Comprehensive Risk Assessment of Power Grids Using Fuzzy Bayesian Networks Through Expert Elicitation: A Technical Analysis
Abstract
1. Introduction
2. Overview of the FBN
2.1. Bayes’ Theorem and the BN
2.2. Expert Elicitation
2.3. Fuzzy Set Theory
- The first step involves converting expert-provided linguistic terms (e.g., “low”, “medium”, “high”) into fuzzy numbers. These numbers represent the degree of membership of a particular risk factor within each category, allowing for a more nuanced representation of expert knowledge [37].
- In the second step, the opinions of multiple experts are aggregated into a collective membership function. This ensures that the model accounts for the diversity of expert judgments, effectively reflecting the uncertainty and variability in expert knowledge [37].
- The third step involves converting the aggregated membership function into FPr, representing the likelihood of specific risk events. These FPr consider expert input and the inherent uncertainty in the data.
2.4. Construction of the BN for Transformation to the FBN
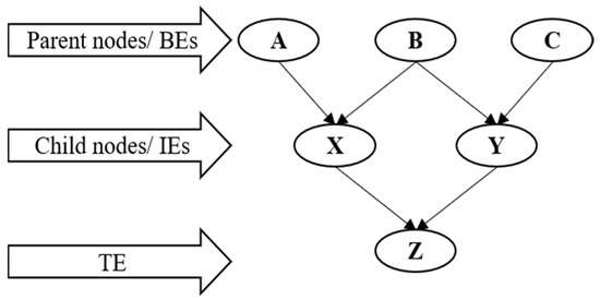
- Development of the BN. The initial step involves creating the BN by identifying critical variables influencing the system, such as environmental factors, external interferences, and operational parameters. The second step establishes dependencies among nodes based on the literature and expert knowledge. The last step is constructing CPTs to represent conditional probabilities derived from historical data and expert elicitation. The general structure of the BN is shown in Figure 1.
- Integration of fuzzy logic into BNs. The transition to an FBN begins by integrating fuzzy logic principles to handle the uncertainties in node relationships. The variables in the BN are transformed into fuzzy variables characterized by linguistic terms such as “Low”, “Medium”, or “High”. These terms are represented using fuzzy sets with defined membership functions (e.g., triangular or trapezoidal functions) [41]. For all nodes without CPTs through historical data, traditional CPTs are replaced with FPr due to the unattainability of CPr. These values reflect the degree of possibility for each outcome under uncertain conditions.
- Aggregation of expert opinions using fuzzy logic. As discussed, expert opinions are critical in constructing CPTs when historical data are scarce. To address inconsistencies or subjective biases among experts, each input is assigned a weighting factor based on their expertise level and the relevance of their knowledge to the variable in question. Expert opinions, provided as linguistic terms, are aggregated using fuzzy operations such as weighted averages or fuzzy intersections. This ensures a complete and unbiased representation of the underlying uncertainties.
- Probabilistic inference in FBNs. Inference in FBNs is carried out through probabilistic and fuzzy reasoning. The process involves propagating evidence across the network and updating node probabilities as fuzzy values, allowing dynamic model adjustment in response to new information. When precise numerical values are required for decision-making, defuzzification techniques are applied to convert fuzzy results into crisp outputs.
- Validation and Sensitivity Analysis. The last steps are validation and sensitivity analyses to ensure the reliability of the FBN. The impact of variations in input fuzzy sets on output probabilities is assessed, identifying the critical factors influencing system behavior. The model is tested using real-world scenarios to confirm its predictive accuracy and robustness.
3. Methodology
3.1. Step I: Identification and Establishment of Causal Relationships Among Risk Factors
3.1.1. Identification of Risk Factors
3.1.2. Determination of Causal Relationships Among Risk Factors
3.1.3. Creation of Nodes and Edges
3.2. Step II: Data Collection
3.2.1. Application of Expert Elicitation
3.2.2. Calculating Fuzzy Possibilities
3.2.3. Calculating Fuzzy Probabilities
- X is the defuzzification output of i;
- x is the output variable;
- i(x) is the aggregated membership function representing the degree of membership for each value of x.
- μA(x) is the membership function for fuzzy set A;
- x is the output variable;
- a1, a2, a3, and a4 are the parameters defining the trapezoidal membership function.
