Abstract
Uniform rare-earth gadolinium oxide (Gd2O3) hollow microspheres, as formed through a urea-assisted homogenous precipitation process using carbon spheres as a template and a subsequent heat treatment, were characterized by using X-ray diffraction, Fourier transformed infared spectroscopy, thermogravimetry, X-ray photoelectron spectroscopy, scanning electron microscopy, transmission electron microscopy and Brunauer-Emmett-Tellet surface area measurement. The results indicate that the final products can be indexed to a cubic Gd2O3 phase with high purity and have a uniform morphology at 500 nm in diameter and 20 nm in shell thickness. The as-synthesized Gd2O3 hollow microspheres exhibited a superior photooxidation activity to that of Gd2O3 powder and an effect similar to P25, significantly broadening the potential of Gd2O3 hollow microspheres for many practical applications.
1. Introduction
Monodispersed hollow nano/microspheres of uniform size and shape have attracted considerable research interest owing to their low density, large specific surface area, good surface permeability properties, and a wide range of potential applications such as catalysis, drug delivery, chemical sensors, lithium-ion batteries, etc. [1,2,3,4,5,6,7]. Recently, many efforts have been made in the development of different methods for design and preparation of hollow microspheres materials. Among these methods, the most developed seem sto be the template method, including hard templates (such as carbon spheres [8], silica particles [4], melamine formaldehyde (MF) microspheres [5]) and soft templates (such as liquid droplets, vesicles, emulsion, gas bubbles) [9,10,11]. However, these methods have some inherent drawbacks in template formation and removal. Usually tedious multistep procedures were needed in the template formation and harsh synthetic conditions were required, including the use of volatile organic solvents and non-green etching agents in the template removal. Therefore, the carbon spheres template is considered a good template with the advantages of low cost, mild conditions, easy operation and environmental friendliness.
Rare earth oxides materials have been investigated extensively for their potential applications in luminescent devices, fluorescent labels, medical diagnostics, catalysts and so forth [12]. These potential applications are due to special optical, electronic, and chemical properties arising from their 4f sub-shell electrons [13,14]. Gd2O3 is a typical functional rare earth oxide, due to significant characteristic properties such as chemical durability, thermal stability, large band gap, high refractive index and high dielectric constant [15,16,17]. Up to now, various morphologies of different sizes, dimensions, and structures such as nanoparticles, nanotubes, curved rods, spheres, plate of Gd2O3 have been synthesized by a variety of approaches [12]. Boopathi et al. reported an inexpensive preparation method for obtaining Er5%: Gd2O3 nanoscale rods through a co-precipitation process [18]. Guang et al. have prepared Gd2O3 and Eu3+-doped Gd2O3 nanotubes via a simple wet-chemical route at ambient pressure and low temperature followed by a direct annealing process in air [19]. Maria et al. obtained the Gd2O3 nanoparticles via the polyol method using silanes as the innermost stabilizer layer and an outer layer of bifunctional polyethylene glycol (PEG) [20]. As is known, Gd2O3 has been widely applied in luminescence, MRI contrast imaging, drug delivery and so on [17]. Gd2O3 hollow microspheres were combined with the special properties of Gd2O3 and the structural effects of hollow microspheres, while their applications for optical, electronic, magnetic and catalytic properties were greatly extended [14]. However, the photocatalysis oxidation property of Gd2O3 hollow microspheres has received less attention.
Herein we developed an easy and rapid method to obtain monodisperse Gd2O3 hollow microspheres through a urea-assisted homogenous precipitation process using carbon spheres as templates and a subsequent heat treatment. The synthesis is performed in an aqueous solution without using any organic template and a further etching process, which usually uses an acid or base as an etching agent. Finally, the structure, morphology, formation process, and photooxidation performance of the Gd2O3 hollow microspheres are characterized in detail.
2. Experimental Section
2.1. Materials
Gd(NO3)3·6H2O (99.9%), glucose, urea, formaldehyde, Ethanol absolute (EtOH) were analytical grade reagents and used directly without further purification. All materials were supplied by Sinopharm Chemical Reagent Co., Ltd. (Shanghai, China) except Gd(NO3)3·6H2O (99.9%) was purchased from Aladin (Shanghai, China). In addition, deionized water was made in our laboratory.
2.2. Preparation of Monodisperse Carbon Spheres
The carbon spheres templates were prepared through the poly condensation reaction of glucose under hydrothermal conditions in a Teflon-lined stainless steel autoclave. In a typical procedure, glucose (2 g) and formaldehyde (2 mL) were dissolved in 50 mL of deionized water to form a clear solution. The solution was then sealed in a 100 mL Teflon-lined stainless autoclave and maintained at 160 °C for 6 h. After the autoclave was naturally cooled to room temperature, the black-brown precipitates were obtained by centrifugation, washed three times with ethanol and deionized water and then dried at 80 °C for 6 h in air.
