DFT Investigation of a Direct Z-Scheme Photocatalyst for Overall Water Splitting: Janus Ga2SSe/Bi2O3 Van Der Waals Heterojunction
Abstract
1. Introduction
2. Computational Methods
3. Results and Discussion
3.1. Structural Configurations and Stability of the Heterojunction
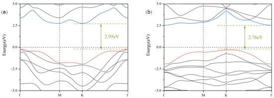
3.2. Electronic Properties
3.3. Photocatalytic Water-Splitting Properties
3.4. Optical Properties
4. Conclusions
Author Contributions
Funding
Institutional Review Board Statement
Informed Consent Statement
Data Availability Statement
Acknowledgments
Conflicts of Interest
Abbreviations
| DFT | Density functional theory |
| vdW | Van der Waals |
| STH | Solar-to-hydrogen |
| TMCs | Transition metal chalcogenides |
| VASP | Vienna Ab initio Simulation Package |
| PBE | Perdew–Burke–Ernzerhof |
| GGA | Generalized gradient approximation |
| PAW | Projector-augmented waves |
| HSE06 | Heyd–Scuseria–Ernzherof |
| AIMD | Ab initio molecular dynamics |
| VBM | Valence band maximum |
| CBM | Conduction band minimum |
| CDD | Charge density difference |
| OER | Oxygen evolution reaction |
| HER | Hydrogen evolution reaction |
References
- Panwar, N.L.; Kaushik, S.C.; Kothari, S. Role of Renewable Energy Sources in Environmental Protection: A Review. Renew. Sustain. Energy Rev. 2011, 15, 1513–1524. [Google Scholar] [CrossRef]
- Armaroli, N.; Balzani, V. The Future of Energy Supply: Challenges and Opportunities. Angew. Chem. Int. Ed. 2007, 46, 52–66. [Google Scholar] [CrossRef]
- Ishaq, H.; Dincer, I.; Crawford, C. A Review on Hydrogen Production and Utilization: Challenges and Opportunities. Int. J. Hydrogen Energy 2022, 47, 26238–26264. [Google Scholar] [CrossRef]
- Navarro, R.M.; Sánchez-Sánchez, M.C.; Alvarez-Galvan, M.C.; Valle, F.D.; Fierro, J.L.G. Hydrogen Production from Renewable Sources: Biomass and Photocatalytic Opportunities. Energy Environ. Sci. 2009, 2, 35–54. [Google Scholar] [CrossRef]
- Chen, X.; Shen, S.; Guo, L.; Mao, S.S. Semiconductor-Based Photocatalytic Hydrogen Generation. Chem. Rev. 2010, 110, 6503–6570. [Google Scholar] [CrossRef]
- Li, H.; Zhou, Y.; Tu, W.; Ye, J.; Zou, Z. State-of-the-Art Progress in Diverse Heterostructured Photocatalysts Toward Promoting Photocatalytic Performance. Adv. Funct. Mater. 2015, 25, 998–1013. [Google Scholar] [CrossRef]
- Hoang, S.; Gao, P. Nanowire Array Structures for Photocatalytic Energy Conversion and Utilization: A Review of Design Concepts, Assembly and Integration, and Function Enabling. Adv. Energy Mater. 2016, 6, 1600683. [Google Scholar] [CrossRef]
- Chen, F.; Ma, T.; Zhang, T.; Zhang, Y.; Huang, H. Atomic-Level Charge Separation Strategies in Semiconductor-Based Photocatalysts. Adv. Mater. 2021, 33, 2005256. [Google Scholar] [CrossRef]
- Marschall, R. Semiconductor Composites: Strategies for Enhancing Charge Carrier Separation to Improve Photocatalytic Activity. Adv. Funct. Mater. 2014, 24, 2421–2440. [Google Scholar] [CrossRef]
