Study on Sulfate Migration Behavior of Potassium Magnesium Phosphate Cement Slurry Based on Electro-Pulse-Accelerated Corrosion
Abstract
1. Introduction
2. Materials and Methods
2.1. Materials
2.2. Slurry and Specimen Preparation
2.3. Test Methods
2.3.1. Macro Performance Test
2.3.2. Sulfate Corrosion Test
2.3.3. Sulfate Concentration Analysis
2.3.4. Microanalysis
3. Test and Analysis Results
3.1. The Migration Law of Sulfate Ions in the PMPC Slurry Specimens
3.2. Calculation of Sulfate Ion Migration Parameters in PMPC Specimens
3.3. Evaluation of the Sulfate Resistance of PMPC Slurry
3.4. The Fluidity and Strength of PMPC Slurry Specimens
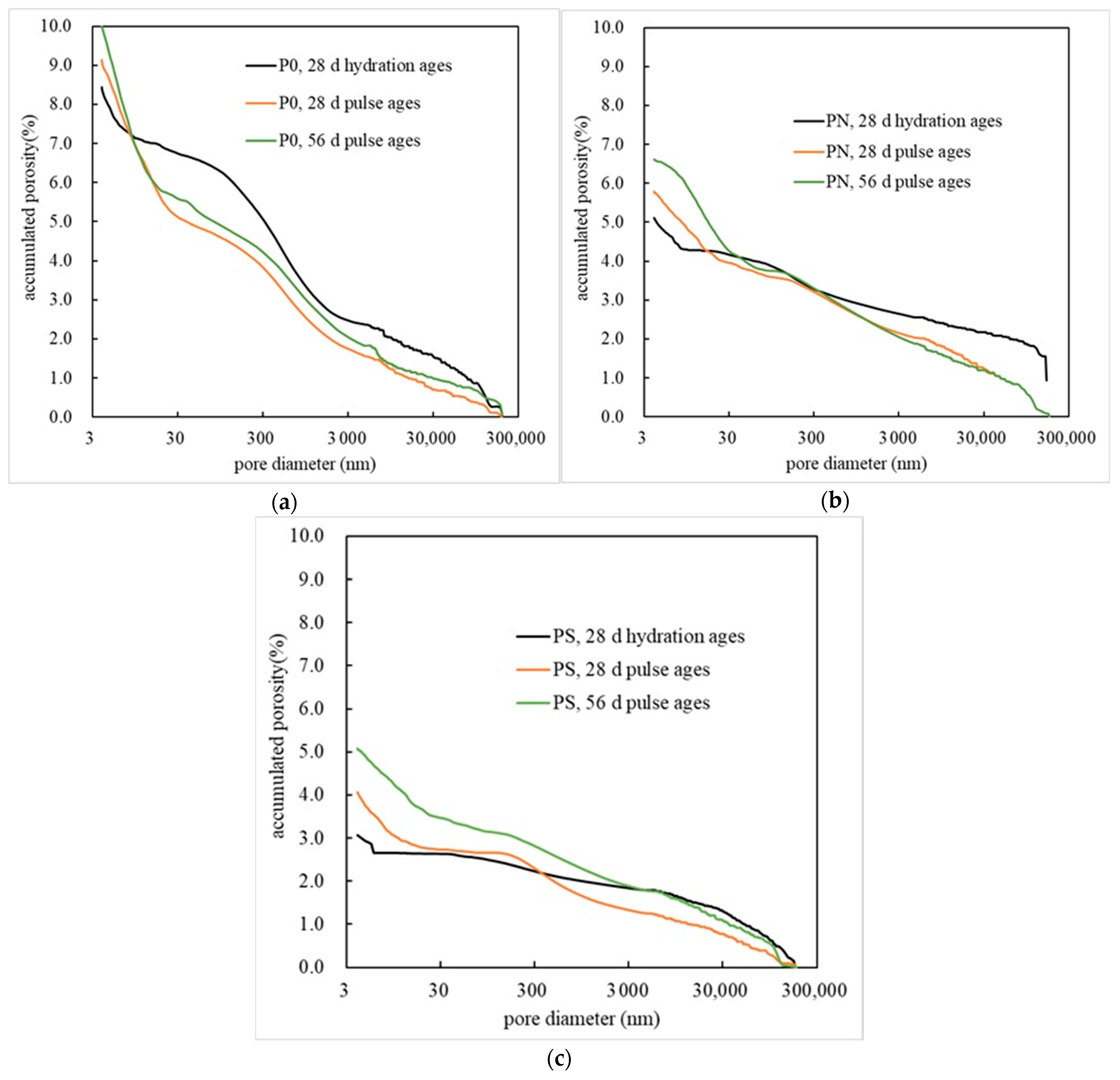
3.5. Phase Composition and Pore Structure Analysis
4. Discussion
5. Conclusions
- (a)
- A basic test and analysis cycle of 14 days can be used to implement electro-pulse-accelerated sulfate ion migration on PMPC specimens. The c (x, t) in PMPC specimens with the same corrosion period rapidly decreases with increasing distance from the surface (x), and, under the condition of R2 ≥ 0.999, it conforms to a third-order polynomial rule. When the electro-pulse period was 56 days, the c (0, 56 d) and h0 for PN and PS were lower than that of reference P0. A moderate amount of NSP or SF can significantly strengthen the SO42− resistance of the PMPC matrix.
