Next Article in Journal
Unveiling the Nitrogen-Doping Mechanism in Carbon Catalysts for Oxidative Dehydrogenation of Ethanol to Acetaldehyde
Previous Article in Journal
Multipole Expansion of the Scalar Potential on the Basis of Spherical Harmonics: Bridging the Gap Between the Inside and Outside Spaces via Solution of the Poisson Equation
 
 
Font Type:
Arial Georgia Verdana
Font Size:
Aa Aa Aa
Line Spacing:
Column Width:
Background:
Article

Band Gap Energy and Lattice Distortion in Anatase TiO2 Thin Films Prepared by Reactive Sputtering with Different Thicknesses

Centro de Investigaciones Energéticas Medioambientales y Tecnológicas (CIEMAT), Avenida Complutense 40, 28040 Madrid, Spain
Materials 2025, 18(10), 2346; https://doi.org/10.3390/ma18102346
Submission received: 7 April 2025 / Revised: 12 May 2025 / Accepted: 15 May 2025 / Published: 18 May 2025

Abstract

TiO2 is an abundant material on Earth, essential for the sustainable and cost-effective development of various technologies, with anatase being the most effective polymorph for photocatalytic and photovoltaic applications. Bulk crystalline anatase TiO2 exhibits a band gap energy EgA = 3.2 eV, for tetragonal lattice parameters aA = 0.3785 nm and cA = 0.9514 nm, but these characteristics vary for amorphous or polycrystalline thin films. Reactive magnetron sputtering has proven suitable for the preparation of TiO2 coatings on glass fiber substrates, with structural and optical characteristics that change during growth. Below a minimum thickness (t < 0.2 μm), the films have an amorphous nature or extremely small crystallite sizes not observable by X-ray diffraction. Afterwards, compressed quasi-randomly orientated crystallites are detected (volume strain ΔV = −0.02 and stress σV = −3.5 GPa for t = 0.2 μm) that evolve into relaxed and preferentially (004) orientated crystallites, reaching the standard anatase values at t ~ 1.4 μm with σV = 0.0 GPa. The band gap energy increases with lattice distortion according to the relation ∆Eg (eV) = −6∆V, and a further increase is observed for the thinnest coatings (∆Eg = 0.24 eV for t = 0.05 μm).

1. Introduction

Titanium dioxide (TiO2) is an abundant material on Earth, destined to play a pivotal role for the sustainable and cost-effective development of several technologies, including photocatalytic hydrogen production [1], photocatalytic pollutant removal [2], and photovoltaic power generation [3]. Titanium dioxide has various polymorphic forms, of which amorphous, rutile, and anatase are the most common [3]. While the rutile phase can play an important role in several applications [4], especially when mixed with anatase in modified TiO2 nanostructures [5], anatase is considered the most effective for photocatalysis and photovoltaics. This is due to its higher conduction band edge, which increases the reduction potential for electron transfer reactions, and its lower electron-hole recombination rate, which improves the lifetime of photogenerated charge carriers. Furthermore, anatase is generally formed into smaller grains with a larger surface area, which increases the number of active sites for photocatalytic reactions. In particular, the {001} facets of anatase are highly reactive and can further increase its photocatalytic performance [6,7].
For further development, it is crucial to produce TiO2 using techniques with high deposition rates and easy scale-up to large areas. Reactive magnetron sputtering meets these requirements and is suitable for the preparation of TiO2 thin films on different substrates [8,9]. It offers additional benefits such as optimal surface coverage and minimal material waste [10]. Both anatase and rutile TiO2 can be obtained by reactive sputtering depending on the total energy flux [11], which can be controlled by deposition parameters such as the discharge voltage [12] or the working gas pressure [13]. The formation of pure anatase requires a lower energy flow than the rutile phase, and it is common to obtain a mixture of both phases in varied proportions.
Since the properties of anatase and rutile phases are quite different, their identification as pure phases and the determination of the proportion of each of them in a mixture are important for understanding the performance of real devices [14]. Therefore, several methods have been developed to identify them and calculate their relative amounts, usually by X-ray diffraction (XRD) [14] or optical reflectance measurements [15]. The first method is based on the different lattice parameters for perfect anatase (aA = 0.3785 nm, cA = 0.9514 nm) and rutile (aR = 0.458 nm, cR = 0.295 nm), taking the ratio between the intensities of the anatase (101) and rutile (110) diffraction peaks to evaluate the mixtures [14]. Alternatively, the optical method is based on the different band gap energy for bulk anatase (EgA = 3.2 eV) and rutile (EgR = 3.0 eV), fitting the derivative of the diffuse reflectance spectra to Gaussian functions centered at the EgA and EgR values for the mixtures [15]. These considerations apply directly to bulk crystalline TiO2 samples, but a more detailed analysis is needed in the case of amorphous thin films or coatings with crystalline defects that alter both the lattice parameters and the Eg value even for single-phase samples [16].
This paper looks into the relationship between the structural and optical characteristics of TiO2 thin films deposited by reactive magnetron sputtering on unheated glass fiber wafers. These opaque glass fiber wafers are commonly used to support powdered photocatalytic materials because they facilitate gas or water filtration compared to flat glass substrates, and they are also less heavy and fragile. However, transparent flat glasses are more widely used for supporting thin films because they allow optical transmittance measurements. Here, the optical characterization is based on total and diffuse reflectance spectra obtained in a spectrophotometer equipped with an integrating sphere, while the structural characterization has been performed using XRD measurements. It is known that the band gap energy and lattice parameters can vary with the TiO2 film thickness, especially when it is less than 1 μm [13], and the current objective is to determine their evolution during sputtering growth on glass fiber wafers. The ultimate goal is to improve our understanding of the thin film material by relating its essential structural and optical characteristics, in order to achieve general expressions that are independent of the substrate or the preparation method used. The experimental results presented below show that structural deformation control can be a powerful tool for the improvement of photocatalytic and photovoltaic devices based on anatase TiO2 thin films, by allowing the better matching of their band gap energy to the illumination source.