- Colmenares, J.C.; Luque, R. Heterogeneous Photocatalytic Nanomaterials: Prospects and Challenges in Selective Transformations of Biomass-Derived Compounds. Chem. Soc. Rev. 2014, 43, 765–778. [Google Scholar] [CrossRef]
- Li, Y.; Gao, C.; Long, R.; Xiong, Y. Photocatalyst Design Based on Two-Dimensional Materials. Mater. Today Chem. 2019, 11, 197–216. [Google Scholar] [CrossRef]
- Liu, G.; Zhen, C.; Kang, Y.; Wang, L.; Cheng, H.-M. Unique Physicochemical Properties of Two-Dimensional Light Absorbers Facilitating Photocatalysis. Chem. Soc. Rev. 2018, 47, 6410–6444. [Google Scholar] [CrossRef] [PubMed]
- Zhuang, G.; Yan, J.; Wen, Y.; Zhuang, Z.; Yu, Y. Two-Dimensional Transition Metal Oxides and Chalcogenides for Advanced Photocatalysis: Progress, Challenges, and Opportunities. Sol. RRL 2021, 5, 2000403. [Google Scholar] [CrossRef]
- Yuan, H.; Kong, L.; Li, T.; Zhang, Q. A Review of Transition Metal Chalcogenide/Graphene Nanocomposites for Energy Storage and Conversion. Chin. Chem. Lett. 2017, 28, 2180–2194. [Google Scholar] [CrossRef]
- Zhu, Q.; Xu, Q.; Du, M.; Zeng, X.; Zhong, G.; Qiu, B.; Zhang, J. Recent Progress of Metal Sulfide Photocatalysts for Solar Energy Conversion. Adv. Mater. 2022, 34, 2202929. [Google Scholar] [CrossRef]
- Haque, F.; Daeneke, T.; Kalantar-zadeh, K.; Ou, J.Z. Two-Dimensional Transition Metal Oxide and Chalcogenide-Based Photocatalysts. Nano-Micro Lett. 2018, 10, 23. [Google Scholar] [CrossRef]
- Hao, H.; Lang, X. Metal Sulfide Photocatalysis: Visible-Light-Induced Organic Transformations. ChemCatChem 2019, 11, 1378–1393. [Google Scholar] [CrossRef]
- Alexander, B.D.; Kulesza, P.J.; Rutkowska, I.; Solarska, R.; Augustynski, J. Metal Oxide Photoanodes for Solar Hydrogen Production. J. Mater. Chem. 2008, 18, 2298–2303. [Google Scholar]
- Acar, C.; Dincer, I.; Naterer, G.F. Review of Photocatalytic Water-splitting Methods for Sustainable Hydrogen Production. Int. J. Energy Res. 2016, 40, 1449–1473. [Google Scholar]
- Yang, F.; Boulet, P.; Record, M.-C. Electronic Structure and Photocatalytic Performance of Janus MoSSe/Ga2SSe van Der Waals Heterostructures. Int. J. Hydrogen Energy 2024, 73, 536–546. [Google Scholar] [CrossRef]
- Da Silva, R.; Barbosa, R.; Mançano, R.R.; Durães, N.; Pontes, R.B.; Miwa, R.H.; Fazzio, A.; Padilha, J.E. Metal Chalcogenides Janus Monolayers for Efficient Hydrogen Generation by Photocatalytic Water Splitting. ACS Appl. Nano Mater. 2019, 2, 890–897. [Google Scholar] [CrossRef]
- Riente, P.; Fianchini, M.; Llanes, P.; Pericàs, M.A.; Noël, T. Shedding Light on the Nature of the Catalytically Active Species in Photocatalytic Reactions Using Bi2O3 Semiconductor. Nat. Commun. 2021, 12, 625. [Google Scholar] [CrossRef] [PubMed]