- (b)
- The calculated migration depth h00 of the PMPC specimens at each corrosion age is greater than h0. The migration coefficient D gradually decreases as the corrosion age extends. After 56 days of electro-pulse corrosion, the h00 and D of specimens PN and PS were lower than that of reference P0. The D values for PMPC specimens were one order of magnitude higher than those of PMPC specimens fully immersed for 360 days. The electro-pulse effect can significantly accelerate the SO42− migration in the PMPC specimens. A moderate amount of NSP or SF can significantly reduce the migration parameters h00 and D of the PMPC specimens.
- (c)
- PMPC specimens subjected to pulse corrosion exhibited a logarithmic relationship between their corrosion age t and the calculated migration depth h00, and the sulfate migration coefficient D, with a correlation coefficient R2 > 0.98. The h00 and D could be estimated based on t due to the logarithmic relationship. Therefore, the sulfate resistance of PMPC specimens can be evaluated through short-term accelerated corrosion tests using electrical pulses. The research findings provide a theoretical foundation for the application and quality evaluation of PMPC-based material.
- (d)
- When the corrosion age is 0, the order of specimen strengths, from smallest to largest, is P0, PN and PS. After 14 days of pulse corrosion, the compressive strength of all specimens slightly decreased compared to the initial strength. As the corrosion age extends further, the strength of PMPC specimens gradually increases. By 56 days of corrosion age, the increase rates in strength were 7.14% for P0, 7.94% for PN and 8.42% for PS.
Author Contributions
Funding
Institutional Review Board Statement
Informed Consent Statement
Data Availability Statement
Conflicts of Interest
References
- Yu, C.; Wei, S.; Scrivener, K. Degradation mechanism of slag blended mortars immersed in sodium sulfate solution. Cem. Concr. Res. 2015, 72, 37–47. [Google Scholar] [CrossRef]
- Yin, G.J.; Zuo, X.B.; Sun, W. Numerical Simulation of the Expansive Strain in Cement Paste Subjected to Sulfate Attack. Eng. Mech. 2015, 32, 119–125. (In Chinese) [Google Scholar]
- Wagh, A.S. Chemically Bonded Phosphate Ceramics: Twenty-First Century Materials with Diverse Applications, 2nd ed.; Elsevier Science Ltd.: Oxford, UK, 2016. [Google Scholar]
- Xu, B.; Lothenbach, B.; Leemann, A.; Winnefeld, F. Reaction mechanism of magnesium potassium phosphate cement with high magnesium-to-phosphate ratio. Cem. Concr. Res. 2018, 108, 140–151. [Google Scholar] [CrossRef]
- Ha, M.A.; Chen, B. Research progresses on magnesium phosphate cement: A review. Constr. Build. Mater. 2019, 211, 885–898. [Google Scholar] [CrossRef]
- Fang, B.; Hu, Z.; Shi, T. Research progress on the properties and applications of magnesium phosphate cement. Ceram. Int. 2023, 49, 4001–4016. [Google Scholar] [CrossRef]
- Meng, X.; Jiang, Y.; Chen, B. Research progress on the setting time and solidification mechanism of magnesium phosphate cement: A review. Constr. Build. Mater. 2023, 408, 133612. [Google Scholar] [CrossRef]
- Xu, C.; Han, J.; Yang, Y. A review on magnesium potassium phosphate cement: Characterization methods. J. Build. Eng. 2024, 82, 108284. [Google Scholar] [CrossRef]
- Kuzmanović, P.; Petrović, L.F.; Hansman, J. Radioactivity of phosphate rocks and products used in Serbia and assessment of radiation risk for workers. J. Radioanal. Nucl. Chem. 2023, 332, 699–712. [Google Scholar] [CrossRef]
- Radic, J.K.; Hansman, J.; Mrdja, D. Survey of radiological properties of some commonly used buildingmaterials: Cement, chamotte and refractory products. J. Radioanal. Nucl. Chem. 2025, 334, 1715–1727. [Google Scholar] [CrossRef]
- Wang, J.; Leng, F.G.; Zhou, Y.X. Inspection and Assessment of Concrete Durability, 1st ed.; China Architecture & Building Press: Beijing, China, 2012. (In Chinese) [Google Scholar]
- GB/T749-2008; Test Method for Cement Resistance to Sulfate Corrosion. China Architecture & Building Press: Beijing, China, 2008. (In Chinese)
- ASTM C452-15; Standard Test Method for Potential Expansion of Portland-Cement Mortars Exposed to Sulfate. ASTM: West Conshohocken, PA, USA, 2021.