2. Materials and Methods

The TiO2 coatings were prepared by the reactive DC magnetron sputtering of a metal target (15 cm diameter, 99.6% pure Ti disk) on unheated glass fiber wafers (13 cm diameter), which were placed 10 cm in front of the target. The deposition chamber was evacuated by means of a turbomolecular pump to a base pressure of 3 × 10−4 Pa and then boosted to a higher working pressure by introducing reactive (O2) and inert (Ar) gases through separate mass flow controllers. The partial pressures were set to P(O2) = 0.08 Pa and P(Ar) = 0.32 Pa, which were optimized in a previous work to obtain anatase TiO2 layers at a deposition rate of 10 nm/min on flat glass substrates [13]. The sputtering power density was kept constant at 8 W/cm2, and the sputtering time was varied to obtain different film thicknesses from 0.05 to 1.4 μm on the glass fiber wafers, where the ratio of surface area to geometric area is 35% higher than for flat glass substrates [10]. In the previous experimental study, simultaneous growth on both substrate types (fiber wafer and flat glass) was compared, and the same features were observed at the corresponding thickness [10], which is lower on the fiber wafer because the same amount of incoming TiO2 per unit time covers a larger surface area. The objective here is to better analyze the influence of the growth thickness on the structural and optical characteristics of anatase TiO2 thin films.
The microstructure of the samples was examined using a B&WTek system consisting of a BAC151B microscope (with a ×100 objective) and an i-Raman spectrometer (with a green laser of 532 nm) (both from B&W Tek, Newark, NJ, USA). The crystallographic structure was analyzed in a Philips X’pert diffractometer (PANalytical, Malvern, UK) with a Bragg–Brentano θ–2θ configuration and Cu Kα1 (λ = 1.54056 Å) radiation. The angular positions of the measured diffraction peaks were used to identify the crystalline phase by comparison with the standard Powder Diffraction Files (PDFs), while the full width at half-maximum of the diffraction peak allowed the calculation of the mean crystallite size [17]. The optical properties were determined from reflectance measurements with a Lambda 9 spectrophotometer (PerkinElmer Inc., Waltham, MA, USA) containing an integrating sphere coated on the inside with a BaSO4 diffuse reflectance standard. The determination of the total, diffuse, and direct (or specular) reflectance requires three scans as follows [18]: (1) a reference scanning without the sample, with BaSO4 plates covering the sample holder and the specular exit port, to set 100% light reflection from the reflectance standard; (2) a total signal scanning, with the material to be measured in the sample holder and a BaSO4 plate covering the specular exit port; and (3) a diffuse signal scanning, with the sample in its holder and nothing in the specular exit port. In this last configuration, only the scattered part of the radiation contributes to the detector signal because the specular beam is lost through the corresponding exit port. These readings allow us to obtain the total reflectance (Rtot), the diffuse reflectance (Rdiff), and then the direct reflectance as Rdir = Rtot − Rdiff. Moreover, the absorptance is A(%) = 100 − Rtot(%) − Ttot(%), taking into account that the substrate transmittance and therefore the total transmittance (Ttot) is zero for the samples studied here.