2.3. Synthesis of Gd2O3 Hollow Microspheres
In a typical synthesis, 2 mL of 0.5 M Gd(NO3)3 aqueous solution was added to 30 mL of deionized water. Then, the 3.0 g of urea was dissolved in the solution to form a clear solution by vigorous stirring. Subsequently, 0.1 g of the as-prepared carbon spheres was added and dispersed into the above solution with the assistance of ultrasonication for 15 min. Then, the mixture was transferred to a round-bottomed flask and heated to 85 °C for 6 h with vigorous stirring. Finally, the precursor was collected by centrifugation and washed with deionized water and ethanol several times and dried in air at 60 °C for 8 h. The final hollow Gd2O3 microspheres were obtained through a calcination process at 800 °C in air for 2 h.
2.4. Characterization of Gd2O3 Hollow Microspheres
The crystal structure of the samples was characterized by X-ray diffraction (XRD, XD-5A, Shimadzu, Kyoto, Japan) using Cu Kα radiation. The morphology and size of the samples were studied by scanning electron microscopy (SEM, JEM-5510LV, JEOL, Tokyo, Japan) and transmission electron microscopy (TEM, JEM-2100, JEOL, Tokyo, Japan). The chemical composition of the samples was investigated by X-ray photoelectron spectroscopy (XPS, AXIS-ULTRA DLD-600W, Shimadzu-Kratos, Kyoto, Japan) using Al Kα as the X-ray source. Thermogravimetry (TG,) curves of the samples was carried out with a Netzsch STA 409 PC analyzer (Netzsch, Selb, Bavaria, Germany) at a heating rate of 10 °C/min from 25 to 800 °C. Fourier transformed infared spectroscopy (FT-IR) was measured by a KBr pellet technique and spectra of the powders recorded under vacuum conditions using a Thermo Electron Nicolet-6700 spetrometer (Thermo Electron Nicolet, Madison, WI, USA). Nitrogen adsorption-desorption analysis was performed with a NOVA 2000e (Quantachrome, Boynton Beach, FL, USA), and the specific surface area was determined by the Brunauer-Emmett-Telletr (BET) method. Elemental analysis (EA) was carried out using a vario EL cube 19093019 (Elementar, Frankfurt Hanau, Hessen, Germany). UV-visible absorption spectra were recorded on PerkinElmer Lambda 35 spectrophotometer (PerkinElmer, Fremont, CA, USA) equipped with an integrating speres. All the measurements were carried out at room temperature.
2.5. Photocatalytic Activity Measurement
The photocatalytic activity of catalysts was evaluated by the degradation of methyl orange (MO) in an aqueous containing 0.06 M MO solution, 0.1 g catalysts and 5 mL hydrogen peroxide solution in 50 mL glass vessels by referring previous publications [21]. A halogen tungsten lamp was used as simulated solar light irradiation (350 W). The 420 nm cut off filter was used to get the visible light source. The suspension was stirred vigorously for 30 min in the dark to establish adsorption-desorption equilibrium of MO, and the degradation reaction started under simulated solar light irradiation with constant magnetic stirring. Samples were withdrawn periodically from the reactor, then centrifuged and analyzed by recording variations in the absorption in the Ultraviolet–visible (UV-vis) spectra of MO (λ = 464 nm). The percentage degradation (η) of MO was calculated with the following formula [22].
η = [(A0 − At)/A0] × 100%
Here, A0 is the initial absorbance of MO solution when the samples established adsorption-desorption equilibrium in MO solution, At is the absorbance of MO solution on a reaction time t.
3. Results and Discussion
3.1. XRD Analysis
XRD patterns of the uncalcined precursor and Gd2O3 hollow microspheres after calcination at 800 °C for 2 h are shown in Figure 1. No obvious diffraction peaks are detected and the amorphous structures are defined for the uncalcined precursor (Figure 1a). After 800 °C calcinations, all the diffraction peaks of the hollow microspheres (Figure 1b) can be well indexed to pure cubic Gd2O3 phase corresponding to the standard card (JCPDS No. 43-1014). Furthermore, no additional peaks have been found, indicating the formation of a purely cubic Gd2O3 phase. The strong and sharp diffraction peaks indicate the as-obtained sample is well crystallized. Hence, it can be inferred that the calcination process has a dual function: the formation of hollow crystalline structures from the amorphous precursor layer and elimination of carbon sphere cores.