- GB/T50082-2009; Standard for Test Methods of Long-Term Performance and Durability of Ordinary Concrete. China Architecture & Building Press: Beijing, China, 2008. (In Chinese)
- Yang, C.C.; Wen, S.H. Effect of 95 °C temperature on the chloride-migration of concrete using electrical field. Mater. Chem. Phys. 2011, 125, 876–882. [Google Scholar] [CrossRef]
- Zhang, Y.; Sun, W. One and two dimensional chloride ion diffusion of fly ash concrete under flexural stress. Zhejiang Univ. Sci. A (Appl. Phys. Eng.) 2011, 12, 692–701. [Google Scholar] [CrossRef]
- Sylvie, L.; Marie-Pierre Yssorche-Cubaynus. Sulfate transfer through concrete: Migration and diffusion results. Cem. Concr. Compos. 2011, 33, 735–741. [Google Scholar] [CrossRef]
- Wang, C.; Liu, H.Q.; Luo, Y.L. Accelerated test method of sulfate attack resistance of concrete based on electrical pulse. J. Tongji Univ. (Nat. Sci.) 2013, 41, 1865–1871. (In Chinese) [Google Scholar]
- Wang, C.; Luo, Y.L.; Yu, C. Behavior and mechanism of sulfate attack in cement based materials by action of electrical pulse. J. Hunan Univ. (Nat. Sci.) 2014, 41, 40–45. (In Chinese) [Google Scholar]
- Huang, Q.; Wang, C.; Yang, C. Influence factors of sulfate attack on cement-based materials subjected to electrical pulse. J. Southeast Univ. (Nat. Sci. Ed.) 2014, 44, 1041–1045. [Google Scholar]
- Yue, L.; Tong, F.S.; Li, J.Q. Effects of fly ash and quartz sand on water-resistance and salt-resistance of magnesium phosphate cement. Constr. Build. Mater. 2016, 105, 384–390. [Google Scholar]
- Chong, L.; Yang, J.; Xu, Z.; Xu, X. Freezing and thawing resistance of PMPC paste under different corrosion solutions. Constr. Build. Mater. 2019, 212, 663–674. [Google Scholar] [CrossRef]
- Yang, J.; Wang, L.; Jin, C.; Sheng, D. Effect of fly ash on the corrosion resistance of magnesium potassium phosphate cement paste in sulfate solution. Constr. Build. Mater. 2020, 237, 117639. [Google Scholar] [CrossRef]
- Li, C.; Meng, X.; Zhu, J. Corrosion resistance of magnesium phosphate cement under long-term immersion in different solutions. J. Build. Eng. 2023, 66, 105879. [Google Scholar] [CrossRef]
- Jiang, J.; Zheng, H.; Sun, G.; Wang, F.; Lui, Z. Numerical simulation of sulfate attack in concrete. J. Build. Mater. 2023, 26, 1047–1053. (In Chinese) [Google Scholar]
- Yang, J.; Shi, C.; Chang, Y.; Yang, N. Hydration and hardening characteristics of magnesium potassium phosphate cement paste containing composite retarders. J. Build. Mater. 2013, 16, 46–52. (In Chinese) [Google Scholar]
- Wu, F.H.; Bian, Q.; Yang, J.M.; Cui, L. Research on the diffusion of sulfate ions in potassium magnesium phosphate cement. Bull. Chin. Ceram. Soc. 2019, 38, 41–46. (In Chinese) [Google Scholar]
- Lv, Y.; Li, T.; Xu, X.H.; Yang, J.M.; Du, Y.B.; Hu, X.X.; Chen, W.L. Effect of steel slag powder on the sulfate corrosion behaviour of magnesium potassium phosphate cement slurry. Constr. Build. Mater. 2024, 456, 139170. [Google Scholar] [CrossRef]