3.2.4. Determination of FPr
3.3. Step III: Construction of the FBN and Failure Predictions
4. Model Implementation
4.1. Determination of CPr Using RTO Data
4.2. Weighting Score for Expert Elicitation
4.3. Discussion on Calculated FPr
5. Results and Discussion
5.1. Calculation of CPTs and Construction of the FBN
5.2. C-1: Construction of the FBN Using CPr Plus FPr
5.3. C-2: Construction of the FBN Using Expert Elicitation (FPr) Only
5.4. Sensitivity Analysis
5.5. Diagnosis Inference
6. Conclusions
- This study identifies twenty-six external and internal critical risk variables responsible for power grid shutdowns by presenting a comprehensive risk level spectrum. To offset the vagueness and uncertainty in historical data, the FST using expert elicitation is integrated with a BN to present a more nuanced risk assessment approach.
- The initial risk assessment with sixteen BEs using CPr and ten BEs using FPr shows that the probability of TE (power grid shutdown) is 3%. Environmental factors account for 11% of TE failure rates, followed by equipment conditions, which account for 36%. A higher failure probability from equipment conditions confirmed that the root causes are the tripping of transmission lines and circuit breakers. A failure probability of 11% from environmental factors endorsed the increased risk of the likelihood of TEs because of storms and weather conditions.
- Expert elicitation is endorsed as a nuanced approach to integrating a BN and FST. For instance, based on RTO historical data, SCADA is less likely to disrupt the power grid’s functionality, with a failure probability of only 1%. However, results from expert opinion confirmed it as a serious threat with a 12% probability of failure.
- Diagnosis inference with 100% confirmation of TE highlights the most critical IEs as environmental factors and equipment conditions, with 59% and 22% failure probabilities, respectively. Environmental factors remain the most significant IE, with the root cause of fire risk as the most influential BE, with a failure rate of 35%, followed by storms (13%). Equipment conditions are also a critical IE with root causes of transmission lines (24%), generators (20%), and circuit breakers (19%). Diagnosis inference confirmed the authenticity of the FBN for cybersecurity and operational parameters, with leading root causes for the likelihood of TEs being unauthorized access (10%) and frequency changes (9%).
- A comparison of an FBN constructed through CPr plus FPr versus FBN (FPr only) yields similar results for the likelihood of TEs (3%). Still, significant variations exist in the failure probabilities of BEs and IEs. Expert elicitation confirmed that the equipment condition is the most critical IE (13%), followed by weather conditions and operational parameters with a failure probability of 9%, and cybersecurity and environmental factors with 8%.
- The expert’s opinions yielded different results than historical failure data since the latest safety and maintenance strategies altered the threat levels, which can be captured through expert elicitation, as historical data remained constant over time. Moreover, due to improved mitigation strategies, there are fewer chances of failure incidents of the same type in the future, making CPr less relevant than expert opinions.
Author Contributions
Funding
Data Availability Statement
Conflicts of Interest
Abbreviations
| BN | Bayesian Network |
| FST | Fuzzy Set Theory |
| FBN | Fuzzy Bayesian Network |
| CPr | Crisp Probabilities |
| RTO | Regional Transmission Operator |
| FPr | Fuzzy Probabilities |
| SCADA | Supervisory Control And Data Acquisition |
| QRA | Quantitative Risk Assessment |
| FTA | Fault Tree Analysis |
| ETA | Event Tree Analysis |
| MCS | Monte Carlo Simulation |
| FMEA | Failure Modes and Effects Analysis |
| HBA | Hierarchical Bayesian Analysis |
| D-AHP | Data-Driven Analytical Hierarchy Process |
| BEs | Basic Events |
| CPTs | Conditional Probability Tables |
| IEs | Intermediate Events |
| TE | Top Event |
| SA | Sensitivity Analysis |
| FLOP | Fuzzy Linear Opinion Pool |
References
- Hossain, N.U.I.; Jaradat, R.; Hosseini, S.; Marufuzzaman, M.; Buchanan, R.K. A framework for modeling and assessing system resilience using a Bayesian network: A case study of an interdependent electrical infrastructure system. Int. J. Crit. Infrastruct. Prot. 2019, 25, 62–83. [Google Scholar] [CrossRef]
- Zhang, J.; Bian, H.F.; Zhao, H.H.; Wang, X.X.; Zhang, L.L.; Bai, Y.P. Bayesian Network-Based Risk Assessment of Single-Phase Grounding Accidents of Power Transmission Lines. Int. J. Environ. Res. Public Health 2020, 17, 1841. [Google Scholar] [CrossRef]
- energy.gov. The Flow of Electrical Power. Available online: https://www.energy.gov/electric-power (accessed on 23 February 2025).
