Sign in to use this feature.

Years

Between: -

Subjects

remove_circle_outline
remove_circle_outline
remove_circle_outline
remove_circle_outline
remove_circle_outline
remove_circle_outline
remove_circle_outline
remove_circle_outline
remove_circle_outline

Journals

remove_circle_outline
remove_circle_outline
remove_circle_outline

Article Types

Countries / Regions

remove_circle_outline
remove_circle_outline
remove_circle_outline
remove_circle_outline
remove_circle_outline

Search Results (326)

Search Parameters:
Keywords = SO42− migration law

Order results
Result details
Results per page
Select all
Export citation of selected articles as:
23 pages, 4711 KB  
Article
The Multivariate Information Response Law During the Failure Process of Sandstone with Different Water Saturations
by Huining Ni, Chang Liu, Chao Yuan, Fei Li, Yilong Li, Gexuanzi Luo, Xuyang Chen and Hao Lv
Appl. Sci. 2026, 16(1), 405; https://doi.org/10.3390/app16010405 (registering DOI) - 30 Dec 2025
Abstract
During mining, rock failure and water infiltration induce variations in deformation, energy release, electrical conductivity, and water content. Their response laws underpin water-preserving mining optimization, environmental impact mitigation, and mining area sustainability, while facilitating the prediction of stratum instability and water migration. In [...] Read more.
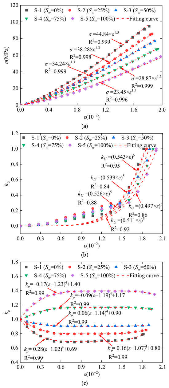
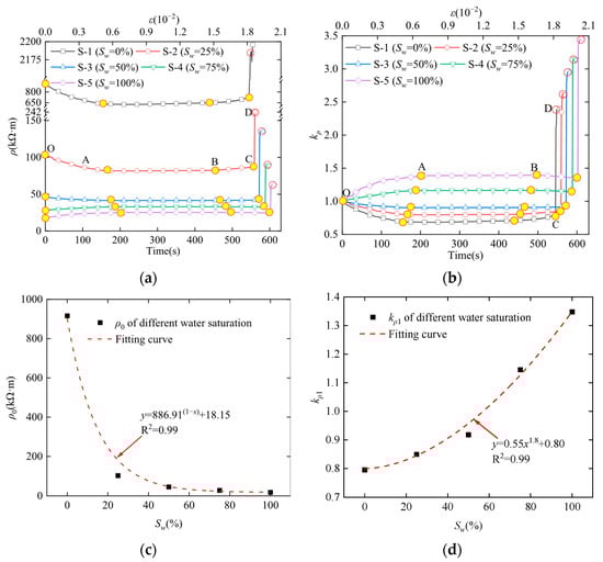
During mining, rock failure and water infiltration induce variations in deformation, energy release, electrical conductivity, and water content. Their response laws underpin water-preserving mining optimization, environmental impact mitigation, and mining area sustainability, while facilitating the prediction of stratum instability and water migration. In this study, uniaxial compression experiments were conducted on sandstone with different water saturations, during which the responses of strain, acoustic emission energy, and electrical resistivity were monitored. The temporal characteristics of the rock’s multi-parameter responses were analyzed, and the influence of water content on precursor information of rock failure was revealed. Multi-parameter response equations for rocks under loading, incorporating the effect of water saturation, were established. A segmented variable-weight-integrated damage constitutive model for water-bearing rocks was developed based on the multi-parameter responses. The findings showed that the temporal characteristics of multi-parameter coupling responses can reflect the damage evolution and pore water migration during the instability and failure process of water-bearing rocks. As water saturation increased from 0% to 100%, the rock exhibited the following variations: peak stress decreased by 38.49%, strain at peak stress increased by 8.79%, elastic modulus decreased by 41.58%, cumulative acoustic emission energy drops by 93.23%, and initial electrical resistivity plummets by 98.02%. Compared with the theoretical stress–strain curves based on strain damage variables, cumulative acoustic emission energy damage variables, and electrical resistivity damage variables, the theoretical stress–strain curve based on the integrated damage variable shows better agreement with the measured curve, with the coefficient of determination exceeding 0.98. The research findings offer valuable insights into rock mass instability and groundwater migration, supporting water-preserving mining and sustainable mining area development. Full article
Show Figures

