Anisotropic Optical Response of Ti-Doped VO2 Single Crystals
Abstract
1. Introduction
2. Materials and Methods
3. Results
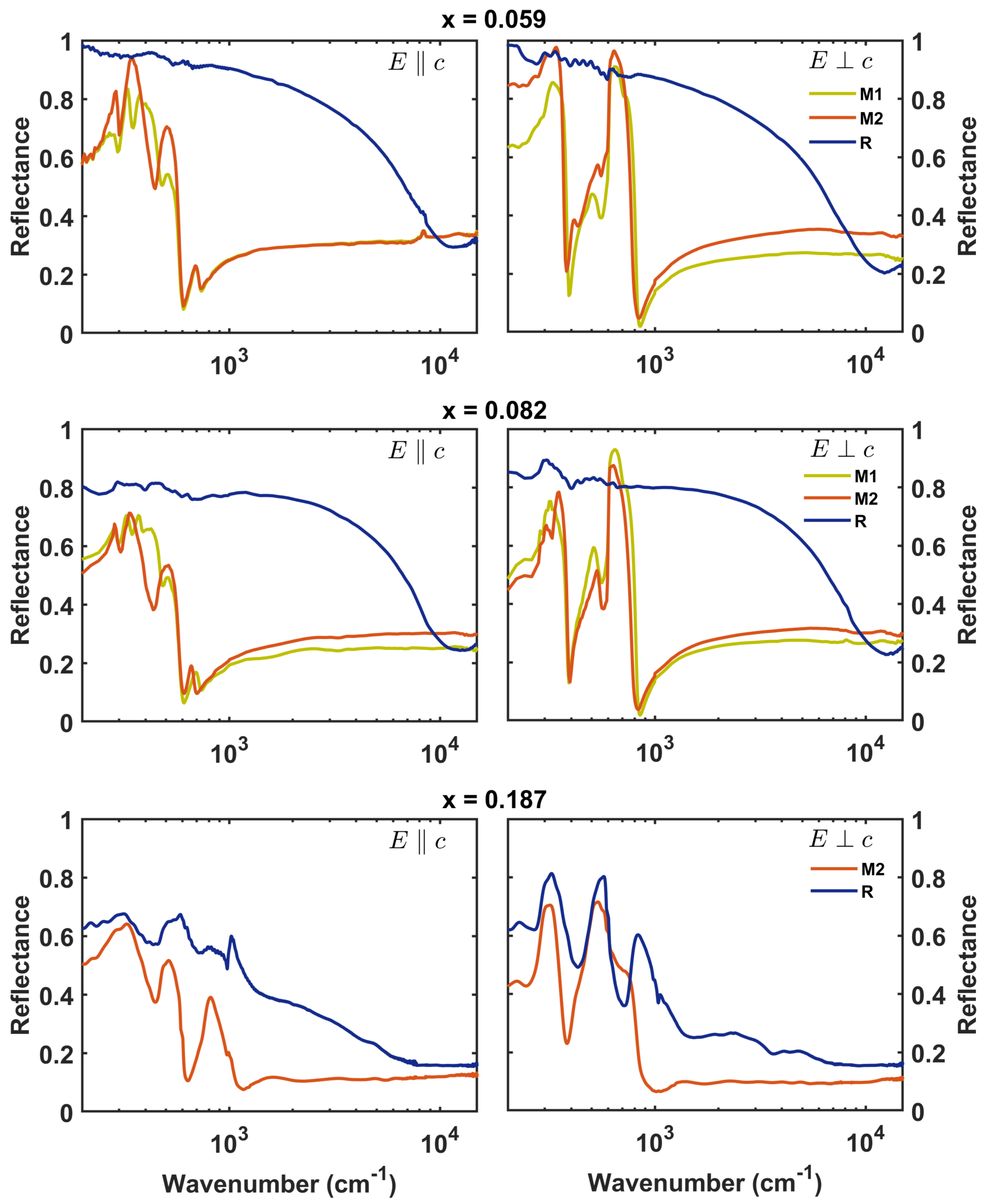
3.1. Metallic Phase
3.2. Insulating Phases
3.2.1. M1 Insulating Phase
3.2.2. M2 Phase
4. Conclusions
Author Contributions
Funding
Institutional Review Board Statement
Informed Consent Statement
Data Availability Statement
Acknowledgments
Conflicts of Interest
References
- Morin, F.J. Oxides Which Show a Metal-to-Insulator Transition at the Neel Temperature. Phys. Rev. Lett. 1959, 3, 34–36. [Google Scholar] [CrossRef]
- McWhan, D.B.; Marezio, M.; Remeika, J.P.; Dernier, P.D. X-ray Diffraction Study of Metallic VO2. Phys. Rev. B 1974, 10, 490–495. [Google Scholar] [CrossRef]
- Barker, A.S.; Verleur, H.W.; Guggenheim, H.J. Infrared Optical Properties of Vanadium Dioxide Above and Below the Transition Temperature. Phys. Rev. Lett. 1966, 17, 1286–1289. [Google Scholar] [CrossRef]
- Mott, N.F.; Peierls, R. Discussion of the Paper by de Boer and Verwey. Proc. Phys. Soc. 1937, 49, 72. [Google Scholar] [CrossRef]
- Perucchi, A.; Baldassarre, L.; Postorino, P.; Lupi, S. Optical Properties across the Insulator to Metal Transitions in Vanadium Oxide Compounds. J. Phys. Condens. Matter 2009, 21, 323202. [Google Scholar] [CrossRef] [PubMed]
- Nazari, M.; Zhao, Y.; Kuryatkov, V.V.; Fan, Z.Y.; Bernussi, A.A.; Holtz, M. Temperature Dependence of the Optical Properties of VO2 Deposited on Sapphire with Different Orientations. Phys. Rev. B 2013, 87, 035142. [Google Scholar] [CrossRef]
- Arcangeletti, E.; Baldassarre, L.; Di Castro, D.; Lupi, S.; Malavasi, L.; Marini, C.; Perucchi, A.; Postorino, P. Evidence of a Pressure-Induced Metallization Process in Monoclinic VO2. Phys. Rev. Lett. 2007, 98, 196406. [Google Scholar] [CrossRef] [PubMed]
- Peng, W.W.; Niu, G.; Tétot, R.; Vilquin, B.; Raimondi, F.; Brubach, J.B.; Amzallag, E.; Yanagida, T.; Autier-Laurent, S.; Lecoeur, P.; et al. Insulator–Metal Transition of VO2 Ultrathin Films on Silicon: Evidence for an Electronic Origin by Infrared Spectroscopy. J. Phys. Condens. Matter 2013, 25, 445402. [Google Scholar] [CrossRef] [PubMed]