- Lin, Y.; Bie, Z.; Qiu, A. A review of key strategies in realizing power system resilience. Glob. Energy Interconnect. 2018, 1, 9. [Google Scholar] [CrossRef]
- Xu, Y.H.; Xing, Y.K.; Huang, Q.H.; Li, J.; Zhang, G.D.; Bamisile, O.; Huang, Q. A review of resilience enhancement strategies in renewable power system under HILP events. Energy Rep. 2023, 9, 200–209. [Google Scholar] [CrossRef]
- Ji, C.Y.; Wei, Y.; Mei, H.; Calzada, J.; Carey, M.; Church, S.; Hayes, T.; Nugent, B.; Stella, G.; Wallace, M.; et al. Large-scale data analysis of power grid resilience across multiple US service regions. Nat. Energy 2016, 1, 16052. [Google Scholar] [CrossRef]
- Wang, J.; Zuo, W.D.; Rhode-Barbarigos, L.; Lu, X.; Wang, J.H.; Lin, Y.L. Literature review on modeling and simulation of energy infrastructures from a resilience perspective. Reliab. Eng. Syst. Saf. 2019, 183, 360–373. [Google Scholar] [CrossRef]
- Reed, B. What caused the blackout in Spain and Portugal and did renewable energy play a part? The Guardian, 29 April 2025. [Google Scholar]
- @Reuters. Spain, Portugal switch back on, seek answers after biggest ever blackout. Reuters, 30 April 2025. [Google Scholar]
- Jufri, F.H.; Widiputra, V.; Jung, J. State-of-the-art review on power grid resilience to extreme weather events: Definitions, frameworks, quantitative assessment methodologies, and enhancement strategies. Appl. Energy 2019, 239, 1049–1065. [Google Scholar] [CrossRef]
- He, R.; Li, X.H.; Chen, G.M.; Wang, Y.C.; Jiang, S.Y.; Zhi, C.X. A quantitative risk analysis model considering uncertain information. Process Saf. Environ. Prot. 2018, 118, 361–370. [Google Scholar] [CrossRef]
- Lin, S.S.; Shen, S.L.; Zhou, A.; Xu, Y.S. Risk assessment and management of excavation system based on fuzzy set theory and machine learning methods. Autom. Constr. 2021, 122, 103490. [Google Scholar] [CrossRef]
- Rahman, M. The Advantages and Disadvantages of Using Qualitative and Quantitative Approaches and Methods in Language “Testing and Assessment” Research: A Literature Review. J. Educ. Learn. 2020, 6, 10. [Google Scholar] [CrossRef]
- Park, S.J.; Seo, H.J.; Park, S.M.; Park, S.H. Establishment of a Risk-Assessment System for Coastal Activities Based on Statistical Data. J. Coast. Res. 2024, 1, 458–462. [Google Scholar] [CrossRef]
- Zúñiga, A.A.; Fernandes, J.F.P.; Branco, P.J.C. Fuzzy-Based Failure Modes, Effects, and Criticality Analysis Applied to Cyber-Power Grids. Energies 2023, 16, 3346. [Google Scholar] [CrossRef]
- Li, X.H.; Chen, G.M.; Khan, F.; Xu, C.H. Dynamic risk assessment of subsea pipelines leak using precursor data. Ocean Eng. 2019, 178, 156–169. [Google Scholar] [CrossRef]
- Dong, H.; Zhao, J.; Yang, X.Y.; Yang, K. Combination of D-AHP and Grey Theory for the Assessment of the Information Security Risks of Smart Grids. Math. Probl. Eng. 2020, 2020, 3517104. [Google Scholar] [CrossRef]
- Chen, B.Y.; Chen, H.Y.; Zhang, Y.Y.; Zhao, J.H.; Manlab, E. Risk Assessment for the Power Grid Dispatching Process Considering the Impact of Cyber Systems. Energies 2019, 12, 1084. [Google Scholar] [CrossRef]
- Canbolat, S.; Elbez, G.; Hagenmeyer, V. A new hybrid risk assessment process for cyber security design of smart grids using fuzzy analytic hierarchy processes. Automatisierungstechnik 2023, 71, 779–788. [Google Scholar] [CrossRef]
- Zhu, D.R.; Cheng, W.J.; Duan, J.D.; Wang, H.F.; Bai, J. Identifying and assessing risk of cascading failure sequence in AC/DC hybrid power grid based on non-cooperative game theory. Reliab. Eng. Syst. Saf. 2023, 237, 109359. [Google Scholar] [CrossRef]