Figure 1

13 pages, 1666 KB  
Article
Mapping Studies on Unauthorized Immigration in the International Migration Review: Results from Large-Language Models
by Haoyang Zhang and A. Nicole Kreisberg
Populations 2026, 2(1), 1; https://doi.org/10.3390/populations2010001 (registering DOI) - 30 Dec 2025
Abstract
Many states around the world create an unprotected class of migrants by legally categorizing them as “unauthorized”. Yet, we have a limited understanding of the state of knowledge that has resulted from this empirical phenomenon, particularly outside the U.S. and over time. In [...] Read more.
Many states around the world create an unprotected class of migrants by legally categorizing them as “unauthorized”. Yet, we have a limited understanding of the state of knowledge that has resulted from this empirical phenomenon, particularly outside the U.S. and over time. In this article, we map the state of knowledge on unauthorized migration by analyzing the last 30 years of papers published in a leading migration journal. Articles were identified through a comprehensive keyword-based search strategy and analyzed using a computational pipeline that combines natural language processing and large language model-assisted classification. Our findings reveal a persistent empirical emphasis on Mexico–U.S. migration, with economic drivers and disparities, as well as immigration laws and policies, dominating articles’ content. Our analysis also identifies underexplored or peripheral topics, including studies on gender or the environment, highlighting the need for more diversified, cross-national research. Ultimately, by providing a detailed account of our computational mapping approach, we hope this study will serve as a blueprint for future scholars to track how migration research evolves into the future. Full article
Show Figures

Figure 1

14 pages, 5394 KB  
Article
Study on Time-Varying Mechanism of Reservoir Properties During Long-Term Water Flooding
by Xiaoping An, Yufen Zhu, Xiqun Tan, Jingyi Bi and Chengqian Tan
Energies 2025, 18(24), 6488; https://doi.org/10.3390/en18246488 - 11 Dec 2025
Viewed by 242
Abstract
Long-term water flooding is a primary development method for oilfields, yet the heterogeneous evolution mechanism of reservoir properties during prolonged water injection remains poorly understood—particularly in the medium-high water cut stage, where the impact of pore-throat network changes on seepage capacity remains controversial. [...] Read more.
Long-term water flooding is a primary development method for oilfields, yet the heterogeneous evolution mechanism of reservoir properties during prolonged water injection remains poorly understood—particularly in the medium-high water cut stage, where the impact of pore-throat network changes on seepage capacity remains controversial. Its reservoir property evolution is highly representative of and provides a valuable reference for similar oilfields. Focusing on the 16-year developed WU Oilfield (long-term water flooding, middle-high water cut stage), its reservoir property evolution exhibits typical reference value for similar oilfields. To reveal the time-varying laws and microscopic mechanism of reservoir properties during long-term water flooding, this study systematically investigated the changes in porosity, permeability, pore throat characteristics, clay content, and oil recovery of high-permeability and low-permeability cores under different injected water volumes (up to 500 pore volumes) through laboratory core displacement experiments. The experimental results showed that with increasing injected water volume, the permeability of high-permeability cores increased by 27.3%, with an overall 21.6% porosity increase in both high and low-permeability cores, and the oil recovery rate of high-permeability cores increased to 15%. In contrast, the permeability of low-permeability cores decreased by 22.2%, with porosity showing a synchronous overall increasing trend, and the oil recovery rate decreased by 10%. Microscopic analysis revealed an overall 7.34% decrease in clay content, and this property difference mainly resulted from the polarization of pore throat network connectivity: large pores in high-permeability cores further expanded due to clay migration and particle transport, while small pores in low-permeability cores gradually became occluded due to clay plugging and authigenic mineral precipitation. This study clarifies the evolution mechanism of reservoir heterogeneity during long-term water flooding and provides a theoretical basis for optimizing water flooding development plans and improving oil and gas recovery. Full article
(This article belongs to the Special Issue New Advances in Oil, Gas and Geothermal Reservoirs—3rd Edition)
Show Figures