- Hou, Y.Y.; Li, T.; Lv, Y. The impact of fly ash and steel slag powder on sulfate erosion resistance in magnesium phosphate cement paste. Mater. Rep. 2024, 103, 24080025-7. [Google Scholar]
- Wang, H.; Yang, B. Study on the test method for sulfate corrosion of potassium magnesium phosphate cement paste accelerated by electric pulse. Concrete 2025, 427, 238–240. (In Chinese) [Google Scholar]
- GB/T 2419-2005; Method for Determining the Flow of Cement Mortar. Standardization Administration of the People’s Republic of China: Beijing, China, 2005. (In Chinese)
- GB/T 17671-2021; Method for Testing Compressive Strength of Cement Mortar (ISO Method). Standardization Administration of the People’s Republic of China: Beijing, China, 2021. (In Chinese)
- Li, T.; Li, G.; Chen, J. Influence of curing conditions on mechanical properties and microstructure of magnesium potassium phosphate cement. Case Stud. Constr. Mater. 2022, 17, e01264. [Google Scholar] [CrossRef]
- Hou, Y.; Hou, L.; Li, T. Water-immersion stability of self-compacting potassium magnesium phosphate cement paste. Materials 2023, 16, 2183. [Google Scholar] [CrossRef]
- You, C. Magnesium Phosphate Cement Hydration Hardening and Stability of Hydration Products. Ph.D. Thesis, Chongqing University, Chongqing, China, 2017. [Google Scholar]
- Lahalle, H.; Patapy, C.; Glid, M. Structural evolution/durability of magnesium phosphate cement paste over time in neutral and basic environments. Cem. Concr. Res. 2019, 122, 42–58. [Google Scholar] [CrossRef]
- Xu, X.; Lin, X.; Pan, X. Influence of silica fume on the setting time and mechanical properties of a new magnesium phosphate cement. Constr. Build. Mater. 2020, 235, 117544. [Google Scholar] [CrossRef]
- Wang, Q.; Yu, C.; Yang, J. Influence of nickel slag powders on properties of magnesium potassium phosphate cement paste. Constr. Build. Mater. 2019, 205, 668–678. [Google Scholar] [CrossRef]









| Chemical Composition | MgO | SiO2 | CaO | Fe2O3 | Al2O3 | CO3 | Loi | Others | |
|---|---|---|---|---|---|---|---|---|---|
| Content/% | MP | 91.85 | 3.68 | 2.14 | 0.86 | 0.17 | 1.01 | 0.29 | |
| NSP | 31.28 | 48.65 | 1.35 | 8.05 | 3.41 | 5.73 | 1.02 | 0.51 | |
| SF | 0.05 | 97.42 | 0.04 | 0.02 | 0.05 | 2.26 | 0.16 | ||
| Code Name | mbase /macid | mNSP or SF /mbase | mCR/ mbase | W/C | Fluidity (mm) | FS (MPa) | CS (MPa) | ||
|---|---|---|---|---|---|---|---|---|---|
| 3 d | 28 d | 3 d | 28 d | ||||||
| P0 | 3:1 | 0 | 0.13 | 0.115 | 165 | 8.0 | 12.4 | 48.6 | 62.1 |
| PN | 0.2 NSP | 0.108 | 163 | 8.6 | 12.9 | 52.4 | 66.2 | ||
| PS | 0.1 SF | 0.114 | 161 | 8.7 | 13.1 | 56.7 | 69.7 | ||
| Sample Status | Project | Instrument | Analysis Conditions |
|---|---|---|---|
| powder | XRD | X-ray diffraction analyzer, D/max-RB, Rigaku, Tokyo, Japan | scanning range of 5–80°, and a scanning speed of 10°/min |
| small piece | MIP | fully automatic porosity analyser, PoreMaster-60, Boynton Beach, FL, USA | low pressure 55 psi and high pressure 40,000 psi |
| Cade | t (d) | c (0, t) (%) | c (h00, t) (%) | h0 (mm) | h00 (mm) | D (×10−6) |
|---|---|---|---|---|---|---|
| P0 | 14 | 0.1627 | 0.0069 | 14 | 12 | 14.32 |