- Jones, C.B.; Bresloff, C.J.; Darbali-Zamora, R. Electric Grid Vulnerability Analysis to Identify Communities Prone to Wildfires. IEEE Access 2023, 11, 35630–35638. [Google Scholar] [CrossRef]
- Bian, H.F.; Zhang, J.; Li, R.X.; Zhao, H.H.; Wang, X.X.; Bai, Y.P. Risk analysis of tripping accidents of power grid caused by typical natural hazards based on FTA-BN model. Nat. Hazards 2021, 106, 1771–1795. [Google Scholar] [CrossRef]
- Liu, M.; Li, Z.; Li, Y.; Liu, Y. A Fast and Accurate Method of Power Line Intelligent Inspection Based on Edge Computing. IEEE Trans. Instrum. Meas. 2022, 71, 1–12. [Google Scholar] [CrossRef]
- Jin, H.; Uludag, S.; Lui, K.-S.; Nahrstedt, K. Secure data collection in constrained tree-based Smart Grid environments. In Proceedings of the 2014 IEEE International Conference on Smart Grid Communications (SmartGridComm), Venice, Italy, 3–6 November 2014. [Google Scholar] [CrossRef]
- Kumari, P.; Halim, S.Z.; Kwon, J.S.I.; Quddus, N. An integrated risk prediction model for corrosion-induced pipeline incidents using artificial neural network and Bayesian analysis. Process Saf. Environ. Prot. 2022, 167, 34–44. [Google Scholar] [CrossRef]
- De Iuliis, M.; Kammouh, O.; Cimellaro, G.P.; Tesfamariam, S. Quantifying restoration time of pipelines after earthquakes: Comparison of Bayesian belief networks and fuzzy models. Int. J. Disaster Risk Reduct. 2021, 64, 102491. [Google Scholar] [CrossRef]
- Zarei, E.; Khakzad, N.; Cozzani, V.; Reniers, G. Safety analysis of process systems using Fuzzy Bayesian Network (FBN). J. Loss Prev. Process Ind. 2019, 57, 7–16. [Google Scholar] [CrossRef]
- Zhang, L.M.; Wu, X.G.; Skibniewski, M.J.; Zhong, J.B.; Lu, Y.J. Bayesian-network-based safety risk analysis in construction projects. Reliab. Eng. Syst. Saf. 2014, 131, 29–39. [Google Scholar] [CrossRef]
- Ding, Y.; Ye, X.W.; Guo, Y.; Zhang, R.; Ma, Z. Probabilistic method for wind speed prediction and statistics distribution inference based on SHM data-driven. Probabilistic Eng. Mech. 2023, 73, 103475. [Google Scholar] [CrossRef]
- MacLeod, J.; Tan, S.; Moinuddin, K. Reliability of fire (point) detection system in office buildings in Australia-A fault tree analysis. Fire Saf. J. 2020, 115, 103150. [Google Scholar] [CrossRef]
- Davila-Frias, A.; Yodo, N.; Le, T.; Yadav, O.P. A deep neural network and Bayesian method-based framework for all-terminal network reliability estimation considering degradation. Reliab. Eng. Syst. Saf. 2023, 229, 108881. [Google Scholar] [CrossRef]
- Mahmood, Y.; Afrin, T.; Huang, Y.; Yodo, N. Sustainable Development for Oil and Gas Infrastructure from Risk, Reliability, and Resilience Perspectives. Sustainability 2023, 15, 4953. [Google Scholar] [CrossRef]
- Landquist, H.; Norrman, J.; Lindhe, A.; Norberg, T.; Hassellöv, I.M.; Lindgren, J.F.; Rosén, L. Expert elicitation for deriving input data for probabilistic risk assessment of shipwrecks. Mar. Pollut. Bull. 2017, 125, 399–415. [Google Scholar] [CrossRef]
- Moein Younesi Heravi, A.Y.S.B.R. Using Fuzzy Approach in Determining Critical Parameters for Optimum Safety Functions in Mega Projects. Front. Nat.-Inspired Ind. Optim. 2023, 1, 183–200. [Google Scholar] [CrossRef]
- Zhang, D.B.; Chu, Z.W.; Gui, Q.J.; Wu, F.; Yang, H.J.; Ma, Y.H.; Tao, W.Q. Transformer maintenance decision based on condition monitoring and fuzzy probability hybrid reliability assessment. IET Gener. Transm. Distrib. 2023, 17, 976–992. [Google Scholar] [CrossRef]
- Weng, Z.X.; Shi, L.B.; Xu, Z.; Lu, Q.; Yao, L.Z.; Ni, Y.X. Fuzzy power flow solution considering wind power variability and uncertainty. Int. Trans. Electr. Energy Syst. 2015, 25, 547–572. [Google Scholar] [CrossRef]