Figure 1

16 pages, 8105 KB  
Article
Research on Optimization of Sealing Process and Explosion Hazard of Railway Auxiliary Tunnels Containing Methane
by Jiaqi Hu, Haoran Hu and Xinghua Zhang
Processes 2025, 13(12), 3987; https://doi.org/10.3390/pr13123987 - 10 Dec 2025
Viewed by 198
Abstract
To ensure the safe operation of railway tunnels and prevent methane disasters in auxiliary tunnels, this paper focuses on the post-construction closure of an auxiliary tunnel (cross tunnel) in a railway tunnel with methane presence. Computational Fluid Dynamics (CFD) simulations were employed to [...] Read more.
To ensure the safe operation of railway tunnels and prevent methane disasters in auxiliary tunnels, this paper focuses on the post-construction closure of an auxiliary tunnel (cross tunnel) in a railway tunnel with methane presence. Computational Fluid Dynamics (CFD) simulations were employed to investigate methane migration and accumulation patterns under different sealing conditions in railway auxiliary tunnels. The optimal auxiliary tunnel end-face closure method was identified. Subsequently, the influences of factors such as tunnel length and methane concentration on the explosion characteristics were analyzed under the optimal closed process conditions. The results show that after methane escapes from the coal seam, it initially accumulates at the tunnel’s roof and then diffuses downward due to the concentration gradient. When the lower end face of the auxiliary tunnel is opened and the upper end face is sealed, the degree of methane enrichment in the tunnel is the lowest and the enrichment speed is the slowest. Under partial methane conditions, the explosion pressure propagated and released more easily within the tunnel, leading to higher peak pressure. As the length of the tunnel increases, the peak pressure of the explosion increases, and the explosion power becomes greater. The overpressure of the explosion shock wave follows a nonlinear relationship with distance and is inversely proportional to the square root of the distance. The findings provide theoretical guidance for the prevention and control of methane-related accidents and disasters. Full article
(This article belongs to the Special Issue Process Engineering: Process Design, Control, and Optimization)
Show Figures

Figure 1

12 pages, 277 KB  
Article
Between Syndemics and Structural Exploitation: Health Barriers of Migrant Agricultural Workers
by Yahel Kurlander, Nadav Davidovitch, Dani Filc, Zoe Gutzeit, Michal Tadjer and Einav Levy
Int. J. Environ. Res. Public Health 2025, 22(12), 1783; https://doi.org/10.3390/ijerph22121783 - 25 Nov 2025
Viewed by 488
Abstract
This study examines how Israel’s legal and institutional arrangements, including migration policies, health-insurance eligibility rules, and safety enforcement mechanisms, shape health risks for Thai migrant agricultural workers, and identifies policy levers to mitigate preventable harm. Using a legal policy analysis informed by syndemics [...] Read more.
This study examines how Israel’s legal and institutional arrangements, including migration policies, health-insurance eligibility rules, and safety enforcement mechanisms, shape health risks for Thai migrant agricultural workers, and identifies policy levers to mitigate preventable harm. Using a legal policy analysis informed by syndemics and labor frameworks, we mapped laws, regulatory oversight, and enforcement chains, and synthesized evidence from worker surveys, affidavits, and civil society reports to link institutional structures with barriers experienced in workplaces and healthcare settings. The findings reveal that health inequalities stem from structural design rather than isolated failures, including exclusion from public insurance, dependence on employer-based plans, employer-tied visas, opaque injury-claim procedures, fragmented oversight, absence of occupational-health surveillance, limited language access, poor housing conditions, and weak inspections. These interlocking features reinforce one another, resulting in under-reporting, delayed medical attention, and cumulative physical and psychological harm. The study concludes that structural legal and administrative reforms—rather than individual adaptation—are required to address these inequities. Policy priorities include integrating migrant workers into public insurance or ensuring equivalent coverage, decoupling residency from single employers, guaranteeing multilingual access, establishing independent health monitoring, and enforcing safety, housing standards and other social determinants of health through transparent inspections, positive incentives and meaningful sanctions. Full article
(This article belongs to the Special Issue Understanding and Addressing Factors Related to Health Inequalities)
16 pages, 10522 KB  
Article
Particle Size-Dependent Mechanical Behaviors of Disordered Copper Nanoparticle Assemblies: A Molecular Dynamics Study
by Jianjun Bian and Liang Yang
Crystals 2025, 15(12), 1007; https://doi.org/10.3390/cryst15121007 - 23 Nov 2025
Viewed by 389
Abstract
The mechanical behavior of nanoparticle assemblies depends strongly on particle size, yet the underlying mechanisms remain insufficiently understood. In present study, we employ a scheme combining discrete element method (DEM) and molecular dynamics (MD) simulations to examine size-dependent strength and deformation in disordered [...] Read more.
The mechanical behavior of nanoparticle assemblies depends strongly on particle size, yet the underlying mechanisms remain insufficiently understood. In present study, we employ a scheme combining discrete element method (DEM) and molecular dynamics (MD) simulations to examine size-dependent strength and deformation in disordered copper nanoparticle assemblies. Granular packings generated by DEM were transformed into atomic models and subjected to uniaxial compression in MD simulations. Assemblies composed of nanoparticles with radius smaller than ~2.5 nm fully densify during relaxation, forming nanopolycrystalline solids, whereas larger particles preserve porous architectures. This structural divergence governs subsequent deformation. Small-particle assemblies deform through grain boundary migration and grain growth, exhibiting an inverse Hall–Petch-type strength dependence. In contrast, large-particle assemblies deform primarily via interparticle contact evolution and densification, with strength conforming to a Gibson–Ashby-type prediction. A scaling law captures the strength variation across size range in this regime. These results establish the competition between surface energy-driven densification and contact-dominated deformation as the controlling factor in the mechanical response of nanoparticle assemblies, providing guidance for designing nanoparticle-based materials with tailored mechanical performance. Full article
(This article belongs to the Section Inorganic Crystalline Materials)
Show Figures

