Abstract
The thermal vibration of thick Terfenol-D control law on functionally graded material (FGM) plates/cylindrical shells in nonlinear unsteady supersonic flow with third-order shear deformation theory (TSDT) is investigated by using the generalized differential quadrature (GDQ) method. The effects of the coefficient term of TSDT displacement models on the thermal stress and center displacement of Terfenol-D control law on FGM plates/cylindrical shells in nonlinear unsteady supersonic flow are investigated. The coefficient term of TSDT models of thick Terfenol-D control law on FGM plates/cylindrical shells provide an additional effect on the values of displacements and stresses.
1. Introduction
There are many studies about the aerodynamic, thermal, and elastic coupled structures of panels, plates, and shells in supersonic airflow. In 2022, Ben-Youssef et al. [1] used the first-order piston theory and nonlinear strain–displacement relationships of Novozhilov’s theory to study the vibrations of thin cylindrical shells in supersonic airflow. The classical finite element method (FEM) is used to find the numerical results by considering the effects of nonlinear coupling and circumferential wave number. In 2022, Khalafi and Fazilati [2] used the variational approach of energy method to study the flutter of cracked functionally graded material (FGM) plates in yawed supersonic airflow. The numerical solutions are presented by considering the first-order shear deformation theory (FSDT) model, thermo-elastic theory, and the first-order piston theory. In 2022, Tian et al. [3] presented the vibration and supersonic flutter for the stiffened plate by using the Hamilton principle, FSDT model, and supersonic piston aerodynamic theory. In 2022, Tian et al. [4] presented the vibration and supersonic flutter for the FGM plate by using the Hamilton principle, von Karman large deformation theory, and supersonic piston aerodynamic theory. In 2021, Zhong et al. [5] used the Rayleigh-Ritz method, FSDT model, and supersonic piston theory to study the flutter instability of the magnetic-electric FGM plates in yawed supersonic airflow. In 2020, Lin et al. [6] used the nonlinear third-order piston theory for the aerodynamic pressure load in the supersonic flow to study the nonlinear thermal flutter for the shape memory alloy (SMA) panel. In 2020, Zhang et al. [7] used the Hamilton principle and large deformation theory to study the piezoelectric FGM beams in supersonic airflow by using MATLAB numerical simulation. In 2019, Ghorbanpour Arani and Soleymani [8] used Hamilton’s principle for the equations of motion, the Euler–Bernoulli theory for the displacement field, and the Galerkin method for the numerical solution to study the vibration of the sandwich magnetorheological (MR) FGM beams in yawed supersonic airflow. In 2019, Song et al. [9] presented the mode localization of flutter phenomenon for the FGM beams in supersonic airflow. In 2019, Yang et al. [10] used Hamilton’s principle for the equations of motion, the von Karman nonlinear geometric assumptions, and FSDT for the displacement field and the Galerkin method for the numerical solution to study the vibration of the truncated FGM conical shells under internal supersonic aerodynamic pressure. In 2017, Barati and Shahverdi [11] used Hamilton’s principle for the equations of motion, higher-order refined shear deformable theory for the displacement field, and the Galerkin method for the numerical solution to study the stability of the porous FGM panels in supersonic airflow. In 2015, Lee and Kim [12] presented FSDT model for the displacement field, the homogenization methods for the effective properties of FGM panels, and the Newmark time integration method for the numerical solution to study the macroscopic behaviors of the FGM panels in supersonic airflow. In 2012, Prakash et al. [13] presented the FSDT model and von Kármán’s assumptions for large displacement field, the Newmark time integration method, and the finite element model for the numerical solution to study the vibrations of the FGM plates in supersonic airflow. In 2010, Lee and Kim [14] presented the FSDT model and von Kármán’s assumptions for the displacement field to study the post-buckling behaviors and linear flutters of the FGM panels in supersonic airflow. In 2009, Lee and Kim [15] also presented the FSDT model and von Kármán’s assumptions for the displacement field to study the post-buckling and limit-cycle oscillation of the FGM panels in supersonic airflow.
The major solution to the aeroelasticity effect with control law on the vibration reduction of structures in supersonic flow is presented. More topical studies including the thermal load and aerodynamic force on the structure are also important to understand the detailed solutions for Terfenol-D and FGM. Some generalized differential quadrature (GDQ) experiences in the composited FGM shells and plates are presented. In 2019, Hong [16] presented the thermal vibration of numerical GDQ results with a fully homogeneous equation for thick FGM plates. In 2016, Hong [17] presented the thermal vibration and transient response of Terfenol-D FGM circular cylindrical shells by considering the FSDT model. In 2017, Hong [18] presented the linear effects of varied shear correction on the thermal vibration of FGM shells in linear unsteady supersonic flow. It is interesting to investigate the thermal stresses and center displacement of the nonlinear TSDT vibration with the advanced varied effects of shear correction coefficient of magnetostrictive material Terfenol-D control law on FGM plates/cylindrical shells in nonlinear unsteady supersonic flow. The effects of the coefficient term of TSDT models on the thermal stress and center displacement of magnetostrictive FGM plates/cylindrical shells in nonlinear unsteady supersonic flow are investigated.