Figure 1.
XRD patterns of the samples for (a) uncalcined precursor and (b) after calcination at 800 °C for 2 h. The standard data for cubic-phase Gd2O3 (JCPDS No. 43-1014) is presented for comparison.
3.2. FT-IR Analysis
FT-IR spectra were used to investigate the functional groups of the carbon spheres, uncalcined precursor and Gd2O3 hollow microspheres, as shown in Figure 2. The FT-IR spectrum of the carbon spheres (Figure 2a) shows the absorption bands, which are located at about 3426, 2921, 1700, 1637, 1215, 1052 cm−1 and assigned to the vibrations of hydroxyl (–OH), alkane hydrocarbon (C–H), carbonyl (C=O), unsaturated C=C, C–OH and glycosidic –C–O–C– linkage, respectively. The presence of glycosidic –C–O–C– linkage confirms the polymerization reaction of glucose, and the unsaturated C=C groups indicate that a carbonization process has occurred during the formation process of carbon spheres [23,24]. The –OH, C=O on the surface improve the dispersibility and stability of the carbon spheres in aqueous solution. Moreover, the result of EA shows that the as-prepared carbon spheres contain 62.6 wt % of C, 5.063 wt % of H and 32.337 wt % of O, the atomic ratio (C:H:O) is 5:5:2. The FT-IR spectrum of the uncalcined precursor (Figure 2b) is similar to that of the carbon spheres, but weaker in intensity. Figure 2c shows the FT-IR spectrum of the hollow Gd2O3 microspheres. It can be see that all of the functional groups of the carbon spheres and the precursor nearly disappear, indicating the carbon spheres have been completely removed and the transformation from the precursor to the hollow structure product has occurred. Moreover, a new band at 547 cm−1 appears and can be assigned to the Gd–O stretching frequencies of Gd2O3 [25,26]. The result is consistent with that of XRD pattern and confirms the formation of crystalline Gd2O3 hollow microspheres via urea-based homogeneous precipitation and the further calcination.
Figure 2.
FT-IR spectra of (a) carbon spheres; (b) uncalcined precursor; (c) Gd2O3 hollow microspheres.
3.3. TG Analysis
The thermal behaviors of the carbon spheres, uncalcined precursor and Gd2O3 hollow microspheres are investigated by TG measurements in Figure 3. It can be seen from the carbon spheres template (Figure 3a), the weight loss of the template is nearly 100% when the temperature is elevated to 500 °C, revealing that the carbon sphere template was completely removed after calcinations. Three steps of weight loss can be discovered in the TG curves of uncalcined precursor (Figure 3b). The first slow weight loss can be associated with the dehydration and densification of the carbon spheres. The second sharp weight loss may be attributed to the burning of the carbon spheres template between 300 and 600 °C. Beyond 600 °C, the mass of the uncalcined precursor still slowly decreases until 700 °C, which can be assigned to the decomposition of the precursor to crystalline Gd2O3. We can see from the TG curve of Gd2O3 hollow microspheres (Figure 3c) there is almost no weight loss can be observed. This demonstrates that the final product is pure Gd2O3, a result in accordancd with the XRD pattern.
Figure 3.
TG curves of (a) carbon spheres; (b) uncalcined precursor; (c) Gd2O3 hollow microspheres.
3.4. XPS Analysis
The chemical composition of the Gd2O3 hollow microspheres was investigated by XPS in Figure 4. Figure 4a represents the survey XPS spectrum, wherein all the peaks can be assigned to electronic transitions in Gd, O, and C. The high-resolution XPS spectrum of Gd 4d is shown in Figure 4b. The two strong peaks at 142.28 eV and 147.48 eV corresponding to a spin-orbit splitting of 5 eV corresponding respectively to the 4 d5/2 and 4 d3/2 energy levels of Gd. These observation are in good agreement with reports in the literature for Gd2O3 [17,27]. The peaks around 531.08 eV (Figure 4a) can be assigned to the bond between O2− and Gd3+ [28]. From the above result, the pure Gd2O3 hollow microspheres were obtained successfully.
Figure 4.
XPS patterns of Gd2O3 hollow microspheres: (a) XPS wide spectrum; (b) Gd 4d spectrum.