3. Results and Discussion

3.1. Structural Characteristics as a Function of the TiO2 Film Thickness

The influence of the film thickness (t) on the microstructure of the samples is illustrated in Figure 1, where the Raman spectra exhibit vibrational modes characteristics of the anatase TiO2 structure [19] in all cases except for the thinnest film (t = 0.05 μm), which shows no vibration signal.
The XRD patterns in Figure 2 exhibit clear diffraction peaks for t ≥ 0.2 μm, corresponding to the (101), (004), (112), (200), (105), and (211) planes of the TiO2 anatase phase (card PDF #00-021-1272), without any other reflections that could be ascribed to a different phase. Below a minimal thickness, here, t < 0.2 μm; as for other TiO2 films [9,16], it is common for amorphous or crystalline structures with extremely small crystallite sizes lower than 4 nm to be present but not observed by XRD [17]. A more detailed analysis reveals that the angular positions of the peaks (2θ(hkl)) are slightly above those given for the standard powdered TiO2 anatase, moving to the standard values when the film thickness increases. This indicates the existence of uniform compressive stress in the thinnest films [20], which is often found in coatings made by the condensation of energetic species [21,22], being, in general, weaker for thicker layers [22]. In addition, the intensity of the (004) peak increases with the film thickness, while the intensity of the (101) peak remains practically unchanged. This is interesting because the {101} facets have the lowest formation energy [23], but the {001} facets (set of planes that includes (004)) favor the dissociative adsorption of water and other molecules [24,25], being much more reactive for the photocatalytic degradation of contaminants in liquid and gas phases [7,26].
For the different films represented in Figure 2, the lattice parameters (a, c) and the unit cell volume (V) have been obtained from the measured interplanar spacings corresponding to the main diffraction peaks, d(101) and d(004), using the following equations for the tetragonal lattice structure by applying Bragg’s law [27]:
1 d ( h k l ) 2 = h 2 + k 2 a 2 + l 2 c 2 ,
V = a 2 c
Furthermore, the mean crystallite size (D) for the main facets has been obtained from the full width at half maximum (β) of the corresponding diffraction peak and the wavelength (λ) of the X-ray source, according to the Scherrer formula, expressed as follows [17]:
D ( h k l ) = 0.94 λ β c o s θ ( h k l )
Figure 3 shows the evolution of these structural features with the film thickness, where the standard powdered anatase values (aA = 0.3785 nm, cA = 0.9514 nm, and VA = 0.1363 nm3) are included for comparison (Figure 3a). There is a certain thickness range, 0.4 μm ≤ t ≤ 1.4 μm, where the mean crystallite size remains practically constant, D(101) = 33 ± 1 nm and D(004) = 17 ± 1 nm in Figure 3b, while the lattice parameters and the unit cell volume grow linearly in the ranges a = 0.3774–0.3784 nm, c = 0.9469–0.9523 nm, and V = 0.1349–0.1364 nm3. Therefore, the standard anatase values are finally reached in the thickest sample. However, for a lower thickness of t = 0.2 μm, a further decrease in the lattice parameter (a = 0.3761 nm) and the volume (V = 0.1337 nm3) is observed, together with a significant increase in the mean crystallites sizes, especially in the (004) plane, with D(101) = 35 ± 1 nm and D(004) = 26 ± 1 nm. Concerning the proportion of the principal planes in the samples, which are represented as the ratio between the respective areas r = A(004)/A(101) in Figure 3b, an increase is observed from r = 30–40% for the thinnest samples, above the random value r = 20% for the anatase powder, up to r = 75% for t = 0.8 μm, and r = 90% for t = 1.4 μm. Thus, for the present experimental conditions, the TiO2 film growth starts with highly compressed quasi-randomly orientated crystallites that evolve into more relaxed and preferentially (004)-orientated crystallites as the film thickness increases with deposition time.
Strain (ε) in the crystalline lattice is given as a fractional change in either length or volume, while stress (σ) is a quantity that describes the magnitude of the forces causing the deformation. At the elastic limit, both parameters are related by the Young modulus or modulus of elasticity Yi, along the i-axis, as follows [28]:
σ i = Y i ε i ,
where Ya = 266 GPa, Yc = 100 GPa, and the bulk modulus is B = 177 GPa for the anatase TiO2 [29,30]. This relationship results in the stress values depicted in Figure 4 for the samples with different thicknesses, taking the respective strain as the displacement of the experimental data with respect to the standard anatase value as follows [31]:
σ a ( G P a ) = Y a Δ a = 266 ( a a A ) / a A
σ c ( G P a ) = Y c Δ c = 100 ( c c A ) / c A
σ V ( G P a ) = B V = 177 ( V V A ) / V A
Therefore, positive values of the strain and stress indicate that the crystals are in tensile mode while negative values are due to compressive deformation [32]. Positive stress in the range of 0.2–2.0 GPa is observed for anatase TiO2 powders [28,33], without a direct dependence on the crystallite size from 10 to 80 nm [33]. Otherwise, negative stress ranging from −0.7 to −12 GPa has been reported for anatase TiO2 thin films [34,35], where the lattice distortion rate shows a strong size dependence when the crystallite size is less than 4 nm, remaining unaffected by sizes above 8 nm [34]. Figure 4 shows that, here, the compressive stress decreases as the film thickness increases, from σV = −3.5 GPa for t = 0.2 μm to σV = 0.0 GPa for t = 1.4 μm, regardless of the crystallite size, which is always larger than 15 nm (Figure 3b). For each sputtered TiO2 film, the compressive stress along the c-axis is lower than for the a-axis, due to the different values of the respective Young modulus, but the strain contribution is slightly higher for the c-axis, as represented by the inset in Figure 4. In this regard, it is known that [001] is the soft direction in the anatase phase, giving the c-direction good compressibility [29]. Furthermore, it should be noted that the following relationship is observed: ∆V = 2∆a + ∆c ~ 3Δa.
Several studies have been performed to understand the residual stress in sputtered thin films [22,32,36]. Under high kinetic energy conditions, compressive strain predominates because the bombarded ions hitting the growing surface cause local atomic displacements leading to the incorporation of incoming atoms into the deposited film, resulting in a smaller than typical volume [22]. On the other hand, the grain coalescence mechanism, which occurs when a film is grown by any synthesis technique, involves a tensile strain [32]. Viewing the lattice distortion as a result of stress mechanisms of a different sign, the evolution observed for the present TiO2 samples can also be related to a weakening of the overall stress when the (004) texture increases with the film thickness. As in other works, where the stress reduction is associated with a relaxation of the material to the phase or crystalline preferred orientation that minimizes the excess energy in the growing film [21,22].