2. Formulations
For the nonlinear unsteady supersonic flow over the outer surface of the magnetostrictive material Terfenol-D control law and two-material FGM plates/cylindrical shells in which is the angle of the left side intersection, is the angle of the right side intersection, as shown in Figure 1, with thickness of the magnetostrictive layer, thickness of inner layer FGM 1, and thickness of outer layer FGM 2. is the axial length of FGM shells and is the total thickness of magnetostrictive FGM plates/cylindrical shells. The material properties of the power law function of FGM plates/cylindrical shells are considered in power law index and functions of environment temperature [19].
Figure 1.
Unsteady supersonic flow over outer surface of Terfenol-D control law on FGM plates/cylindrical shells.
The details of algorithms in the control process can be described as follows. A velocity is sensed by the sensor, then the velocity feeds back to the control law with a high gain controller and the displacements actuated by the Terfenol-D layer to control the thermal vibrations for FGM plates and shells. The displacements of thick FGM plates are assumed functions of time t and coefficient term of TSDT equations [16]. Also, the displacements of thick FGM circular cylindrical shells are assumed functions of time and coefficient term of TSDT equations [20]. The stresses in the thick FGM plate under temperature difference for the ()-th constituent material can be obtained. Also the stresses in the thick FGM circular cylindrical shells under for the ()-th constituent material can be obtained in terms of the stiffness , the corresponding strains, and the magnetostrictive coupling effect controlled by velocity feedback and controlled gain value for the Terfenol-D control law [21,22]. The equation can be assumed in linear form with z and temperature parameter as a function of time. Also, can be assumed in the simple form of the heat conduction equation [16,17].
The dynamic equation of motion of magnetostrictive FGM plates/cylindrical shells could be obtained by using the generalized Hamilton total energy principle for the differential volume dV in the plate and cylindrical shell, respectively [23]. The dynamic equilibrium differential equations in the cylindrical coordinates with TSDT of magnetostrictive FGM shells in terms of partial derivatives of displacements and shear rotations subjected to partial derivatives of thermal loads, mechanical loads, and inertia terms can be obtained in matrix forms. It is similar to the expression in the magnetostrictive FGM plates [16], only replacing the parameter with and with some different term of elements, e.g., and , in which is the middle surface radius of magnetostrictive FGM shell and and are tangential displacements in the in-surface coordinates x and axes direction, respectively. The external loads in column vector are the derivative expressions of terms in thermal loads which are functions of and mechanical loads and magnetostrictive loads as follows
where
in which is transverse displacement in coordinate z axis direction of the magnetostrictive FGM middle-plane and and are external in-plane distributed forces in x and direction, respectively. is the magnetic intensity of Terfenol-D control law. , , and are the magnetostrictive moduli. is the aerodynamic pressure load expressed in the nonlinear third-order piston theory introduced by Lin et al. [6] in 2020 for the supersonic () in unsteady, in-viscid fluid flow over the outer surface of thick magnetostrictive FGM plates/cylindrical shells with free stream density , velocity , Mach number , and specific heat ratio . The linear case of aerodynamic pressure load with first-order transverse displacement derivatives are referenced by Dowell et al. in 1978 [24]. is the advanced nonlinear shear coefficient, the advanced values are usually functions of , , , , and .
In 1990, the GDQ method was presented by Shu and Richards, then applied by Hong in 2017 [18] and by Shu and Du in 1997 [25]. The differential quadrature (DQ) method was presented by Bert et al. in 1989 [26]. The GDQ method approximates the derivative of function at the coordinate of arbitrarily grid point , i = 1, 2, …, N, , in the two-dimensional formulation can be given, e.g.,
where and denote the weighting coefficients for the (m)-th order derivative of the function with respect to the x and directions. Take the function for the component of middle-plane displacements , , for the plate and , , for the shell and shear rotations, and for the plate, and and for the shell in the places for the (m)-th order derivative, and the non-dimensional parameters are used in the GDQ approaches, e.g., for the cylindrical shells, used as follows:
The time sinusoidal displacement, shear rotations, temperature of thermal vibrations, and actuated magnetostrictive Terfenol-D control law are assumed in the simulation examples, e.g., for the shell as follows [17]:
in which is the natural frequency in mode shape subscript numbers m and n of the shells, is the frequency of applied heat flux, is the amplitude of temperature, and t is time.