3.5. Morphology and Microstructure
The morphology and microstructure of carbon spheres, uncalcined precursor and Gd2O3 hollow microspheres were analyzed by SEM and TEM technique, as shown in Figure 5 and Figure 6. Figure 5a shows the SEM image of the as-prepared carbon spheres. It can be seen that the carbon spheres template consists of well-dispersed microspheres with a smooth surface and a narrow size distribution in the range, with an average diameter of approximately 600 nm. Figure 5b shows the SEM image of the uncalcined precursor. It is noted that the spherical morphology and good dispersion of the uncalcined precursor remained but the surface is much rougher (Figure 5c) and the particle size is slightly higher than that of the rare carbon spheres due to the formation of an amorphous shell that was composed of a large number of uniform nanoparticles. Figure 5d shows the SEM images of the sample after calcination at 800 °C for 2 h. The obtained sample consists of a large amount of uniform, well-dispersed Gd2O3 hollow microspheres which are similar to the precursor, which implies that the carbon spheres templates essentially determine the shape and the size of the final products. In addition, it can be seen that the average diameter of the Gd2O3 hollow microspheres around 500 nm decrease in comparison with the uncalcined precursor, which may be assigned to the dehydration of the cross-linked structure of the carbon spheres templates and the densification of the precursor on the surface layer when the amorphous Gd(OH)CO3 shell converted to the closely compact Gd2O3 phase during the calcination process. The TEM images of the uncalcined precursor (Figure 6a) show spherical morphology with well-dispersed and solid structure. The TEM images of the sample after calcination at 800 °C for 2 h (Figure 6b) reveal the hollow nature of the Gd2O3 microspheres through the strong contrast between the dark edge and the pale center, and the shell thickness is about 20 nm.
Figure 5.
SEM images of (a) carbon spheres; (b,c) uncalcined precursor; (d) Gd2O3 hollow microspheres.
Figure 6.
TEM images of (a) uncalcined precursor; (b) Gd2O3 hollow microspheres.
3.6. BET Surface Area Analysis
Figure 7 shows the N2 adsorption-desorption isotherm and pore size distribution of the Gd2O3 hollow microspheres. The Brunauer-Emmett-Telletr (BET) surface area is 15.2 m2/g, and the pore volume is 0.051 cm3/g, which is not particularly large since the material is predominantly macroporous with thin shells. The pore size distribution is centred at 3.85 nm as calculated using the Barrett-Joyner-Halenda (BJH) method from the absorption branch (inset in Figure 7). The pores are possibly attributable to the interstitial spaces between nanoparticles in the shell. The result reveals that the Gd2O3 hollow microspheres have a mesoporous pore shell, which is beneficial to light harvesting. Table 1 summarizes the results of different samples calculated based on N2 adsorption-desorption isotherms. From Table 1 we can see that the specific surface areas and pore volumes of Gd2O3 hollow microspheres are greater than those of Gd2O3 powder.
Figure 7.
N2 absorption-desorption isotherms of Gd2O3 hollow microspheres. Inset: pore size distribution of Gd2O3 hollow microspheres.
Table 1.
Surface area measurement and pore volume of the different samples.
3.7. Proposed Formation Process
As shown in Scheme 1, based on the experimental result and analysis, the possible mechanism for the formation of the Gd2O3 hollow microspheres can be mainly divided into three stages. Firstly, the carbon spheres templates were formed by the polymerization of glucose molecules and further dehydration of cross-linked polymer by thermal treatment. Secondly, the core-shell structured precursor was obtained by the homogeneous precipitation of the rare earth ions on the surface of the carbon spheres templates using urea as the precipitation agent. FT-IR spectrum confirms the presence of abundant hydroxyl groups on the carbon spheres, which may have a good affinity for Gd3+, OH− and CO32− (OH− and CO32− result from the hydrolysis of urea) in aqueous solution. Therefore, the amorphous Gd(OH)CO3 nuclei firstly formed in the reaction media may be easily absorbed onto the surface of the carbon spheres. With the reaction proceeding, the nuclei continued to grow and served as the seeds for the growth of Gd(OH)CO3 nanoparticles on the surface of the carbon spheres templates, resulting in the core-shell structured composite particles. Finally, the carbon spheres templates were burned out and the amorphous Gd(OH)CO3 particles were decomposed into crystalline Gd2O3 during the calcination process, resulting in the formation of Gd2O3 hollow microspheres.
Scheme 1.
Schematic illustration of the overall formation process of Gd2O3 hollow microspheres.