- Li, L.; Luo, C.; Chen, X.; Chu, N.; Li, L.; Chao, M.; Yan, L. A Novel Multifunctional Photocatalytic Separation Membrane Based on Single-Component Seaweed-Like g-C3N4. Adv Funct. Mater. 2023, 33, 2213974. [Google Scholar] [CrossRef]
- Li, Y.; Liu, Z.; Li, J.; Ruan, M.; Guo, Z. An Effective Strategy of Constructing a Multi-Junction Structure by Integrating a Heterojunction and a Homojunction to Promote the Charge Separation and Transfer Efficiency of WO3. J. Mater. Chem. A 2020, 8, 6256–6267. [Google Scholar] [CrossRef]
- Deng, X.; Wang, D.; Li, H.; Jiang, W.; Zhou, T.; Wen, Y.; Yu, B.; Che, G.; Wang, L. Boosting Interfacial Charge Separation and Photocatalytic Activity of 2D/2D g-C3N4/ZnIn2S4 S-Scheme Heterojunction under Visible Light Irradiation. J. Alloys Compd. 2022, 894, 162209. [Google Scholar] [CrossRef]
- Yin, K.; Yan, Z.; Fang, N.; Yu, W.; Chu, Y.; Shu, S.; Xu, M. The Synergistic Effect of Surface Vacancies and Heterojunctions for Efficient Photocatalysis: A Review. Sep. Purif. Technol. 2023, 325, 124636. [Google Scholar] [CrossRef]
- Liu, C.; Dai, H.; Tan, C.; Pan, Q.; Hu, F.; Peng, X. Photo-Fenton Degradation of Tetracycline over Z-Scheme Fe-g-C3N4/Bi2WO6 Heterojunctions: Mechanism Insight, Degradation Pathways and DFT Calculation. Appl. Catal. B Environ. 2022, 310, 121326. [Google Scholar] [CrossRef]
- Guo, H.; Niu, C.-G.; Huang, D.-W.; Tang, N.; Liang, C.; Zhang, L.; Wen, X.-J.; Yang, Y.; Wang, W.-J.; Zeng, G.-M. Integrating the Plasmonic Effect and P-n Heterojunction into a Novel Ag/Ag2O/PbBiO2Br Photocatalyst: Broadened Light Absorption and Accelerated Charge Separation Co-Mediated Highly Efficient Visible/NIR Light Photocatalysis. Chem. Eng. J. 2019, 360, 349–363. [Google Scholar] [CrossRef]
- Afroz, K.; Moniruddin, M.; Bakranov, N.; Kudaibergenov, S.; Nuraje, N. A Heterojunction Strategy to Improve the Visible Light Sensitive Water Splitting Performance of Photocatalytic Materials. J. Mater. Chem. A 2018, 6, 21696–21718. [Google Scholar] [CrossRef]
- Kumar, R.; Das, D.; Singh, A.K. C2N/WS2 van Der Waals Type-II Heterostructure as a Promising Water Splitting Photocatalyst. J. Catal. 2018, 359, 143–150. [Google Scholar] [CrossRef]
- Wang, C.-H.; Qin, D.-D.; Shan, D.-L.; Gu, J.; Yan, Y.; Chen, J.; Wang, Q.-H.; He, C.-H.; Li, Y.; Quan, J.-J.; et al. Assembly of G-C3N4-Based Type II and Z-Scheme Heterojunction Anodes with Improved Charge Separation for Photoelectrojunction Water Oxidation. Phys. Chem. Chem. Phys. 2017, 19, 4507–4515. [Google Scholar] [CrossRef] [PubMed]
- Shabbir, A.; Sardar, S.; Mumtaz, A. Mechanistic Investigations of Emerging Type-II, Z-Scheme and S-Scheme Heterojunctions for Photocatalytic Applications—A Review. J. Alloys Compd. 2024, 1003, 175683. [Google Scholar] [CrossRef]
- Xiao, W.-Z.; Xu, L.; Rong, Q.-Y.; Dai, X.-Y.; Cheng, C.-P.; Wang, L.-L. Two-Dimensional H-TiO2/MoS2(WS2) van Der Waals Heterostructures for Visible-Light Photocatalysis and Energy Conversion. Appl. Surf. Sci. 2020, 504, 144425. [Google Scholar] [CrossRef]