For a typical grid point (i, j), the dynamic GDQ discrete equations can be rewritten into the matrix form for the magnetostrictive FGM plate and cylindrical shell, respectively, as follows:
where is a dimension of by coefficient matrix () containing nonlinear term , vibration term t, inertia terms, the stiffness coefficients (), and weighting parameters ().
is an -th order unknown column and vector can be expressed for the shell as follows:
is an -th order row external loads vector and can be written as follows, e.g., for the shell, , in which
3. Numerical Results
The software name Lahey–Fujitsu Fortran (Lahey-Fujitsu Fortran 7.8 Microsoft Visual Studio 2015) was used to simulate the data. The frequency of applied heat flux for the thermal loads of magnetostrictive FGM plates and circular cylindrical shells can be obtained. Also the vibration frequency for the , , , , and of magnetostrictive FGM under simply supported boundary conditions can be obtained, in which subscripts for m and n are the mode shape in the two directions of vibrations [16,17]. The cosine form of coordinates for the grid points numbers and of thick magnetostrictive FGM plates and circular cylindrical shells, respectively, are used to study the GDQ results under applied heat with in-plane distributed forces and external aerodynamic pressure load due to nonlinear supersonic air flow.
3.1. Dynamic Convergence
The magnetostrictive material is Terfenol-D, FGM 1 is SUS304, and FGM 2 is Si3N4. The nonlinear supersonic air flow , i.e., , over the outer surface of Terfenol-D control law on FGM plates/cylindrical shells with = 1.4, , at altitude 50,000 ft for the numerical GDQ computations including the effect of the advanced nonlinear varied shear correction coefficient. It is very interesting and novel of the nonlinear TSDT thick magnetostrictive FGM plates/cylindrical shells in nonlinear unsteady supersonic flow with a = L, = 1.2 mm, = , and = 0.1 mm. At t = 6 s, , = 0, advanced values, = 5, , T = 100 K, = 100 K in , i.e., , = 2 are used for the convergence tendencies of middle-plane displacement (mm) vs. N = M shown in Figure 2 for = 0.925925/mm2 that are compared with = 0.0/mm2 case. The effect of value on the nonlinear unsteady supersonic flow model is much more significant. Thus, = 13 × 13 grid points can be used in the GDQ calculations.
Figure 2.
(mm) versus N = M in nonlinear unsteady supersonic flow.
3.2. Time Responses
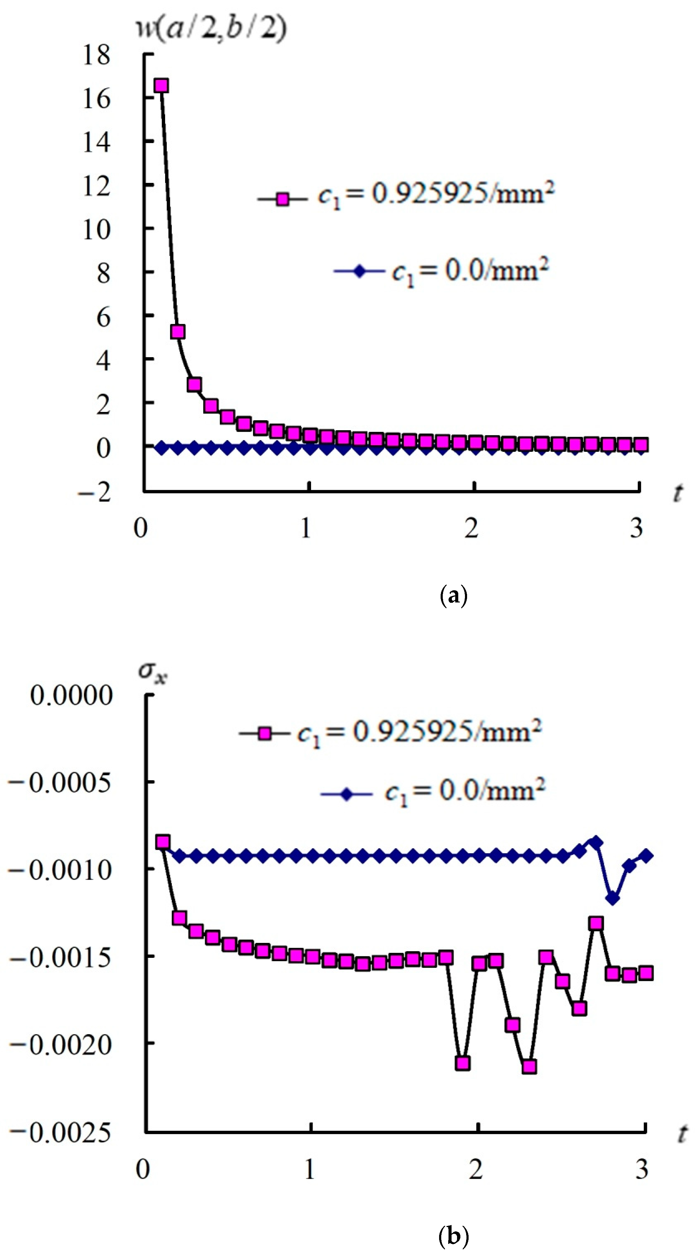
Figure 3 shows the middle-plane displacement (mm) and normal stress (GPa) at center position of outer surface z = 0.5 for the thermal vibration of nonlinear TSDT of FGM thick plates/cylindrical shells during t = 0.1−3.0 s, in unsteady supersonic flow , = 0 under with advanced , = 5, , = 2, T = 600 K and = 100 K. Figure 3a shows the compared response values of versus t for = 0.925925/mm2 and = 0.0/mm2, respectively. The maximum value of center displacement amplitude is 16.588001 mm for = 0.925925/mm2 and occurs at t = 0.1 s under . The values of center displacement amplitudes have the converging tendency with time in both cases of = 0.925925/mm2 that is converging to 0.144461 mm and = 0.0/mm2 that is converging to −3.63 × 10−10 mm. Figure 3b shows the compared time responses of under for = 0.925925/mm2 and = 0.0/mm2, respectively. The maximum absolute value of is −2.1244 × 10−3 GPa for = 0.925925/mm2 which occurs at t = 2.3 s. The values of have the converging tendency firstly with time from t = 0.1 s to 1.8 s then oscillating with time from t = 1.9 s to 2.8 s in the case of = 0.925925/mm2. The values have a constant tendency firstly with time from t = 0.2 s to 2.5 s then oscillating with time from t = 2.6 s to 3.0 s in the case = 0.0/mm2.