3.2. Optical Characteristics as a Function of the TiO2 Film Thickness

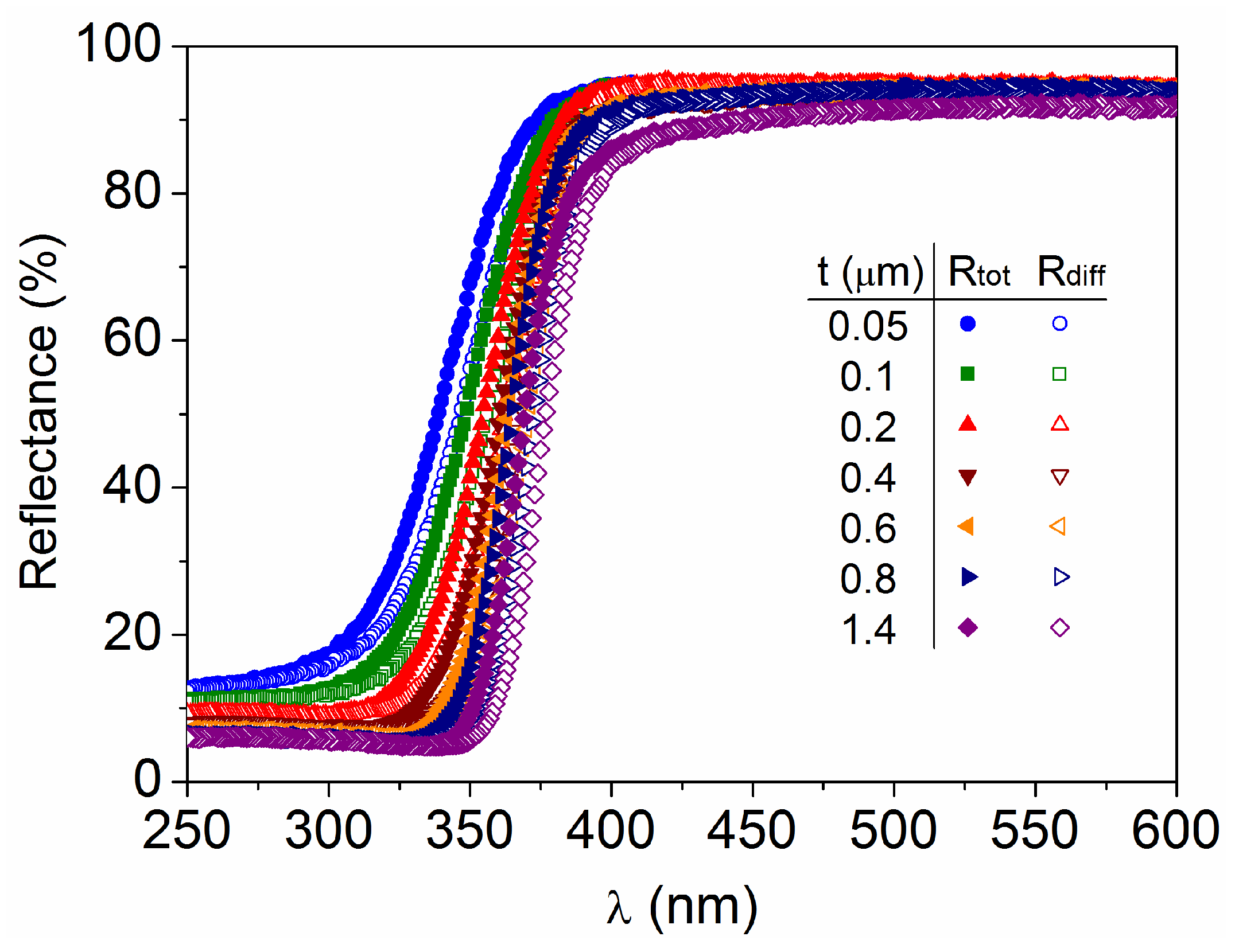
The optical reflectance spectra obtained for the different TiO2 films are represented in Figure 5, where it can be seen that, for each sample, the total reflectance is slightly higher than the diffuse reflectance (Rtot > Rdiff) in the transition region from low to high reflectance values. This transition is due to the optical absorption of photons with energy (E = hc/λ) greater than that of the semiconductor band gap (E ≥ Eg). Thus, reflectance or absorptance spectra can be used to determine Eg, but there is some debate about the most appropriate method to determine its value [15,37]. Analysis of direct reflectance (Rdir = Rtot − Rdiff) will also be performed later in this subsection. Regarding the increase in diffuse reflectance in thinner layers, it could be related to the increase in defect density but not to surface roughness because the latter tends to decrease for thinner films [13].
The band gap energy has been calculated from the linear fit of the absorption edge (also called the tangent method), by extrapolation to Rtot = 100% (or A = 0%) [37], as illustrated in Figure 6a. The value thus obtained changes from Eg = 3.30 eV for t = 0.05 μm to Eg = 3.17 eV for t = 1.4 μm, which is lower than that reported for analogous TiO2 films [38]. This is because the extrapolation is performed here to determine the energy at which absorption starts, while other methods focus on the high-absorption region. It should be noted that in the tangent method the extrapolation of absorptance is always performed towards A = 0%, but in the case of reflectance, it is sometimes directed towards Rtot = 0%, which is not really correct and gives large discrepancies in the values obtained for the same sample [37]. In fact, Figure 6a shows that the extrapolation to Rtot = 0% gives much higher energies in the range of 4.02–3.54 eV. On the other hand, in amorphous or polycrystalline materials, the onset of absorption may be due to defect states located at energies lower than the band-to-band transition [39]. Looking for a compromise solution between both extremes, the point at which Rtot = A = 50% has been determined for the different samples, which varies from Eg = 3.66 eV for t = 0.05 μm to Eg = 3.36 eV for t = 1.4 μm. These latter values are very close to those obtained by the derivative method (dRtot/dE or dA/dE) [15], which are found in the range of 3.61–3.37 eV, as shown in Figure 6b. The symmetry of the derivative peaks indicates the presence of a single phase in the samples, anatase detected by XRD, while the transition region becomes narrow as the film thickness increases.
In order to eliminate the diffuse contribution, which is not only related to the film thickness, the analysis of the direct reflectance is shown in Figure 7. Diffuse reflectance refers to radiation that is reflected in all directions, which is highly dependent on the surface roughness [40], while direct or specular reflectance has a defined reflection angle with respect to the incident radiation and occurs at an optically smooth surface. Here, the direct component shows a peak that behaves like the derivative dA/dE, but it is located at somewhat lower values, changing from Eg = 3.58 eV for t = 0.05 μm to Eg = 3.34 eV for t = 1.4 μm. This is because the diffuse reflectance contribution increases in the high-absorption region, just above the direct reflectance maximum, causing a slight shift in the absorption edge in Rtot (or A) towards higher energies.
A comparison of the Eg values obtained by the different methods is represented in Figure 8 as a function of TiO2 film thickness. For each method, the variation ∆Eg is calculated as the difference between the value for the stressed film (σ ≠ 0 when t < 1.4 μm) and that for the stress-free coating (σ = 0 for t = 1.4 μm) as follows:
Δ E g = E g ( σ 0 ) E g σ = 0
The accurate determination of Eg and ∆Eg is essential for the quantitative analysis of the observed bandgap energy widening. The tangent method (focused on the region where optical absorption begins) is found to underestimate both Eg and ∆Eg for the various samples, while the other three methods (analyzing the high-absorption region) yield similar values. Data obtained from the direct reflectance spectra can be considered more reliable since they are only affected by the film thickness, being close to the values obtained by the derivative method. It is interesting to note that Rdir cannot always be used because it is zero for TiO2 powder samples, for which Rtot = Rdiff, but it is well defined for the present layers. Both Rdir and dRtot/dE result in a maximum ∆Eg = 0.24 eV for the thinnest film with t = 0.05 μm, for which the equality method (Rtot = A = 50%) gives a slightly higher ∆Eg = 0.30 eV. Relative changes of the same order have been reported for other semiconductor thin films when the crystallite size decreases [41] or the lattice strain increases [42,43]. Moreover, band gap energies above 3.5 eV are found for amorphous TiO2 films [44], in good agreement with the absence of diffraction peaks for t ≤ 0.1 μm (Figure 2).