- Orio, M.; Pantazis, D.A.; Neese, F. Density Functional Theory. Photosynth. Res. 2009, 102, 443–453. [Google Scholar] [CrossRef]
- Zhang, W.X.; Hou, J.T.; Bai, M.; He, C.; Wen, J.R. Construction of Novel ZnO/Ga2SSe (GaSe) vdW Heterostructures as Efficient Catalysts for Water Splitting. Appl. Surf. Sci. 2023, 634, 157648. [Google Scholar] [CrossRef]
- Li, W.; Liang, Y.; Li, X.; Ma, B.; Xiong, J.; Xie, Q. ZrS2/Ga2SSe Heterojunction: A Direct Z-Scheme Heterojunction with Excellent Photocatalytic Performance across the Entire pH Range and High Solar-to-Hydrogen Efficiency. Int. J. Hydrogen Energy 2024, 94, 166–178. [Google Scholar] [CrossRef]
- Khalid, N.R.; Israr, Z.; Tahir, M.B.; Iqbal, T. Highly Efficient Bi2O3/MoS2 p-n Heterojunction Photocatalyst for H2 Evolution from Water Splitting. Int. J. Hydrogen Energy 2020, 45, 8479–8489. [Google Scholar] [CrossRef]
- Gao, J.; Rao, S.; Yu, X.; Wang, L.; Xu, J.; Yang, J.; Liu, Q. Dimensional-Matched Two Dimensional/Two Dimensional TiO2/Bi2O3 Step-Scheme Heterojunction for Boosted Photocatalytic Performance of Sterilization and Water Splitting. J. Colloid Interface Sci. 2022, 628, 166–178. [Google Scholar] [CrossRef]
- Hohenberg, P.; Kohn, W. Inhomogeneous Electron Gas. Phys. Rev. 1964, 136, B864. [Google Scholar] [CrossRef]
- Kohn, W.; Sham, L.J. Self-Consistent Equations Including Exchange and Correlation Effects. Phys. Rev. 1965, 140, A1133. [Google Scholar] [CrossRef]
- Kresse, G.; Hafner, J. Ab initio molecular dynamics for liquid metals. Phys. Rev. B 1993, 47, 558. [Google Scholar] [CrossRef]
- Kresse, G.; Hafner, J. Ab initio molecular-dynamics simulation of the liquid-metal–amorphous-semiconductor transition in germanium. Phys. Rev. B 1994, 49, 14251. [Google Scholar] [CrossRef]
- Kresse, G.; Furthmüller, J. Efficiency of ab-initio total energy calculations for metals and semiconductors using a plane-wave basis set. Comput. Mat. Sci. 1996, 6, 15. [Google Scholar] [CrossRef]
- Kresse, G.; Furthmüller, J. Efficient iterative schemes for ab initio total-energy calculations using a plane-wave basis set. Phys. Rev. B 1996, 54, 11169. [Google Scholar] [CrossRef]
- Perdew, J.P.; Burke, K.; Ernzerhof, M. Generalized Gradient Approximation Made Simple. Phys. Rev. Lett. 1996, 77, 3865–3868. [Google Scholar] [CrossRef] [PubMed]
- Blöchl, P.E. Projector augmented wave method. Phys. Rev. B 1994, 50, 17953. [Google Scholar] [CrossRef]
- Kresse, G.; Joubert, D. From Ultrasoft Pseudopotentials to the Projector Augmented-Wave Method. Phys. Rev. B 1999, 59, 1758–1775. [Google Scholar] [CrossRef]
- Moellmann, J.; Grimme, S. DFT-D3 Study of Some Molecular Crystals. J. Phys. Chem. C 2014, 118, 7615–7621. [Google Scholar] [CrossRef]
- Heyd, J.; Scuseria, G.E.; Ernzerhof, M. Hybrid functionals based on a screened Coulomb potential. J. Chem. Phys. 2003, 118, 8207–8215. [Google Scholar] [CrossRef]