Figure 3.
Advanced and versus t of = 5 in at for (a) compared with (mm) versus t (s), (b) compared with (GPa) versus t (s).
3.3. Comparisons of , versus T and
The comparisons of versus T for = 0.925925/mm2 and = 0.0/mm2, respectively, under are shown in Figure 4 at t = 0.1 s, , = 0, = 5, , and = 100 K. Figure 4a shows the curves of vs. T and = 1 case; the maximum value of is 32.773151 mm for = 0.925925/mm2, which occurs at T = 1000 K. The values are firstly decreasing versus T from T = 100 K to T = 600 K, then increasing versus T from T = 600 K to T = 1000 K for = 0.925925/mm2. Thus, amplitude of the = 1 under cannot withstand the higher temperature T = 1000 K of environment for = 0.925925/mm2. The values of versus T are located in the constant line for = 0.0/mm2. Figure 4b shows the curves of vs. T and = 2 case, the maximum value of is 1377.64099 mm occurs at T = 1000 K for = 2. The values are slightly decreasing versus T from T = 100 K to T = 600 K then increasing versus T from T = 600 K to T = 1000 K for = 2. Thus, amplitude of the = 2 under cannot withstand the higher temperature T = 1000 K of environment for = 0.925925/mm2. The values of versus T are located in the constant line for = 0.0/mm2. Figure 4c shows the curves of vs. T and = 10 case; the maximum value of is 14.614171 mm, which occurs at T = 600 K for = 10. The values are firstly increasing versus T from T = 100 K to T = 600 K, then decreasing versus T from T = 600 K to T = 1000 K for = 0.925925/mm2. Thus, the amplitude of the = 10 under can withstand a higher temperature T = 1000 K of environment for = 0.925925/mm2. The values of versus T are located in the constant line for = 0.0/mm2.

Figure 4.
Advanced (mm) versus T (K) of = 5 under for: (a) = 1; (b) = 2; (c) = 10.
The comparisons of versus T for = 0.925925/mm2 and = 0.0/mm2, respectively, are shown in Figure 5 at t = 0.1 s, = 0, , and = 100 K. Figure 5 shows the normal stresses (GPa) vs. T at the center position of outer surface z = 0.5 for with = 5 and . Figure 5a shows the curves of vs. T and = 1 case; the maximum absolute value of is −2.8882 × 10−3 GPa, which occurs at T = 600 K fo r = 1. The absolute values are firstly increasing versus T from T = 100 K to T = 600 K, then decreasing versus T from T = 600 K to T = 1000 K for = 0.925925/mm2. Thus, stress of the = 1 under can withstand the higher temperature T = 1000 K of environment for = 0.925925/mm2. The absolute values of versus T are located in the straight line for = 0.0/mm2. Figure 5b shows the curves of vs. T and = 2 case; the maximum value of is 1.4213 × 10−1 GPa, which occurs at T = 1000 K for = 2. The absolute values of are increasing from T = 100 K to T = 1000 K for = 2. Thus, stress of the = 2 under cannot withstand the higher temperature T = 1000 K of environment for = 0.925925/mm2. The values of versus T are almost located in the constant line for = 0.0/mm2. Figure 5c shows the curves of vs. T and = 10 case; the maximum absolute value of is −8.4455 × 10−4 GPa, which occurs at T = 1000 K for = 10. The absolute values of are increasing from T = 100 K to T = 1000 K for = 10. Thus, stress of = 10 under cannot withstand the higher temperature T = 1000 K of environment for = 0.925925/mm2. The absolute values of are in increasing versus T from T = 100 K to T = 600 K, then decreasing versus T from T = 600 K to T = 1000 K for = 0.0/mm2. Thus, absolute stress of the = 10 under can withstand the higher temperature T = 1000 K of environment for = 0.0/mm2.