Figure 1

17 pages, 6277 KB  
Article
Study on Sulfate Migration Behavior of Potassium Magnesium Phosphate Cement Slurry Based on Electro-Pulse-Accelerated Corrosion
by De Xu, Qing Yang, Jianming Yang and Xuexing Hu
Materials 2025, 18(22), 5158; https://doi.org/10.3390/ma18225158 - 13 Nov 2025
Viewed by 327
Abstract
By accelerating the migration of sulfate ions in potassium magnesium phosphate cement (PMPC) paste through an electric field, its sulfate resistance can be quickly evaluated, thereby making up for the defect of long test cycles in existing evaluation methods. Through sulfate concentration analysis, [...] Read more.
By accelerating the migration of sulfate ions in potassium magnesium phosphate cement (PMPC) paste through an electric field, its sulfate resistance can be quickly evaluated, thereby making up for the defect of long test cycles in existing evaluation methods. Through sulfate concentration analysis, strength tests, microanalysis and theoretical analysis, this paper investigated the SO42− migration behavior of PMPC specimens subjected to electro-pulse-accelerated corrosion. The conclusions are as follows: the distribution of SO42− concentration c (x, t) in PMPC specimens followed a polynomial pattern with corrosion period t. The surface SO42− concentration c (0, t), measured SO42− migration depth h0, and c (x, t) of specimens increased with the t. After 56 days, the c (0, 56 days) and h0 of the PN containing nickel slag powder and the PS containing silica fume were lower than that of the reference P0. Their calculated SO42− migration depth h00 and SO42− migration coefficient D were smaller than that of P0. The h00 and D could be estimated based on t due to a logarithmic relationship between t and h00, D. The strength of specimens at the pulse cathode end gradually improved with t. The 56-day strength for P0, PN, and PS specimens increased by 7.14%, 7.94%, and 8.42%, respectively. The research findings provided a theoretical foundation for the application and quality evaluation of PMPC-based material. Full article
Show Figures