- Heyd, J.; Peralta, J.E.; Scuseria, G.E.; Martin, R.L. Energy band gaps and lattice parameters evaluated with the Heyd-Scuseria-Ernzerhof screened hybrid functional. J. Chem. Phys. 2005, 123, 174101. [Google Scholar] [CrossRef]
- Tang, W.; Sanville, E.; Henkelman, G. A Grid-Based Bader Analysis Algorithm without Lattice Bias. J. Phys. Condens. Matter 2009, 21, 084204. [Google Scholar] [CrossRef] [PubMed]
- Bui, H.D.; Jappor, H.R.; Hieu, N.N. Tunable Optical and Electronic Properties of Janus Monolayers Ga2SSe, Ga2STe, and Ga2SeTe as Promising Candidates for Ultraviolet Photodetectors Applications. Superlattices Microstruct. 2019, 125, 1–7. [Google Scholar] [CrossRef]
- Pham, K.D. First Principles Prediction of Electronic, Mechanical, Transport and Optical Properties of the Silicane/Ga2SSe Heterostructure. RSC Adv. 2022, 12, 31935–31942. [Google Scholar] [CrossRef] [PubMed]
- Gurunathan, K. Photocatalytic Hydrogen Production Using Transition Metal Ions-Doped γ-Bi2O3 Semiconductor Particles. Int. J. Hydrogen Energy 2004, 29, 933–940. [Google Scholar] [CrossRef]
- Idrees, M.; Din, H.U.; Rehman, S.U.; Shafiq, M.; Saeed, Y.; Bui, H.D.; Nguyen, C.V.; Amin, B. Electronic Properties and Enhanced Photocatalytic Performance of van Der Waals Heterostructures of ZnO and Janus Transition Metal Dichalcogenides. Phys. Chem. Chem. Phys. 2020, 22, 10351–10359. [Google Scholar] [CrossRef]
- Li, H.; Ye, L.; Xiong, Y.; Zhang, H.; Zhou, S.; Li, W. Tunable Electronic Properties of BSe–MoS2/WS2 Heterostructures for Promoted Light Utilization. Phys. Chem. Chem. Phys. 2021, 23, 10081–10096. [Google Scholar] [CrossRef]
- Yang, H.; Li, J.; Yu, L.; Huang, B.; Ma, Y.; Dai, Y. A Theoretical Study on the Electronic Properties of In-Plane CdS/ZnSe Heterostructures: Type-II Band Alignment for Water Splitting. J. Mater. Chem. A 2018, 6, 4161–4166. [Google Scholar] [CrossRef]
- Fujimoto, Y.; Saito, S. Interlayer distances and band-gap tuning of hexagonal boron-nitride bilayers. J. Ceram. Soc. Jpn. 2016, 124, 184. [Google Scholar] [CrossRef]
- Luo, Y.; Zhang, S.; Chen, W.; Jia, Y. Interlayer coupling effects on electronic properties of the phosphorene/h-BN van der Walls heterostructure: A first principles investigation. Phys. B 2018, 534, 51. [Google Scholar] [CrossRef]
- Xu, D.; Zhai, B.; Gao, Q.; Wang, T.; Li, J.; Xia, C. Interface-controlled band alignment transition and optical properties of Janus MoSSe/GaN vdW heterobilayers. J. Phys. D 2019, 53, 055104. [Google Scholar] [CrossRef]
- Chen, J.; Ma, K.; Xiao, J.; Xu, L.; Dai, X.; Wang, Z. Modulation of the electronic properties of blue phosphorene/stanene heterostructures by electric field and interlayer distance. Result Phys. 2022, 34, 105252. [Google Scholar] [CrossRef]
- Shahid, I.; Ali, A.; Zhang, J.-M.; Muhammad, I.; Ahmad, I.; Kabir, F. Two Dimensional MoSSe/BSe vdW Heterostructures as Potential Photocatalysts for Water Splitting with High Carrier Mobilities. Int. J. Hydrogen Energy 2021, 46, 14247–14258. [Google Scholar] [CrossRef]