Figure 5.
Advanced (GPa) versus T (K) of = 5 under for: (a) = 1; (b) = 2; (c) = 10.
3.4. Transient Responses of w(a/2,b/2) and
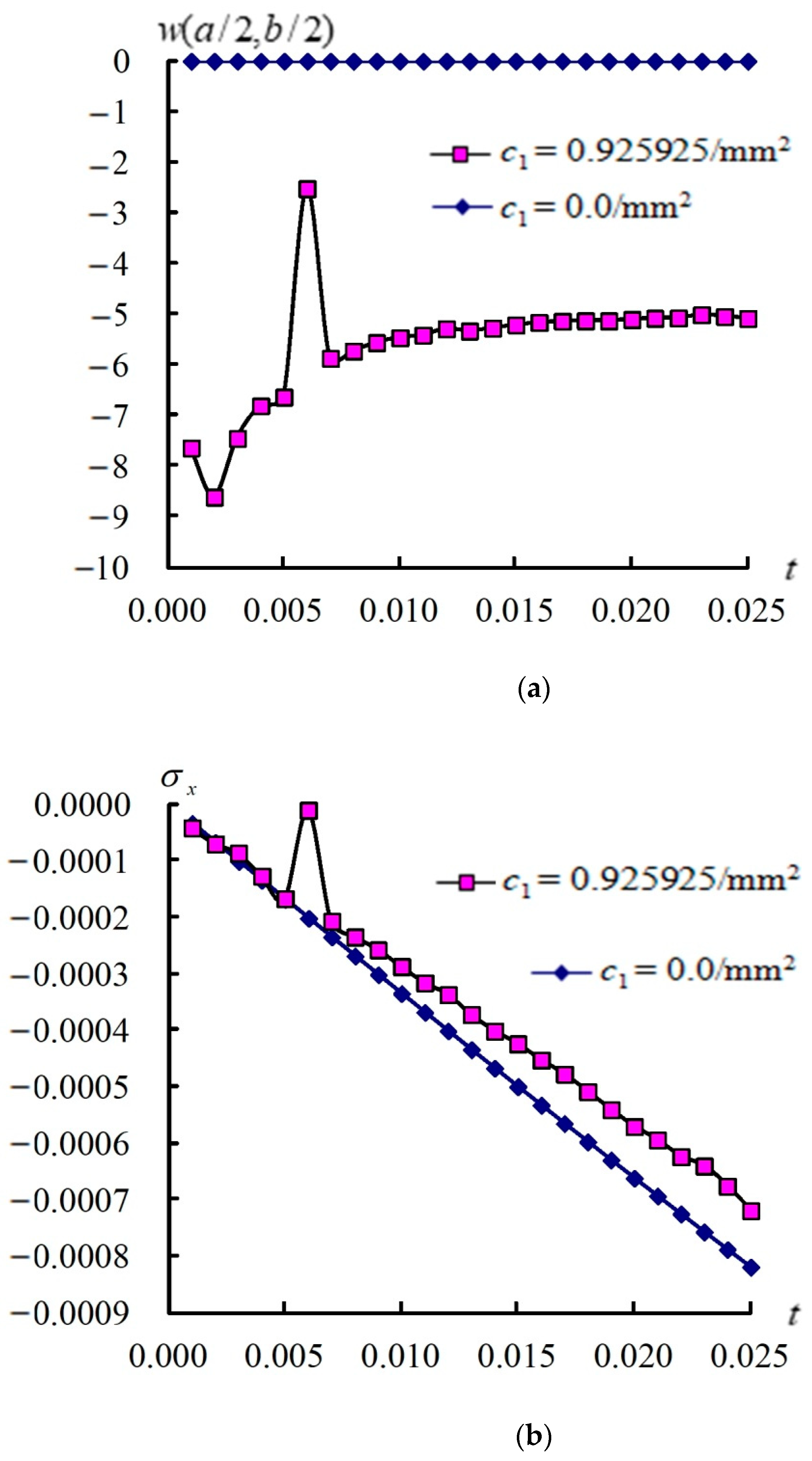
The transient responses of amplitude (mm) and stress (GPa) at the center position of outer surface z = 0.5 during t = 0.001–0.025s are presented in Figure 6 for = 5, , and = 0 under , respectively, with = 0.925925/mm2 and = 0.0/mm2, by fixing the values of = 0.008380/s and = 15.707963/s. Also, it used , = 1.2 mm, = 2, T = 600 K, and = 100 K. Figure 6a shows the comparisons of advanced transient response under = 0.925925/mm2 and = 0.0/mm2. The absolute transient values of center displacements for = 0.925925/mm2 have greater values of firstly oscillating and then decreasing than that for = 0.0/mm2. Figure 6b shows the comparisons of advanced transient response under = 0.925925/mm2 and = 0.0/mm2. The absolute transient values of stresses are greater in an increasing straight line for = 0.0/mm2 than for = 0.925925/mm2.