3.3. Relationship Between Band Gap Energy and Unit Cell Volume in TiO2 Thin Films

Figure 9 shows the variation in the band gap energy (∆Eg corresponding to Max(Rdir) in Figure 8b) as a function of the respective stress values (σa, σc, and σV depicted in Figure 4). Although larger variations are reached in Figure 8b (∆Eg = 0.16 eV for t = 0.1 μm and ∆Eg = 0.24 eV for t = 0.05 μm), no strain data were obtained for these films because they did not show diffraction peaks. Nevertheless, an extrapolation of the fits in Figure 9 allows us to estimate the stress values that would result in a larger ∆Eg. In addition, the size-dependent lattice distortion model predicts a dependence  Δ a 0.025 / D ( n m )  [34], resulting in ∆a ~ −0.013 for a crystallite size D = 2 nm, which is too low to generate observable diffraction peaks. This corresponds to σa ~ −3.46 GPa and thus to ΔEg ~ 0.24 eV according to the extrapolation performed in Figure 9, which is consistent with the band gap widening obtained for the sample with t = 0.05 μm.
In deformation potential theory [45], the band gap change under stress is expressed by the following:
Δ E g = b a σ a + b c σ c ,
where ba and bc are the band gap pressure coefficients for epitaxial and uniaxial stress, respectively. Epitaxial (or biaxial) deformation is considered due to lattice mismatch or thermal strain during film growth, whereas uniaxial deformation could result from the application of an external uniaxial pressure. In the case of hydrostatic pressure (σc = σa), the expression can be simplified to ∆Eg = (ba + bc) σa, where (ba + bc) < 0 for the anatase TiO2 structure [29]. However, this does not apply for the present samples, since Figure 4 shows that σc ~ 0.5σa and therefore ∆Eg ~ (ba + 0.5bc) σa. This results in (ba + 0.5bc) = −0.07 eV/GPa, according to the fit in Figure 9.
An analogous expression based on the volume stress is proposed here as follows:
Δ E g = b V σ V ,
which gives a band gap pressure coefficient bV = −0.034 eV/GPa according to the corresponding data in Figure 9. This value is close to that obtained using first-principles band structure calculations for the anatase TiO2 lattice with only uniaxial stress [29] or epitaxial strain [46].
By relating the variation in band gap energy to the strain instead of the stress, an expression is obtained that directly relates the optical features to the crystalline lattice distortion as follows:
Δ E g = b V * Δ V ,
with a new band gap pressure coefficient  b V *  = −6 eV, obtained from the linear fit represented in Figure 10, which is related to the previous bV by the corresponding bulk modulus of elasticity, expressed as follows:
b V * = b V B ,
where B = 177 GPa for anatase TiO2 [30].
The extrapolation performed in Figure 10 allows us to consider that the largest gap widening obtained in Section 3.2, ∆Eg = 0.24 eV for t = 0.05 μm, is consistent with a small crystallite size D ~ 2 nm. This value is too low to be observable by XRD and may generate a lattice distortion ∆a ~ −0.025/D(nm) = −0.013, resulting in ΔV = 3Δa = −0.039. Furthermore, the density functional theory predicts a higher band gap energy for amorphous TiO2 than for anatase, with a maximum value of ∆Eg = 0.32 eV [47] that is supported by the experimental data [44].

4. Conclusions

TiO2 thin films prepared by sputtering on unheated fiber glass wafers have shown clear diffraction peaks corresponding to the tetragonal anatase phase when the film thickness is 0.2 μm ≤ t ≤ 1.4 μm, with increasing lattice parameters and unit cell volume in the ranges a = 0.3761–0.3784 nm, c = 0.9452–0.9523 nm, and V = 0.1337–0.1364 nm3 as the thickness increases. The mean crystallite sizes are D(101) ≥ 33 nm and D(004) ≥ 17 nm for the various samples. Thus, the film growth starts with compressed quasi-randomly orientated crystallites (volume stress σV = −3.5 GPa for t = 0.2 μm) that evolve into relaxed and preferentially (004) orientated crystallites, reaching the standard anatase values at t ~ 1.4 μm with σV = 0.0 GPa. For each coating, the compressive stress along the c-axis is lower than for the a-axis (σc < σa), due to the different values of the respective Young modulus, but the strain contribution is slightly higher for the c-axis (∆c ≥ ∆a) with respect to the following relation: ∆V = 2∆a + ∆c ~ 3Δa. Below a minimum thickness (t < 0.2 μm), the films have an amorphous nature or small crystallite sizes less than 4 nm, which are not observable by X-ray diffraction.
Since the accurate determination of the band gap energy is essential for its quantitative analysis, a detailed comparison has been made between the Eg value obtained by different methods from the measured total and diffuse reflectance spectra (Rtot, Rdiff) and from the corresponding direct reflectance (Rdir = Rtot − Rdiff) and absorptance (here, A = 100 − Rtot for opaque substrates). For each method, the variation ∆Eg has been calculated as the difference between the value for the stressed film (σ ≠ 0 when t < 1.4 μm) and that for the stress-free coating (σ = 0 for t = 1.4 μm). A priori, the values obtained from Rdir are considered more reliable, as they are only affected by the film thickness, and are confirmed by their coincidence with those obtained by the derivative method (dRtot/dE or dA/dE). Both result in a maximum ∆Eg = 0.24 eV for the thinnest film, with Eg ~ 3.60 eV for t = 0.05 μm, while the equality method (Rtot = A = 50%) gives a slightly higher ∆Eg = 0.30 eV. Otherwise, the tangent method (extrapolation to Rtot = 100% or A = 0%) underestimates both Eg and ∆Eg for the various samples. Finally, the change in band gap energy has been directly related to the crystalline lattice distortion by the relation ∆Eg (eV) = −6∆V, for TiO2 film thicknesses 0.2 μm ≤ t ≤ 1.4 μm. From this expression, it can be considered that a larger gap widening, such as ∆Eg = 0.24 eV for t = 0.05 μm, would correspond to a small crystallite size D ~ 2 nm, which is too low to be observable by X-ray diffraction and may generate a lattice distortion ∆a ~ −0.025/D(nm) = −0.013, resulting in ΔV ~ 3Δa = −0.039.
The deformation of the anatase crystal lattice can modify the optoelectronic properties of TiO2 thin films in a significant and predictable way. Therefore, a method is presented that allows tuning the band gap energy in order to optimize photon harvesting from the light source and improve the performance of photovoltaic and photocatalytic devices based on this material.