3.8. Photooxidation Activity of Gd2O3 Hollow Microspheres
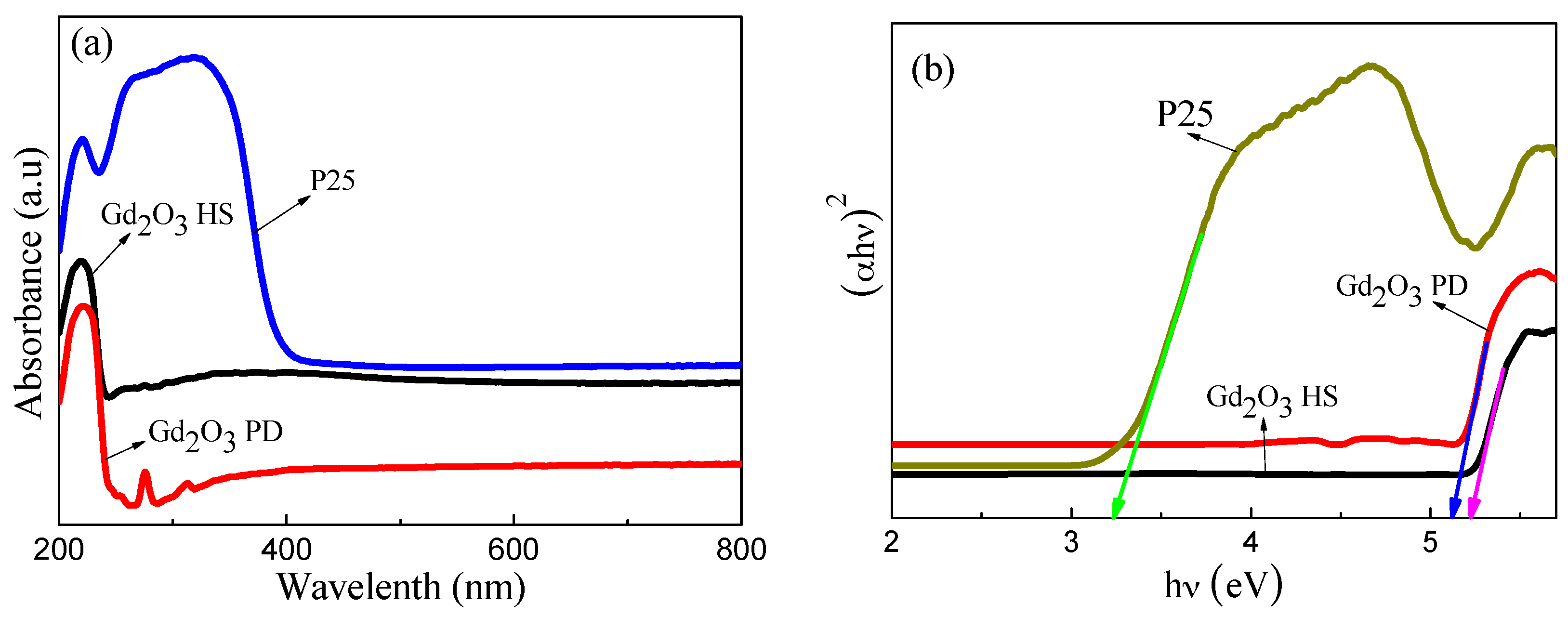
The optical properties of Gd2O3 hollow microspheres (Gd2O3 HS), Gd2O3 powder (Gd2O3 PD) and P25 (Degussa, Shanghai, China) were examined by UV-visible spectroscopy as shown in Figure 8a. A sharp absorption peak at 220 nm is observed in these three catalysts, two small peaks at 275 nm and 313 nm appeared in Gd2O3 PD but are not found in Gd2O3 HS, and a significant increase in the absorption at wavelengths less than 400 nm can be assigned to the intrinsic absorption of P25. The band gap energy of these catalysts could be calculated according to the following formula [18]:
where h, A, α, υ, and Eg are the Plank constant, a constant, absorption coefficient, light frequency, and band gap, respectively. n is a constant associated with the different types of electronic transitions (for direct band gap allowed transition, n = 1/2). The band gap of Gd2O3 HS, Gd2O3 PD and P25 were calculated to be 5.23 eV, 5.12 eV and 3.23 eV as shown in Figure 8b. The smaller band gap energy means a wider response range of P25, and the sample can absorb more photons, which would contribute to an enhanced photocatalytic activity for P25 [29]. The large energy gap means a narrow response range less than 230 nm of UV light of Gd2O3, and the sample can absorb few photons.
αhυ = A(hυ − Eg)n
Figure 8.
UV-Vis spectrum (a) and band gap calculation (b) of the different catalysts.