- Suh, Y.A.; Song, K.; Cho, J. Fuzzy-technique-based expert elicitation on the occurrence probability of severe accident phenomena in nuclear power plants. Nucl. Eng. Technol. 2021, 53, 3298–3313. [Google Scholar] [CrossRef]
- Guan, L.; Liu, Q.; Abbasi, A.; Ryan, M.J. Developing a Comprehensive Risk Assessment Model Based on Fuzzy Bayesian Belief Network (FBBN). J. Civ. Eng. Manag. 2020, 26, 614–634. [Google Scholar] [CrossRef]
- Sun, H.; Yang, Z.L.; Wang, L.C.; Xie, J. Leakage failure probability assessment of submarine pipelines using a novel pythagorean fuzzy bayesian network methodology. Ocean Eng. 2023, 288, 115954. [Google Scholar] [CrossRef]
- Lu, Q.; Zhang, W. Integrating dynamic Bayesian network and physics-based modeling for risk analysis of a time-dependent power distribution system during hurricanes. Reliab. Eng. Syst. Saf. 2022, 220, 108290. [Google Scholar] [CrossRef]
- Liu, H.; Li, Y.; Cao, Y.J.; Zeng, Z.L.; Sidorov, D. Operational Risk Assessment of Electric-Gas Integrated Energy Systems Considering N-1 Accidents. Energies 2020, 13, 1208. [Google Scholar] [CrossRef]
- Mensah, A.F.; Dueñas-Osorio, L. Efficient Resilience Assessment Framework for Electric Power Systems Affected by Hurricane Events. J. Struct. Eng. 2016, 10, 142. [Google Scholar] [CrossRef]
- Wang, M.Z.; Li, C.; Wang, X.H.; Piao, Z.Y.; Yang, Y.S.; Dai, W.T.; Zhang, Q. Research on Comprehensive Evaluation and Early Warning of Transmission Lines’ Operation Status Based on Dynamic Cloud Computing. Sensors 2023, 23, 1469. [Google Scholar] [CrossRef]
- Abedi, A.; Gaudard, L.; Romerio, F. Review of major approaches to analyze vulnerability in power system. Reliab. Eng. Syst. Saf. 2019, 183, 153–172. [Google Scholar] [CrossRef]
- Yu, S.; Wang, C.; Geng, H.; Fan, H. Review on Risk Assessment of Power System. Procedia Comput. Sci. 2017, 109, 6. [Google Scholar] [CrossRef]
- Machado, P.G.; Ribeiro, C.D.; do Nascimento, C.A.O. Risk analysis in energy projects using Bayesian networks: A systematic review. Energy Strategy Rev. 2023, 47, 101097. [Google Scholar] [CrossRef]
- AlMajali, A.; Wadhawan, Y.; Saadeh, M.S.; Shalalfeh, L.; Neuman, C. Risk assessment of smart grids under cyber-physical attacks using Bayesian networks. Int. J. Electron. Secur. Digit. Forensics 2020, 12, 357–385. [Google Scholar] [CrossRef]
- Mo, L.G.; Wei, L. Risk assessment method for power grid communication link failure based on fuzzy comprehensive assessment. Int. J. Internet Protoc. Technol. 2022, 15, 69–75. [Google Scholar] [CrossRef]
- Ramzali, N.; Lavasani, M.R.M.; Ghodousi, J. Safety barriers analysis of offshore drilling system by employing Fuzzy Event Tree Analysis. Saf. Sci. 2015, 78, 49–59. [Google Scholar] [CrossRef]
- Guo, X.X.; Jie, J.; Khan, F.; Ding, L. Fuzzy Bayesian network based on an improved similarity aggregation method for risk assessment of storage tank accident (vol 144, pg 242, 2020). Process Saf. Environ. Prot. 2021, 149, 1031. [Google Scholar] [CrossRef]
- Fatemi, S.A.; Kuh, A.; Fripp, M. Parametric methods for probabilistic forecasting of solar irradiance. Renew. Energy 2018, 129, 666–676. [Google Scholar] [CrossRef]
- Onisawa, T. An Approach to Human Reliability in Man-Machine Systems Using Error Possibility. Fuzzy Sets Syst. 1988, 27, 87–103. [Google Scholar] [CrossRef]
- BayesFusion, L. BayesFusion Artificial Intelligence Modeling and Machine Learning Software. Available online: https://www.bayesfusion.com/contact/ (accessed on 14 February 2025).












