Thermal–Mechanical and Microstructural Simulation of Rotary Friction Welding Processes by Using Finite Element Method
Abstract
1. Introduction
2. FE Modeling Methodology
2.1. Thermal–Mechanical Constitutive Equations
2.2. Microstructural Constitutive Equations
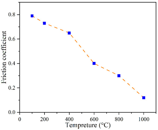
2.3. Material Properties and Boundary Conditions
3. Results and Discussion
3.1. Validation of the Thermal–Mechanical Simulation
3.2. Thermal–Mechanical Simulation Results
3.3. Validation of the Microstructural Simulation
3.4. Microstructural Simulation Results
4. Conclusions
- The maximum value of effective plastic strain obtained from the thermal–mechanical simulation of the RFW process of Inconel 718 tubes with the assigned parameters was predicted as 3.86. Additionally, due to the friction between the welding faces, the temperature of the interface area increased to 1217 degrees Celsius. These results provide valuable insights into the changes in various parameters required for microstructural simulation.
- The simulation accurately predicted high plastic deformation at the weld interface, which was caused by a decrease in material flow stress as a result of the increase in the temperature at the weld interface. Furthermore, the simulation provided valuable information on how microstructural parameters change, by predicting strain rate changes in different regions of the welded tube.
- The distribution of the volume fraction of recrystallization was calculated using Johnson–Avrami relations, taking into account changes in plastic strain. Based on the results from solving the equations, the maximum amount of recrystallization volume fraction was found to occur in the center of the tube wall in the vicinity of the weld interface.
- The thickness of the area affected by dynamic recrystallization phenomena was calculated by determining the recrystallization volume fraction at different points in the simulation. Accordingly, the thickness of this area was predicted as 480 μm at the center of the tube wall and 850 μm at the edge. These values were in close coherence with the values from experimental tests, which were reported as 500 and 800 μm, respectively.
- In the same experimental test of the RFW process, the grain size near the welding interface was measured to be within a range of 1.9 to 2.2 μm. Correspondingly, the simulation predicted an average grain size of approximately 2 μm at the welding interface. These results demonstrate close agreement between the experimental measurements and the simulation predictions.
Author Contributions
Funding
Institutional Review Board Statement
Informed Consent Statement
Data Availability Statement
Conflicts of Interest
References
- Park, G.; Jeong, S.; Lee, C. Fusion Weldabilities of Advanced High Manganese Steels: A Review. Met. Mater. Int. 2021, 27, 2046–2058. [Google Scholar] [CrossRef]
- Pouranvari, M. Critical review on fusion welding of magnesium alloys: Metallurgical challenges and opportunities. Sci. Technol. Weld. Join. 2021, 26, 559–580. [Google Scholar] [CrossRef]
- Chamanfar, A.; Jahazi, M.; Cormier, J. A review on inertia and linear friction welding of Ni-based superalloys. Metall. Mater. Trans. A 2015, 46, 1639–1669. [Google Scholar] [CrossRef]
- Ajay, V.; Babu, N.K.; Ashfaq, M.; Kumar, T.M.; Krishna, K.V. A review on rotary and linear friction welding of Inconel alloys. Trans. Indian Inst. Met. 2021, 74, 2583–2598. [Google Scholar] [CrossRef]
- Maalekian, M. Friction welding—Critical assessment of literature. Sci. Technol. Weld. Join. 2007, 12, 738–759. [Google Scholar] [CrossRef]