Figure 1

24 pages, 5017 KB  
Review
Clay Particle Migration and Associated Permeability Damage in Natural Gas Hydrate-Bearing Clayey-Silty Sediments: A Review
by Zhuangzhuang Wang, Zhao Cui, Liang Kong and Zhimin Zhang
J. Mar. Sci. Eng. 2025, 13(11), 2054; https://doi.org/10.3390/jmse13112054 - 27 Oct 2025
Viewed by 609
Abstract
Natural gas hydrate (NGH) is a highly promising alternative energy source for the future, which is widely distributed in marine clayey-silty sediments. Permeability is the key factor determining the efficiency of NGH exploitation. However, clay particles can migrate and clog the pores, leading [...] Read more.
Natural gas hydrate (NGH) is a highly promising alternative energy source for the future, which is widely distributed in marine clayey-silty sediments. Permeability is the key factor determining the efficiency of NGH exploitation. However, clay particles can migrate and clog the pores, leading to a decrease in reservoir permeability during the development of NGH. This review summarizes the permeability damage law during the NGH production from clayey-silty sediments, with a focus on the influence of clay particle migration. For the scientific problem of clay particle migration, the governing equation of clay particle migration was first clarified through force balance analysis. Then, the influencing factors and laws of clay particle migration were systematically summarized from two aspects: internal factors such as clay type, content, particle size, reservoir heterogeneity, and external conditions such as salinity, flow rate, temperature, pH, and stress field. The detachment, migration, aggregation and clogging characteristics of clay particles in porous media were observed and outlined based on microscopic visualization technology. Thirdly, the numerical simulation methods of particle migration were summarized, and the permeability damage laws and its influence mechanism were analyzed. Finally, the limitations on clay particle migration and permeability damage in the current research were discussed, and corresponding suggestions were given to promote the efficient development of NGH. Full article
(This article belongs to the Special Issue Advances in Marine Gas Hydrates)
Show Figures

Figure 1

23 pages, 13661 KB  
Review
Ultra-Deep Oil and Gas Geological Characteristics and Exploration Potential in the Sichuan Basin
by Gang Zhou, Zili Zhang, Zehao Yan, Qi Li, Hehe Chen and Bingjie Du
Appl. Sci. 2025, 15(21), 11380; https://doi.org/10.3390/app152111380 - 24 Oct 2025
Viewed by 875
Abstract
Judging from the current global exploration trend, ultra-deep layers have become the main battlefield for energy exploration. China has made great progress in the ultra-deep field in recent decades, with the Tarim Basin and Sichuan Basin as the focus of exploration. The Sichuan [...] Read more.
Judging from the current global exploration trend, ultra-deep layers have become the main battlefield for energy exploration. China has made great progress in the ultra-deep field in recent decades, with the Tarim Basin and Sichuan Basin as the focus of exploration. The Sichuan Basin is a large superimposed gas-bearing basin that has experienced multiple tectonic movements and has developed multiple sets of reservoir–caprock combinations vertically. Notably, the multi-stage platform margin belt-type reservoirs of the Sinian–Lower Paleozoic exhibit inherited and superimposed development. Source rocks from the Qiongzhusi, Doushantuo, and Maidiping formations are located in close proximity to reservoirs, creating a complex hydrocarbon supply system, resulting in vertical and lateral migration paths. The structural faults connect the source and reservoir, and the source–reservoir–caprock combination is complete, with huge exploration potential. At the same time, the ultra-deep carbonate rock structure in the basin is weakly deformed, the ancient closures are well preserved, and the ancient oil reservoirs are cracked into gas reservoirs in situ, with little loss, which is conducive to the large-scale accumulation of natural gas. Since the Nvji well produced 18,500 cubic meters of gas per day in 1979, the study of ultra-deep layers in the Sichuan Basin has begun. Subsequently, further achievements have been made in the Guanji, Jiulongshan, Longgang, Shuangyushi, Wutan and Penglai gas fields. Since 2000, two trillion cubic meters of exploration areas have been discovered, with huge exploration potential, which is an important area for increasing production by trillion cubic meters in the future. Faced with the ultra-deep high-temperature and high-pressure geological environment and the complex geological conditions formed by multi-stage superimposed tectonic movements, how do we understand the special geological environment of ultra-deep layers? What geological processes have the generation, migration and enrichment of ultra-deep hydrocarbons experienced? What are the laws of distribution of ultra-deep oil and gas reservoirs? Based on the major achievements and important discoveries made in ultra-deep oil and gas exploration in recent years, this paper discusses the formation and enrichment status of ultra-deep oil and gas reservoirs in the Sichuan Basin from the perspective of basin structure, source rocks, reservoirs, caprocks, closures and preservation conditions, and provides support for the optimization of favorable exploration areas in the future. Full article
Show Figures