Funding

This research received no external funding.

Institutional Review Board Statement

Not applicable.

Informed Consent Statement

Not applicable.

Data Availability Statement

The original contributions presented in the study are included in the article; further inquiries can be directed to the author.

Conflicts of Interest

The author declares no conflicts of interest.

References

  1. Aldosari, O.F. Photocatalytic water-splitting for hydrogen production using TiO2-based catalysts: Advances, current challenges, and future perspectives. Catal. Rev. Sci. Eng. 2025, 1–38. [Google Scholar] [CrossRef]
  2. Ma, H.; Li, Y.; Wang, C.; Li, Y.; Zhang, X. TiO2-based photocatalysts for removal of low-concentration NOx contamination. Catalysts 2025, 15, 103. [Google Scholar] [CrossRef]
  3. Marcelis, E.J.; ten Elshof, J.E.; Morales-Masis, M. Titanium dioxide: A versatile Earth-abundant optical material for photovoltaics. Adv. Opt. Mater. 2024, 12, 2401423. [Google Scholar] [CrossRef]
  4. Ziat, Y.; Belkhanchi, H.; Zarhri, Z. DFT analysis of structural, electrical, and optical properties of S, Si, and F-doped GeO2 rutile. Sol. Energy Sustain. Dev. J. 2025, 14, 74–89. [Google Scholar] [CrossRef]
  5. Ikreedeegh, R.; Tahir, M.; Madi, M. Modified-TiO2 nanotube arrays as a proficient photo-catalyst nanomaterial for energy and environmental applications. Sol. Energy Sustain. Dev. J. 2024, 13, 133–144. [Google Scholar] [CrossRef]
  6. Song, C.; Xiao, L.; Chen, Y.; Yang, F.; Meng, H.; Zhang, W.; Zhang, Y.; Wu, Y. TiO2-based catalysts with various structures for photocatalytic application: A review. Catalysts 2024, 14, 366. [Google Scholar] [CrossRef]
  7. Stefanov, B.I.; Niklasson, G.A.; Granqvist, C.G.; Österlund, L. Quantitative relation between photocatalytic activity and degree of <001> orientation for anatase TiO2 thin films. J. Mater. Chem. A 2015, 3, 17369–17375. [Google Scholar] [CrossRef]
  8. Garg, R.; Gonuguntla, S.; Sk, S.; Iqbal, M.S.; Dada, A.O.; Pal, U.; Ahmadipour, M. Sputtering thin films: Materials, applications, challenges and future directions. Adv. Colloid Interface Sci. 2024, 330, 103203. [Google Scholar] [CrossRef]
  9. Şeşe, A.; Akkus, M.S. TiO2-coated thin films: A catalyst for sustainable hydrogen production from potassium borohydride. Int. J. Hydrogen Energy, 2025; in press. [Google Scholar] [CrossRef]
  10. Fresno, F.; Reñones, P.; Alfonso, E.; Guillén, C.; Trigo, J.F.; Herrero, J.; Collado, L.; de la Peña O’Shea, V.A. Influence of surface density on the CO2 photoreduction activity of a DC magnetron sputtered TiO2 catalyst. Appl. Catal. B Environ. 2018, 224, 912–918. [Google Scholar] [CrossRef]
  11. Cormier, P.A.; Balhamri, A.; Thomann, A.L.; Dussart, R.; Semmar, N.; Lecas, T.; Snyders, R.; Konstantinidis, S. Titanium oxide thin film growth by magnetron sputtering: Total energy flux and its relationship with the phase constitution. Surf. Coat. Technol. 2014, 254, 291–297. [Google Scholar] [CrossRef]
  12. Guillén, C.; Montero, J.; Herrero, J. Anatase and rutile TiO2 thin films prepared by reactive DC sputtering at high deposition rates on glass and flexible polyimide substrates. J. Mater. Sci. 2014, 49, 5035–5042. [Google Scholar] [CrossRef]
  13. Guillén, C.; Herrero, J. TiO2 coatings obtained by reactive sputtering at room temperature: Physical properties as a function of the sputtering pressure and film thickness. Thin Solid Films 2017, 636, 193–199. [Google Scholar] [CrossRef]
  14. Sarngan, P.P.; Lakshmanan, A.; Sarkar, D. Influence of anatase-rutile ratio on band edge position and defect states of TiO2 homojunction catalyst. Chemosphere 2022, 286, 131692. [Google Scholar] [CrossRef]
  15. Zanatta, A.R. Assessing the amount of the anatase and rutile phases of TiO2 by optical reflectance measurements. Results Phys. 2021, 22, 103864. [Google Scholar] [CrossRef]
  16. Abbas, Q.A.; Alhelaly, M.T.; Hameed, M.A. The inter-planner parameter and the blue shift of band gap of titanium dioxide thin films prepared using the DC reactive magnetron sputtering. J. Opt. 2024, 53, 1516–1527. [Google Scholar] [CrossRef]
  17. Vorokh, A.S. Scherrer formula: Estimation of error in determining small nanoparticle size. Nanosyst. Phys. Chem. Math. 2018, 9, 364–369. [Google Scholar] [CrossRef]
  18. Roos, A. Use of an integrating sphere in solar energy research. Sol. Energy Mater. Sol. Cells 1993, 30, 77–94. [Google Scholar] [CrossRef]
  19. Zeng, T.; Qiu, Y.; Chen, L.; Song, X. Microstructure and phase evolution of TiO2 precursors prepared by peptization-hydrolysis method using polycarboxylic acid as peptizing agent. Mater. Chem. Phys. 1998, 56, 163–170. [Google Scholar] [CrossRef]
  20. Khorsand Zak, A.; Majid, W.H.A.; Abrishami, M.E.; Yousefi, R. X-ray analysis of ZnO nanoparticles by Williamson-Hall and size-strain plot methods. Solid State Sci. 2011, 13, 251–256. [Google Scholar] [CrossRef]
  21. Bilek, M.M.M.; McKenzie, D.R. A comprehensive model of stress generation and relief processes in thin films deposited with energetic ions. Surf. Coat. Technol. 2006, 200, 4345–4354. [Google Scholar] [CrossRef]
  22. Detor, A.J.; Hodge, A.M.; Chason, E.; Wang, Y.; Xu, H.; Conyers, M.; Nikroo, A.; Hamza, A. Stress and microstructure evolution in thick sputtered films. Acta Mater. 2009, 57, 2055–2065. [Google Scholar] [CrossRef]