- Huffman, T.J.; Xu, P.; Qazilbash, M.M.; Walter, E.J.; Krakauer, H.; Wei, J.; Cobden, D.H.; Bechtel, H.A.; Martin, M.C.; Carr, G.L.; et al. Anisotropic Infrared Response of Vanadium Dioxide Microcrystals. Phys. Rev. B 2013, 87, 115121. [Google Scholar] [CrossRef]
- Lupi, S.; Baldassarre, L.; Mansart, B.; Perucchi, A.; Barinov, A.; Dudin, P.; Papalazarou, E.; Rodolakis, F.; Rueff, J.-P.; Itié, J.-P.; et al. A Microscopic View on the Mott Transition in Chromium-Doped V2O3. Nat. Commun. 2010, 1, 105. [Google Scholar] [CrossRef]
- Baldassarre, L.; Perucchi, A.; Nicoletti, D.; Toschi, A.; Sangiovanni, G.; Held, K.; Capone, M.; Ortolani, M.; Malavasi, L.; Marsi, M.; et al. Quasiparticle Evolution and Pseudogap Formation in V2O3: An Infrared Spectroscopy Study. Phys. Rev. B 2008, 77, 113107. [Google Scholar] [CrossRef]
- Rodolakis, F.; Mansart, B.; Papalazarou, E.; Gorovikov, S.; Vilmercati, P.; Petaccia, L.; Goldoni, A.; Rueff, J.P.; Lupi, S.; Metcalf, P.; et al. Quasiparticles at the Mott Transition in V2O3: Wave Vector Dependence and Surface Attenuation. Phys. Rev. Lett. 2009, 102, 066805. [Google Scholar] [CrossRef] [PubMed]
- Baldassarre, L.; Perucchi, A.; Arcangeletti, E.; Nicoletti, D.; Di Castro, D.; Postorino, P.; Sidorov, V.A.; Lupi, S. Electrodynamics near the Metal-to-Insulator Transition in V3O5. Phys. Rev. B 2007, 75, 245108. [Google Scholar] [CrossRef]
- Giorgianni, F.; Sakai, J.; Lupi, S. Overcoming the Thermal Regime for the Electric-Field Driven Mott Transition in Vanadium Sesquioxide. Nat. Commun. 2019, 10, 1159. [Google Scholar] [CrossRef] [PubMed]
- D’Elia, A.; Cepek, C.; de Simone, M.; Macis, S.; Belec, B.; Fanetti, M.; Piseri, P.; Marcelli, A.; Coreno, M. Interplay among Work Function, Electronic Structure and Stoichiometry in Nanostructured VOx Films. Phys. Chem. Chem. Phys. 2020, 22, 6282–6290. [Google Scholar] [CrossRef] [PubMed]
- D’Elia, A.; Rezvani, S.J.; Cossaro, A.; Stredansky, M.; Grazioli, C.; Li, B.W.; Zou, C.W.; Coreno, M.; Marcelli, A. Strain Induced Orbital Dynamics Across the Metal Insulator Transition in Thin VO2/TiO2 (001) Films. J. Supercond. Nov. Magn. 2020, 33, 2383–2388. [Google Scholar] [CrossRef]