Figure 1

22 pages, 329 KB  
Article
International Law and the Protection of Migrant Children with Disabilities
by Mary Elizabeth Crock
Laws 2025, 14(5), 78; https://doi.org/10.3390/laws14050078 - 20 Oct 2025
Viewed by 1367
Abstract
International law has evolved to oblige states to treat children with disabilities with dignity and respect. Yet, where children with disabilities present as migrants, they face compounding challenges that are both physical and legal. This article explores key issues in general migration, including [...] Read more.
International law has evolved to oblige states to treat children with disabilities with dignity and respect. Yet, where children with disabilities present as migrants, they face compounding challenges that are both physical and legal. This article explores key issues in general migration, including the discriminatory application of migration health rules, access to citizenship and birth registration, family reunification and access to education. There follows an account of particular challenges that face children with disabilities in forced migration and enforcement settings. The article touches briefly on the identification of disability, the vulnerabilities of these children to human trafficking and harms inherent in immigration enforcement mechanisms. The potential and limitations of protective mechanisms available in international law are explored using selective case studies most relevant to the author’s research work. Drawing on compilations of jurisprudence by university scholars and key not-for-profit organizations, the article includes some reflections on treaty body oversight of state party responses to migration, disability and human rights protection. The overarching aim is to interrogate and critique the operation of international legal mechanisms and the extent to which state practice is compliant with norms of international law. In this respect, the piece aligns with a broader project to improve international law and practice around disability, human rights and displacement. Full article
(This article belongs to the Special Issue Protecting the Rights of Children in Migration—Volume 2)
18 pages, 7769 KB  
Article
Effects of River Migration and Water-Sediment Regulation Scheme on Total Nitrogen Transport in the Yellow River Estuary
by Chang Li, Zhili Wang, Yongjun Lu, Lingling Zhu, Bingjiang Dong and Xianglong Wei
Sustainability 2025, 17(20), 9145; https://doi.org/10.3390/su17209145 - 15 Oct 2025
Viewed by 529
Abstract
River migration and anthropogenic controls on hydrological processes may play important roles in estuarine system transformations and nutrient diffusion. We used a two-dimensional shallow water equation hydrodynamic water quality model to simulate total nitrogen (TN) transport under the situations of river migration and [...] Read more.
River migration and anthropogenic controls on hydrological processes may play important roles in estuarine system transformations and nutrient diffusion. We used a two-dimensional shallow water equation hydrodynamic water quality model to simulate total nitrogen (TN) transport under the situations of river migration and the “Water-Sediment Regulation Scheme” (WSRS). The results showed the following: (1) River migration changed the diffusion direction of high-TN-concentration water in the YRE from the east–west diffusion in 2009 to the north–south diffusion in 2019. (2) In the years the WSRS was active, the maximum diffusion distance of high-concentration-TN water is basically the same as that of the plume edge. In 2009 and 2019, it was 30 km in the southeast of the estuary and 26.5 km in the north. Concentrations of 0.5 mg/L and 1.05 mg/L in 2009 and 2019 can be used as the threshold for judging the farthest distance of diffusion. (3) In the years without the WSRS, the TN concentration in the YRE from June to July was generally lower than the same period in 2019, and the northward diffusion distance of high-concentration-TN water in 2017 was only 10% of that during the WSRS in 2019. (4) Runoff determines the diffusion range of TN in the YRE. The average runoff during the WSRS in 2019 was 6.88 times that of the same period in 2017, and the high concentration diffusion distance of TN in 2019 was 10 times that of 2017. Changes in estuary morphology determine the diffusion direction of nutrients. The results of this paper are helpful to further understand the nutrient diffusion law of estuaries and coasts under the influence of different factors, and to provide reference for the protection of water quality safety. Full article
(This article belongs to the Section Sustainable Water Management)
Show Figures