- Li, Z.H.; Han, J.N.; Cao, S.G.; Zhang, Z.H. Graphene/MoSi2X4: A Class of van Der Waals Heterojunctions with Unique Mechanical and Optical Properties and Controllable Electrical Contacts. Appl. Surf. Sci. 2023, 614, 156095. [Google Scholar] [CrossRef]
- Maruska, H.P.; Ghosh, A.K. Photocatalytic Decomposition of Water at Semiconductor Electrodes. Sol. Energy 1978, 20, 443–458. [Google Scholar] [CrossRef]
- He, C.; Zhang, J.H.; Zhang, W.X.; Li, T.T. Type-II InSe/g-C3N4 Heterostructure as a High-Efficiency Oxygen Evolution Reaction Catalyst for Photoelectrochemical Water Splitting. J. Phys. Chem. Lett. 2019, 10, 3122–3128. [Google Scholar] [CrossRef]
- Li, X.; Li, Z.; Yang, J. Proposed Photosynthesis Method for Producing Hydrogen from Dissociated Water Molecules Using Incident Near-Infrared Light. Phys. Rev. Lett. 2014, 112, 018301. [Google Scholar] [CrossRef]
- Olmon, R.L.; Slovick, B.; Johnson, T.W.; Shelton, D.; Oh, S.-H.; Boreman, G.D.; Raschke, M.B. Optical Dielectric Function of Gold. Phys. Rev. B 2012, 86, 235147. [Google Scholar] [CrossRef]
- Ma, X.; Wu, X.; Wang, H.; Wang, Y. A Janus MoSSe Monolayer: A Potential Wide Solar-Spectrum Water-Splitting Photocatalyst with a Low Carrier Recombination Rate. J. Mater. Chem. A 2018, 6, 2295–2301. [Google Scholar] [CrossRef]
- Liu, L.-L.; Li, D.-F.; Tang, R.-F.; Tang, M.-X.; Zhang, X.-Y.; Liu, M.-L.; Hu, L.; Wang, S.-F.; Wu, X.-Z. Derivative Ga2S3 Monolayers as Water-Splitting Photocatalysts: Enhanced Solar to Hydrogen Conversion for Reduced Dipole. Results Phys. 2023, 52, 106831. [Google Scholar] [CrossRef]
- Fu, C.-F.; Sun, J.; Luo, Q.; Li, X.; Hu, W.; Yang, J. Intrinsic Electric Fields in Two-Dimensional Materials Boost the Solar-to-Hydrogen Efficiency for Photocatalytic Water Splitting. Nano Lett. 2018, 18, 6312–6317. [Google Scholar] [CrossRef]
- Jamdagni, P.; Pandey, R.; Tankeshwar, K. First Principles Study of Janus WSeTe Monolayer and Its Application in Photocatalytic Water Splitting. Nanotechnology 2021, 33, 025703. [Google Scholar] [CrossRef] [PubMed]
- Yang, F.; Record, M.-C.; Boulet, P. Self-Defined Monolayers, Bilayers and Trilayers of Two-Dimensional Janus MoSSe and Ga2SSe van Der Waals Homojunctions as Potential Photocatalysts for Overall Water Splitting. Renew. Energy 2025, 245, 122829. [Google Scholar] [CrossRef]
- Zhang, W.X.; Yin, Y.; He, C. Spontaneous Enhanced Visible-Light-Driven Photocatalytic Water Splitting on Novel Type-II GaSe/CN and Ga2 SSe/CN vdW Heterostructures. J. Phys. Chem. Lett. 2021, 12, 5064–5075. [Google Scholar] [CrossRef]
- Qin, K.; Li, E.; Shen, Y.; Ma, D.; Yuan, P.; Wang, H.; Cui, Z. High-Efficiency Photocatalyst and High-Response Ultraviolet Photodetector Based on the Ga2SSe@GaN Heterojunctions. Surf. Interfaces 2024, 52, 104996. [Google Scholar] [CrossRef]