- Rangasamy, S.; Kamalamurthy, S.; Ponnusamy, S.; Bellamkonda, P.N.; Visvalingam, B. Optimization of mechanical properties of rotary friction welding parameters of low alloy steel tubes using design of experiments concept. Int. J. Interact. Des. Manuf. (IJIDeM) 2023. [Google Scholar] [CrossRef]
- Rehman, A.U.; Usmani, Y.; Al-Samhan, A.M.; Anwar, S. Rotary friction welding of inconel 718 to inconel 600. Metals 2021, 11, 244. [Google Scholar] [CrossRef]
- Selvaraj, R.; Shanmugam, K.; Selvaraj, P.; Balasubramanian, V. Optimization of process parameters of rotary friction welding of low alloy steel tubes using response surface methodology. Forces Mech. 2023, 10, 100175. [Google Scholar] [CrossRef]
- Nasution, A.K.; Gustami, H.; Suprastio, S.; Fadillah, M.; Octavia, J.; Saidin, S. Potential use of Friction Welding for Fabricating Semi-Biodegradable Bone Screws. Int. J. Automot. Mech. Eng. 2022, 19, 9660–9667. [Google Scholar] [CrossRef]
- Mousavi, S.; Kelishami, A.R. Experimental and numerical analysis of the friction welding process for the 4340 steel and mild steel combinations. Weld. J. 2008, 87, 178. [Google Scholar]
- Li, W.; Shi, S.; Wang, F.; Zhang, Z.; Ma, T.; Li, J. Numerical Simulation of Friction Welding Processes Based on ABAQUS Environment. J. Eng. Sci. Technol. Rev. 2012, 5, 10–19. [Google Scholar] [CrossRef]
- Kuo, C.-C.; Gurumurthy, N.; Chen, H.-W.; Hunag, S.-H. Experimentation and Numerical Modeling of Peak Temperature in the Weld Joint during Rotary Friction Welding of Dissimilar Plastic Rods. Polymers 2023, 15, 2124. [Google Scholar] [CrossRef] [PubMed]
- Fu, L.; Duan, L.; Du, S. Numerical simulation of inertia friction welding process by finite element method. Weld. J. 2003, 82, 65-S. [Google Scholar]
- Yang, X.; Li, W.; Fu, Y.; Ye, Q.; Xu, Y.; Dong, X.; Hu, K.; Zou, Y. Finite element modelling for temperature, stresses and strains calculation in linear friction welding of TB9 titanium alloy. J. Mater. Res. Technol. 2019, 8, 4797–4818. [Google Scholar] [CrossRef]
- Khosrowshahi, J.H.; Sadeghi, M.H.; Rasti, A. Numerical simulation of plastic deformation in direct-drive friction welding of AISI 4140 and ASTM A106 steel tubes. Arch. Civ. Mech. Eng. 2020, 20, 116. [Google Scholar] [CrossRef]
- Okeke, S.I.; Harrison, N.M.; Tong, M. Computational modelling of dynamic recrystallisation of Ni-based superalloy during linear friction welding. Int. J. Adv. Manuf. Technol. 2022, 119, 4461–4484. [Google Scholar] [CrossRef]
- Liu, F.C.; Nelson, T.W. Grain structure evolution, grain boundary sliding and material flow resistance in friction welding of Alloy 718. Mater. Sci. Eng. A 2018, 710, 280–288. [Google Scholar] [CrossRef]
- Fanfoni, M.; Tomellini, M. The Johnson-Mehl- Avrami-Kohnogorov model: A brief review. Il Nuovo C. D 1998, 20, 1171–1182. [Google Scholar] [CrossRef]
- Dassault-Systèmes. Abaqus 2020 Analysis User’s Guide Volume II: Analysis. 2020. Available online: https://www.3ds.com/products-services/simulia/services-support/support/documentation/ (accessed on 14 May 2020).
- Seli, H.; Awang, M.; Ismail, A.I.M.; Rachman, E.; Ahmad, Z.A. Evaluation of properties and FEM model of the friction welded mild steel-Al6061-alumina. Mater. Res. 2013, 16, 453–467. [Google Scholar] [CrossRef]
- Zhang, Q.; Zhang, L.; Liu, W.; Zhang, X.; Zhu, W.; Qu, S. 3D rigid viscoplastic FE modelling of continuous drive friction welding process. Sci. Technol. Weld. Join. 2006, 11, 737–743. [Google Scholar] [CrossRef]
- Uday, M.B.; Ahmad Fauzi, M.N.; Zuhailawati, H.; Ismail, A.B. Advances in friction welding process: A review. Sci. Technol. Weld. Join. 2010, 15, 534–558. [Google Scholar] [CrossRef]
- Wang, F.F.; Li, W.Y.; Li, J.L.; Vairis, A. Process parameter analysis of inertia friction welding nickel-based superalloy. Int. J. Adv. Manuf. Technol. 2014, 71, 1909–1918. [Google Scholar] [CrossRef]