| Criterion | Description | Score | Criterion | Description | Score |
|---|---|---|---|---|---|
| Professional Position | Sr./Jr. academic | 5 | Experience | <5 | 2 |
| Engineer | 4 | 5–9 | 2 | ||
| Technician | 3 | 10–19 | 3 | ||
| Operator | 3 | 20–30 | 4 | ||
| Other | 2 | >30 | 5 | ||
| Education | Ph.D. | 5 | Age | <30 | 2 |
| Masters | 4 | 30–39 | 3 | ||
| Bachelor | 3 | 40–50 | 4 | ||
| Social degree | 3 | >50 | 5 | ||
| High school | 2 | ||||
| Other | 2 |
| Intermediate Event | Basic Event | Occurrences | CPr |
|---|---|---|---|
| Equipment conditions | Capacitor | 16 | 0.0159 |
| Transformers | 42 | 0.0417 | |
| Circuit breakers | 188 | 0.1867 | |
| Generators | No historical data | ||
| Reactor | 1 | 0.0010 | |
| Transmission lines | 300 | 0.2979 | |
| Weather conditions | Rain | 9 | 0.0089 |
| Wind speed | 37 | 0.0367 | |
| Weather | 62 | 0.0616 | |
| Temperature | 28 | 0.0278 | |
| Environmental factors | Vegetation management | 5 | 0.0050 |
| Earthquakes | No historical data | ||
| Storms | 176 | 0.1748 | |
| Fire risks | 31 | 0.0308 | |
| Floods | No historical data | ||
| Lightning | 54 | 0.0536 | |
| Tornados | 26 | 0.0258 | |
| Operational parameters | Power factor | No historical data | |
| Voltage levels | 8 | 0.0079 | |
| Frequency | No historical data | ||
| Current flow | No historical data | ||
| Maintenance | 5 | 0.0050 | |
| Disconnect | 11 | 0.0109 | |
| Cybersecurity | SCADA (supervisory control and data acquisition) systems | 8 | 0.0079 |
| Unauthorized access | No historical data | ||
| Cyberattacks | No historical data | ||
| Expert | PP | EdU | Exp | Age | Weighting Score |
|---|---|---|---|---|---|
| E1 | 4 | 4 | 5 | 5 | 0.4390 |
| E2 | 4 | 5 | 3 | 3 | 0.3659 |
| E3 | 4 | 4 | 5 | 5 | 0.4390 |
| E4 | 4 | 5 | 2 | 2 | 0.3171 |
| E5 | 5 | 5 | 2 | 3 | 0.3659 |
| E6 | 4 | 5 | 2 | 2 | 0.3171 |
| E7 | 2 | 3 | 2 | 2 | 0.2195 |
| E8 | 4 | 5 | 2 | 3 | 0.3415 |
| E9 | 4 | 5 | 2 | 2 | 0.3171 |
| E10 | 2 | 4 | 2 | 2 | 0.2439 |
| E11 | 4 | 4 | 2 | 2 | 0.2927 |
| E12 | 4 | 5 | 3 | 3 | 0.3659 |
| E13 | 2 | 5 | 4 | 3 | 0.3415 |
| E14 | 4 | 5 | 2 | 3 | 0.3415 |
| E15 | 4 | 4 | 2 | 2 | 0.2927 |
| Intermediate Event | Basic Event | FPs | K | FPr |
|---|---|---|---|---|
| Equipment conditions | Capacitor | 0.1081 | 4.6491 | 0.0062 |
| Transformers | 0.1130 | 4.5735 | 0.0074 | |
| Circuit breakers | 0.1483 | 4.1203 | 0.0209 | |
| Generators | 0.2115 | 3.5676 | 0.0747 | |
| Reactor | 0.0921 | 4.9335 | 0.0032 | |
| Transmission lines | 0.2020 | 3.6378 | 0.0636 | |
| Weather conditions | Rain | 0.1720 | 3.8849 | 0.0360 |
| Wind speed | 0.1796 | 3.8179 | 0.0420 | |
| Weather | 0.1391 | 4.2246 | 0.0165 | |
| Temperature | 0.1852 | 3.7704 | 0.0468 | |