Figure 1

24 pages, 4004 KB  
Article
Genetic Monitoring of the Endangered Acipenser dabryanus Using a High-Resolution MNP System
by Lu Cai, Wei Jiang, Zhiwei Fang, Hai Peng, Hao Chen, Renjing Wan, Lifen Gao, Baolong Zhang, Zilan Xiao, Sha Li, Lun Li, Lihong Chen, Huiyin Song, Tiantian Li and Junfei Zhou
Diversity 2025, 17(10), 704; https://doi.org/10.3390/d17100704 - 11 Oct 2025
Viewed by 572
Abstract
Acipenser dabryanus, once abundant in China’s freshwater ecosystems, is now extinct in the wild. Effective genetic tools are urgently needed to support conservation efforts under the Yangtze River Protection Law and the 10-year fishing ban. Traditional molecular markers (e.g., COI, SSR, [...] Read more.
Acipenser dabryanus, once abundant in China’s freshwater ecosystems, is now extinct in the wild. Effective genetic tools are urgently needed to support conservation efforts under the Yangtze River Protection Law and the 10-year fishing ban. Traditional molecular markers (e.g., COI, SSR, SNP) often lack sufficient resolution for fine-scale population assessment. Here, we developed a high-resolution Multiple-Nucleotide Polymorphism (MNP) system for A. dabryanus, comprising 424 newly developed, highly polymorphic markers optimized for multiplex PCR and high-throughput sequencing. The MNP system demonstrated excellent performance in individual fin tissue samples, successfully distinguishing Acipenser sinensis and Acipenser ruthenus individuals from the A. dabryanus population. In addition, 41 characteristic alleles specific to A. dabryanus were further identified. Across samples, it achieved >90% MNP locus detection rate, with an average of 7.48 alleles per locus, 66.5% heterozygosity, >98% reproducibility, and 99% accuracy. A strong correlation was observed between DNA concentration and spike-in-based copy numbers (R2 > 0.99), and sensitivity analysis confirmed reliable detection at ~1 copy/reaction. Application of the system across 97 samples, including 51 A. dabryanus tissue samples and 46 water environmental samples, revealed clear population structure with an average genetic differentiation of 70.45%, highlighting substantial genetic diversity within the sampled populations. Based on the above experimental results, the high-resolution MNP system has the potential to enable construction of population-specific allelic genotypes to distinguish wild individuals from released ones and, when applied to tissue and eDNA samples, to facilitate monitoring of migration pathways and habitat connectivity. Such applications could provide essential genetic information to evaluate release programs, guide conservation strategies, and inform habitat restoration for the recovery of A. dabryanus. Full article
Show Figures

Figure 1

21 pages, 4320 KB  
Article
Research on Safety of Pipelines with Defects in Frozen Soil Regions Based on PDE
by Yuan Li, Jun Liu, Haiyang Wang, Ling Fan, Wangqiang Xiao, Yanbin Li, Jiayong Wu, Yan Wang and Zhiqin Cai
Symmetry 2025, 17(10), 1689; https://doi.org/10.3390/sym17101689 - 9 Oct 2025
Viewed by 446
Abstract
Buried pipelines in permafrost areas are affected by harsh environments, especially those with defects and damages, which are prone to failure or even leakage accidents. However, current research is limited to single-factor analysis and fails to comprehensively consider the interaction relationships among temperature [...] Read more.
Buried pipelines in permafrost areas are affected by harsh environments, especially those with defects and damages, which are prone to failure or even leakage accidents. However, current research is limited to single-factor analysis and fails to comprehensively consider the interaction relationships among temperature fields, moisture fields, and stress fields. Therefore, based on the thermodynamic equilibrium equation and the ice–water phase transition theory, this paper constructs the temperature field equation including the latent heat of phase transition, the water field equation considering the migration of unfrozen water, and the elastoplastic stress field equation. A numerical model of the heat–water–force three-field coupling is established to systematically study the influence laws of key parameters such as burial depth, water content, pipe diameter, and wall thickness on the strain distribution of pipelines with defects. The numerical simulation results show that the moisture content has the most significant influence on the stress of pipelines. Pipelines with defects are more prone to damage under the action of freeze–thaw cycles. Based on data analysis, the safety criteria for pipelines were designed, the strain response surface function of pipelines was constructed, and the simulation was verified through experiments. It was concluded that the response surface function has good predictability, with a prediction accuracy of over 90%. Full article
Show Figures