- Jin, F.; Li, J.; Du, Y.; Nan, X.; Shi, J.; Xiong, J.; Zhang, F. Numerical simulation based upon friction coefficient model on thermo-mechanical coupling in rotary friction welding corresponding with corona-bond evolution. J. Manuf. Process. 2019, 45, 595–602. [Google Scholar] [CrossRef]
- Clas, T.; Ringius, H. FE Modeling of Friction Welding Thermo-Mechanical Simulations Using ABAQUS. Master’s Degree, Chalmers University of Technology, Göteborg, Sweden, 2017. [Google Scholar]
- Singh, S.K.; Chattopadhyay, K.; Phanikumar, G.; Dutta, P. Experimental and numerical studies on friction welding of thixocast A356 aluminum alloy. Acta Mater. 2014, 73, 177–185. [Google Scholar] [CrossRef]
- Bai, L.; Wan, S.; Yi, G.; Shan, Y.; Pham, S.T.; Tieu, A.K.; Li, Y.; Wang, R. Temperature-mediated tribological characteristics of 40CrNiMoA steel and Inconel 718 alloy during sliding against Si3N4 counterparts. Friction 2021, 9, 1175–1197. [Google Scholar] [CrossRef]
- Chen, L.; Sun, W.; Lin, J.; Zhao, G.; Wang, G. Modelling of constitutive relationship, dynamic recrystallization and grain size of 40Cr steel during hot deformation process. Results Phys. 2019, 12, 784–792. [Google Scholar] [CrossRef]
- Li, C.; Tan, Y.; Zhao, F. Finite element simulation and process optimization of microstructure evolution in the formation of Inconel 718 alloy bolts. Mater. Res. Express 2019, 6, 026578. [Google Scholar] [CrossRef]
- Razali, M.K.; Joun, M.S. A new approach of predicting dynamic recrystallization using directly a flow stress model and its application to medium Mn steel. J. Mater. Res. Technol. 2021, 11, 1881–1894. [Google Scholar] [CrossRef]
- Churyumov, A.Y.; Pozdniakov, A.V. Simulation of Microstructure Evolution in Metal Materials under Hot Plastic Deformation and Heat Treatment. Phys. Met. Metallogr. 2020, 121, 1064–1086. [Google Scholar] [CrossRef]
- Derazkola, H.A.; Garcia, E.; Murillo-Marrodán, A.; Fernandez, A.C. Review on modeling and simulation of dynamic recrystallization of martensitic stainless steels during bulk hot deformation. J. Mater. Res. Technol. 2022, 18, 2993–3025. [Google Scholar] [CrossRef]
- Quan, G.-Z.; Mao, Y.-P.; Li, G.-S.; Lv, W.-Q.; Wang, Y.; Zhou, J. A characterization for the dynamic recrystallization kinetics of as-extruded 7075 aluminum alloy based on true stress–strain curves. Comput. Mater. Sci. 2012, 55, 65–72. [Google Scholar] [CrossRef]
- Xu, Y.; Chen, C.; Zhang, X.; Dai, H.; Jia, J.; Bai, Z. Dynamic recrystallization kinetics and microstructure evolution of an AZ91D magnesium alloy during hot compression. Mater. Charact. 2018, 145, 39–52. [Google Scholar] [CrossRef]
- Quan, G.-Z. Characterization for dynamic recrystallization kinetics based on stress-strain curves. In Recent Developments in the Study of Recrystallization; InTech: London, UK, 2013; pp. 61–64. [Google Scholar] [CrossRef]
- Humphreys, F.J.; Hatherly, M. Recrystallization and Related Annealing Phenomena; Elsevier: Amsterdam, The Netherlands, 2012. [Google Scholar]
- Lv, Y.-P.; Li, S.-J.; Zhang, X.-Y.; Li, Z.-Y.; Zhou, K.-C. Modeling and Finite Element Analysis for the Dynamic Recrystallization Behavior of Ti-5Al-5Mo-5V-3Cr-1Zr Near β Titanium Alloy During Hot Deformation. High Temp. Mater. Process. 2018, 37, 445–454. [Google Scholar] [CrossRef]
- Lenard, J.G.; Pietrzyk, M.; Cser, L. Chapter 6—Microstructure Evolution and Mechanical Properties of the Final Product. In Mathematical and Physical Simulation of the Properties of Hot Rolled Products; Lenard, J.G., Pietrzyk, M., Cser, L., Eds.; Elsevier Science Ltd.: Oxford, UK, 1999; pp. 151–236. [Google Scholar]
- Sente Software. (n.d.) JMatPro®. Retrieved 2020. Available online: https://www.sentesoftware.co.uk/jmatpro (accessed on 6 February 2024).