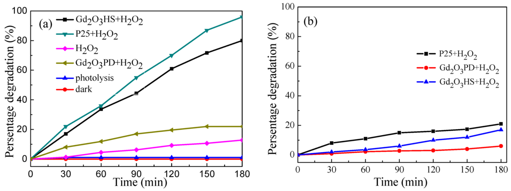
The photo-degradation of MO was investigated under simulated solar light and visible light (λ > 420 nm). Compared with Figure 9a,b, the photo-degradation of MO under visible light for Gd2O3 hollow microspheres, Gd2O3 powder and P25 can be seen. Figure 9a shows the degradation of MO under similated solar light for the dark absorption test, photolysis test (no catalyst), H2O2, Gd2O3 hollow microspheres, Gd2O3 powder and P25. As can be seen from the results, the effect of adsorbtion and photolysis of catalyst on the decomposition of MO was negligible during the test period. Single H2O2 was capable of degrading MO under simulated solar light, because of the formation of hydroxyl radicals via following process. Moreover, for Gd2O3 hollow microspheres, the photo-degradation of MO is expected not to be promoted if H2O2 was not added, so the photo-degradation of MO can be regarded as photooxidation.
H2O2 + hυ → 2HO•
Figure 9.
The degradation of MO under (a) simulated solar light and (b) visible light.
It can also be indicated that the photo-degradation effect of MO for Gd2O3 hollow microspheres was similar to P25, although the photo-degradation mechanism of Gd2O3 is different from P25 as shown in Figure 8a,b. The photocatalytic activity of P25 toward MO degradation lies in the generation of conduction-band electrons (e−) and valence-band holes (h+) when irradiated with UV-light existence; the direct oxidation by holes and indirect oxidation by produced hydroxyl radicals are responsible for MO degradation [30,31]. However, for Gd2O3 hollow microspheres, which can activate H2O2 molecules to produce hydroxyl radicals [32], the hydroxyl radicals oxidated MO, and the high surface area of Gd2O3 hollow microspheres is more propitious to the absorption of gaseous products of the initial decomposition. It is also shown that Gd2O3 HS have higher photooxidation activity than Gd2O3 PD, which may be due to the increase of the specific surface area and hollow structure of Gd2O3 hollow spheres.
4. Conclusions
Uniform Gd2O3 hollow microspheres 500 nm in diameter and 20 nm in shell thickness have been successfully prepared by employing carbon spheres as a sacrificial template. The composite precursor was synthesized via urea-based homogenous precipitation on the surface of the carbon spheres. Then, subsequent calcination removed the carbon spheres and converted the amorphous shells to crystalline Gd2O3, resulting in the formation of Gd2O3 hollow microspheres. The as-prepared Gd2O3 hollow microspheres exhibited a superior photooxidation activity for the degradation of MO under simulated solar light irradiation than the Gd2O3 powder and an effect similar to P25 photocatalysts, significantly broadening their potential for many practical applications.
Acknowledgments
This work was supported by the National Natural Science Foundation of China (grant number 51273154), the Natural Science Foundation of Hubei (grant number 2011CBD220), and the Graduate Student Education Innovation Foundation of Wuhan Institute of Technology (grant number CX2015002).
Author Contributions
Xueliang Jiang conceived and supervised the project, Lu Yu carried out the experiments and write the manuscript, Xueliang Jiang and Chu Yao revised the manuscript, Fuqing Zhang, Jiao Zhang and Chenjian Li contributed their ideas to this study and to the preparation of this manuscript.
Conflicts of Interest
The authors declare no conflict of interest.