Figure 1

14 pages, 1429 KB  
Article
Diffusion Behavior of Polyethylene Furanoate (PEF) and Tritan as Sustainable Polyester Packaging Materials
by Frank Welle
Polymers 2025, 17(19), 2674; https://doi.org/10.3390/polym17192674 - 2 Oct 2025
Viewed by 1547
Abstract
Polyethylene furanoate (PEF) and TritanTM copolyester are sustainable polyester polymers. PEF is made from biobased resources, whereas Tritan is mainly used for reusable food contact articles. Both polyesters are alternatives for polyethylene terephthalate (PET), which is currently the most used polyester in [...] Read more.
Polyethylene furanoate (PEF) and TritanTM copolyester are sustainable polyester polymers. PEF is made from biobased resources, whereas Tritan is mainly used for reusable food contact articles. Both polyesters are alternatives for polyethylene terephthalate (PET), which is currently the most used polyester in food packaging. Like all packaging polymers, sustainable alternatives to fossil-based PET must also comply with food law requirements. Prediction of the migration can be used as an alternative to complex and time-consuming experimental migration measurements. Since there are no such predictive models for either PEF or Tritan, the modelling parameters for PEF and Tritan were determined in this study from experimentally determined diffusion coefficients and activation energies. The diffusivity of PEF and Tritan was compared with PET and polyethylene naphthalate (PEN). Of the four polyester polymers, PEF shows the lowest diffusion, followed by PEN, PET, and Tritan. Overall, the results show that the investigated polyesters are low-diffusivity polymers. Full article
(This article belongs to the Section Polymer Applications)
Show Figures

Figure 1

21 pages, 6050 KB  
Article
Target Area Selection for Residual Coalbed Methane Drainage in Abandoned Multi-Seam Mines
by Gen Li, Yaxin Xiu, Qinjie Liu, Bin Zhang, Minke Duan, Youxing Yang and Chenye Guo
Appl. Sci. 2025, 15(19), 10619; https://doi.org/10.3390/app151910619 - 30 Sep 2025
Cited by 1 | Viewed by 384
Abstract
To optimize the location optimization of the coalbed methane (CBM) extraction target area in abandoned mines, based on the background of the Songzao mining area in Chongqing, theoretical analysis and numerical simulation research methods were comprehensively used to systematically evaluate the potential of [...] Read more.
To optimize the location optimization of the coalbed methane (CBM) extraction target area in abandoned mines, based on the background of the Songzao mining area in Chongqing, theoretical analysis and numerical simulation research methods were comprehensively used to systematically evaluate the potential of residual CBM resources in the goaf of the Songzao mining area. The stress-fracture evolution law and permeability enhancement characteristics of overlying strata under repeated mining of inclined multi-coal seams were deeply revealed, and the location optimization of the residual CBM extraction borehole target area was carried out. The results show that the amount of CBM resources in Songzao Coal Mine is 5.248 × 107 m3, accounting for 26.57% of the total resources, which is suitable for the extraction of CBM left in goaf. The maximum height of the overburden fracture zone caused by repeated mining of K2b, K1, and K3b coal seams in Songzao Coal Mine is 72.3 m, which is basically consistent with the results of the numerical simulation (69.76 m). The fracture development of overlying strata is in the distribution form of a symmetrical trapezoid and inclined asymmetrical trapezoid, and its development height increases with an increase in coal seam mining times, and finally forms a three-dimensional ‘O’-ring fracture area, which provides a channel and enrichment area for the effective migration of CBM. The significant permeability-increasing zone of overburden rock is stable in the range of 10~40 m above the roof of the K3b coal seam and is nearly trapezoidal. According to the calculation of the height prediction model of the fracture zone in the abandoned goaf, the fracture height of the long-term compaction of the Songzao Coal Mine is reduced to 63.74 m. Based on the stress-fracture evolution characteristics of the overburden rock, combined with the permeability-increasing characteristics of the overburden rock and the migration law of the remaining CBM, it is determined that the preferred position of the remaining CBM extraction target area of the Songzao Coal Mine should be in the upper corner of the fracture development area within the range of 10~32.47 m above the K36 coal seam. Full article
Show Figures

Figure 1

Back to TopTop