Figure 6.
Advanced transient responses of and of = 15.707963/s, for: (a) transient (mm) vs. t (s); (b) transient (GPa) vs. t (s).
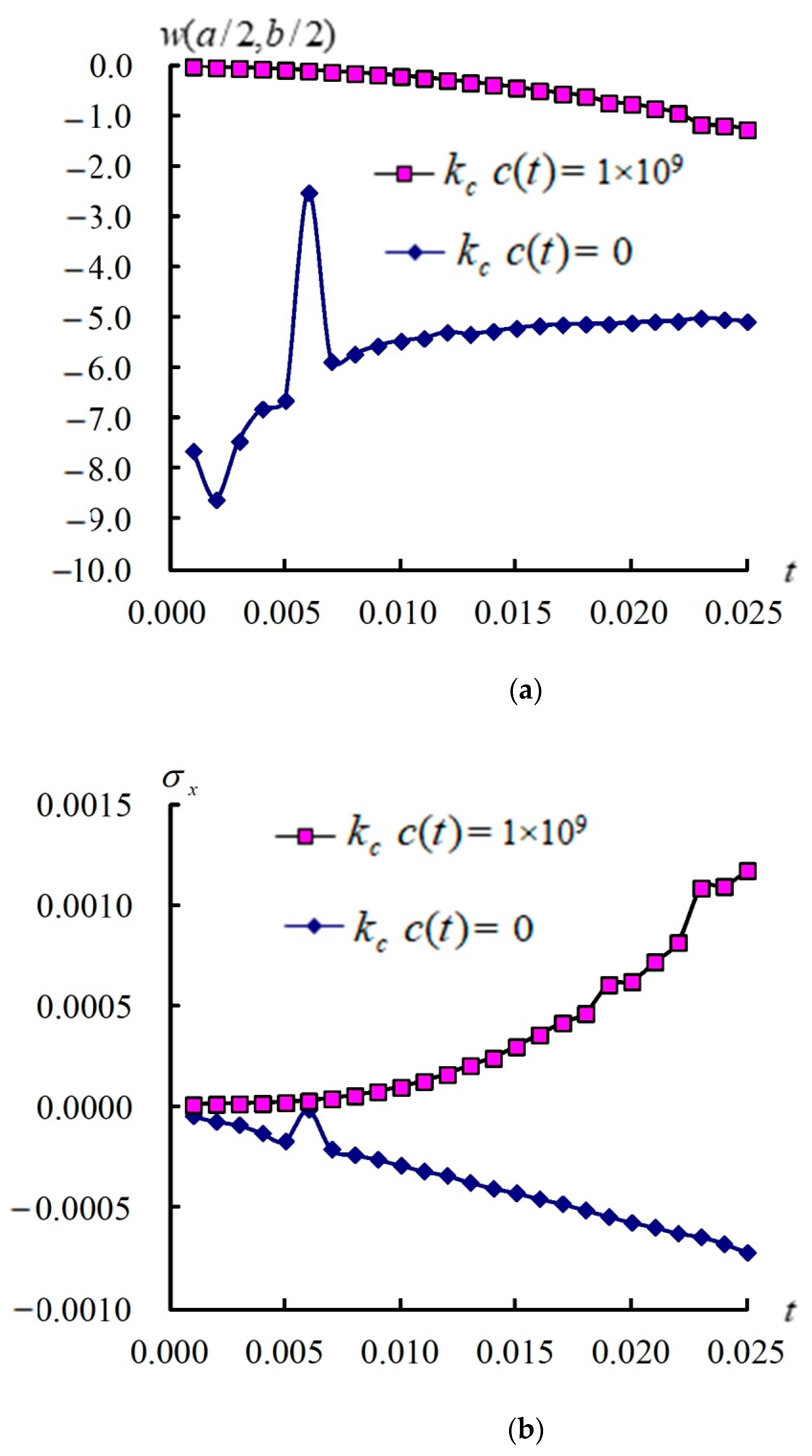
Furthermore, the compared transient responses of (mm) and (GPa) in are presented, respectively, in Figure 7 by using the controlled value and uncontrolled value = 0, respectively, during t = 0.001–0.025 s, = 0.925925/mm2 for the FGM plates/cylindrical shells of = 5, = 2, T = 600 K, and = 100 K under . Figure 7a shows the compared transient response values of (mm). The values in = 1 × 109 case can be controlled into smaller than that in = 0 uncontrolled case. Figure 7b shows the compared transient response values of stress (GPa). The stress in = 1 × 109 case are in positive tensional values and the different signs with that in = 0 uncontrolled case are in negative compression values. The trend and comparison of the transient curve due to the algorithms in the control process can be described as follows. When an open-loop system is used, the vibrations with = 0 uncontrolled case are actuated. When a close-loop system is used, the vibrations with = 1 × 109 controlled case are actuated by a sensor, control-law controller, and Terfenol-D layer to reduce the displacements for FGM plates and shells in supersonic airflow.
