (5.5)
Long124°53′32″ E, 41°55′38″ N161618.317.61110.1~6012.09.6Tilia tuan (23.3), Acer mono (21.6), Quercus mongolica (17.7), Fraxinus rhynchophylla (17.7), Ulmus pumila (3.9)
124°53′43″ E, 41°55′26″ N151517.816.71113.7~6012.010.1Quercus mongolica (22.4), Tilia tuan (18.4), Acer mono (12.4), Ulmus pumila (12.8), Phellodendron amurense (8.4)
124°53′58″ E, 41°55′30″ N161520.116.41114.9~6012.29.8Quercus mongolica (24.3), Acer mono (15.7), Fraxinus rhynchophylla (14.9), Tilia tuan (11.0), Ulmus pumila (7.1)
Age 1: the age of larch plantation when it was thinned; DBH: diameter at breast height in 2017; height: mean tree height in 2017; YT: years after thinning; TI: thinning intensity.
Table 2. Relationships between relative values of plant stoichiometry and environmental factors in larch plantations.
Table 2. Relationships between relative values of plant stoichiometry and environmental factors in larch plantations.
PlantCNPC:NC:PN:P
Environment
SoilC−0.1900.1940.104−0.256−0.2360.059
N−0.2920.4770.188−0.534−0.3150.273
P−0.180−0.2600.1310.168−0.195−0.378
C:N0.172−0.398−0.1390.4070.151−0.279
C:P−0.0140.319−0.035−0.300−0.0080.328
N:P−0.0820.4830.028−0.466−0.0760.436
LightCO−0.399−0.0830.066−0.024−0.141−0.115
Bold data indicated significant correlation of plant stoichiometry with soil stoichiometry and light availability (canopy openness) at p < 0.05. n = 27.

Share and Cite

MDPI and ACS Style

Xie, J.; Yan, Q.; Yuan, J.; Li, R.; Lü, X.; Liu, S.; Zhu, J. Temporal Effects of Thinning on the Leaf C:N:P Stoichiometry of Regenerated Broadleaved Trees in Larch Plantations. Forests 2020, 11, 54. https://doi.org/10.3390/f11010054

AMA Style

Xie J, Yan Q, Yuan J, Li R, Lü X, Liu S, Zhu J. Temporal Effects of Thinning on the Leaf C:N:P Stoichiometry of Regenerated Broadleaved Trees in Larch Plantations. Forests. 2020; 11(1):54. https://doi.org/10.3390/f11010054

Chicago/Turabian Style

Xie, Jin, Qiaoling Yan, Junfeng Yuan, Rong Li, Xiaotao Lü, Shengli Liu, and Jiaojun Zhu. 2020. "Temporal Effects of Thinning on the Leaf C:N:P Stoichiometry of Regenerated Broadleaved Trees in Larch Plantations" Forests 11, no. 1: 54. https://doi.org/10.3390/f11010054

APA Style

Xie, J., Yan, Q., Yuan, J., Li, R., Lü, X., Liu, S., & Zhu, J. (2020). Temporal Effects of Thinning on the Leaf C:N:P Stoichiometry of Regenerated Broadleaved Trees in Larch Plantations. Forests, 11(1), 54. https://doi.org/10.3390/f11010054

Note that from the first issue of 2016, this journal uses article numbers instead of page numbers. See further details here.

Article Metrics

Back to TopTop