  23. Diebold, U. The surface science of titanium dioxide. Surf. Sci. Rep. 2003, 48, 53–229. [Google Scholar] [CrossRef]
  24. Tian, F.H.; Wang, X.; Zhao, W.; Zhao, L.; Chu, T.; Yu, S. Adsorption of 2-propanol on anatase TiO2 (101) and (001) surfaces: A density functional theory study. Surf. Sci. 2013, 616, 76–84. [Google Scholar] [CrossRef]
  25. Chen, M.; Ma, J.; Zhang, B.; He, G.; Li, Y.; Zhang, C.; He, H. Remarkable synergistic effect between {001} facets and surface F ions promoting hole migration on anatase TiO2. Appl. Catal. B Environ. 2017, 207, 397–403. [Google Scholar] [CrossRef]
  26. Mahmood, A.; Shi, G.; Xie, X.; Sun, J. Assessing the adsorption and photocatalytic activity of TiO2 nanoparticles for the gas phase acetaldehyde: A computational and experimental study. J. Alloys Compd. 2020, 819, 153055. [Google Scholar] [CrossRef]
  27. Oruç, P.; Turan, N.; Cavdar, S.; Tuğluoğlu, N.; Koralay, H. Investigation of dielectric properties of amorphous, anatase, and rutile TiO2 structures. J. Mater. Sci. Mater. Electron. 2023, 34, 498. [Google Scholar] [CrossRef]
  28. Sahadat Hossain, M.; Ahmed, S. Easy and green synthesis of TiO2 (Anatase and Rutile): Estimation of crystallite size using Scherrer equation, Williamson-Hall plot, Monshi-Scherrer Model, size-strain plot, Halder- Wagner Model. Results Mater. 2023, 20, 100492. [Google Scholar] [CrossRef]
  29. Yin, W.J.; Chen, S.; Yang, J.H.; Gong, X.G.; Yan, Y.; Wei, S.H. Effective band gap narrowing of anatase TiO2 by strain along a soft crystal direction. Appl. Phys. Lett. 2010, 96, 2008–2011. [Google Scholar] [CrossRef]
  30. Arlt, T.; Bermejo, M.; Blanco, M. High-pressure polymorphs of anatase. Phys. Rev. B—Condens. Matter Mater. Phys. 2000, 61, 14414–14419. [Google Scholar] [CrossRef]
  31. Wagner, J.M.; Bechstedt, F. Properties of strained wurtzite GaN and AlN: Ab initio studies. Phys. Rev. B—Condens. Matter Mater. Phys. 2002, 66, 115202. [Google Scholar] [CrossRef]
  32. Janssen, G.C.A.M. Stress and strain in polycrystalline thin films. Thin Solid Films 2007, 515, 6654–6664. [Google Scholar] [CrossRef]
  33. Rajender, G.; Giri, P.K. Strain induced phase formation, microstructural evolution and bandgap narrowing in strained TiO2 nanocrystals grown by ball milling. J. Alloys Compd. 2016, 676, 591–600. [Google Scholar] [CrossRef]
  34. Qiu, X.; Gou, G.; Zhang, K.; Zhang, X.; Sun, W.; Qin, S.; Luo, X.; Feng, P.; Pan, J.; Gao, W. Investigation on TiO2 photocathodic protection based on lattice distortion and stress engineering. Mater. Today Commun. 2023, 35, 105782. [Google Scholar] [CrossRef]
  35. Paul, T.C.; Podder, J. Synthesis and characterization of Zn-incorporated TiO2 thin films: Impact of crystallite size on X-ray line broadening and bandgap tuning. Appl. Phys. A Mater. Sci. Process. 2019, 125, 818. [Google Scholar] [CrossRef]
  36. Kusano, E. Structure-zone modeling of sputter-deposited thin films: A brief review. Appl. Sci. Converg. Technol. 2019, 28, 179–185. [Google Scholar] [CrossRef]
  37. Welter, E.S.; Garg, S.; Gläser, R.; Goepel, M. Methodological investigation of the band gap determination of solid semiconductors via UV/Vis spectroscopy. ChemPhotoChem 2023, 7, e202300001. [Google Scholar] [CrossRef]
  38. Serrar, H.; Mecibah, F.Z.; Kribes, I.; Bouachiba, Y.; Mammeri, A.; Bouabellou, A.; Retima, M.; Boughelout, A.; Taabouche, A.; Aouati, R. Argon flow rate effects on the optical waveguide properties of DC sputtered TiO2 thin films. Opt. Mater. 2023, 135, 113259. [Google Scholar] [CrossRef]
  39. Mullerova, J.; Sutta, P. On some ambiguities of the absorption edge and optical band gaps of amorphous and polycrystalline semiconductors. Commun. Sci. Lett. Univ. Zilina 2017, 19, 9–15. [Google Scholar] [CrossRef]
  40. Guillén, C.; Montero, J.; Herrero, J. Transparent and conductive electrodes combining AZO and ATO thin films for enhanced light scattering and electrical performance. Appl. Surf. Sci. 2013, 264, 448–452. [Google Scholar] [CrossRef]
  41. Gal, G.; Mastai, Y.; Hodes, G.; Kronik, L. Band gap determination of semiconductor powders via surface photovoltage spectroscopy. J. Appl. Phys. 1999, 86, 5573–5577. [Google Scholar] [CrossRef]
  42. Ansari, M.Z.; Munjal, S.; Khare, N. Intrinsic strain dependent redshift in optical band gap of Cu2ZnSnS4 nanostructured thin films. Thin Solid Films 2018, 657, 95–100. [Google Scholar] [CrossRef]
  43. Khammar, M.; Ynineb, F.; Guitouni, S.; Bouznit, Y.; Attaf, N. Crystallite size and intrinsic strain contribution in band gap energy redshift of ultrasonic-sprayed kesterite CZTS nanostructured thin films. Appl. Phys. A Mater. Sci. Process. 2020, 126, 398. [Google Scholar] [CrossRef]
  44. Welte, A.; Waldauf, C.; Brabec, C.; Wellmann, P.J. Application of optical absorbance for the investigation of electronic and structural properties of sol-gel processed TiO2 films. Thin Solid Films 2008, 516, 7256–7259. [Google Scholar] [CrossRef]
  45. Van de Walle, C.G. Band lineups and deformation potentials in the model-solid theory. Phys. Rev. B 1989, 39, 1871–1883. [Google Scholar] [CrossRef]
  46. Liu, Z.; Menéndez, C.; Shenoy, J.; Hart, J.N.; Sorrell, C.C.; Cazorla, C. Strain engineering of oxide thin films for photocatalytic applications. Nano Energy 2020, 72, 104732. [Google Scholar] [CrossRef]