Figure 7.
Compared transient responses of and with = 0 and 1 × 109 for: (a) compared transient (mm) vs. t (s); (b) compared transient (GPa) vs. t (s).
A graphical chart explaining the calculated results due to , , and is shown in Figure 8.
Figure 8.
A graphical chart describing the calculated results.
4. Conclusions
The GDQ solutions are calculated and investigated for the displacements and stresses in the advanced thermal vibration of Terfenol-D control law on FGM plates/cylindrical shells in nonlinear unsteady supersonic flow. The amplitudes of center displacements and stresses, respectively, have a converging tendency with time for the thick = 5. has a significant effect on the values of center displacements and stresses. The amplitude of center displacements for = 0.925925/mm2 and = 0 in = 10 under case can withstand a higher temperature T = 1000 K of environment at t = 0.1s. The amplitude of absolute stresses for = 0.0/mm2 and = 0 in = 10 under case can withstand a higher temperature T = 1000 K of environment at t = 0.1 s. The amplitude of center displacements in = 1 × 109 case can be controlled to be smaller than that in = 0 uncontrolled case. The nonlinear term value of TSDT and high gain value of Terfenol-D are accomplished in detail more studies on FGM structure. Additionally, the high gain value of the control law algorithm is very important in the reduction of vibration to provide a safe way to enable the manipulation ability of a structure in the supersonic flow. The experimental design has its rationality and would be in the future work if possible.
Funding
This research received no external funding.
Data Availability Statement
Declare all the data are generated by author and open.
Acknowledgments
The author expresses his thanks to the people helping and the valuable suggestions from the reviewers.
Conflicts of Interest
The author declares that he has no conflict of interest.
References
- Ben-Youssef, Y.; Kerboua, Y.; Lakis, A.A. Analysis of nonlinear vibrations of thin cylindrical shells subjected to supersonic flow. Thin-Walled Struct. 2022, 173, 108969. [Google Scholar] [CrossRef]
- Khalafi, V.; Fazilati, J. Panel flutter analysis of cracked functionally graded plates in yawed supersonic flow with thermal effects. Appl. Math. Model. 2022, 101, 259–275. [Google Scholar] [CrossRef]
- Tian, W.; Zhao, T.; Yang, Z. Theoretical modelling and design of metamaterial stiffened plate for vibration suppression and supersonic flutter. Compos. Struct. 2022, 282, 115010. [Google Scholar] [CrossRef]
- Tian, W.; Zhao, T.; Gu, Y.; Yang, Z. Nonlinear flutter suppression and performance evaluation of periodically embedded nonlinear vibration absorbers in a supersonic FGM plate. Aero. Sci. Tech. 2022, 121, 107198. [Google Scholar] [CrossRef]
- Zhong, R.; Qin, B.; Wang, Q.; Shao, W.; Shuai, C. Investigation on flutter instability of magnetic-electric-thermo-elastic functionally graded plates in the supersonic airflow with any yawed angle. Int. J. Mech. Sci. 2021, 198, 106356. [Google Scholar] [CrossRef]
- Lin, H.; Shao, C.; Cao, D. Nonlinear flutter and random response of composite panel embedded in shape memory alloy in thermal-aero-acoustic coupled field. Aero. Sci. Tech. 2020, 100, 105785. [Google Scholar] [CrossRef]
- Zhang, Y.W.; Chen, W.J.; Ni, Z.Y.; Zang, J.; Hou, S. Supersonic aerodynamic piezoelectric energy harvesting performance of functionally graded beams. Compos. Struct. 2020, 233, 111537. [Google Scholar] [CrossRef]
- Ghorbanpour Arani, A.; Soleymani, T. Size-dependent vibration analysis of an axially moving sandwich beam with MR core and axially FGM faces layers in yawed supersonic airflow. Euro. J. Mech. A/Solids 2019, 77, 103792. [Google Scholar] [CrossRef]
- Song, Z.; Chen, Y.; Li, Z.; Sha, J.; Li, F. Axially functionally graded beams and panels in supersonic airflow and their excellent capability for passive flutter suppression. Aero. Sci. Tech. 2019, 92, 668–675. [Google Scholar] [CrossRef]