- Gao, W.; Gao, L.; Deng, Q.; Xue, Y.; Li, Q.; Lu, J.; Cai, J. Cu2Se/SeIn2S van Der Waals Heterostructure: A Direct Z-Scheme Efficient Photocatalyst for Solar-Driven Overall Water Splitting Driven by an Enhanced Electric Field. Appl. Surf. Sci. 2025, 695, 162807. [Google Scholar] [CrossRef]
- Luan, L.; Han, L.; Zhang, D.; Bai, K.; Sun, K.; Xu, C.; Li, L.; Duan, L. AlSb/ZrS2 Heterojunction: A Direct Z-Scheme Photocatalyst with High Solar to Hydrogen Conversion Efficiency and Catalytic Activity across Entire PH Range. Int. J. Hydrogen Energy 2024, 51, 1242–1255. [Google Scholar] [CrossRef]
- Guo, W.; Ge, X.; Sun, S.; Xie, Y.; Ye, X. The Strain Effect on the Electronic Properties of the MoSSe/WSSe van Der Waals Heterostructure: A First-Principles Study. Phys. Chem. Chem. Phys. 2020, 22, 4946–4956. [Google Scholar] [CrossRef]








| Pattern | a (Å) | d (Å) | Eint (meV) |
|---|---|---|---|
| A | 3.829 | 2.533 | −108.5 |
| B | 3.815 | 3.587 | −19.5 |
| C | 3.831 | 2.396 | −120.6 |
| D | 3.815 | 3.586 | −15.7 |
| Heterojunction | χ(H2) | χ(O2) | ηabs (%) | ηcu (%) | ηSTH (%) | η’STH (%) |
|---|---|---|---|---|---|---|
| Pattern A | 0.65 | 0.68 | 27.68 | 53.45 | 14.79 | 13.60 |
| Pattern C | 0.60 | 0.33 | 36.30 | 36.34 | 13.19 | 12.08 |
Disclaimer/Publisher’s Note: The statements, opinions and data contained in all publications are solely those of the individual author(s) and contributor(s) and not of MDPI and/or the editor(s). MDPI and/or the editor(s) disclaim responsibility for any injury to people or property resulting from any ideas, methods, instructions or products referred to in the content. |
© 2025 by the authors. Licensee MDPI, Basel, Switzerland. This article is an open access article distributed under the terms and conditions of the Creative Commons Attribution (CC BY) license (https://creativecommons.org/licenses/by/4.0/).
Share and Cite
Yang, F.; Boulet, P.; Record, M.-C. DFT Investigation of a Direct Z-Scheme Photocatalyst for Overall Water Splitting: Janus Ga2SSe/Bi2O3 Van Der Waals Heterojunction. Materials 2025, 18, 1648. https://doi.org/10.3390/ma18071648
Yang F, Boulet P, Record M-C. DFT Investigation of a Direct Z-Scheme Photocatalyst for Overall Water Splitting: Janus Ga2SSe/Bi2O3 Van Der Waals Heterojunction. Materials. 2025; 18(7):1648. https://doi.org/10.3390/ma18071648
Chicago/Turabian StyleYang, Fan, Pascal Boulet, and Marie-Christine Record. 2025. "DFT Investigation of a Direct Z-Scheme Photocatalyst for Overall Water Splitting: Janus Ga2SSe/Bi2O3 Van Der Waals Heterojunction" Materials 18, no. 7: 1648. https://doi.org/10.3390/ma18071648
APA StyleYang, F., Boulet, P., & Record, M.-C. (2025). DFT Investigation of a Direct Z-Scheme Photocatalyst for Overall Water Splitting: Janus Ga2SSe/Bi2O3 Van Der Waals Heterojunction. Materials, 18(7), 1648. https://doi.org/10.3390/ma18071648