- D’Elia, A.; Rezvani, S.J.; Zema, N.; Zuccaro, F.; Fanetti, M.; Belec, B.; Li, B.W.; Zou, C.W.; Spezzani, C.; Sacchi, M.; et al. Stoichiometry and Disorder Influence over Electronic Structure in Nanostructured VOx Films. J. Nanopart. Res. 2021, 23, 33. [Google Scholar] [CrossRef]
- Kong, T.; Masters, M.W.; Bud’ko, S.L.; Canfield, P.C. Physical Properties of V1-xTixO2 (0 < x < 0.187) Single Crystals. APL Mater. 2015, 3, 041502. [Google Scholar] [CrossRef]
- Chen, Z.; Cao, C.; Chen, S.; Luo, H.; Gao, Y. Crystallised Mesoporous TiO2(A)–VO2(M/R) Nanocomposite Films with Self-Cleaning and Excellent Thermochromic Properties. J. Mater. Chem. A 2014, 2, 11874–11884. [Google Scholar] [CrossRef]
- Tamburri, E.; Carcione, R.; Vitale, F.; Valguarnera, A.; Macis, S.; Lucci, M.; Terranova, M.L. Exploiting the Properties of Ti-Doped CVD-Grown Diamonds for the Assembling of Electrodes. Adv. Mater. Interfaces 2017, 4, 1700222. [Google Scholar] [CrossRef]
- Lupi, S.; Nucara, A.; Perucchi, A.; Calvani, P.; Ortolani, M.; Quaroni, L.; Kiskinova, M. Performance of SISSI, the infrared beamline of the ELETTRA storage ring. J. Opt. Soc. Am. B 2007, 24, 959–964. [Google Scholar] [CrossRef]
- Kuzmenko, A.B. Kramers–Kronig Constrained Variational Analysis of Optical Spectra. Rev. Sci. Instruments 2005, 76, 083108. [Google Scholar] [CrossRef]
- D’Elia, A.; Polewczyk, V.; Petrov, A.Y.; Li, L.; Zou, C.; Rezvani, J.; Marcelli, A. Investigating the Intrinsic Anisotropy of VO2(101) Thin Films Using Linearly Polarized Resonant Photoemission Spectroscopy. Condens. Matter 2023, 8, 40. [Google Scholar] [CrossRef]
- Wu, Y.; Fan, L.; Liu, Q.; Chen, S.; Huang, W.; Chen, F.; Liao, G.; Zou, C.; Wu, Z. Decoupling the Lattice Distortion and Charge Doping Effects on the Phase Transition Behavior of VO2 by Titanium (Ti4+) Doping. Sci. Rep. 2015, 5, 9328. [Google Scholar] [CrossRef] [PubMed]
- Gonzalez, R.J.; Zallen, R.; Berger, H. Infrared Reflectivity and Lattice Fundamentals in Anatase TiO2s. Phys. Rev. B 1997, 55, 7014–7017. [Google Scholar] [CrossRef]




| ( cm−2) | ( cm−2) | |
|---|---|---|
| x = 0.059 | 5.8 | 2.8 |
| x = 0.082 | 2.5 | 1.9 |
| x = 0.187 | 0.9 | 0.04 |