| 28 | 0.2831 | 0.0029 | 18 | 17 | 9.12 | |
| 42 | 0.3528 | 0.0028 | 22 | 20 | 7.80 | |
| 56 | 0.3959 | 0.0024 | 24 | 21 | 6.18 | |
| PN | 14 | 0.1517 | 0.0001 | 14 | 11 | 11.02 |
| 28 | 0.2650 | 0.0018 | 18 | 15 | 6.31 | |
| 42 | 0.3310 | 0.0014 | 20 | 17 | 5.81 | |
| 56 | 0.3672 | 0.0012 | 22 | 20 | 4.78 | |
| PS | 14 | 0.1140 | 0.0019 | 12 | 10 | 9.31 |
| 28 | 0.2209 | 0.0020 | 14 | 13 | 5.16 | |
| 42 | 0.2895 | 0.0010 | 18 | 15 | 3.62 | |
| 56 | 0.3325 | 0.0010 | 20 | 17 | 3.42 |
| Specimen Code | Computation Model | Correlation Coefficient (R2) |
|---|---|---|
| P0 | h00 = 6.6887lnt − 5.4663 | 0.989 |
| PN | h00 = 6.2215lnt − 5.6112 | 0.981 |
| PS | h00 = 4.9427lnt − 3.2209 | 0.990 |
| P0 | D = 66.821 t0.587 | 0.993 |
| PN | D = 49.124 t0.583 | 0.966 |
| PS | D = 66.295 t0.756 | 0.989 |
| Code | Curing/Corrosion Condition | Total Porosity /% | Pore Volume Distribution/% | ||
|---|---|---|---|---|---|
| <50 nm | 50–200 nm | >200 nm | |||
| P0 | 28 d hydration ages | 8.4441 | 21.85 | 12.45 | 65.70 |
| 28 d pulse ages | 9.1410 | 46.56 | 8.19 | 45.28 | |
| 56 d pulse ages | 9.9977 | 47.00 | 8.13 | 44.87 | |
| PN | 28 d hydration ages | 5.1131 | 15.75 | 4.67 | 79.58 |
| 28 d pulse ages | 5.7905 | 34.76 | 6.6 | 58.64 | |
| 56 d pulse ages | 6.6178 | 40.36 | 6.77 | 52.87 | |
| PS | 28 d hydration ages | 3.0582 | 15.75 | 8.27 | 75.98 |
| 28 d pulse ages | 4.0553 | 33.7 | 5.1 | 61.20 | |
| 56 d pulse ages | 5.0793 | 34.76 | 6.64 | 58.60 | |
Disclaimer/Publisher’s Note: The statements, opinions and data contained in all publications are solely those of the individual author(s) and contributor(s) and not of MDPI and/or the editor(s). MDPI and/or the editor(s) disclaim responsibility for any injury to people or property resulting from any ideas, methods, instructions or products referred to in the content. |
© 2025 by the authors. Licensee MDPI, Basel, Switzerland. This article is an open access article distributed under the terms and conditions of the Creative Commons Attribution (CC BY) license (https://creativecommons.org/licenses/by/4.0/).
Share and Cite
Xu, D.; Yang, Q.; Yang, J.; Hu, X. Study on Sulfate Migration Behavior of Potassium Magnesium Phosphate Cement Slurry Based on Electro-Pulse-Accelerated Corrosion. Materials 2025, 18, 5158. https://doi.org/10.3390/ma18225158
Xu D, Yang Q, Yang J, Hu X. Study on Sulfate Migration Behavior of Potassium Magnesium Phosphate Cement Slurry Based on Electro-Pulse-Accelerated Corrosion. Materials. 2025; 18(22):5158. https://doi.org/10.3390/ma18225158
Chicago/Turabian StyleXu, De, Qing Yang, Jianming Yang, and Xuexing Hu. 2025. "Study on Sulfate Migration Behavior of Potassium Magnesium Phosphate Cement Slurry Based on Electro-Pulse-Accelerated Corrosion" Materials 18, no. 22: 5158. https://doi.org/10.3390/ma18225158
APA StyleXu, D., Yang, Q., Yang, J., & Hu, X. (2025). Study on Sulfate Migration Behavior of Potassium Magnesium Phosphate Cement Slurry Based on Electro-Pulse-Accelerated Corrosion. Materials, 18(22), 5158. https://doi.org/10.3390/ma18225158