- Yang, S.W.; Zhang, W.; Hao, Y.X.; Niu, Y. Nonlinear vibrations of FGM truncated conical shell under aerodynamics and in-plane force along meridian near internal resonances. Thin-Walled Struct. 2019, 142, 369–391. [Google Scholar] [CrossRef]
- Barati, M.R.; Shahverdi, H. Aero-hygro-thermal stability analysis of higher-order refined supersonic FGM panels with even and uneven porosity distributions. J. Fluids Struct. 2017, 73, 125–136. [Google Scholar] [CrossRef]
- Lee, C.Y.; Kim, J.H. Evaluation of homogenized effective properties for FGM panels in aero-thermal environments. Compos. Struct. 2015, 120, 442–450. [Google Scholar] [CrossRef]
- Prakash, T.; Singha, M.K.; Ganapathi, M. A finite element study on the large amplitude flexural vibration characteristics of FGM plates under aerodynamic load. Int. J. Non-Linear Mech. 2012, 47, 439–447. [Google Scholar] [CrossRef]
- Lee, S.L.; Kim, J.H. Thermal post-buckling and the stability boundaries of structurally damped functionally graded panels in supersonic airflows. Compos. Struct. 2010, 92, 422–429. [Google Scholar] [CrossRef]
- Lee, S.L.; Kim, J.H. Thermal post-buckling and limit-cycle oscillation of functionally graded panel with structural damping in supersonic airflow. Compos. Struct. 2009, 91, 205–211. [Google Scholar] [CrossRef]
- Hong, C.C. GDQ computation for thermal vibration of thick FGM plates by using fully homogeneous equation and TSDT. Thin-Walled Struct. 2019, 135, 78–88. [Google Scholar] [CrossRef]
- Hong, C.C. Thermal vibration of magnetostrictive functionally graded material shells with the transverse shear deformation effects. Appl. Appl. Math. Int. J. 2016, 11, 127–151. [Google Scholar]
- Hong, C.C. Effects of varied shear correction on the thermal vibration of functionally-graded material shells in unsteady supersonic flow. Aerospace 2017, 4, 12. [Google Scholar] [CrossRef]
- Chi, S.H.; Chung, Y.L. Mechanical behavior of functionally graded material plates under transverse load. Part I: Analysis. Int. J. Solids Struct. 2006, 43, 3657–3674. [Google Scholar] [CrossRef]
- Lee, S.J.; Reddy, J.N.; Rostam-Abadi, F. Transient analysis of laminated composite plates with embedded smart-material layers. Finite Elem. Anal. Des. 2004, 40, 463–483. [Google Scholar] [CrossRef]
- Hong, C.C. Advanced dynamic vibration control algorithms of materials Terfenol-D Si3N4 and SUS304 plates/cylindrical shells with velocity feedback control law. Algorithms 2024, 17, 539. [Google Scholar] [CrossRef]
- Hong, C.C. Thermal vibration of magnetostrictive functionally graded material shells by considering the varied effects of shear correction coefficient. Int. J. Mech. Sci. 2014, 85, 20–29. [Google Scholar] [CrossRef]
- Reddy, J.N. Energy Principles and Variational Methods in Applied Mechanics; Wiley: New York, NY, USA, 2002. [Google Scholar]
- Dowell, E.H.; Curtiss, H.C.; Scanlan, R.H.; Sisto, F. A Modern Course in Aeroelasticity; Sijthoff & Noordhoff International Publishers B.V.: Amsterdam, The Netherlands, 1978. [Google Scholar]
- Shu, C.; Du, H. Implementation of clamped and simply supported boundary conditions in the GDQ free vibration analyses of beams and plates. Int. J. Solids Struct. 1997, 34, 819–835. [Google Scholar] [CrossRef]
- Bert, C.W.; Jang, S.K.; Striz, A.G. Nonlinear bending analysis of orthotropic rectangular plates by the method of differential quadrature. Comput. Mech. 1989, 5, 217–226. [Google Scholar] [CrossRef]
Disclaimer/Publisher’s Note: The statements, opinions and data contained in all publications are solely those of the individual author(s) and contributor(s) and not of MDPI and/or the editor(s). MDPI and/or the editor(s) disclaim responsibility for any injury to people or property resulting from any ideas, methods, instructions or products referred to in the content. |
© 2025 by the author. Licensee MDPI, Basel, Switzerland. This article is an open access article distributed under the terms and conditions of the Creative Commons Attribution (CC BY) license (https://creativecommons.org/licenses/by/4.0/).