| x = 0 | 277 | 324 | 351 | 367 | 392 | 519 | 709 | |
| x = 0.059 | 281 | 321 | 360 | 397 | 494 | 539 | 703 | |
| x = 0.082 | 285 | 323 | 356 | 399 | 501 | 704 |
| x = 0 | 281 | 310 | 336 | 500 | 521 | 607 | 637 | 720 | ||
| x = 0.059 | 268 | 289 | 313 | 339 | 513 | 615 | 673 | |||
| x = 0.082 | 241 | 310 | 333 | 514 | 584 | 609 | 624 | 708 |
| x = 0.059 | 289 | 314 | 325 | 401 | 472 | 694 | ||||||
| x = 0.082 | 256 | 287 | 329 | 371 | 413 | 475 | 503 | 661 | ||||
| x = 0.187 | 295 | 489 | 802 | 866 | 998 |
| x = 0.059 | 293 | 420 | 529 | 583 | 607 | |||||
| x = 0.082 | 241 | 306 | 337 | 537 | 608 | 649 | ||||
| x = 0.187 | 233 | 304 | 451 | 480 | 506 | 650 |
Disclaimer/Publisher’s Note: The statements, opinions and data contained in all publications are solely those of the individual author(s) and contributor(s) and not of MDPI and/or the editor(s). MDPI and/or the editor(s) disclaim responsibility for any injury to people or property resulting from any ideas, methods, instructions or products referred to in the content. |
© 2024 by the authors. Licensee MDPI, Basel, Switzerland. This article is an open access article distributed under the terms and conditions of the Creative Commons Attribution (CC BY) license (https://creativecommons.org/licenses/by/4.0/).
Share and Cite
Macis, S.; Mosesso, L.; D’Arco, A.; Perucchi, A.; Di Pietro, P.; Lupi, S. Anisotropic Optical Response of Ti-Doped VO2 Single Crystals. Materials 2024, 17, 3121. https://doi.org/10.3390/ma17133121
Macis S, Mosesso L, D’Arco A, Perucchi A, Di Pietro P, Lupi S. Anisotropic Optical Response of Ti-Doped VO2 Single Crystals. Materials. 2024; 17(13):3121. https://doi.org/10.3390/ma17133121
Chicago/Turabian StyleMacis, Salvatore, Lorenzo Mosesso, Annalisa D’Arco, Andrea Perucchi, Paola Di Pietro, and Stefano Lupi. 2024. "Anisotropic Optical Response of Ti-Doped VO2 Single Crystals" Materials 17, no. 13: 3121. https://doi.org/10.3390/ma17133121
APA StyleMacis, S., Mosesso, L., D’Arco, A., Perucchi, A., Di Pietro, P., & Lupi, S. (2024). Anisotropic Optical Response of Ti-Doped VO2 Single Crystals. Materials, 17(13), 3121. https://doi.org/10.3390/ma17133121