- Saunders, N.; Guo, U.K.Z.; Li, X.; Miodownik, A.P.; Schillé, J.P. Using JMatPro to model materials properties and behavior. JOM 2003, 55, 60–65. [Google Scholar] [CrossRef]
- Saunders, N.; Guo, Z.; Li, X.; Miodownik, A.P.; Gu, G. Modelling the Material Properties and Behaviour of Ni-Based Superalloys. In Proceedings of the Superalloys 2004, the Minerals, Metals and Materials Society, Warrendale, PA, UA, 19–23 September 2004; pp. 849–858. [Google Scholar] [CrossRef]
- Guo, Z.; Saunders, N.; Miodownik, A.; Schillé, J.P. Quantification of High Temperature Strength of Nickel-Based Superalloys. Mater. Sci. Forum 2007, 546–549, 1319–1326. [Google Scholar] [CrossRef]
- Saunders, N.; Guo, Z.; Miodownik, A.; Schillé, J.-P. Modelling high temperature mechanical properties and microstructure evolution in Ni-based superalloys. Sente. Softw. Intern. Rep. 2008, 9, 1–9. [Google Scholar]
- Geng, P.; Qin, G.; Zhou, J. Numerical and experimental investigation on friction welding of austenite stainless steel and middle carbon steel. J. Manuf. Process. 2019, 47, 83–97. [Google Scholar] [CrossRef]
- Bennett, C.; Hyde, T.; Williams, E. Modelling and simulation of the inertia friction welding of shafts. Proc. Inst. Mech. Eng. Part L: J. Mater. Des. Appl. 2007, 221, 275–284. [Google Scholar] [CrossRef]
- Lashgari, H.R.; Li, S.; Kong, C.; Asnavandi, M.; Zangeneh, S. Rotary friction welding of additively manufactured 17-4PH stainless steel. J. Manuf. Process. 2021, 64, 1517–1528. [Google Scholar] [CrossRef]
- Kessler, M.; Hartl, R.; Fuchs, A.; Zaeh, M. Simulation of rotary friction welding using a viscoelastic Maxwell model. Sci. Technol. Weld. Join. 2020, 26, 68–74. [Google Scholar] [CrossRef]
- Maalekian, M.; Cerjak, H. Thermal-Phase Transformation Modelling and Neural Network Analysis of Friction Welding of Non-Circular Eutectoid Steel Components. Weld. World 2009, 53, R44–R51. [Google Scholar] [CrossRef]
- Tang, T.; Shi, Q.; Lei, B.; Zhou, J.; Gao, Y.; Li, Y.; Zhang, G.; Chen, G. Transition of interfacial friction regime and its influence on thermal responses in rotary friction welding of SUS304 stainless steel: A fully coupled transient thermomechanical analysis. J. Manuf. Process. 2022, 82, 403–414. [Google Scholar] [CrossRef]
- Dzioba, I.; Pala, T. Influence of LWE on Strength of Welded Joints of HSS S960—Experimental and Numerical Analysis. Materials 2020, 13, 747. [Google Scholar] [CrossRef] [PubMed]
- Damodaram, R.; Ganesh Sundara Raman, S.; Kalvala, P. Microstructure and mechanical properties of friction welded alloy 718. Mater. Sci. Eng. A 2013, 560, 781–786. [Google Scholar] [CrossRef]
















Disclaimer/Publisher’s Note: The statements, opinions and data contained in all publications are solely those of the individual author(s) and contributor(s) and not of MDPI and/or the editor(s). MDPI and/or the editor(s) disclaim responsibility for any injury to people or property resulting from any ideas, methods, instructions or products referred to in the content. |
© 2024 by the authors. Licensee MDPI, Basel, Switzerland. This article is an open access article distributed under the terms and conditions of the Creative Commons Attribution (CC BY) license (https://creativecommons.org/licenses/by/4.0/).
Share and Cite
Mani, H.; Taherizadeh, A.; Sadeghian, B.; Sadeghi, B.; Cavaliere, P. Thermal–Mechanical and Microstructural Simulation of Rotary Friction Welding Processes by Using Finite Element Method. Materials 2024, 17, 815. https://doi.org/10.3390/ma17040815
Mani H, Taherizadeh A, Sadeghian B, Sadeghi B, Cavaliere P. Thermal–Mechanical and Microstructural Simulation of Rotary Friction Welding Processes by Using Finite Element Method. Materials. 2024; 17(4):815. https://doi.org/10.3390/ma17040815
Chicago/Turabian StyleMani, Hossein, Aboozar Taherizadeh, Behzad Sadeghian, Behzad Sadeghi, and Pasquale Cavaliere. 2024. "Thermal–Mechanical and Microstructural Simulation of Rotary Friction Welding Processes by Using Finite Element Method" Materials 17, no. 4: 815. https://doi.org/10.3390/ma17040815
APA StyleMani, H., Taherizadeh, A., Sadeghian, B., Sadeghi, B., & Cavaliere, P. (2024). Thermal–Mechanical and Microstructural Simulation of Rotary Friction Welding Processes by Using Finite Element Method. Materials, 17(4), 815. https://doi.org/10.3390/ma17040815