References
- Kang, X.; Yang, D.; Ma, P.; Dai, Y.; Shang, M.; Geng, D.; Cheng, Z.; Lin, J. Fabrication of hollow and porous structured GdVO4: Dy3+ nanospheres as anticancer drug carrier and MRI contrast agent. Langmuir 2013, 29, 1286–1294. [Google Scholar] [CrossRef] [PubMed]
- Ren, H.; Zhang, L.; Wang, T.; Li, L.; Su, Z.; Wang, C. Universal and facile synthesis of multicolored upconversion hollow nanospheres using novel poly(acrylic acid sodium salt) microspheres as templates. Chem. Commun. 2013, 49, 6036–6038. [Google Scholar]
- Zhang, L.; Yin, M.; You, H.; Yang, M.; Song, Y.; Huang, Y. Mutifuntional GdPO4: Eu3+ Hollow Spheres: Synthesis and Magnetic and Luminescent Properties. Inorg. Chem. 2011, 50, 10608–10613. [Google Scholar] [CrossRef] [PubMed]
- Li, W.; Zheng, X.; Li, F.; Wang, J. Facile synthetic route to hollow gadolinium oxide spheres with tunable thickness. Micro Nano Lett. 2012, 7, 1267–1269. [Google Scholar] [CrossRef]
- Zhang, L.; Sun, Y.; Jiu, H.; Wang, Y.; Fu, Y.; Zhang, J. Facile synthesis and luminescence properties of Gd2O3: Tb hollow microspheres. Micro Nano Lett. 2011, 6, 927–931. [Google Scholar] [CrossRef]
- Chen, Y.; Chen, H.; Zeng, D.; Tian, Y.; Chen, F.; Feng, J.; Shi, J. Core/shell structured hollow mesoporous nanocapsules: A potential platform for simultaneous cell imaging and anticancer drug delivery. ACS Nano 2010, 4, 6001–6013. [Google Scholar] [PubMed]
- Wang, B.; Chen, J.S.; Wu, H.B.; Wang, Z.; Lou, X.W. Quasiemulsion-templated formation of α-Fe2O3 hollow spheres with enhanced lithium storage properties. J. Am. Chem. Soc. 2011, 133, 17146–17148. [Google Scholar] [PubMed]
- Tan, C.; Liu, Y.; Li, W.; Zhang, Y.; Han, Y. Uniform lanthanide-doped Y2O3 hollow microspheres: Controlled synthesis and luminescence properties. Mater. Sci. Eng. B 2011, 176, 1251–1256. [Google Scholar] [CrossRef]
- Yang, Z.-C.; Tang, C.-H.; Gong, H.; Li, X.; Wang, J. Hollow spheres of nanocarbon and their manganese dioxide hybrids derived from soft template for supercapacitor application. J. Power Sources 2013, 240, 713–720. [Google Scholar] [CrossRef]
- Tomioka, T.; Fuji, M.; Takahashi, M.; Takai, C.; Utsuno, M. Hollow Structure Formation Mechanism of Calcium Carbonate Particles Synthesized by the CO2 Bubbling Method. Cryst. Growth Des. 2012, 12, 771–776. [Google Scholar] [CrossRef]
- Shi, X.; Pan, L.; Chen, S.; Xiao, Y.; Liu, Q.; Yuan, L.; Sun, J.; Cai, L. Zn(II)-PEG 300 globules as soft template for the synthesis of hexagonal ZnO micronuts by the hydrothermal reaction method. Langmuir 2009, 25, 5940–5948. [Google Scholar] [CrossRef] [PubMed]
- Liu, Y.; Yang, P.; Wang, W.; Dong, H.; Lin, J. Fabrication and photoluminescence properties of hollow Gd2O3: Ln (Ln = Eu3+, Sm3+) spheres via a sacrificial template method. CrystEngComm 2010, 12, 3717–3723. [Google Scholar] [CrossRef]
- Xiao, Y.; Gao, Z.-Y.; Wu, D.-P.; Jiang, Y.; Liu, N.; Jiang, K. Synthesis and Photoluminescence Properties of Uniform Y2O3: Eu3+ Hollow Spheres with Tunable Shell Thickness. Chem. Res. Chin. Univ. 2011, 27, 919–923. [Google Scholar]
- Xiao, H.; Li, P.; Jia, F.; Zhang, L. Nonaqueous Sol-Gel Synthesis of Nanostructured Sm2O3, Gd2O3, Dy2O3, and Gd2O3: Eu3+ Phosphor. J. Phys. Chem. C 2009, 113, 21034–21041. [Google Scholar] [CrossRef]
- Huang, C.-C.; Liu, T.-Y.; Su, C.-H.; Lo, Y.-W.; Chen, J.-H.; Yeh, C.-S. Superparamagnetic hollow and paramagnetic porous Gd2O3 particles. Chem. Mater. 2008, 20, 3840–3848. [Google Scholar] [CrossRef]
- Balestrieri, D.; Philipponneau, Y.; Decroix, G.; Jorand, Y.; Fantozzi, G. Pseudo-plasticity of monoclinic Gd2O3. J. Eur. Ceram. Soc. 1998, 18, 1073–1077. [Google Scholar] [CrossRef]