  47. Kaur, K.; Singh, C.V. Amorphous TiO2 as a photocatalyst for hydrogen production: A DFT study of structural and electronic properties. Energy Procedia 2012, 29, 291–299. [Google Scholar] [CrossRef]
Figure 1. Raman spectra obtained for films with different thicknesses. The characteristic vibrational modes of anatase TiO2 are identified.
Figure 1. Raman spectra obtained for films with different thicknesses. The characteristic vibrational modes of anatase TiO2 are identified.
Materials 18 02346 g001
Figure 2. XRD patterns obtained for films with different thicknesses. The vertical dashed lines represent the angular positions corresponding to the standard TiO2 anatase (PDF #00-021-1272).
Figure 2. XRD patterns obtained for films with different thicknesses. The vertical dashed lines represent the angular positions corresponding to the standard TiO2 anatase (PDF #00-021-1272).
Materials 18 02346 g002
Figure 3. Evolution of the crystalline characteristics with the sputtered film thickness: (a) lattice parameters and unit cell volume; and (b) mean crystallite size and ratio between the main diffraction peaks. The values corresponding to the standard anatase (aA, cA, VA) are included for comparison.
Figure 3. Evolution of the crystalline characteristics with the sputtered film thickness: (a) lattice parameters and unit cell volume; and (b) mean crystallite size and ratio between the main diffraction peaks. The values corresponding to the standard anatase (aA, cA, VA) are included for comparison.
Materials 18 02346 g003
Figure 4. Evolution of the crystalline lattice stress with the sputtered film thickness. The inset shows the interrelation between the respective strain values.
Figure 4. Evolution of the crystalline lattice stress with the sputtered film thickness. The inset shows the interrelation between the respective strain values.
Materials 18 02346 g004
Figure 5. Total and diffuse reflectance spectra as a function of the light wavelength for the TiO2 films with different thicknesses.
Figure 5. Total and diffuse reflectance spectra as a function of the light wavelength for the TiO2 films with different thicknesses.
Materials 18 02346 g005
Figure 6. Calculation of the band gap energy from the total reflectance and absorptance spectra of TiO2 films with different thicknesses: (a) application of the tangent method, and (b) derivative method.
Figure 6. Calculation of the band gap energy from the total reflectance and absorptance spectra of TiO2 films with different thicknesses: (a) application of the tangent method, and (b) derivative method.
Materials 18 02346 g006
Figure 7. Calculation of the band gap energy from the direct reflectance spectra of TiO2 films with different thicknesses.
Figure 7. Calculation of the band gap energy from the direct reflectance spectra of TiO2 films with different thicknesses.
Materials 18 02346 g007
Figure 8. Evolution of (a) the band gap energy Eg and (b) the variation ΔEg, determined by several methods for TiO2 films with different thickness.
Figure 8. Evolution of (a) the band gap energy Eg and (b) the variation ΔEg, determined by several methods for TiO2 films with different thickness.
Materials 18 02346 g008
Figure 9. Variation in the band gap energy as a function of stress (σa circles, σc squares, and σV triangles) in the anatase crystalline lattice.
Figure 9. Variation in the band gap energy as a function of stress (σa circles, σc squares, and σV triangles) in the anatase crystalline lattice.
Materials 18 02346 g009
Figure 10. Variation in the band gap energy as a function of the volume strain in the anatase crystalline lattice.
Figure 10. Variation in the band gap energy as a function of the volume strain in the anatase crystalline lattice.
Materials 18 02346 g010
Disclaimer/Publisher’s Note: The statements, opinions and data contained in all publications are solely those of the individual author(s) and contributor(s) and not of MDPI and/or the editor(s). MDPI and/or the editor(s) disclaim responsibility for any injury to people or property resulting from any ideas, methods, instructions or products referred to in the content.

Share and Cite

MDPI and ACS Style

Guillén, C. Band Gap Energy and Lattice Distortion in Anatase TiO2 Thin Films Prepared by Reactive Sputtering with Different Thicknesses. Materials 2025, 18, 2346. https://doi.org/10.3390/ma18102346

AMA Style

Guillén C. Band Gap Energy and Lattice Distortion in Anatase TiO2 Thin Films Prepared by Reactive Sputtering with Different Thicknesses. Materials. 2025; 18(10):2346. https://doi.org/10.3390/ma18102346

Chicago/Turabian Style

Guillén, Cecilia. 2025. "Band Gap Energy and Lattice Distortion in Anatase TiO2 Thin Films Prepared by Reactive Sputtering with Different Thicknesses" Materials 18, no. 10: 2346. https://doi.org/10.3390/ma18102346

APA Style

Guillén, C. (2025). Band Gap Energy and Lattice Distortion in Anatase TiO2 Thin Films Prepared by Reactive Sputtering with Different Thicknesses. Materials, 18(10), 2346. https://doi.org/10.3390/ma18102346

Note that from the first issue of 2016, this journal uses article numbers instead of page numbers. See further details here.

Article Metrics

Back to TopTop