| Environmental factors | Vegetation management | 0.1323 | 4.3074 | 0.0136 |
| Earthquakes | 0.1396 | 4.2189 | 0.0167 | |
| Storms | 0.1900 | 3.7307 | 0.0513 | |
| Fire Risks | 0.1650 | 3.9505 | 0.0309 | |
| Floods | 0.1648 | 3.9524 | 0.0308 | |
| Lightning | 0.1892 | 3.7373 | 0.0505 | |
| Tornados | 0.2039 | 3.6229 | 0.0658 | |
| Operational parameters | Power factor | 0.1582 | 4.0174 | 0.0265 |
| Voltage levels | 0.1467 | 4.1385 | 0.0201 | |
| Frequency | 0.1970 | 3.6760 | 0.0582 | |
| Current flow | 0.1827 | 3.7915 | 0.0446 | |
| Maintenance | 0.1621 | 3.9784 | 0.0290 | |
| Disconnect | 0.2004 | 3.6498 | 0.0618 | |
| Cybersecurity | SCADA (supervisory control and data acquisition) systems | 0.2437 | 3.3561 | 0.1216 |
| Unauthorized access | 0.1760 | 3.8496 | 0.0390 | |
| Cyberattacks | 0.1508 | 4.0936 | 0.0223 |
| Case | Data | Basic Events |
|---|---|---|
| C-1 | Historical + Expert’s elicitation | Sixteen BEs (CPr) Ten BEs (FPr) |
| C-2 | Expert’s elicitation | Twenty-six BEs (FPr) |
Disclaimer/Publisher’s Note: The statements, opinions and data contained in all publications are solely those of the individual author(s) and contributor(s) and not of MDPI and/or the editor(s). MDPI and/or the editor(s) disclaim responsibility for any injury to people or property resulting from any ideas, methods, instructions or products referred to in the content. |
© 2025 by the authors. Licensee MDPI, Basel, Switzerland. This article is an open access article distributed under the terms and conditions of the Creative Commons Attribution (CC BY) license (https://creativecommons.org/licenses/by/4.0/).
Share and Cite
Mahmood, Y.; Yasir, N.; Yodo, N.; Huang, Y.; Wu, D.; McCann, R.A. Comprehensive Risk Assessment of Power Grids Using Fuzzy Bayesian Networks Through Expert Elicitation: A Technical Analysis. Algorithms 2025, 18, 321. https://doi.org/10.3390/a18060321
Mahmood Y, Yasir N, Yodo N, Huang Y, Wu D, McCann RA. Comprehensive Risk Assessment of Power Grids Using Fuzzy Bayesian Networks Through Expert Elicitation: A Technical Analysis. Algorithms. 2025; 18(6):321. https://doi.org/10.3390/a18060321
Chicago/Turabian StyleMahmood, Yasir, Nof Yasir, Nita Yodo, Ying Huang, Di Wu, and Roy A. McCann. 2025. "Comprehensive Risk Assessment of Power Grids Using Fuzzy Bayesian Networks Through Expert Elicitation: A Technical Analysis" Algorithms 18, no. 6: 321. https://doi.org/10.3390/a18060321
APA StyleMahmood, Y., Yasir, N., Yodo, N., Huang, Y., Wu, D., & McCann, R. A. (2025). Comprehensive Risk Assessment of Power Grids Using Fuzzy Bayesian Networks Through Expert Elicitation: A Technical Analysis. Algorithms, 18(6), 321. https://doi.org/10.3390/a18060321