- Majeed, S.; Shivashankar, S. Rapid, microwave-assisted synthesis of Gd2O3 and Eu: Gd2O3 nanocrystals: Characterization, magnetic, optical and biological studies. J. Mater. Chem. B 2014, 2, 5585–5593. [Google Scholar] [CrossRef]
- Boopathi, G.; Raj, S.G.; Kumar, G.R.; Mohan, R. A co-precipitation preparation, crystal structure and photoluminescent properties of Er5%: Gd2O3 nanorods. Solid State Phys. 2015, 1667, 050085. [Google Scholar]
- Jia, G.; Liu, K.; Zheng, Y.; Song, Y.; Yang, M.; You, H. Highly Uniform Gd(OH)3 and Gd2O3: Eu3+ Nanotubes: Facile Synthesis and Luminescence Properties. J. Phys. Chem. C 2009, 113, 6050–6055. [Google Scholar] [CrossRef]
- Ahren, M.; Selegard, L.; Klasson, A.; Soderlind, F.; Abrikossova, N.; Skoglund, C.; Bengtsson, T.; Engstrom, M.; Kall, P.O.; Uvdal, K. Synthesis and characterization of PEGylated Gd2O3 nanoparticles for MRI contrast enhancement. Langmuir 2010, 26, 5753–5762. [Google Scholar] [CrossRef] [PubMed]
- Cui, Y.; Fan, S.; Zhang, Y. Study on Photocatalytic Degradation of Methyl Orange by Cerium-Doped TiO2. Chin. J. Rare Met. 2006, 30, 469–474. [Google Scholar]
- Kumar, R.; Kumar, G.; Akhtar, M.S.; Umar, A. Sonophotocatalytic degradation of methyl orange using ZnO nano-aggregates. J. Alloy. Compd. 2015, 629, 167–172. [Google Scholar] [CrossRef]
- Sakaki, T.; Shibata, M.; Miki, T.; Hirosue, H.; Hayashi, N. Reaction model of cellulose decomposition in near-critical water and fermentation of products. Bioresour. Technol. 1996, 58, 197–202. [Google Scholar] [CrossRef]
- Ni, D.; Wang, L.; Sun, Y.; Guan, Z.; Yang, S.; Zhou, K. Amphiphilic hollow carbonaceous microspheres with permeable shells. Angew. Chem. Int. Ed. 2010, 49, 4223–4227. [Google Scholar] [CrossRef] [PubMed]
- Dhananjaya, N.; Nagabhushana, H.; Sharma, S.; Rudraswamy, B.; Shivakumara, C.; Nagabhushana, B. Hydrothermal synthesis of Gd2O3: Eu3+ nanophosphors: Effect of surfactant on structural and luminescence properties. J. Alloy. Compd. 2014, 587, 755–762. [Google Scholar] [CrossRef]
- Tamrakar, R.K.; Bisen, D. Thermoluminescence studies of ultraviolet and gamma irradiated erbium (III)-and ytterbium (III)-doped gadolinium oxide phosphors. Mater. Sci. Semicond. Process. 2015, 33, 169–188. [Google Scholar] [CrossRef]
- Liu, J.; Tian, X.; Chen, H.; Shao, Y.; Yang, G.; Chen, D. Near-infrared to visible and near-infrared upconversion of monoclinic Gd2O3: Yb3+/Tm3+ nanoparticles prepared by laser ablation in liquid for fluorescence imaging. Appl. Surf. Sci. 2015, 348, 60–65. [Google Scholar] [CrossRef]
- Raiser, D.; Deville, J. Study of XPS photoemission of some gadolinium compounds. J. Electron Spectrosc. Relat. Phenom. 1991, 57, 91–97. [Google Scholar] [CrossRef]
- Yu, J.; Yu, H.; Cheng, B.; Zhou, M.; Zhao, X. Enhanced photocatalytic activity of TiO2 powder (P25) by hydrothermal treatment. J. Mol. Catal. A Chem. 2006, 253, 112–118. [Google Scholar] [CrossRef]
- Yin, M.; Li, Z.; Kou, J.; Zou, Z. Mechanism investigation of visible light-induced degradation in a heterogeneous TiO2/Eosin Y/Rhodamine B system. Environ. Sci. Technol. 2009, 43, 8361–8366. [Google Scholar] [CrossRef] [PubMed]
- Palominos, R.; Freer, J.; Mondaca, M.; Mansilla, H. Evidence for hole participation during the photocatalytic oxidation of the antibiotic flumequine. J. Photochem. Photobiol. A Chem. 2008, 193, 139–145. [Google Scholar] [CrossRef]
- Lousada, C.M.; Yang, M.; Nilsson, K.; Jonsson, M. Catalytic decomposition of hydrogen peroxide on transition metal and lanthanide oxides. J. Mol. Catal. A Chem. 2013, 379, 178–184. [Google Scholar] [CrossRef]
© 2016 by the authors; licensee MDPI, Basel, Switzerland. This article is an open access article distributed under the terms and conditions of the Creative Commons Attribution (CC-BY) license (http://creativecommons.org/licenses/by/4.0/).









